Abstract
Hydraulic and hydrologic analysis in urban catchments is typically accompanied by a number of uncertainties, such as a lack of required information for modeling purposes or complex loops inside a drainage network. In this article, Gibbs’ stochastic network model is utilized in order to achieve a dendritic network that corresponds to a fully looped network in terms of the peak of the runoff hydrograph at the outlet. A synthetic catchment with a drainage network composed of 8 × 8 grids is introduced to investigate the behavior of a fully looped network for a given rainfall event using the Storm Water Management Model. Dendritic networks are generated from the Gibbsian model for a given value of the parameter, β. The results showed that the shape of the hydrograph and the peak flow of a fully looped network are heavily dependent on the catchment slope. Moreover, the results showed that it is possible to find the corresponding dendritic networks generated by the Gibbsian model that match the fully looped network depending on the catchment slope in terms of peak flows. The results of this study imply the potential improvement of drainage network analysis providing a relationship between the catchment slope of a fully looped network and the corresponding dendritic network generated by the Gibbsian model.
1. Introduction
From a hydraulic and hydrologic engineering point of view, urban drainage problems can be classified into two types: design purpose and prediction purpose for forecasting and operation [1]. While the design purpose problem utilizes hypothetical rainstorms with a relatively simple temporal and spatial distribution of rainfall, more precise and detailed analysis is required for the prediction purpose problem for the operation and management of a system. The Tunnel and Reservoir Plan (TARP) of Chicago in the Unites States is a good example; it requires a precise prediction of the input (runoff hydrograph) to the system in order to operate and manage the entire system for environmental and potential flood risk management purposes [2,3].
One of the recent approaches of hydrologic analysis in urban drainage problems is based on the Geomorphologic Instantaneous Unit Hydrograph (GIUH) [4,5]. Rodriguez et al. [6,7] suggest a morpho-climatic approach incorporating rainfall intensity in order to obtain the Instantaneous Unit Hydrograph (IUH) in urban catchments. Gironas et al. [8] also developed a morpho-climatic instantaneous unit hydrograph model for urban catchments based on the kinematic wave approximation. Cantone [2] and Cantone and Schmidt [9] developed the Illinois Urban Hydrologic Model (IUHM) based on the Strahler ordering scheme [10] to characterize the flow paths. They demonstrated the performance of the model in terms of predicting the shape, timing, and peak of the direct runoff hydrograph at the outlet of urban sewer systems compared with the widely-accepted model, Storm Water Management Model (SWMM); they also compared their results with observed flow hydrographs. The advantage of these approaches compared with an explicitly distributed modeling approach is that the model is applicable even in the case of data unavailability in some parts of the catchment.
In spite of the efforts of model development based on GIUH and the resulting accuracy and precision of the model prediction, one of the disadvantages of models based on GIUH is that they are not capable of analyzing a network that contains a loop; they are only applicable to a dendritic network. The fundamental idea of models based on GIUH that characterizes the flow path by the Strahler ordering scheme is only applicable to dendritic networks. Moreover, in an older city such as Chicago, it can sometimes be difficult to acquire network information such as slopes, roughness, and invert elevations of conduits required by a hydraulic model [3], thus limiting the application of the models regardless of the performances.
Recently, stochastic methodologies and algorithms are being introduced to urban drainage networks for the purpose of incomplete network delineations [11], an optimized design of sewer systems [12], and also for water supply networks [13]. Bailly et al. [11] reconstructed an entire drainage network of a cultivated landscape from disconnected reaches of the network using a spatial stochastic algorithm that satisfies two objectives about the cumulative network length and number of reconnected edges. The reconstructed networks are directed tree graphs, i.e., dendritic networks. For the purpose of generation of layouts for urban drainage systems that should be dendritic, Haghighi [14] proposed a loop-by-loop cutting algorithm, which basically converts a fully looped network into a dendritic network. The objective function reflects the layout cost in terms of the length and concave function of flow rate of each link. However, the objective function related to the total length of the network [11] or the construction cost [14] tends to restrict the resulting dendritic network to an efficient and optimized network.
As Haghighi [14] mentioned, in case of steep areas, drainage networks are typically cost-effective if they were designed based on the topography. However, in flat areas like Chicago, there are not only efficient and optimized networks in terms of drainage time or construction cost, but also inefficient and highly sinuous networks. In addition, it is not a straightforward problem to derive a tree type network from a looped condition. Therefore, this study seeks to obtain a dendritic network that corresponds to a looped network in terms of the shape and peak of hydrographs for a given rainstorm. For this purpose, we used the Gibbsian model [15], which generates dendritic networks based on Gibbs’ measure [16]. The Gibbsian model has one parameter, β, that dictates the overall sinuosity of a network [17], thus differing from the random walk models, such as the Uniform model [18,19,20,21], which were based on an assumption of the absence of environmental controls. Therefore, the Gibbsian model enables us to generate efficient networks, as well as inefficient and highly sinuous networks, depending on the parameter values. Seo and Schmidt [22,23] showed that the network property in urban catchments represented by the parameter (β) of the Gibbsian model shows greater variability compared with that of natural river networks. They also showed that the network property can be a key link that relates the effect of rainstorm movement to the urban drainage network runoff hydrographs. Seo and Schmidt [24] also showed the applicability of the Gibbsian model in urban drainage network that the Gibbsian model can replace the actual drainage network in an urban catchment even though the network has loops inside.
As mentioned earlier, the aim of this study is to identify a dendritic network that corresponds to a looped network in terms of the shape and peak of hydrographs for a given rainstorm. This study is developed from the study of Seo and Schmidt [24] and aims at more detailed and focused study of the behavior of a fully looped network with various urban catchment characteristics such as catchment slope, impervious ratio, as well as rainfall duration. A synthetic catchment with a drainage network composed of 8 × 8 grids is introduced to investigate the behavior of the fully looped network for a given rainfall event using the Storm Water Management Model (SWMM). Dendritic networks are generated from the Gibbsian model for a given value of the parameter, β. However, because the Gibbsian model is a stochastic network model, Monte Carlo simulation, is utilized to obtain representative averaged peak flows. Therefore, the final objective is actually not to find a single dendritic network, but a value of a parameter, β, of the Gibbsian model that corresponds to the fully looped network for a given catchment slope. It should be noted that, basically, the purpose of this study is to demonstrate that an equivalent dendritic network to a fully looped network can be identified.
2. Methodology
Loops are easily found in urban catchments not just for water supply pipe networks, but also for stormwater drainage pipe networks. Figure 1a shows the Mokdong region in Seoul, South Korea. This area is located on a low and flat ground compared to the high water elevation of the Han River that crosses Seoul, and hence, it is prone to frequent flooding. The grey areas indicate flooded areas in 2010, and dark grey shows flooded areas in 2011. Most of the drainage network contain loops in this region as shown in Figure 1a. Figure 1b shows the downtown area of City of Chicago in USA. Urban catchments in this area have very flat topography. Drainage networks typically contains loops inside the drainage networks. As mentioned earlier, identifying a dendritic network that corresponds to a drainage network with loops need to be addressed. In flat areas like Chicago, there are not only efficient and optimized networks in terms of drainage time or construction cost, but also inefficient and highly sinuous networks. In addition, it is not a straightforward problem to derive a tree type network from a looped condition [14]. In this regard, this study introduced a square synthetic network that is fully looped. The Gibbsian model [15] is also introduced to generate dendritic networks with different degrees of sinuosity.
Figure 1.
Drainage networks in urban catchments: (a) Mokdong area in Seoul, South Korea near the Han River; (b) downtown area of Chicago, USA near Lake Michigan.
Figure 1.
Drainage networks in urban catchments: (a) Mokdong area in Seoul, South Korea near the Han River; (b) downtown area of Chicago, USA near Lake Michigan.

2.1. Synthetic Catchment and the Behavior of a Fully Looped Network
In this study, a synthetic rectangular catchment is introduced with an outlet at the bottom rightmost corner in order to investigate the behavior of a fully looped network (Figure 2). The catchment is composed of 8 × 8 grids. The grid size is 500 m and each grid is connected by circular conduits with a single diameter of 6 m to avoid the surcharge condition. The catchment is assumed to have a uniform catchment slope; the bottom rightmost corner (outlet) is the lowest point in the catchment. Dendritic networks that correspond to this fully looped network in terms of the peak flow depending on the catchment slope are generated by the Gibbsian model. The sinuosity of the Gibbsian network is controlled by the value of β as shown in Figure 2. The channel width of the Gibbsian model in Figure 2 represents the maximum value of the width function. To generate a dendritic network with the Gibbsian model, a Markov chain is defined with the spanning trees of S as the state space. Let a tree s belong to S and two trees s1 and s2 be adjacent. The transition probability from s1 to s2 can then be defined as follows [15]:
where N(s1) is the set of trees adjacent to s1, and β is a parameter that represents the extent to which the sinuosity of the network is reflected in the generation of the new spanning tree, s2. For example, when β is equal to zero, the overall sinuosity of a network has no relationship to the transition probability and the transition probabilities are the same in all possible directions, which is identical to the uniform distribution. The maximum degree of the points in S, r, is defined as [15],
The degree, r refers to the maximum number of directions that can be selected, except the existing direction. H(s) is a measure of the sinuosity of a given spanning tree, s [15],
where s is a spanning tree, d is a point of a finite and connected graph B, and D(B) is the set of the total points of B. ξs is the distance to an outlet along s from v, while ξB is the shortest distance to the outlet from d. The actual process to generate a network with the Gibbsian model is as follows. First, start from a network, s1, generated by the Uniform model and randomly select a point, v, in the network and assign a new flow direction from v to generate the adjacent network s2. Second, check whether the new network, s2 is acyclic. If not, repeat the first step. Third, draw a random probability x between zero and one and check that x is greater than e−β[ΔH] where ΔH is equal to H(s2)—H(s1). If this holds, then take s2 as a new network. In the next step, use s2 as the starting network and repeat these steps a sufficient number of times until the resulting tree has a distribution close to the stationary Gibbs’ distribution. The Uniform model [20,21] is defined on a lattice with flow allowed in each of the four possible directions with equal probability; hence, it tends to have high sinuosity. The uniform model is equivalent to the Gibbsian model with β equal to zero. Figure 2 shows a fully looped network and also dendritic networks on the same grids generated by the Gibbsian model depending on the value of β, where a smaller β produces a more sinuous network compared with a larger β.
Figure 2.
A synthetic rectangular catchment composed of 8 × 8 grids and dendritic networks generated by the Gibbsian model: what would behave like the fully looped network?
Figure 2.
A synthetic rectangular catchment composed of 8 × 8 grids and dendritic networks generated by the Gibbsian model: what would behave like the fully looped network?

2.2. SWMM and Rainfall-Runoff Model Runs
Due to the nature of the Gibbsian model, which is a stochastic network model, Monte Carlo Simulation is utilized to obtain representative averaged peak flows. Therefore, in order to find dendritic networks that correspond to a fully looped network for a given catchment slope, 100 networks are generated by the Gibbsian model for a given β. Then, for each catchment slope, the shape and the peak flow of the dendritic network are tested to compare with the fully looped network. In this study, the Storm Water Management Model (SWMM) is utilized to obtain the runoff hydrograph at the outlet of the catchment for a given rainstorm. SWMM is a widely-accepted model for drainage network analysis. The dynamic wave module built in SWMM is the Extended Transport (EXTRAN) block [25,26] that solves the flow sewer by sewer by the one-sweep explicit method without the need for a simultaneous solution of the sewers of the network [1].
A SWMM model was constructed with a subcatchment, the area of which is 50 ha and catchment width is 500 m. The number of subcatchments is 64 (8 × 8). All subcatchments have the same area, width and catchment slope (0.5%) as well as the ratio of impervious area (25%). The roughness of impervious area was set to 0.01 s/m1/3, and the roughness of pervious area was set to 0.1 s/m1/3. The invert elevation at the outlet of the drainage network is set to zero and invert elevations of other junctions were determined based on the catchment slope and the distance from the outlet. The conduits have the same length, 500 m and the maximum depth was set to 6 m. The layout of the drainage network of the SWMM model was built depending on the Gibbsian model generated for a given value of β. The duration of the rainfall is fixed to one hour and the rainfall intensities from 4 to 30 mm were tested. In terms of the infiltration model, Horton’s method was used with the same parameter values for all subcatchments. Obviously, model section and spatial variation of parameter values for the nonlinear infiltration process can affect the results of this study and finding equivalent dendritic networks for a fully looped network. We left this for a future study because the original intention of this study is focusing on the possibility of finding an equivalent dendritic network for a fully looped network.
3. Results and Discussion
3.1. Behavior of the Fully Looped Drainage Network and a Corresponding Dendritic Network
In this study, we first focused on the catchment slope. The behavior of a fully looped network is heavily dependent on the catchment slope (Sc). Figure 3 shows the direct runoff hydrographs of the fully looped network (Figure 2) depending on slope for a 1 hour storm with hourly rainfall intensity of 15 mm. As shown in Figure 3a, the peak flow of the hydrograph sharply decreases as the catchment slope decreases. Figure 3b shows the peak flows of the fully-looped network as a function of the catchment slope. The result shows that a transition exists in the relation between the catchment slope and the peak flows of a fully looped network as shown in Figure 3b; the relation between the catchment slope and peak flows is logarithmic but the slope of peak flow with respect to the catchment slope changes near the catchment slope of 9 × 10−3.
The behavior of a fully looped network that depends on the catchment slope implies a possibility that it can be approximated by a corresponding dendritic network for a given catchment slope. Figure 4 compares the hydrographs from a fully looped drainage network (Figure 2) and dendritic networks generated by the Gibbsian model for the slopes of 4 × 10−4, 10−4, and 4 × 10−5. The results clearly show that the shape of the hydrograph from a fully looped network is close to the shapes of the hydrographs from dendritic networks, which are generated by the Gibbsian model depending on the catchment slope. For example, when the catchment slope is relatively steep (4 × 10−4), the hydrograph of the fully looped network is close to that of the dendritic network with higher β (10°). In contrast, when the catchment slope is relatively mild (S = 4 × 10−5), the hydrograph of the fully looped network coincides with the dendritic network with smaller β (10−4). The behavior of the fully looped network implies that it is possible to make a pair of dendritic networks generated by the Gibbsian model and the fully looped network depending on the catchment slope.
Figure 3.
Behavior of a fully looped network depending on the catchment slope (Sc): (a) runoff hydrographs; (b) peak flows (rainfall intensity = 15 mm/h).
Figure 3.
Behavior of a fully looped network depending on the catchment slope (Sc): (a) runoff hydrographs; (b) peak flows (rainfall intensity = 15 mm/h).

Figure 4.
Comparison of the flow hydrographs from a fully looped network and dendritic networks generated by the Gibbsian model depending on the catchment slope (rainfall intensity = 15 mm/h).
Figure 4.
Comparison of the flow hydrographs from a fully looped network and dendritic networks generated by the Gibbsian model depending on the catchment slope (rainfall intensity = 15 mm/h).

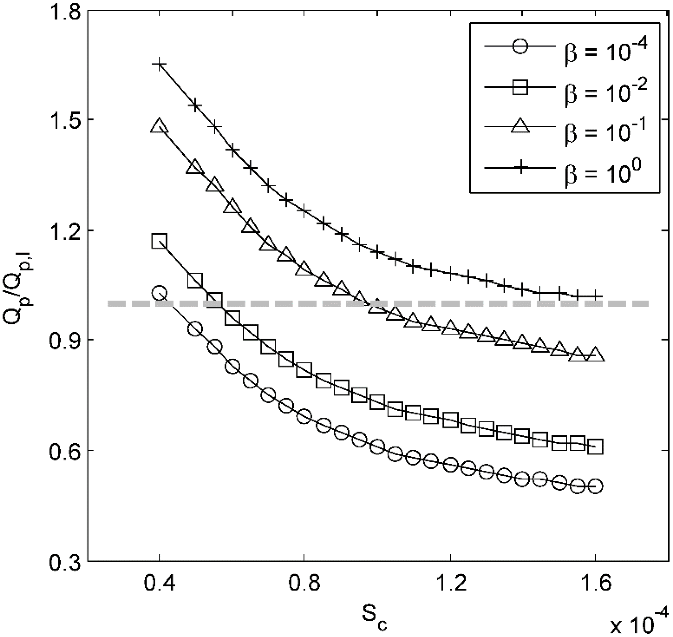
Although it is possible to identify a dendritic network (the value of β) that behaves like a fully looped network, the relation changes as the catchment slope changes. Figure 5 shows the behavior of the peak flow of a fully looped network and dendritic networks generated by the Gibbsian model for various catchment slopes. The result shows clearly that the behavior of the fully looped network in terms of the peak flow can be simulated by the corresponding dendritic networks, and is represented by β; the parameter of the Gibbsian model. Figure 5a shows that when the catchment slope is in the order of 4 × 10−5, the peak flow of the fully looped network is close to the dendritic networks generated by the Gibbsian model with β equal to 10−4. In contrast, when the catchment slope becomes higher (4 × 10−3), the closest dendritic network is generated with β higher than 101 (Figure 5d). Figure 5 shows that the corresponding dendritic network changes as the catchment slope changes. Table 1 lists the peak flows of the fully looped network and the dendritic networks generated by the Gibbsian model depending on slope and β. The results clearly show that β of the corresponding equivalent network to the fully looped network (Qp/Qp,l = 1) increases as the catchment slope increases (Figure 6). Figure 7 shows how the corresponding dendritic network (the Gibbsian model with β) changes as the catchment slope and the rainfall intensity changes. For example, the bottom left most circle indicates that, when the rainfall intensity is 30 mm/h and the catchment slope is equal to 2.93 × 10−4, the Gibbsian model with β = 6.54 × 10−5 behaves like a fully looped drainage network.
Figure 5.
Behavior of the peak flow of a fully looped network depending on the catchment slope of the order of: (a) 4 × 10−5; (b) 6 × 10−5; and (c) 1 × 10−4; 4 × 10−3 (rainfall intensity = 15 mm/h).
Figure 5.
Behavior of the peak flow of a fully looped network depending on the catchment slope of the order of: (a) 4 × 10−5; (b) 6 × 10−5; and (c) 1 × 10−4; 4 × 10−3 (rainfall intensity = 15 mm/h).

Table 1.
Averaged peak flow ratio (Qp/Qp,l) of dendritic drainage networks generated with the Gibbsian model to the fully looped network depending on the catchment slope (rainfall intensity = 15 mm/h).
| Catchment Slope | Gibbs Model (β) | ||||||
|---|---|---|---|---|---|---|---|
| 10−4 | 10−3 | 10−2 | 10−1 | 100 | 101 | 102 | |
| 4.00 × 10−5 | 1.03 | 1.06 | 1.17 | 1.48 | 1.65 | 1.66 | 1.66 |
| 5.00 × 10−5 | 0.93 | 0.96 | 1.06 | 1.37 | 1.54 | 1.54 | 1.55 |
| 6.00 × 10−5 | 0.83 | 0.86 | 0.96 | 1.26 | 1.42 | 1.43 | 1.43 |
| 7.00 × 10−5 | 0.75 | 0.78 | 0.88 | 1.16 | 1.32 | 1.33 | 1.33 |
| 8.00 × 10−5 | 0.69 | 0.72 | 0.82 | 1.09 | 1.25 | 1.26 | 1.26 |
| 9.00 × 10−5 | 0.65 | 0.67 | 0.77 | 1.04 | 1.19 | 1.20 | 1.20 |
| 1.00 × 10−5 | 0.61 | 0.63 | 0.73 | 0.99 | 1.14 | 1.15 | 1.15 |
| 1.10 × 10−5 | 0.58 | 0.60 | 0.70 | 0.95 | 1.10 | 1.11 | 1.11 |
| 1.20 × 10−5 | 0.56 | 0.58 | 0.68 | 0.93 | 1.08 | 1.09 | 1.09 |
| 1.30 × 10−5 | 0.54 | 0.56 | 0.66 | 0.91 | 1.06 | 1.07 | 1.07 |
| 1.40 × 10−5 | 0.52 | 0.54 | 0.64 | 0.89 | 1.04 | 1.05 | 1.05 |
| 1.50 × 10−5 | 0.51 | 0.53 | 0.62 | 0.87 | 1.03 | 1.04 | 1.04 |
| 1.60 × 10−5 | 0.50 | 0.51 | 0.61 | 0.86 | 1.02 | 1.02 | 1.02 |
Figure 6.
Averaged peak flow ratio (Qp/Qp,l) of dendritic drainage networks generated with the Gibbsian model to the fully looped network depending on the catchment slope (rainfall intensity = 15 mm/h).
Figure 6.
Averaged peak flow ratio (Qp/Qp,l) of dendritic drainage networks generated with the Gibbsian model to the fully looped network depending on the catchment slope (rainfall intensity = 15 mm/h).

Figure 7.
Behavior of the peak flow of a fully looped network depending on the catchment slope and rainfall intensity.
Figure 7.
Behavior of the peak flow of a fully looped network depending on the catchment slope and rainfall intensity.

The results show that the relation between the value of β of the corresponding dendritic network generated by the Gibbsian model and the catchment slope is dependent on the rainfall intensities. The results also indicate that the relation between β and the catchment slope can be represented by a two-step exponential relationship; one relationship for β less than 10−1, the other relationship for β greater than 10−1 regardless of the rainfall intensities (Table 2). Figure 8 depicts the corresponding Gibbsian models (β) to a fully looped network depending on the catchment slope and rainfall intensity. As mentioned earlier, rainfall intensity is another factor affecting results: the corresponding dendritic network changes as rainfall intensity varies. However, as shown in Figure 8, the corresponding Gibbsian model (value of β) converges as rainfall intensity increases. The result also shows that the convergence exists for smaller rainfall intensity when the catchment slope is smaller.
Table 2.
Two-step regression equation between catchment slopes (Sc) and the Gibbsian model (β) (rainfall intensity = 15 mm/h).
| Range | Equation | a | b | R2 |
|---|---|---|---|---|
| 10−4 < β <10−1 | Sc = a·exp(b·β) | 5.00 × 10−5 | 6.5356 | 0.991 |
| 10−1 < β < 101 | Sc = a·exp(b·β) | 9.00 × 10−5 | 0.6217 | 0.989 |
Figure 8.
Corresponding Gibbsian models (β) to a fully looped network depending on the catchment slope and rainfall intensity.
Figure 8.
Corresponding Gibbsian models (β) to a fully looped network depending on the catchment slope and rainfall intensity.

3.2. Effect of the Catchment Imperviousness Ratio and Rainfall Duration on the Equivalence
It is necessary to perform a wider sensitivity analysis to show whether the association between a fully looped network and a dendritic network still holds for different conditions for rainfall duration, catchment properties, and, consequently, modeling parameters of SWMM. In this regard, we tested different catchment imperviousness ratios and evaluate the effect in terms of the equivalence. To test the effect of imperviousness ratio and temporal rainfall variation at the same time, we included various cases of rainfall variation (Table 3) and repeated the same step previously described to uncover the equivalent dendritic networks in terms of the Gibbsian parameter, β. In this case, we limit the fully looped network case to one with a catchment slope of 10−4. Also, as shown in Table 3, the total rainfall amount falling on the test catchment is the same as 15 mm. Figure 9 depicts the equivalent Gibbsian networks depending on test cases and the catchment imperviousness ratio (rimperv). The result is interesting in that compared with the previous results with rimperv equal to 25%, the equivalent Gibbsian network shows high sensitivity to catchment imperviousness ratio. In contrast, rainfall duration shows little difference in terms of equivalent networks, which is dissimilar to the results from rainfall intensity (Figure 8). The results indicate the equivalence still can be found and the association between a fully looped network and a dendritic network can be established in different rainfall durations and imperviousness ratios. However, the equivalence can be greatly affected by the rainfall intensity and catchment characteristics.
To continue the discussion of the disadvantage of the modeling approach based on the GIUH, as outlined in the introduction section, the results of this study imply an alternative which validates the GIUH modeling approach for a drainage network that even contains loops. This study illustrates a possibility to find dendritic networks that correspond to a fully looped network in terms of the shape of the hydrograph as well as the peak flow depending on the catchment slope; this means that the modeling approach based on the GIUH in urban catchment is applicable regardless of the loops it contains. In addition, this study shows that regardless of the rainfall intensities, it is possible to obtain a two-step exponential relationship between the dendritic networks (β) and the catchment slope for two intervals; one relationship for β less than 10−1, the other relationship for β greater than 10−1. This relationship can be explicitly utilized to obtain the value of β depending on the catchment slopes.
Table 3.
Cases of temporal rainfall variation evaluated for equivalent dendritic networks.
| Test Cases | Precipitation (mm) | |||||||||
|---|---|---|---|---|---|---|---|---|---|---|
| 0 min | 10 min | 20 min | 30 min | 40 min | 50 min | 60 min | 70 min | 80 min | 90 min | |
| P1 | - | - | - | - | 15 | - | - | - | - | - |
| P2 | - | - | - | 5 | 5 | 5 | - | - | - | - |
| P3 | - | 2.5 | 2.5 | 2.5 | 2.5 | 2.5 | 2.5 | - | - | - |
| P4 | 1.5 | 1.5 | 1.5 | 1.5 | 1.5 | 1.5 | 1.5 | 1.5 | 1.5 | 1.5 |
| P5 | - | - | - | 2.5 | 10 | 2.5 | - | - | - | - |
Figure 9.
Corresponding Gibbsian models (β) to a fully looped network (Sc = 10−4) depending on the imperviousness ratio and temporal rainfall variation.
Figure 9.
Corresponding Gibbsian models (β) to a fully looped network (Sc = 10−4) depending on the imperviousness ratio and temporal rainfall variation.

The original purpose of this study was to identify an equivalent dendritic network that approximates hydrologic response of a network including loops inside it. In this regard, Figure 10 compares the hydrographs obtained using the GIUH for a dendritic networks generated by the Gibbsian model with those from a fully looped network given a catchment slopes. Figure 10a shows that when the catchment slope is relatively steep (4 × 10−4), the hydrograph of the fully looped network is close to that of the dendritic network with higher β (100). In contrast, when the catchment slope is relatively mild (S = 1 × 10−4), the hydrograph of the fully looped network is close to the dendritic network with smaller β (10−4), which is consistent regardless of the model (GIUH or SWMM). The behavior of the fully looped network implies that it is possible to set a pair of dendritic networks generated by the Gibbsian model and the fully looped network depending on the catchment slope. Seo and Schmidt [22] showed that the network property in urban catchments represented by the parameter (β) of the Gibbsian model shows greater variability compared with that of natural river networks, of which β is typically greater than 10°. Conversely, it can be inferred that the Gibbsian model is appropriate to represent the network properties of the drainage network in urban catchments compared to other stochastic network models, such as the Scheidegger model [18,19] and Uniform model [20,21]. Combined with the results from Seo and Schmidt [22,23,24], this study strongly suggests the application of the Gibbsian model to a hydrologic modeling approach in urban catchments, especially in the case of data unavailability.
Figure 10.
Comparison of the flow hydrographs from a fully looped network using Storm Water Management Model (SWMM) and a dendritic networks generated by the Gibbsian model using Geomorphologic Instantaneous Unit Hydrograph (GIUH) and SWMM (rainfall intensity = 15 mm/h).
Figure 10.
Comparison of the flow hydrographs from a fully looped network using Storm Water Management Model (SWMM) and a dendritic networks generated by the Gibbsian model using Geomorphologic Instantaneous Unit Hydrograph (GIUH) and SWMM (rainfall intensity = 15 mm/h).

4. Conclusions
In spite of hydraulic and hydrologic modelling development and progress in urban catchments, data availability is often an important issue. Especially in older cities, it can require expensive and time-consuming processes to obtain sufficient information for modelling purposes. Moreover, combined with data unavailability, the complex loops inside drainage networks render the modelling even more difficult. Stochastic and probabilistic approaches are therefore needed in order to deal with uncertainties that arise from the hydraulic and hydrologic modelling in urban catchments. This study attempts to address the possibility of applying a stochastic network model to complement modelling approaches for this purpose. Consequently, this study aims to achieve an equivalent dendritic network that corresponds to a fully looped network in terms of the peak of the runoff hydrograph at the outlet using a stochastic network model, the Gibbsian model. A synthetic catchment with a drainage network composed of 8 × 8 grids is introduced to investigate the behaviour of a fully looped network for a given rainfall event utilizing a widely accepted sewer model, the SWMM. Dendritic networks are generated from the Gibbsian model for a given value of the parameter, β. The results indicate that the shape of the hydrograph and the peak flow of a fully looped network are heavily dependent on the catchment slope. The results also indicate the equivalent dendritic network that corresponds to the fully looped network can be identified depending on the catchment slope. Although the number of cases in this study is small and the study is limited to a synthetic square drainage network, the total runs are up to 52,000 because this study introduced a stochastic network model. This study is the very first study of this topic and, hence, focused on the possibility of identifying an equivalent dendritic network to a fully looped network. Therefore, the authors left the application to a real drainage network for future works containing loops, asymmetry and varying slopes. The study is being extended to practical application on urban drainage networks in Seoul and Chicago. The results of this study showed that, basically, a corresponding dendritic network can be identified for a fully looped network. Therefore this study implies a potential improvement of ungagged urban drainage network analyses, particularly based on the GIUH, providing a relationship between the catchment slope of a fully looped network and the corresponding equivalent dendritic networks generated by the Gibbsian model.
Acknowledgments
This study was supported by Basic Science Research Program by the National Research Foundation of Korea (NRF) from the Ministry of Science, ICT and Future Planning (NRF-2013R1A1A1058964).
Author Contributions
Yongwon Seo designed the numerical experiment. Young-Ho Seo conducted the simulation of network and SWMM models. The manuscript was written by Yongwon Seo with contribution from Young-Ho Seo and Young-Oh Kim.
Conflicts of Interest
The authors declare no conflict of interest.
References
- Yen, B.C.; Akan, A.O. Hydraulic design of urban drainage systems. In Hydraulic Design Handbook; Mays, L.W., Ed.; McGraw-Hill: New York, NY, USA, 1999. [Google Scholar]
- Cantone, J.P.; Schmidt, A.R.; Hollander, M.; Erickson, A.; Tang, Y.; Garcia, M.H. Application of the Illinois Urban Hydrologic Model (IUHM) to Selected Catchments in the Calumet Tunnel and Reservoir Plan System; Ven Te Chow Hydrosystems Lab, Department of Civil and Environmental Engineering, University of Illinois at Urbana-Champaign: Urbana, IL, USA, 2009; p. 94. [Google Scholar]
- Cantone, J.P. Improved Understanding and Prediction of the Hydrologic Response of Highly Urbanized Catchments through Development of the Illinois Urban Hydrologic Model (IUHM); University of Illinois at Urbana-Champaign: Urbana, IL, USA, 2010. [Google Scholar]
- Rodriguez-Iturbe, I.; Valdes, J.B. Geomorphologic structure of hydrologic response. Water Resour. Res. 1979, 15, 1409–1420. [Google Scholar]
- Gupta, V.K.; Waymire, E.; Wang, C.T. A representation of an instantaneous unit-hydrograph from geomorphology. Water Resour. Res. 1980, 16, 855–862. [Google Scholar] [CrossRef]
- Rodriguez, F.; Andrieu, H.; Creutin, J.D. Surface runoff in urban catchments: Morphological identification of unit hydrographs from urban databanks. J. Hydrol. 2003, 283, 146–168. [Google Scholar] [CrossRef]
- Rodriguez, F.; Cudennec, C.; Andrieu, H. Application of morphological approaches to determine unit hydrographs of urban catchments. Hydrol. Process. 2005, 19, 1021–1035. [Google Scholar] [CrossRef]
- Gironas, J.; Niemann, J.D.; Roesner, L.A.; Rodriguez, F.; Andrieu, H. A morpho-climatic instantaneous unit hydrograph model for urban catchments based on the kinematic wave approximation. J. Hydrol. 2009, 377, 317–334. [Google Scholar] [CrossRef]
- Cantone, J.; Schmidt, A. Improved understanding and prediction of the hydrologic response of highly urbanized catchments through development of the Illinois urban hydrologic model. Water Resour. Res. 2011, 47. [Google Scholar] [CrossRef]
- Strahler, A.N. Quantitative analysis of watershed geomorphology. EOS Trans. AGU 1957, 38, 913–920. [Google Scholar] [CrossRef]
- Bailly, J.S.; Levavasseur, F.; Lagacherie, P. A spatial stochastic algorithm to reconstruct artificial drainage networks from incomplete network delineations. Int. J. Appl. Earth Obs. 2011, 13, 853–862. [Google Scholar] [CrossRef]
- Pan, T.C.; Kao, J.J. GA-QP model to optimize sewer system design. J. Environ. Eng. ASCE 2009, 135, 17–24. [Google Scholar] [CrossRef]
- Moderl, M.; Sitzenfrei, R.; Fetz, T.; Fleischhacker, E.; Rauch, W. Systematic generation of virtual networks for water supply. Water Resour. Res. 2011, 47. [Google Scholar] [CrossRef]
- Haghighi, A. Loop-by-loop cutting algorithm to generate layouts for urban drainage systems. J. Water Resour. Plan. Manag. 2013, 139, 693–703. [Google Scholar] [CrossRef]
- Troutman, B.M.; Karlinger, M.R. Gibbs distribution on drainage networks. Water Resour. Res. 1992, 28, 563–577. [Google Scholar] [CrossRef]
- Kindermann, R.; Snell, J.L. Markov Random Fields and Their Applications; American Mathematical Society: Providence, RI, USA, 1980; pp. 1–142. [Google Scholar]
- Barndorff-Nielsen, O.E. Stochastic Methods in Hydrology: Rain, Landforms, and Floods; World Scientific: River Edge, NJ, USA, 1998; pp. 1–207. [Google Scholar]
- Scheidegger, A.E. On topology of river nets. Water Resour. Res. 1967, 3, 103–106. [Google Scholar] [CrossRef]
- Scheidegger, A.E. A stochastic model for drainage patterns into an intramontane trench. Int. Assoc. Sci. Hydrol. Bull. 1967, 12, 15–20. [Google Scholar] [CrossRef]
- Leopold, L.B.; Langbein, W.B. The concept of Entropy in Landscape Evolution; United States Government Printing Office: Washington, DC, USA, 1962; pp. 1–20. [Google Scholar]
- Karlinger, M.R.; Troutman, B.M. A random spatial network model based on elementary postulates. Water Resour. Res. 1989, 25, 793–798. [Google Scholar] [CrossRef]
- Seo, Y.; Schmidt, A.R. The effect of rainstorm movement on urban drainage network runoff hydrographs. Hydrol. Process. 2012, 26, 3830–3841. [Google Scholar] [CrossRef]
- Seo, Y.; Schmidt, A.R. Network configuration and hydrograph sensitivity to storm kinematics. Water Resour. Res. 2013, 49, 1812–1827. [Google Scholar] [CrossRef]
- Seo, Y.; Schmidt, A.R. Application of Gibbs’ model to urban drainage networks: A case study in southwestern Chicago, USA. Hydrol. Process. 2014, 28, 1148–1158. [Google Scholar] [CrossRef]
- Roesner, L.A.; Shubinski, R.P. Improved dynamic routing model for storm drainage system. In Urban Storm Water Hydraulics and Hydrology; Yen, B.C., Ed.; Water Resources Publications: Highland Ranch, CO, USA, 1982; pp. 164–173. [Google Scholar]
- Roesner, L.A.; Shubinski, R.P. Storm Water Management Model User’s Manual Version III. Addendum I EXTRAN; Municipal Environmental Research Laboratory: Cincinnati, OH, USA, 1984. [Google Scholar]
© 2015 by the authors; licensee MDPI, Basel, Switzerland. This article is an open access article distributed under the terms and conditions of the Creative Commons Attribution license (http://creativecommons.org/licenses/by/4.0/).