Howland Forest, ME, USA: Multi-Gas Flux (CO2, CH4, N2O) Social Cost Product Underscores Limited Carbon Proxies
Abstract
1. Introduction
2. Materials and Methods
2.1. Site Description
2.2. CO2 and CH4 Tower Fluxes
2.3. CO2, CH4, and N2O Soil Fluxes
2.4. Data Processing and Calculations
2.5. GHG Forest and Social Cost of CO2, CH4 and N2O
2.6. Howland Eddy Covariance Footprint Data
2.7. CARB-CAR Data, Documents and Third-Party Verification Review
3. Results
3.1. GHG Record for Howland Forest Tower (US-Ho1) and CARB-CAR (CAR 681, CAR1161)
3.2. Reco vs. GPP Plot for Howland Forest CO2 NEE (US-Ho1,2,3)
3.3. Annual Budgets of CO2, CH4 and N2O for Howland Tower (US-Ho1) and Soil Accumulation Chambers
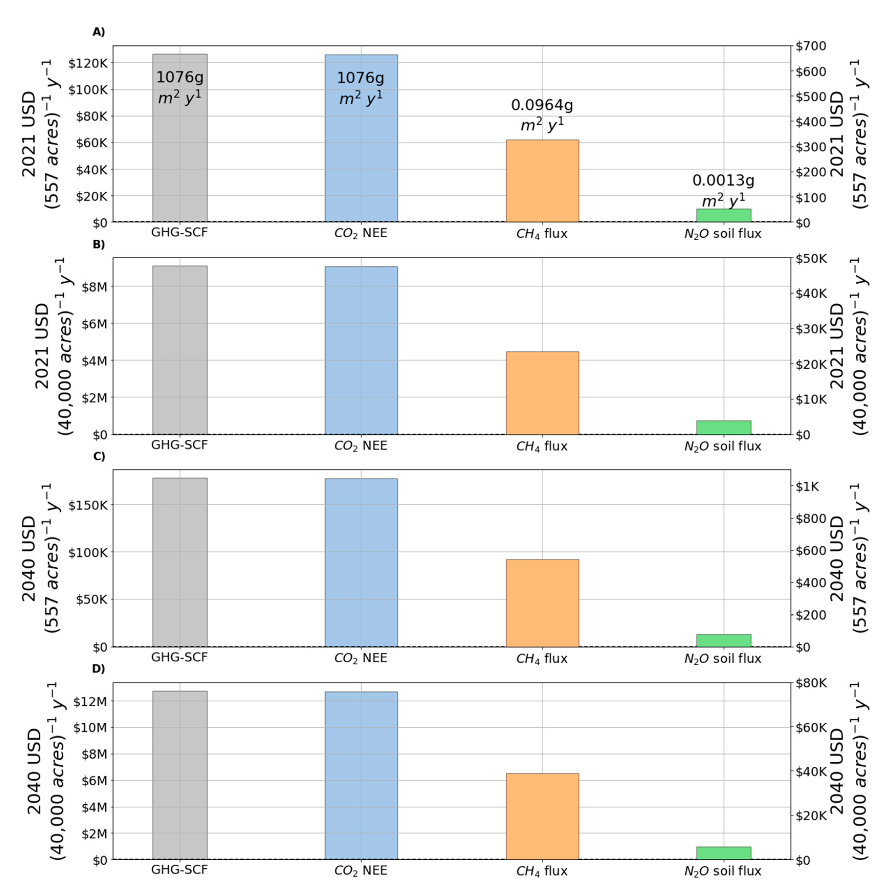
3.4. Monetization of Net GHG Data Using Social Cost Factors and Revenue Projections
4. Discussion
5. Conclusions
Supplementary Materials
Author Contributions
Funding
Data Availability Statement
Acknowledgments
Conflicts of Interest
References
- Marino, B.D.; Mincheva, M.; Doucett, A. California air resources board protocol invalidates offsets. PeerJ 2019, 7, e7606. [Google Scholar] [CrossRef]
- Cacho, O.J.; Lipper, L.; Moss, J. Transaction costs of carbon offset projects: A comparative study. Ecol. Econ. 2013, 88, 232–243. [Google Scholar] [CrossRef]
- Kerchner, C.D.; Keeton, W.S. California’s regulatory forest carbon market: Viability for northeast landowners. For. Policy Econ. 2015, 50, 70–81. [Google Scholar] [CrossRef]
- Hope, M.E.; Filewod, B.; McKenney, D.W.; Lempriere, T.C. A financial analysis of four carbon offset accounting protocols for a representative afforestation project (Southern Ontario, Canada). Can. J. For. Res. 2021. [Google Scholar] [CrossRef]
- Haya, B. POLICY BRIEF: The California Air Resources Board’s U.S. Forest Offset Protocol Underestimates Leakage. Berkeley, CA. 2019. Available online: https://gspp.berkeley.edu/assets/uploads/research/pdf/Policy_Brief-US_Forest_Projects-Leakage-Haya_2.pdf (accessed on 10 March 2021).
- Haya, B.; Cullenward, D.; Strong, A.L.; Grubert, E.; Heilmayr, R.; Sivas, D.A.; Wara, M. Managing uncertainty in carbon offsets: insights from California’s standardized approach. Clim. Policy 2020, 20, 1112–1126. [Google Scholar] [CrossRef]
- World Bank. State and Trends of Carbon Pricing 2020. 2020. Available online: https://openknowledge.worldbank.org/handle/10986/33809 (accessed on 10 March 2021).
- Daniels, T.L. Integrating Forest Carbon Sequestration Into a Cap-and-Trade Program to Reduce Net CO2 Emissions. J. Am. Plan. Assoc. 2010, 76, 463–475. [Google Scholar] [CrossRef]
- Moomaw, W.R.; Law, B.E.; Goetz, S.J. Focus on the role of forests and soils in meeting climate change mitigation goals: Summary. Environ. Res. Lett. 2020, 15, 045009. [Google Scholar] [CrossRef]
- Townsend, J.; Moola, F.; Craig, M.-K. Indigenous Peoples are critical to the success of nature-based solutions to climate change. Facet. 2020, 5, 551–556. [Google Scholar] [CrossRef]
- Busch, J.; Engelmann, J.; Cook-Patton, S.C.; Griscom, B.W.; Kroeger, T.; Possingham, H.; Shyamsundar, P. Potential for low-cost carbon dioxide removal through tropical reforestation. Nat. Clim. Chang. 2019, 9, 463–466. [Google Scholar] [CrossRef]
- Bastin, J.-F.; Finegold, Y.; Garcia, C.; Mollicone, D.; Rezende, M.; Routh, D.; Zohner, C.M.; Crowther, T.W. The global tree restoration potential. Science 2019, 365, 76–79. [Google Scholar] [CrossRef]
- Cook-Patton, S.C.; Leavitt, S.M.; Gibbs, D.; Harris, N.L.; Lister, K.; Anderson-Teixeira, K.J.; Briggs, R.D.; Chazdon, R.L.; Crowther, T.W.; Ellis, P.W.; et al. Mapping carbon accumulation potential from global natural forest regrowth. Nat. Cell Biol. 2020, 585, 545–550. [Google Scholar] [CrossRef]
- Nunes, L.J.; Meireles, C.I.; Gomes, C.J.P.; Ribeiro, N.M.A. Forest Contribution to Climate Change Mitigation: Management Oriented to Carbon Capture and Storage. Climate 2020, 8, 21. [Google Scholar] [CrossRef]
- FAO; UNEP. State of the World’s Forests. 2020. Available online: http://www.fao.org/3/ca8642en/CA8642EN.pdf (accessed on 27 October 2020).
- Marland, E.; Domke, G.; Hoyle, J.; Marland, G.; Bates, L.; Helms, A.; Jones, B.; Kowalczyk, T.; Ruseva, T.B.; Szymanski, C. Overview of the Compliance Offset Protocol for U.S. Forest Projects. In SpringerBriefs in Environmental Science; Springer Nature Switzerland AG: Basel, Switzerland, 2017; pp. 13–20. [Google Scholar] [CrossRef]
- Forest Carbon Partners. Project Design Document Howland Research Forest CAR681. 2013. Available online: https://thereserve2.apx.com/mymodule/reg/TabDocuments.asp?id1=681&action=&ad=Prpt&act=update&sBtn=&Type=PRO&r=111&tablename=doc&aProj=pub (accessed on 9 March 2021).
- California Air Resources Board. Compliance Offset Protocol U.S. Forest Projects. 2014. Available online: https://www.arb.ca.gov/regact/2014/capandtrade14/ctusforestprojectsprotocol.pdf (accessed on 4 March 2021).
- California Air Resources Board. Compliance Offset Protocol U.S. Forest Projects. 2011. Available online: https://www.arb.ca.gov/regact/2010/capandtrade10/copusforest.pdf (accessed on 2 March 2021).
- California Air Resources Board. Compliance Offset Protocol US Forest Projects. 2015. Available online: https://www.arb.ca.gov/cc/capandtrade/protocols/usforest/forestprotocol2015.pdf (accessed on 12 March 2021).
- Aubinet, M.; Vesla, T.; Papale, D. Eddy Covariance: A Practical Guide to Measurement and Data Analysis; Vesala, E.T., Papale, D., Eds.; Springer: Dordrecht, The Netherlands, 2012. [Google Scholar]
- Burba, G. Eddy Covariance Method for Scientific, Industrial, Agricultural, and Regulatory Applications: Eddy Covariance Method for Scientific, Industrial, Agricultural, and Regulatory Applications: A Field Book on Measuring Ecosystem Gas Exchange and Areal Emission; LI-COR Biosciences: Lincoln, NE, USA, 2013. [Google Scholar]
- Baldocchi, D.; Chu, H.; Reichstein, M. Inter-annual variability of net and gross ecosystem carbon fluxes: A review. Agric. For. Meteorol. 2018, 249, 520–533. [Google Scholar] [CrossRef]
- Longdoz, B.; Granier, A. Eddy covariance measurements over forests. In Eddy Covariance; Springer: Dordrecht, The Netherlands, 2012; pp. 309–318. [Google Scholar]
- Han, M.; Zhu, B. Changes in soil greenhouse gas fluxes by land use change from primary forest. Glob. Chang. Biol. 2020, 26, 2656–2667. [Google Scholar] [CrossRef]
- Perez-Quezada, J.F.; Urrutia, P.; Olivares-Rojas, J.; Meijide, A.; Sánchez-Cañete, E.P.; Gaxiola, A. Long term effects of fire on the soil greenhouse gas balance of an old-growth temperate rainforest. Sci. Total Environ. 2021, 755, 142442. [Google Scholar] [CrossRef]
- Machacova, K.; Borak, L.; Agyei, T.; Schindler, T.; Soosaar, K.; Mander, Ü.; Ah-Peng, C. Trees as net sinks for methane (CH 4) and nitrous oxide (N2O) in the lowland tropical rain forest on volcanic Réunion Island. New Phytol. 2021, 229, 1983–1994. [Google Scholar] [CrossRef] [PubMed]
- Wu, X.; Wang, W.; Xie, X.; Yin, C.; Hou, H.; Yan, W.; Wang, G. Net global warming potential and greenhouse gas intensity as affected by different water management strategies in Chinese double rice-cropping systems. Sci. Rep. 2018, 8, 779. [Google Scholar] [CrossRef] [PubMed]
- Matson, A.; Pennock, D.; Bedard-Haughn, A. Methane and nitrous oxide emissions from mature forest stands in the boreal forest, Saskatchewan, Canada. For. Ecol. Manag. 2009, 258, 1073–1083. [Google Scholar] [CrossRef]
- Baldocchi, D.D. How eddy covariance flux measurements have contributed to our understanding of Global Change Biology. Glob. Chang. Biol. 2020, 26, 242–260. [Google Scholar] [CrossRef]
- Marino, B.D.; Truong, V.; Munger, J.W.; Gyimah, R. Direct measurement forest carbon protocol: a commercial system-of-systems to incentivize forest restoration and management. PeerJ 2020, 8, e8891. [Google Scholar] [CrossRef]
- Bautista, N.; Marino, B.; Munger, J. Science to Commerce: A Commercial-Scale Protocol for Carbon Trading Applied to a 28-Year Record of Forest Carbon Monitoring at the Harvard Forest. Land 2021, 10, 163. [Google Scholar] [CrossRef]
- Interagency Working Group on Social Cost of Greenhouse Gases United States Government. Technical Support Document: Social Cost of Carbon, Methane, and Nitrous Oxide Interim Estimates under Executive Order 13990 Interagency Working Group on Social Cost of Greenhouse Gases, United States Government With participation by Council of Economic Ad. 2021. Available online: https://www.whitehouse.gov/wp-content/uploads/2021/02/TechnicalSupportDocument_SocialCostofCarbonMethaneNitrousOxide.pdf (accessed on 3 March 2021).
- Cortez, A.O. H.Res.109–116th Congress: Recognizing the duty of the Federal Government to Create a Green New Deal. 2019; pp. 1–14. Available online: https://www.congress.gov/bill/116th-congress/house-resolution/109/text (accessed on 5 July 2019).
- Zografos, C.; Robbins, P. Green Sacrifice Zones, or Why a Green New Deal Cannot Ignore the Cost Shifts of Just Transitions. One Earth 2020, 3, 543–546. [Google Scholar] [CrossRef]
- Costedoat, S.; Corbera, E.; Ezzine-De-Blas, D.; Honey-Rosés, J.; Baylis, K.; Castillo-Santiago, M.A. How Effective Are Biodiversity Conservation Payments in Mexico? PLoS ONE 2015, 10, e0119881. [Google Scholar] [CrossRef] [PubMed]
- Paul, H.K. The Green New Deal and global justice. Renewal 2021, 28, 61. [Google Scholar]
- Richardson, A.D.; Hollinger, D.Y.; Shoemaker, J.K.; Hughes, H.; Savage, K.; Davidson, E.A. Six years of ecosystem-atmosphere greenhouse gas fluxes measured in a sub-boreal forest. Sci. Data 2019, 6, 1–15. [Google Scholar] [CrossRef] [PubMed]
- Climate Action Reserve, “Climate Action Reserve Projects”. 2018. Available online: http://www.climateactionreserve.org/ (accessed on 17 March 2021).
- Hollinger, D.Y.; Goltz, S.M.; Davidson, E.A.; Lee, J.T.; Tu, K.; Valentine, H.T. Seasonal patterns and environmental control of carbon dioxide and water vapour exchange in an ecotonal boreal forest. Glob. Chang. Biol. 1999, 5, 891–902. [Google Scholar] [CrossRef]
- Hollinger, D.Y.; Aber, J.; Dail, B.; Davidson, E.A.; Goltz, S.M.; Hughes, H.; Leclerc, M.Y.; Lee, J.T.; Richardson, A.D.; Rodrigues, C.; et al. Spatial and temporal variability in forest-atmosphere CO2 exchange. Glob. Chang. Biol. 2004, 10, 1689–1706. [Google Scholar] [CrossRef]
- Chu, H.; Luo, X.; Ouyang, Z.; Chan, W.S.; Dengel, S.; Biraud, S.C.; Torn, M.S.; Metzger, S.; Kumar, J.; Arain, M.A.; et al. Representativeness of Eddy-Covariance flux footprints for areas surrounding AmeriFlux sites. Agric. For. Meteorol. 2021, 301–302, 108350. [Google Scholar] [CrossRef]
- Scott, N.A.; Rodrigues, C.A.; Hughes, H.; Lee, J.T.; Davidson, E.A.; Dail, D.B.; Malerba, P.; Hollinger, D.Y. Changes in Carbon Storage and Net Carbon Exchange One Year After an Initial Shelterwood Harvest at Howland Forest, ME. Environ. Manag. 2004, 33, S9–S22. [Google Scholar] [CrossRef]
- Savage, K.; Davidson, E.A.; Richardson, A.D. A conceptual and practical approach to data quality and analysis procedures for high-frequency soil respiration measurements. Funct. Ecol. 2008, 22, 1000–1007. [Google Scholar] [CrossRef]
- Savage, K.; Phillips, R.S.; A Davidson, E. High temporal frequency measurements of greenhouse gas emissions from soils. Biogeosciences 2014, 11, 2709–2720. [Google Scholar] [CrossRef]
- Wutzler, T.; Lucas-Moffat, A.; Migliavacca, M.; Knauer, J.; Sickel, K.; Šigut, L.; Menzer, O.; Reichstein, M. Basic and extensible post-processing of eddy covariance flux data with REddyProc. Biogeosciences 2018, 15, 5015–5030. [Google Scholar] [CrossRef]
- Papale, D.; Reichstein, M.; Aubinet, M.; Canfora, E.; Bernhofer, C.; Kutsch, W.; Longdoz, B.; Rambal, S.; Valentini, R.; Vesala, T.; et al. Towards a standardized processing of Net Ecosystem Exchange measured with eddy covariance technique: algorithms and uncertainty estimation. Biogeosciences 2006, 3, 571–583. [Google Scholar] [CrossRef]
- Lloyd, J.; Taylor, J.A. On the Temperature Dependence of Soil Respiration. Funct. Ecol. 1994, 8, 315. [Google Scholar] [CrossRef]
- Reichstein, M.; Falge, E.; Baldocchi, D.; Papale, D.; Aubinet, M.; Berbigier, P.; Bernhofer, C.; Buchmann, N.; Gilmanov, T.; Granier, A.; et al. On the separation of net ecosystem exchange into assimilation and ecosystem respiration: review and improved algorithm. Glob. Chang. Biol. 2005, 11, 1424–1439. [Google Scholar] [CrossRef]
- Chapin, F.S.; Woodwell, G.M.; Randerson, J.T.; Rastetter, E.B.; Lovett, G.M.; Baldocchi, D.D.; Clark, D.A.; Harmon, M.E.; Schimel, D.S.; Valentini, R.; et al. Reconciling Carbon-cycle Concepts, Terminology, and Methods. Ecosystems 2006, 9, 1041–1050. [Google Scholar] [CrossRef]
- Remucal, J.M.; McGee, J.D.; Fehrenbacher, M.M.; Best, C.; Mitchell, R.J. Application of the Climate Action Reserve’s Forest Project Protocol to a Longleaf Pine Forest under Restoration Management. J. For. 2013, 111, 59–66. [Google Scholar] [CrossRef]
- California Air Resources Board. California Air Resources Board Offset Credit Regulatory Conformance and Invalidation Guidance. 2015. Available online: https://www.arb.ca.gov/cc/capandtrade/offsets/arboc_guide_regul_conform_invalidation.pdf (accessed on 2 March 2021).
- Baldocchi, D.; Penuelas, J. The physics and ecology of mining carbon dioxide from the atmosphere by ecosystems. Glob. Chang. Biol. 2019, 25, 1191–1197. [Google Scholar] [CrossRef]
- Covey, K.R.; Megonigal, J.P. Methane production and emissions in trees and forests. New Phytol. 2018, 222, 35–51. [Google Scholar] [CrossRef]
- Nordhaus, W.D. Revisiting the social cost of carbon. Proc. Natl. Acad. Sci. USA 2017, 114, 1518–1523. [Google Scholar] [CrossRef]
- Marten, A.L.; Kopits, E.A.; Griffiths, C.W.; Newbold, S.C.; Wolverton, A. Incremental CH4 and N2O mitigation benefits consistent with the US Government’s SC-CO2 estimates. Clim. Policy 2014, 15, 272–298. [Google Scholar] [CrossRef]
- Feng, H.; Guo, J.; Han, M.; Wang, W.; Peng, C.; Jin, J.; Song, X.; Yu, S. A review of the mechanisms and controlling factors of methane dynamics in forest ecosystems. For. Ecol. Manag. 2020, 455, 117702. [Google Scholar] [CrossRef]
- Ameriflux. Howland Forest Eddy Covariance Data. 2018. Available online: http://ameriflux.lbl.gov/sites/siteinfo/US-Ho1 (accessed on 19 March 2021).
- Hollinger, D.Y.; Davidson, E.A.; Richardson, A.D.; Dail, D.B.; Scott, N. Using Model Analyses and Surface-Atmosphere Exchange Measurements from the Howland AmeriFlux Site in Maine, USA, to Improve Understanding of Forest Ecosystem C Cycling; USDA Forest Service, Northern Research Station: Durham, NH, USA, 2013. [Google Scholar]
- Hollinger, D.; Davidson, E.; Dail, D.B.; Richardson, A. Final Technical Report. Supporting carbon cycle and earth systems modeling with measurements and analysis from the Howland AmeriFlux Site. United States: N. p., 2016. Web. Available online: https://www.osti.gov/biblio/1234261-final-technical-report-supporting-carbon-cycle-earth-systems-modeling-measurements-analysis-from-howland-ameriflux-site (accessed on 19 April 2021).
- Cowan, N.; Levy, P.; Maire, J.; Coyle, M.; Leeson, S.; Famulari, D.; Carozzi, M.; Nemitz, E.; Skiba, U. An evaluation of four years of nitrous oxide fluxes after application of ammonium nitrate and urea fertilisers measured using the eddy covariance method. Agric. For. Meteorol. 2020, 280, 107812. [Google Scholar] [CrossRef]
- Goodrich, J.; Wall, A.; Campbell, D.; Fletcher, D.; Wecking, A.; Schipper, L. Improved gap filling approach and uncertainty estimation for eddy covariance N2O fluxes. Agric. For. Meteorol. 2021, 297, 108280. [Google Scholar] [CrossRef]
- Delwiche, K.B.; Knox, S.; Malhotra, A.; Fluet-Chouinard, E.; McNicol, G.; Feron, S.; Ouyang, Z.; Papale, D.; Trotta, C.; Canfora, E.; et al. FLUXNET-CH4: A global, multi-ecosystem dataset and analysis of methane seasonality from freshwater wetlands. Earth Syst. Sci. Data Discuss. 2021, 2021, 1–111. [Google Scholar] [CrossRef]
- Peltola, O.; Vesala, T.; Gao, Y.; Räty, O.; Alekseychik, P.; Aurela, M.; Chojnicki, B.; Desai, A.R.; Dolman, A.J.; Euskirchen, E.S.; et al. Monthly gridded data product of northern wetland methane emissions based on upscaling eddy covariance observations. Earth Syst. Sci. Data 2019, 11, 1263–1289. [Google Scholar] [CrossRef]
- Jung, M.; Schwalm, C.; Migliavacca, M.; Walther, S.; Camps-Valls, G.; Koirala, S.; Anthoni, P.; Besnard, S.; Bodesheim, P.; Carvalhais, N.; et al. Scaling carbon fluxes from eddy covariance sites to globe: synthesis and evaluation of the FLUXCOM approach. Biogeosciences 2020, 17, 1343–1365. [Google Scholar] [CrossRef]
- Wu, B.; Mu, C. Effects on Greenhouse Gas (CH4, CO2, N2O) Emissions of Conversion from Over-Mature Forest to Secondary Forest and Korean Pine Plantation in Northeast China. Forests 2019, 10, 788. [Google Scholar] [CrossRef]
- Wagle, P.; Gowda, P.H.; Neel, J.P.; Northup, B.K.; Zhou, Y. Integrating eddy fluxes and remote sensing products in a rotational grazing native tallgrass prairie pasture. Sci. Total Environ. 2020, 712, 136407. [Google Scholar] [CrossRef]
- Baldocchi, D.; Agarwal, D.; Torn, M.; Humphrey, M. Connecting AmeriFlux to the Globe, Extending the Partnership with Global Flux Network FLUXNET; Univ. of California: Berkeley, CA, USA, 2018. [Google Scholar]
- Teets, A.; Fraver, S.; Hollinger, D.Y.; Weiskittel, A.R.; Seymour, R.S.; Richardson, A.D. Linking annual tree growth with eddy-flux measures of net ecosystem productivity across twenty years of observation in a mixed conifer forest. Agric. For. Meteorol. 2018, 249, 479–487. [Google Scholar] [CrossRef]
- Nunez, F. California Global Warming Solutions Act of 2006; Assembly Bill No. 32, Chapter 488, 2006. Available online: https://leginfo.legislature.ca.gov/faces/billNavClient.xhtml?bill_id=200520060AB32 (accessed on 5 March 2021).
- Garcia, E. AB-398 California Global Warming Solutions Act of 2006: market-based compliance mechanisms: fire prevention fees: sales and use tax manufacturing exemption. 2017, Chapter 135, Statutes of 2017 (Chaptered July 25, 2017). Available online: https://leginfo.legislature.ca.gov/faces/billNavClient.xhtml?bill_id=201720180AB398 (accessed on 29 March 2021).
- Mitloehner, F.; Springsteen, B.; Warms, E.; Hayden, T.; Sanchez, A.; Ford, D.; Parkhurst, R.; Best, C.; Cativiela, Jean-Pierre, Tuttle, A.; McCabe, G. Compliance Offsets Protocol Task Force Final Recommendations. Sacramento, CA, 2021. Available online: https://ww2.arb.ca.gov/sites/default/files/2021-03/offsets_task_force_final_report_030221.pdf (accessed on 20 March 2021).
- Thorpe, A.S.; Barnett, D.T.; Elmendorf, S.C.; Hinckley, E.S.; Hoekman, D.; Jones, K.D.; LeVan, K.E.; Meier, C.L.; Stanish, L.F.; Thibault, K.M. Introduction to the sampling designs of the National Ecological Observatory Network Terrestrial Observation System. Ecosphere 2016, 7, 1627. [Google Scholar] [CrossRef]
- Novick, K.; Biederman, J.; Desai, A.; Litvak, M.; Moore, D.; Scott, R.; Torn, M. The AmeriFlux network: A coalition of the willing. Agric. For. Meteorol. 2018, 249, 444–456. [Google Scholar] [CrossRef]





Publisher’s Note: MDPI stays neutral with regard to jurisdictional claims in published maps and institutional affiliations. |
© 2021 by the authors. Licensee MDPI, Basel, Switzerland. This article is an open access article distributed under the terms and conditions of the Creative Commons Attribution (CC BY) license (https://creativecommons.org/licenses/by/4.0/).
Share and Cite
Marino, B.D.V.; Bautista, N.; Rousseaux, B. Howland Forest, ME, USA: Multi-Gas Flux (CO2, CH4, N2O) Social Cost Product Underscores Limited Carbon Proxies. Land 2021, 10, 436. https://doi.org/10.3390/land10040436
Marino BDV, Bautista N, Rousseaux B. Howland Forest, ME, USA: Multi-Gas Flux (CO2, CH4, N2O) Social Cost Product Underscores Limited Carbon Proxies. Land. 2021; 10(4):436. https://doi.org/10.3390/land10040436
Chicago/Turabian StyleMarino, Bruno D. V., Nahuel Bautista, and Brandt Rousseaux. 2021. "Howland Forest, ME, USA: Multi-Gas Flux (CO2, CH4, N2O) Social Cost Product Underscores Limited Carbon Proxies" Land 10, no. 4: 436. https://doi.org/10.3390/land10040436
APA StyleMarino, B. D. V., Bautista, N., & Rousseaux, B. (2021). Howland Forest, ME, USA: Multi-Gas Flux (CO2, CH4, N2O) Social Cost Product Underscores Limited Carbon Proxies. Land, 10(4), 436. https://doi.org/10.3390/land10040436

