Effective Use of Ensemble Numerical Weather Predictions in Taiwan by Means of a SOM-Based Cluster Analysis Technique
Abstract
:1. Introduction
2. Ensemble Numerical Weather Prediction System in Taiwan
3. The Artificial Neural Network (ANN)-Based Integration Strategy
3.1. Self-Organizing Map-Based Cluster Analysis Technique
3.2. Strategy for Effective Combination of Ensemble Numerical Weather Predictions
4. Study Cases
5. Results of the SOM-Based Cluster Analysis Technique
6. Results and Discussion
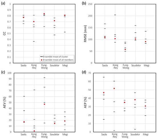
6.1. Potential of the Ensemble Mean of Each Cluster
6.2. Evaluation of the Performance of the Proposed ANN-Based Integration Strategy
7. Summary and Conclusions
Acknowledgments
Author Contributions
Conflicts of Interest
References
- Cheng, J.D.; Lin, L.L.; Lu, H.S. Influences of forests on water flows from headwater watersheds in Taiwan. For. Ecol. Manag. 2002, 165, 11–28. [Google Scholar] [CrossRef]
- Chang, Y.C.; Kan, C.E.; Lin, G.F.; Chiu, C.L.; Lee, Y.C. Potential benefits of increased application of water to paddy fields in Taiwan. Hydrol. Process. 2001, 15, 1515–1524. [Google Scholar] [CrossRef]
- Chang, F.J.; Hui, S.C.; Chen, Y.C. Reservoir operation using grey fuzzy stochastic dynamic programming. Hydrol. Process. 2002, 16, 2395–2408. [Google Scholar] [CrossRef]
- Liguori, S.; Rico-Ramirez, M.A. Quantitative assessment of short-term rainfall forecasts from radar nowcasts and MM5 forecasts. Hydrol. Process. 2012, 26, 3842–3857. [Google Scholar] [CrossRef]
- He, S.; Raghavan, S.V.; Nguyen, N.S.; Liong, S.Y. Ensemble rainfall forecasting with numerical weather prediction and radar-based nowcasting models. Hydrol. Process. 2013, 27, 1560–1571. [Google Scholar] [CrossRef]
- Hsiao, L.F.; Chen, D.S.; Kuo, Y.H.; Guo, Y.R.; Yeh, T.C.; Hong, J.S.; Fong, C.T.; Lee, C.S. Application of WRF 3DVAR to operational typhoon prediction in Taiwan: Impact of outer loop and partial cycling approaches. Weather Forecast. 2012, 27, 1249–1263. [Google Scholar] [CrossRef]
- Yu, W.; Nakakita, E.; Kim, S.; Yamaguchi, K. Improvement of rainfall and flood forecasts by blending ensemble NWP rainfall with radar prediction considering orographic rainfall. J. Hydrol. 2015, 531, 494–507. [Google Scholar] [CrossRef]
- Yeh, N.C.; Liu, C.C.; Chen, W.J. Estimation of Rainfall Associated with Typhoons over the Ocean Using TRMM/TMI and Numerical Models. Water 2015, 7, 6017–6038. [Google Scholar] [CrossRef]
- Diomede, T.; Marsigli, C.; Nerozzi, F.; Papetti, P.; Paccagnella, T. Coupling high resolution precipitation forecasts and discharge predictions to evaluate the impact of spatial uncertainty in numerical weather prediction model outputs. Meteorol. Atmos. Phys. 2008, 102, 37–62. [Google Scholar] [CrossRef]
- Brown, J.D.; Seo, D.; Du, J. Verification of Precipitation Forecasts from NCEP’s Short-Range Ensemble Forecast (SREF) System with Reference to Ensemble Streamflow Prediction Using Lumped Hydrologic Models. J. Hydrometeorol. 2012, 13, 808–836. [Google Scholar] [CrossRef]
- Siddique, R.; Mejia, A.; Brown, J.; Reed, S.; Ahnert, P. Verification of Precipitation Forecasts from Two Numerical Weather Prediction Models in the Middle Atlantic Region of the USA: A Precursory Analysis to Hydrologic Forecasting. J. Hydrol. 2015, 529, 1390–1406. [Google Scholar] [CrossRef]
- Sharma, S.; Siddique, R.; Balderas, N.; Fuentes, J.D.; Reed, S.; Ahnert, P.; Shedd, R.; Astifan, B.; Cabrera, R.; Laing, A.; et al. Eastern U.S. Verification of Ensemble Precipitation Forecasts. Weather Forecast. 2017, 32, 117–139. [Google Scholar] [CrossRef]
- Hsiao, L.F.; Yang, M.J.; Lee, C.S.; Kuo, H.C.; Shih, D.S.; Tsai, C.C.; Wang, C.J.; Chang, L.Y.; Chen, D.Y.C.; Feng, L.; et al. Ensemble forecasting of typhoon rainfall and floods over a mountainous watershed in Taiwan. J. Hydrol. 2013, 506, 55–68. [Google Scholar] [CrossRef]
- Palmer, T.; Buizza, R. Fifteenth anniversary of EPS. ECMWF Newslett. 2007, 114, 14. [Google Scholar]
- Cloke, H.L.; Pappenberger, F. Ensemble flood forecasting: A review. J. Hydrol. 2009, 375, 613–626. [Google Scholar] [CrossRef]
- Ebert, E.E. Ability of a poor man’s ensemble to predict the probability and distribution of precipitation. Mon. Weather Rev. 2001, 129, 2461–2480. [Google Scholar] [CrossRef]
- Lee, C.S.; Ho, H.Y.; Lee, K.T.; Wang, Y.C.; Guo, W.D.; Chen, D.Y.C.; Hsiao, L.F.; Chen, C.H.; Chiang, C.C.; Yang, M.J.; et al. Assessment of sewer flooding model based on ensemble quantitative precipitation forecast. J. Hydrol. 2013, 506, 101–113. [Google Scholar] [CrossRef]
- Shih, D.S.; Chen, C.H.; Yeh, G.T. Improving our understanding of flood forecasting using earlier hydro-meteorological intelligence. J. Hydrol. 2014, 512, 470–481. [Google Scholar] [CrossRef]
- Yang, S.C.; Yang, T.H. Uncertainty assessment: Reservoir inflow forecasting with ensemble precipitation forecasts and HEC-HMS. Adv. Meteorol. 2014, 2014, 581756. [Google Scholar] [CrossRef]
- Yang, T.H.; Yang, S.C.; Ho, J.Y.; Lin, G.F.; Hwang, G.D.; Lee, C.S. Flash flood warnings using the ensemble precipitation forecasting technique: A case study on forecasting floods in Taiwan caused by typhoons. J. Hydrol. 2015, 520, 367–378. [Google Scholar] [CrossRef]
- Yang, T.H.; Hwang, G.D.; Tsai, C.C.; Ho, J.Y. Using rainfall thresholds and ensemble precipitation forecasts to issue and improve urban inundation alerts. Hydrol. Earth Syst. Sci. 2016, 20, 4731–4745. [Google Scholar] [CrossRef]
- Fritsch, J.M.; Hilliker, J.; Ross, J.; Vislocky, R.L. Model consensus. Weather Forecast. 2000, 15, 571–582. [Google Scholar] [CrossRef]
- Gneiting, T.; Raftery, A.E. Weather forecasting with ensemble methods. Science 2005, 310, 248–249. [Google Scholar] [CrossRef] [PubMed]
- Gneiting, T.; Raftery, A.E.; Westveld, A.H.; Goldman, T. Calibrated probabilistic forecasts using ensemble model output statistics and minimum CRPS estimation. Mon. Weather Rev. 2005, 133, 1098–1118. [Google Scholar] [CrossRef]
- Krasnopolsky, V.M.; Lin, Y. A neural network nonlinear multimodel ensemble to improve precipitation forecasts over continental US. Adv. Meteorol. 2012, 2012, 649450. [Google Scholar] [CrossRef]
- Messner, J.W.; Mayr, G.J.; Zeileis, A.; Wilks, D.S. Heteroscedastic extended logistic regression for post-processing of ensemble guidance. Mon. Weather Rev. 2014, 142, 448–456. [Google Scholar] [CrossRef]
- Cheng, L.Y.; AghaKouchak, A. A methodology for deriving ensemble response from multimodel simulations. J. Hydrol. 2015, 522, 49–57. [Google Scholar] [CrossRef]
- Kumar, A.; Singh, R.; Jena, P.P.; Chatterjee, C.; Mishra, A. Identification of the best multi-model combination for simulating river discharge. J. Hydrol. 2015, 525, 313–325. [Google Scholar] [CrossRef]
- Pappenberger, F.; Ramos, M.H.; Cloke, H.L.; Wetterhall, F.; Alfieri, L.; Bogner, K.; Mueller, A.; Salamon, P. How do I know if my forecasts are better? Using benchmarks in hydrological ensemble prediction. J. Hydrol. 2015, 522, 697–713. [Google Scholar] [CrossRef]
- Wu, M.C.; Lin, G.F.; Hwang, L.R.; Chen, D.Y.C.; Chiang, C.C.; Wang, Y.C. Optimal integration of the ensemble forecasts from an ensemble quantitative precipitation forecast experiment. Procedia Eng. 2016, 154, 1291–1297. [Google Scholar] [CrossRef]
- ASCE Task Committee on Application of Artificial Neural Networks in Hydrology. Artificial neural networks in hydrology II: Hydrologic applications. J. Hydrol. Eng. 2000, 5, 124–137. [Google Scholar]
- Lin, G.F.; Wu, M.C.; Chen, G.R.; Tsai, F.Y. An RBF-based model with an information processor for forecasting hourly reservoir inflow during typhoons. Hydrol. Process. 2009, 23, 3598–3609. [Google Scholar] [CrossRef]
- Maier, H.R.; Jain, A.; Dandy, G.C.; Sudheer, K.P. Methods used for the development of neural networks for the prediction of water resource variables in river systems: Current status and future directions. Environ. Model. Softw. 2010, 25, 891–909. [Google Scholar] [CrossRef]
- Haykin, S. Neural Networks: A Comprehensive Foundation; Prentice Hall: Upper Saddle River, NJ, USA, 1999. [Google Scholar]
- Hsu, K.L.; Gupta, H.V.; Gao, X.; Sorooshian, S.; Imam, B. Self-organizing linear output map (SOLO): An artificial neural network suitable for hydrologic modeling and analysis. Water Resour. Res. 2002, 38, 10–26. [Google Scholar] [CrossRef]
- Lin, G.F.; Wu, M.C. An RBF network with a two-step learning algorithm for developing a reservoir inflow forecasting model. J. Hydrol. 2011, 405, 439–450. [Google Scholar] [CrossRef]
- Wu, M.C.; Lin, G.F.; Lin, H.Y. Improving the forecasts of extreme streamflow by support vector regression with the data extracted by self organizing map. Hydrol. Process. 2014, 28, 386–397. [Google Scholar] [CrossRef]
- Skamarock, W.C.; Klemp, J.B.; Dudhia, J.; Gill, D.O.; Barker, D.M.; Duda, M.G.; Huang, X.Y.; Wang, W.; Powers, J.G. A Description of the Advanced Research WRF Version 3; NCAR Tech. Note TN-475 STR; National Center for Atmospheric Research: Boulder, CO, USA, 2008. [Google Scholar]
- Grell, G.A.; Dudhia, J.; Stauffer, D.R. A Rete/NCAR Mesoscale Model (MM5); NCAR Tech. Note NCAR/TN-398 STR; National Center for Atmospheric Research: Boulder, CO, USA, 1995. [Google Scholar]
- Tsuboki, K. High-resolution simulations of high-impact weather systems using the cloud-resolving model on the earth simulator. In High Resolution Numerical Modelling of the Atmosphere and Ocean; Hamilton, K., Ohfuchi, W., Eds.; Springer: New York, NY, USA, 2008; pp. 141–156. [Google Scholar]
- Gopalakrishnan, S.G.; Liu, Q.; Marchok, T.; Sheinin, D.; Surgi, N.; Tuleya, R.; Yablonsky, R.; Zhang, X. Hurricane Weather and Research and Forecasting (HWRF) Model: Scientific Documentation; NOAA/NCAR/Development Tech Center: Boulder, CO, USA, 2012. [Google Scholar]
- Grell, G.A.; Devenyi, D. A generalized approach to parameterizing convection combining ensemble and data assimilation techniques. Geophys. Res. Lett. 2002, 29, 1693. [Google Scholar] [CrossRef]
- Betts, A.K.; Miller, M.J. A new convective adjustment scheme. Part II: Single column tests using GATE wave, BOMEX, and arctic air-mass data sets. Q. J. R. Meteorol. Soc. 1986, 112, 693–709. [Google Scholar]
- Kain, J.S.; Fritsch, J.M. A one-dimensional entraining/detraining plume model and its application in convective parameterization. J. Atmos. Sci. 1990, 47, 2784–2802. [Google Scholar] [CrossRef]
- Grell, G.A. Prognostic evaluation of assumptions used by cumulus parameterizations. Mon. Weather Rev. 1993, 121, 764–787. [Google Scholar] [CrossRef]
- Arakawa, A.; Schubert, W. Interaction of a cumulus cloud ensemble with the large scale environment, I. J. Atmos. Sci. 1974, 31, 674–701. [Google Scholar] [CrossRef]
- Tao, W.K.; Simpson, J.; Baker, D.; Braun, S.; Chou, M.D.; Ferrier, B.; Johnson, D.; Khain, A.; Lang, S.; Lynn, B.; et al. Microphysics, radiation and surface processes in the Goddard Cumulus Ensemble (GCE) model. Meteorol. Atmos. Phys. 2003, 82, 97–137. [Google Scholar] [CrossRef]
- Hong, S.Y.; Dudhia, J.; Chen, S.H. A revised approach to ice microphysical processes for the bulk parameterization of clouds and precipitation. Mon. Weather Rev. 2004, 132, 103–120. [Google Scholar] [CrossRef]
- Ikawa, M.; Saito, K. Description of a nonhydrostatic model developed at the Forecast Research Department of the MRI. Tech. Rep. MRI 1991, 28. [Google Scholar] [CrossRef]
- Ferrier, B.S.; Jin, Y.; Lin, Y.; Black, T.; Rogers, E.; DiMego, G. Implementation of a new gridscale cloud and precipitation scheme in the NCEP Eta Model. In Proceedings of the 19th Conference on Weather Analysis and Forecasting/15th Conference on Numerical Weather Prediction, San Antonio, TX, USA, 12–16 August 2002; pp. 280–283. [Google Scholar]
- Hong, S.Y.; Noh, Y.; Dudhia, J. A new vertical diffusion package with an explicit treatment of entrainment processes. Mon. Weather Rev. 2006, 134, 2318–2341. [Google Scholar] [CrossRef]
- Hong, S.Y.; Pan, H.L. Nonlocal boundary layer vertical diffusion in a medium-range forecast model. Mon. Weather Rev. 1996, 124, 2322–2339. [Google Scholar] [CrossRef]
- Janjic, Z.I. The step-mountain eta coordinate: Further development of the convection, viscous sublayer, and turbulent closure schemes. Mon. Weather Rev. 1994, 122, 927–945. [Google Scholar] [CrossRef]
- Hong, J.S.; Fong, C.T.; Hsiao, L.F.; Yu, Y.C.; Tzeng, C.Y. Ensemble Typhoon Quantitative Precipitation Forecasts Model in Taiwan. Weather Forecast. 2015, 30, 217–237. [Google Scholar] [CrossRef]
- Wu, M.C.; Lin, G.F. The very short-term rainfall forecasting for a mountainous watershed by means of an ensemble numerical weather prediction system in Taiwan. J. Hydrol. 2017, 546, 60–70. [Google Scholar] [CrossRef]
- Kumar, A.; Mitra, A.K.; Bohra, A.K.; Iyengar, G.R.; Durai, V.R. Multi-model ensemble (MME) prediction of rainfall using neural networks during monsoon season in India. Meteorol. Appl. 2012, 19, 161–169. [Google Scholar] [CrossRef]
- Kohonen, T. Self-Organizing Maps; Springer: Berlin, Germany, 2001. [Google Scholar]
- Michaelides, S.C.; Pattichis, C.S.; Kleovoulou, G. Classification of rainfall variability by using artificial neural networks. Int. J. Climatol. 2001, 21, 1401–1414. [Google Scholar] [CrossRef]
- Borah, N.; Sahai, A.K.; Chattopadhyay, R.; Joseph, S.; Abhilash, S.; Goswami, B.N. A self-organizing map-based ensemble forecast system for extended range prediction of active/break cycles of Indian summer monsoon. J. Geophys. Res. Atmos. 2013, 118, 9022–9034. [Google Scholar] [CrossRef]
- Wu, M.C.; Lin, G.F. An Hourly Streamflow Forecasting Model Coupled with an Enforced Learning Strategy. Water 2015, 7, 5876–5895. [Google Scholar] [CrossRef]
- Yin, C.H.; Li, Y.P.; Ye, W.; Bornman, J.F.; Yan, X.D. Statistical downscaling of regional daily precipitation over southeast Australia based on self-organizing maps. Theor. Appl. Climatol. 2011, 105, 11–26. [Google Scholar] [CrossRef]
- Lin, G.F.; Wang, C.M. Performing cluster analysis and discrimination analysis of hydrological factors in one step. Adv. Water Resour. 2006, 29, 1573–1585. [Google Scholar] [CrossRef]
- Lin, G.F.; Wu, M.C. A hybrid neural network model for typhoon rainfall forecasting. J. Hydrol. 2009, 375, 450–458. [Google Scholar] [CrossRef]










| NWMs | Cumulus Schemes | Microphysics Schemes | Planetary Boundary Layer Schemes |
|---|---|---|---|
| WRF | Grell-Devenyi, Grell 3D, Betts-Miller-Janjic, Kain-Fritsch | Goddard | Yonsei University |
| HWRF | Simplified Arakawa & Schubert | Ferrier | NCEP GFS |
| MM5 | Grell | WRF Single-Moment 5-class | Medium-Range Forecast nonlocal boundary layer |
| CReSS | ---- | Cold rain | Mellor & Yamada |
| No. | Rainfall Period (yyyy/mm/dd/hh) | Maximum 24-h Rainfall (mm) | Remark |
|---|---|---|---|
| 1 | 2012/08/01/00~2012/08/02/00 | 1024 | Typhoon Saola |
| 2 | 2013/08/28/18~2013/08/29/18 | 722 | Typhoon Kong-Rey |
| 3 | 2014/09/20/18~2014/09/21/18 | 761 | Typhoon Fung-Wong |
| 4 | 2015/08/07/12~2015/08/08/12 | 1042 | Typhoon Soudelor |
| 5 | 2016/09/26/18~2016/09/27/18 | 943 | Typhoon Megi |
| Measures | Performance Measures of 5 Typhoons | Improvement | |
|---|---|---|---|
| Conventional | Proposed | ||
| CC | 0.753 | 0.779 | 3.5% |
| RMSE (mm) | 93.13 | 89.10 | −4.3% * |
| AEV (%) | 19.85 | 19.05 | −4.0% * |
| AEP (%) | 40.52 | 38.82 | −4.2% * |
| Data Used | CC | RMSE (mm) | ||||
|---|---|---|---|---|---|---|
| Conventional | Proposed | Improvement | Conventional | Proposed | Improvement | |
| 10% | 0.375 | 0.441 | 17.5% | 202.451 | 191.900 | −5.2% |
| 20% | 0.433 | 0.488 | 12.8% | 160.195 | 152.293 | −4.9% |
| 30% | 0.513 | 0.557 | 8.7% | 138.016 | 131.581 | −4.7% |
| 40% | 0.573 | 0.614 | 7.0% | 123.026 | 117.294 | −4.7% |
| 50% | 0.605 | 0.645 | 6.5% | 114.129 | 108.869 | −4.6% |
© 2017 by the authors. Licensee MDPI, Basel, Switzerland. This article is an open access article distributed under the terms and conditions of the Creative Commons Attribution (CC BY) license (http://creativecommons.org/licenses/by/4.0/).
Share and Cite
Wu, M.-C.; Hong, J.-S.; Hsiao, L.-F.; Hsu, L.-H.; Wang, C.-J. Effective Use of Ensemble Numerical Weather Predictions in Taiwan by Means of a SOM-Based Cluster Analysis Technique. Water 2017, 9, 836. https://doi.org/10.3390/w9110836
Wu M-C, Hong J-S, Hsiao L-F, Hsu L-H, Wang C-J. Effective Use of Ensemble Numerical Weather Predictions in Taiwan by Means of a SOM-Based Cluster Analysis Technique. Water. 2017; 9(11):836. https://doi.org/10.3390/w9110836
Chicago/Turabian StyleWu, Ming-Chang, Jing-Shan Hong, Ling-Feng Hsiao, Li-Huan Hsu, and Chieh-Ju Wang. 2017. "Effective Use of Ensemble Numerical Weather Predictions in Taiwan by Means of a SOM-Based Cluster Analysis Technique" Water 9, no. 11: 836. https://doi.org/10.3390/w9110836
APA StyleWu, M.-C., Hong, J.-S., Hsiao, L.-F., Hsu, L.-H., & Wang, C.-J. (2017). Effective Use of Ensemble Numerical Weather Predictions in Taiwan by Means of a SOM-Based Cluster Analysis Technique. Water, 9(11), 836. https://doi.org/10.3390/w9110836
