Next Article in Journal
Constructed Wetlands for Treatment of Combined Sewer Overflow in the US: A Review of Design Challenges and Application Status
Next Article in Special Issue
Understanding Irrigator Bidding Behavior in Australian Water Markets in Response to Uncertainty
Previous Article in Journal
Separating the Impacts of Climate Variation and Human Activities on Runoff in the Songhua River Basin, Northeast China
Previous Article in Special Issue
Scenario-Based Impacts of Land Use and Climate Change on Land and Water Degradation from the Meso to Regional Scale
 
 
Font Type:
Arial Georgia Verdana
Font Size:
Aa Aa Aa
Line Spacing:
Column Width:
Background:
Article

Impact of Climate Change on the Irrigation Water Requirement in Northern Taiwan

Department of Harbor and River Engineering, National Taiwan Ocean University, Keelung 20224, Taiwan
*
Author to whom correspondence should be addressed.
These authors contributed equally to this work.
Water 2014, 6(11), 3339-3361; https://doi.org/10.3390/w6113339
Submission received: 2 September 2014 / Revised: 21 October 2014 / Accepted: 31 October 2014 / Published: 7 November 2014
(This article belongs to the Special Issue Water Resources in a Variable and Changing Climate)

Abstract

:
The requirement for irrigation water would be affected by the variation of meteorological effects under the conditions of climate change, and irrigation water will always be the major portion of the water consumption in Taiwan. This study tries to assess the impact on irrigation water by climate change in Taoyuan in northern Taiwan. Projected rainfall and temperature during 2046–2065 are adopted from five downscaled general circulation models. The future evapotranspiration is derived from the Hamon method and corrected with the quadrant transformation method. Based on the projections and a water balance model in paddy fields, the future crop water requirement, effective rainfall and the demand for water for irrigation can be calculated. A comparison between the present (2004–2011) and the future (2046–2065) clearly shows that climate change would lead both rainfall and the temperature to rise; this would cause effective rainfall and crop water requirement to increase during cropping seasons in the future. Overall, growing effective rainfall neutralizes increasing crop water requirement, the difference of average irrigation water requirement between the present and future is insignificant (<2.5%). However, based on a five year return period, the future irrigation requirement is 7.1% more than the present in the first cropping season, but it is insignificantly less (2.1%) than the present in the second cropping season.

1. Introduction

The fourth assessment report of the Intergovernmental Panel on Climate Change indicates that the observations of global average temperature during 1995–2006 have increased, and heavy rainfall events have become much frequent. This report also predicts the global average surface temperature during 2080–2099 may rise between 1.1 °C and 6.4 °C more than the period during 1980–1999, and cause crop productivity to increase [1]. It clearly shows the affection of climate change.
General circulation models (GCMs) are the most advanced tools available to simulate the response of the global climate system to increasing greenhouse gas concentrations. With the models, an assessment of the future climate would be possible [2,3], and the problem of uncertainty may be mitigated by considering multiple models [4,5]. According to the results of the cited researches, the rainfall distribution would be different and temperature would rise under climate change. It would make challenges for water resources management.
Taiwan is a small island in the north-west Pacific. Analyzing the historical meteorological data in Taiwan over the past hundred years, the annual rainfall increased in the northern regions, decreased in central and southern regions, and exhibited no clear tendency in the eastern regions [6]; moreover, the surface temperature rose 0.8–1.6 °C in each region [7]. There is 22.7% of the area that has been cultivated in Taiwan in recent years. The annual water consumption in Taiwan is 17,064 million m3, of which is 11,088 million m3 consumed by irrigation. The proportion of irrigation water is about 65% of the total consumption; in other words, the irrigation requirement is the main demand factor.
Under climate change, the variation of rainfall and temperature would also impact the irrigation water demand. There are many methods to determine the irrigation water requirement, for example: the Erosion Productivity Impact Calculator [8,9], the Global Irrigation Model [10,11], the CROPWAT model [12,13], and the Stochastic Crop Water Production Functions [14]. The basis of these models is to capture the characteristics of crop water consumption in different periods. Therefore, in the given growth characteristic of crops, rainfall and temperature distribution, and geology of a region, according to the water balance model, the irrigation water requirement would be determined by simulation.
Although the average annual rainfall is about 2500 mm in Taiwan, high rainfall intensity along with a steep slope of river makes water resource storage difficult. Since the supply of irrigation water is one of the most significant tasks for water management, an impact evaluation on irrigation water under climate change in Taiwan is essential. That is the purpose of this study.

2. Materials and Method

First of all, daily meteorological data such as rainfall and temperature either from observation or projection are needed for estimating the evapotranspiration of crops. Second, the effective rainfall and irrigation water on paddy fields could be estimated by simulation method based on the water balance. In addition, data concerning the crop coefficient, percolation rate, conveyance loss rate, and farming area are collected. In this study, the present and future are represented by the periods 2004–2011 and 2046–2065, respectively. The flowchart is shown in Figure 1.
Figure 1. Flow chart of this study.
Figure 1. Flow chart of this study.
Water 06 03339 g001

2.1. Study Area

In this study, the irrigation district in northern Taiwan, governed by the Taoyuan Irrigation Association (TIA), is chosen as the study area (see Figure 2). In addition, Shihmen reservoir in the upper reach supplies TIA’s irrigation water. The meteorological station adopted here is located in the middle of the irrigation district and operated by the Agricultural Engineering Research Center. The meteorological data include air temperature, dewpoint temperature, solar radiation, sunshine duration, wind speed and rainfall. On average, the air temperature is 22.49 °C, solar radiation equals 10.07 MJ/m2·day, sunshine duration lasts for 7.12 h, wind speed is 2.25 m/s and the annual rainfall is 1876 mm.
According to the irrigation plan, the area available for farming in TIA is 24,233 ha. There are four types of soil: clayey loam, sandy loam, sand clay loam and light clay. The percentages of each soil are about 41%, 22%, 18% and 19% respectively. In the area, average percolation rate on paddy fields is 8.14 mm/day, and average water conveyance loss is 12.6% [15].
Paddy is the main crop in Taiwan, the proportion of paddy fields to total farming area of TIA is about 95%. The subtropical climate makes two harvests of paddy rice in a year in Taiwan possible. This study assumes the first and second cropping season start between 1 March to 28 June (from the 7th to 18th day) and 1 August to 28 November (from the 22th to 33th day), respectively. That is, a 120 day period for paddy growth is required in each cropping season.
Figure 2. Location of study area and meteorological station.
Figure 2. Location of study area and meteorological station.
Water 06 03339 g002

2.2. Projected Rainfall and Temperature

The projected rainfall and temperature under climate change in the period of 2046–2065 came from five GCMs: CGCm3 from the Canadian Center for Climate Modeling and Analysis (CCCma), Cm3 from the Center National de Recherches Meteorologiques (CNRM), Mk3.0 from Australia’s Commonwealth Scientific and Industrial Research Organization (CSIRO), Cm2.0 from the Geophysical Fluid Dynamics Laboratory (GFDL) and FGOALS-g1.0 from the State Key Laboratory of Numerical Modeling for Atmospheric Sciences and Geophysical Fluid Dynamics (LASG), which are based on SRES A1B scenarios. The A1B scenario describes a future world of very rapid economic growth, global population that peaks in mid-century and declines thereafter, and the rapid introduction of new and more efficient technologies. Moreover, the A1B scenario is distinguished by its technological emphasis: a balance between fossil and other energy sources [16].
Because of coarse resolution from GCM projection, statistical downscaling of GCM scenario-run outputs to local climate stations were needed and applied. All of the data have been downscaled by the Global Change Research Center of National Taiwan University. Briefly, the process of the downscaling technique would be done in three stages [17]: first, the GCM outputs near Taiwan were adjusted with respect to the NCEP reanalysis data [18] during the training period by linking the normalized probability distribution functions of the mean climate parameters; second, a transfer function (i.e., a multiple-variant linear regression) was established to link NCEP reanalysis variants with local climatic observations during the training period; third, the projected temperature and precipitation data at each station during the verification period were adjusted with respect to the local observation data by the procedure in the first stage. The linkage established was then extended to adjust outputs for the years of projections. If more details about the downscaling technique are needed, please refer to [17,19].

2.3. Paddy Water Requirement

The paddy evapotranspiration in this study is assumed under standard conditions, which means the paddy is grown in large fields with disease-free and well-fertilized conditions. The crop water requirement equals crop evapotranspiration under standard conditions, and it is expressed as [20]:
E T c = K c × E T o
where ETc is crop evapotranspiration under standard conditions (mm/day); Kc is crop coefficient (dimensionless); ETo is reference evapotranspiration (mm/day).
Notice that Kc varies during the cropping season and depends also on the type of crops. The Kc value that is commonly used in Taiwan at different growth stages for the first and second cropping seasons is shown in Figure 3 [21].
Figure 3. Crop coefficient (Kc) of paddy at each day during cropping season.
Figure 3. Crop coefficient (Kc) of paddy at each day during cropping season.
Water 06 03339 g003

2.3.1. FAO Penman-Monteith Equation

The FAO Penman-Monteith (PM) equation is adopted here for estimating the reference evapotranspiration. The use of the PM equation is recommended as a standard for reference evapotranspiration to provide more consistent values with actual crop water use data worldwide [20]. The equation is expressed as:
E T o = 0.408 Δ ( R n G ) + γ 900 T + 273 u 2 ( e s e a ) Δ + γ( 1 + 0.34 u 2 )
where Δ is slope vapor pressure curve (kPa/°C); Rn is net radiation at the crop surface (MJ/m2·day); G is soil heat flux density (MJ/m2·day); γ is psychrometric constant (kPa/°C); T is mean daily air temperature at 2 m height (°C); es is saturation vapor pressure (kPa); ea is actual vapor pressure (kPa); u2 is wind speed at 2 m height (m/s). A detailed explanation of this equation can be found in the literature [20].

2.3.2. Hamon Method

Since only projected temperature and rainfall are available from the output of GCMs in this study, the PM equation could not be used for estimating evapotranspiration in the future. In order to solve this problem, the Hamon method, a temperature-based equation, is adopted. Hamon considered temperature and vapor pressure are the important factors that affect evapotranspiration [22]. The modified Hamon equation is expressed as [23]:
P E = 29.8 N e s T + 273.2
where PE is potential evapotranspiration by Hamon (mm/day); N is sunshine duration (h).
Daily sunshine duration N can be calculated through the sunset hour angle (ωs) in theoretically [20]:
N = 24 π ω s

2.3.3. Bias Correction

As mentioned above, the PM equation and Hamon method are adopted for estimating the evapotranspiration of the present and projected respectively. The basic assumption of these method are different; hence, there would be a mismatch between ETo and PE. In addition, the evapotranspiration of PE may need correction. A conversion method, the quadrant transformation method [5,24], is applied here for bias correction. The concept of quadrant transformation method is shown in Figure 4. Here the difference between the 1st and 4th quadrants is estimated either by ETo or by PE, while the difference between the 3rd and 4th quadrants is due to climate change. The duration curve for the corrected PE of the future (2046–2065) in the 2nd quadrant is built by the other three quadrants’ conversion.
The procedure for correction would be expressed by following steps: (1) constructing the daily duration curves, a cumulative frequency curve that show the percent of time specified rainfall were equaled or exceeded during a given period [25], for the 1st, 3rd and 4th quadrant by the evapotranspiration of PM in the present, Hamon in the future and Hamon in the present, respectively; (2) confirming the corresponding percentile of evapotranspiration at the specific day for the duration curve of the 3rd quadrant; (3) finding the corresponding percentile for the 4th quadrant by the evapotranspiration for the 3rd quadrant; (4) using the percentile by above to find a new corresponding evapotranspiration for the 1st quadrant, and which would be the corrected daily value.
By repeating steps (2) to (4) we would obtain the duration curve for the corrected data in 2nd quadrant. Considering the seasonal variation, this correction method is based on monthly duration curves of evapotranspiration.
Figure 4. Bias correction of evapotranspiration through quadrant transformation.
Figure 4. Bias correction of evapotranspiration through quadrant transformation.
Water 06 03339 g004

2.4. Calculation of Irrigation Water Requirement

Since the rainfall, paddy water requirement and geology are understood, the irrigation water requirement can be calculated with a water balance model of the paddy fields. Figure 5 shows the factors affecting water balance in the paddy fields. Irrigation should supply the deficiency of water that paddy growth needs. Considering different soil types on paddy fields and water conveyance loss of irrigation canals, the continuity equation in paddy fields is expressed as:
S t + 1 = S t + P t E T c t j f j A j ° + I R t i A i * ( 1 + C L i )
where St, Pt, ETct, IRt, respectively, indicate the daily water storage, rainfall, crop evapotranspiration, and irrigation water requirement in the paddy fields at time t (mm/day); ƒj is the percolation rate for jth soil type (mm/day), Aj is the percentage of jth soil type area (%); Ai* gives the percentage of total farming area controlled by the ith canal (%), and CLi shows the average water conveyance loss for the area controlled by ith canal (%).
The irrigation water requirement must be externally supplied to fill the deficit for paddy growth when rainfall and storage do not satisfy the water consumption in paddy fields; in contrast, the irrigation water requirement will be 0 while the consumption has been satisfied. Therefore, it could be rewritten as:
I R t = i A i * ( 1 + C L i ) · ( E T c t + j f j A j ° + S t min S t P t ) i f    S t + P t E T c t j f j A j ° < S t min
The rainfall stored in paddy fields for growth is called effective rainfall (Pt*), and it used in the paddy fields at time t equals:
P t * = min { S t max S t + E T c t + j f j A j ° , P t }
where, Stmax and Stmin, respectively, are the maximum and minimum ponding storage in the paddy fields during different growth stages (mm). Here, we assume the water is abundant for a continued irrigation to keep the fields in an appropriate state of water depth. The maximum and minimum storage during different growth stages for paddy are shown in Figure 6 [26,27]. Please note that emptying out the storage would be recommended for root growth at the specific time. Therefore, the minimum ponding storage in some days would be 0.
Figure 5. Concept of water balance in paddy field.
Figure 5. Concept of water balance in paddy field.
Water 06 03339 g005
Figure 6. Suggested water depth in paddy field during cropping season.
Figure 6. Suggested water depth in paddy field during cropping season.
Water 06 03339 g006

3. Result and Discussion

For the A1B emissions scenario in the period of 2046–2065, five GCMs produce different patterns of change on temperature and rainfall. In this study, the mean value of models is used to show the result for the following. It represents the average of the results by five GCMs, instead of the result of average temperature and rainfall by these GCMs.

3.1. Result of Bias Correction

As seen in Figure 7, ETo values in the 1st quadrant are inconsistent with PE values in the 4th quadrant. PE assessed by the Hamon method seems underestimated as evapotranspiration exceeds 2.9 mm/day, and vice versa. Apparently, the biases between the 1st/4th quadrants in the present (2004–2011) and the 2nd/3rd quadrants in the future (2046–2065) are similar. It shows the LASG-based PE projections in 3rd in March quadrant can be appropriately adjusted in the 2nd quadrant by the quadrant transformation method.
Figure 7. Comparison of duration curve for evapotranspiration at each quadrant in March (LASG GCM).
Figure 7. Comparison of duration curve for evapotranspiration at each quadrant in March (LASG GCM).
Water 06 03339 g007
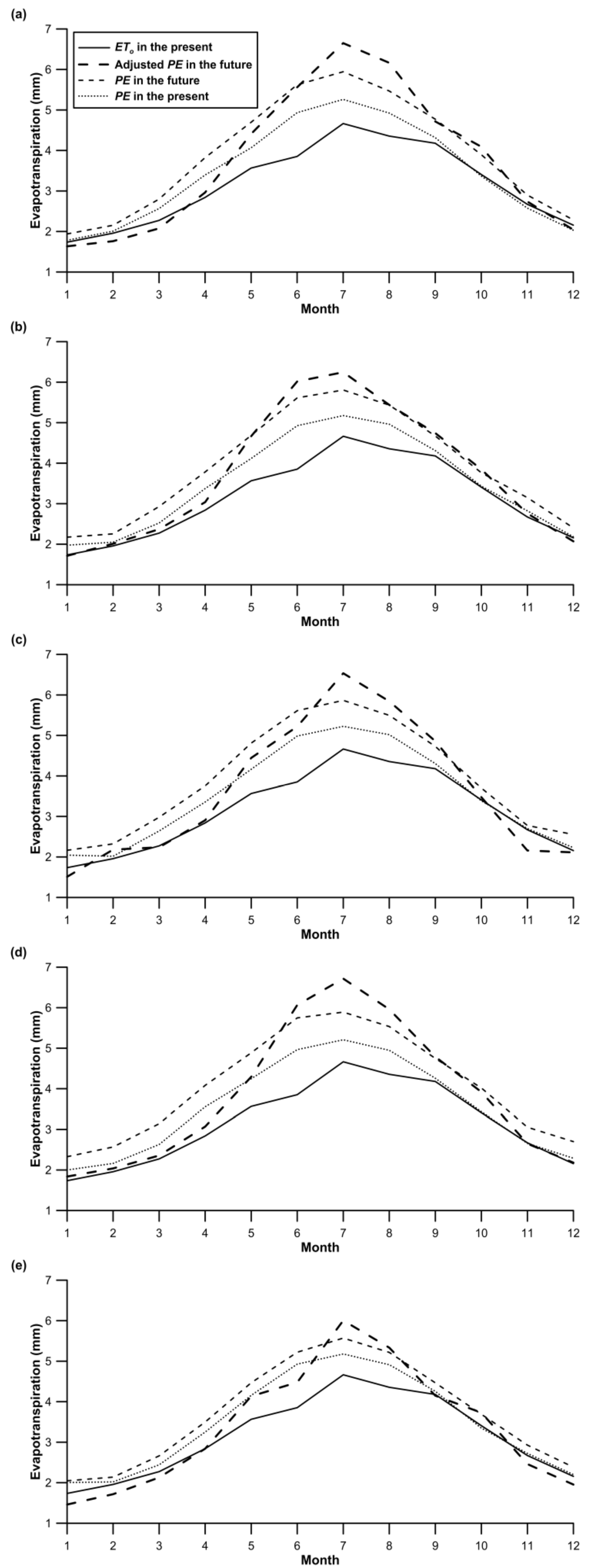
Here, Figure 8 shows the comparison with before/after bias correction for these GCMs. While focusing on the different between ETo and PE in the present, we would find the PE calculated by Hamon method is always overestimated during January to September, especially June to August. After bias correction, most of the month will be adjusted to be lower, except some months for GCMs. The bias correction does not seem to work during June/July/August/September for some GCMs. The main reason is that the extreme high ETo always happened in summer. If the extreme value of ETo in the present is more than the value of PE in the future, and the future PE is always more than the present PE. Then, the adjusted evapotranspiration would be more than the non-adjusted probably.

3.2. Comparison of Model Estimation and Actual Investigation

Meteorological factors like temperature, wind speed and net radiation during 2004–2011 have been adopted for estimating irrigation demand by the model. Before starting the process to estimate future irrigation requirements, the methods mentioned in Section 2 have to be compared with the actual irrigation consumption, as shown in Table 1. For each year, the difference of model estimation and actual investigation is always over 20%, except for the first cropping season in 2005. The result seems to show that the model has failed. Why has this happened? It would be summarized by the following two reasons:
Figure 8. Comparison with before/after bias correction: (a) CCCma GCM; (b) CNRM GCM; (c) CSIRO GCM; (d) GFDL GCM; (e) LASG GCM.
Figure 8. Comparison with before/after bias correction: (a) CCCma GCM; (b) CNRM GCM; (c) CSIRO GCM; (d) GFDL GCM; (e) LASG GCM.
Water 06 03339 g008
First, the actual investigation of irrigation consumption is according to the water received by canals, and it there would be interference from the discharge of the river, storage of reservoir, operation of canals, etc. However, the model estimation depends on the meteorology and the growth stages of paddy. There is a difference in the foundation between the actual investigation and model estimation.
Second, the strategies of the government would also influence the supply of irrigation water significantly. In January 2002, Taiwan became a member of the World Trade Organization. According to the membership commitment, Taiwan has to import 144,720 metric tons of rice per year. To achieve this goal, the cultivation area in TIA was reduced significantly (probably reduced from 20,000 to 6000 ha). After 2002, the amount of agricultural water consumption is not only for irrigation, it involves multi-purpose uses like water resources scheduling, groundwater recharge and environmental conservation.
Since comparing the difference between model estimation and actual investigation in the same years is not proper for evaluating the model, we try to use the data before 2002 for model validation. In this study, the two-sample t test is adopted because the data of validation is not the same as the period.
At the 0.01 level of significance, the absolute value of threshold value t for 16 sample size is 2.98 (a double-tailed test). The result of two-sample t test is shown in Table 2. In the comparison of the actual investigation between 1994–2001 and 2004–2011, the absolute values of t of the first and second seasons are 2.05 and 3.71, respectively. The t of the second season is greater than 2.98, and it implies that the difference in two means of 2nd season between 1994–2001 and 2004–2011 is significant, it proves the inference that irrigation consumption during 2004–2011 is not only for farming paddy and not proper for evaluating the model. In the comparison of actual investigation during 1994–2001 and model estimation during 2004–2011, the absolute value of t of 1st and 2nd seasons are 1.57 and 2.43 respectively, they are both smaller than 2.98. It implies that the difference in two means is insignificant between actual investigation and model estimation. That is, the proposed process could be accepted and applied to evaluating the impact on irrigation in the future.
Table 1. Comparison of irrigation water requirement between model estimation and actual investigation. (Unit: mm).
Table 1. Comparison of irrigation water requirement between model estimation and actual investigation. (Unit: mm).
Actual InvestigationModel Estimation
YearFirst SeasonSecond SeasonYearFirst SeasonSecond SeasonYearFirst SeasonSecond Season
19949071145200415121512200411691204
1995119111362005995196720059831358
1996839104620061260267220069851457
1997124211282007840828200710291229
199812941108200817622201200810991362
199913431361200919772219200911301172
20001245121820101741186720108671158
200112531152201119491859201111141337
Mean11641162 15051891 10471285
Standard deviation18694 432547 100108
Table 2. The absolute value of tow sample t test for different periods.
Table 2. The absolute value of tow sample t test for different periods.
TitleActual Investigation (2004–2011)Model Estimation (2004–2011)
Actual investigation (1994–2001)2.053.71 *
1.572.43
Note: *: Exceed the threshold value t = 2.98.

3.3. Projected Evapotranspiration Analysis

According to the projections of temperature from the five GCMs, the average increments of temperature during the first and second cropping seasons over TIA are 2.2 °C and 1.1 °C, respectively. This will cause evapotranspiration, ETo, to increase in the future. As Table 3 shows, no matter whether the first or second season, evapotranspiration grows by all selected GCMs. The GFDL model yields higher projections of evapotranspiration, as LASG model gives lower ones. The average increments during the first and second are 133 mm and 95 mm, respectively, about 35.8% and 16.8% more than the present period (2004–2011).
Table 3. The assessment of water consumption and supply for paddy field in the present and future.
Table 3. The assessment of water consumption and supply for paddy field in the present and future.
Assessment FactorsCropping SeasonsPresentFuture
CCCmaCNRMCSIROGFDLLASGAverage
Evapotranspiration (mm)First season372504506511532472505
Second season564665662654677635659
Crop water requirement (mm)First season383521523525549487521
Second season547638632625648607630
Rainfall (mm)First season7931262762904110513441075
Second season637629480670658527593
Effective rainfall (mm)First season465769503579659788660
Second season308533433580567507524
Effectiveness (%)First season62.664.270.767.761.062.065.1
Second season50.885.991.287.088.096.589.5
Irrigation water requirement (mm)First season92380310871000945742915
Second season1,208117912851110115211721180
Furthermore, Figure 9 and Figure 10 show the exceedance probability distribution of evapotranspiration distribution over time for the present and future (ensemble of GCMs). Since evapotranspiration is a cost factor in paddy fields, both figures give the representative values from an optimistic 90% to a pessimistic 10% for the first and second cropping seasons. Obviously, evapotranspiration increases in May and June of the plum period (first cropping season) and gradually decreases within the typhoon period from August through October (second cropping season). The comparison between 2004–2011 and 2046–2065 indicates the temporal distribution of the future is similar to the present, but the variance of the future is much lower than the present.
Figure 9. Exceedance probability distribution of evapotranspiration at each ten-day during the first cropping season. (a) present (2004–2011); (b) future (2046–2065).
Figure 9. Exceedance probability distribution of evapotranspiration at each ten-day during the first cropping season. (a) present (2004–2011); (b) future (2046–2065).
Water 06 03339 g009
Figure 10. Exceedance probability distribution of evapotranspiration at each ten-day during the second cropping season. (a) present (2004–2011); (b) future (2046–2065).
Figure 10. Exceedance probability distribution of evapotranspiration at each ten-day during the second cropping season. (a) present (2004–2011); (b) future (2046–2065).
Water 06 03339 g010

3.4. Crop Water Requirement Analysis

With evapotranspiration multiplied by the time-varying crop coefficient (Kc), as shown in Figure 3, the crop water requirement for rice cultivation could be obtained. Because of rising evapotranspiration in the future, it will result in an increase in the crop water requirement during the first and second cropping seasons. Table 3 shows the comparison of paddy water requirement between the present and future. Clearly, the second cropping season needs more water than the first season. Future also requests more water than the present, based on the GCMs’ outputs. On average, 138 mm and 83 mm more water would be needed in the future during the first and second seasons, an increment of nearly 36.0% and 15.2%, respectively. This is due to the increase of temperature in the future, and would increase the possibility of water deficit if rainfall could not supply essential crop water requirement in the future. In addition, as illustrated in Figure 11 and Figure 12, the patterns of exceedance probability distribution of crop water requirement seems to be a great difference between the present and the future in the second cropping season (ensemble of GCMs). The periods with maximum water requirements occur in May during the first cropping season and in September during the second cropping season. Notice that the representative values of exceedance probability distribution are from an optimistic 90% to a pessimistic 10%.

3.5. Projected Rainfall Analysis

Table 3 presents the comparison of the rainfall between observation (2004–2011) and projected (2046–2065). It shows, except for the CNRM model, that the GCMs project much more rainfall than the present in the first cropping season. The average rainfall increases 282 mm (35.6%) in the future. However, in the second cropping season, the average decreases 44 mm (6.9%). In particular, CNRM and LASG models produce much less rainfall than the present. Plus, Figure 13 and Figure 14 give the representative values of rainfall exceedance probability distribution from a pessimistic 90% to an optimistic 10% for the first and second cropping seasons, because rainfall is a benefit factor in paddy fields. The figures show that the period in May and June in the first cropping season has more rainfall in the future (see Figure 13). However, a lower quantity of rainfall occurs in July to October in the second cropping season (see Figure 14).
Figure 11. Exceedance probability distribution of crop water requirement at each ten-day during the first cropping season. (a) present (2004–2011); (b) future (2046–2065).
Figure 11. Exceedance probability distribution of crop water requirement at each ten-day during the first cropping season. (a) present (2004–2011); (b) future (2046–2065).
Water 06 03339 g011
Figure 12. Exceedance probability distribution of crop water requirement at each ten-day during the second cropping season. (a) present (2004–2011); (b) future (2046–2065).
Figure 12. Exceedance probability distribution of crop water requirement at each ten-day during the second cropping season. (a) present (2004–2011); (b) future (2046–2065).
Water 06 03339 g012
Figure 13. Exceedance probability distribution of rainfall at each ten-day during the first cropping season. (a) present (2004–2011); (b) future (2046–2065).
Figure 13. Exceedance probability distribution of rainfall at each ten-day during the first cropping season. (a) present (2004–2011); (b) future (2046–2065).
Water 06 03339 g013
Figure 14. Exceedance probability distribution of rainfall at each ten-day during the second cropping season. (a) present (2004–2011); (b) future (2046–2065).
Figure 14. Exceedance probability distribution of rainfall at each ten-day during the second cropping season. (a) present (2004–2011); (b) future (2046–2065).
Water 06 03339 g014

3.6. Effective Rainfall Analysis

As shown in Figure 13 and Figure 14, rainfall distribution of the future at each ten-day period seems more even than the present. This may increase the occurrence of effective rainfall in the future. As a benefit factor in paddy fields, Figure 15 and Figure 16 show representative values of exceedance probability distribution of effective rainfall from a pessimistic 90% to an optimistic 10% for the first and second cropping seasons. In the future, more effective rainfall is obtained in May–June during the first cropping season, and in August-September within the second cropping season. Moreover, from Table 3, we can find that all the five GCMs project more effective rainfall than the present during the cropping seasons. The average increments are 195 mm (41.9%) and 216 mm (70.1%), respectively, in the first and second cropping season. Certainly, this is helpful to paddy cultivation and reduces the irrigation requirement.
Effectiveness is defined by this study as a ratio of effective rainfall to total rainfall during cropping season. The difference of effectiveness between the observation and the projection is insignificant in the first cropping season. In contrast, although the projected rainfall is smaller in the second cropping season in the future, the effectiveness appears much better than the present because rainfall distribution become more even. Rainfall effectiveness in the future increases 2.6% and 38.7%, respectively, during the first and second cropping seasons. Apparently, rainfall is more effectively utilized during the second cropping season.
Figure 15. Exceedance probability distribution of effective rainfall at each ten-day during the first cropping season. (a) present (2004–2011); (b) future (2046–2065).
Figure 15. Exceedance probability distribution of effective rainfall at each ten-day during the first cropping season. (a) present (2004–2011); (b) future (2046–2065).
Water 06 03339 g015
Figure 16. Exceedance probability distribution of effective rainfall at each ten-day during the second cropping season. (a) present (2004–2011); (b) future (2046–2065).
Figure 16. Exceedance probability distribution of effective rainfall at each ten-day during the second cropping season. (a) present (2004–2011); (b) future (2046–2065).
Water 06 03339 g016

3.7. Irrigation Water Requirement Analysis

Linking a higher crop water requirement with more effective rainfall in the future, the impact on irrigation water requirement would probably be neutralized. The process for estimating irrigation requirement can be done by Equations (6). As seen in Figure 17 and Figure 18, the pattern of exceedance probability distribution on irrigation water requirement, by comparing the present with the future, is similar. Notice that the exceedance probability distribution from 90% to 10% represents optimistic to pessimistic, because irrigation requirement is a cost factor. Overall, in the present, the agricultural sector needs to supply 923 mm and 1208 mm water, respectively, for irrigation. That is, 9230 m3/ha and 12,080 m3/ha during the first and second cropping seasons. In fact, the estimation of the future irrigation requirement depends on a chosen GCM. For example, in the first cropping season, CCCma and LASG produce less requirement, but CNRM, CSIRO and GFDL models request more irrigation water (see Table 3). On average, future requirements, respectively, reach 915 mm and 1180 mm in the first and second cropping seasons. In contrast to the present, future needs less irrigation water, though the difference is not significant.
Figure 17. Exceedance probability distribution of irrigation water requirement at each ten-day during the first cropping season. (a) present (2004–2011); (b) future (2046–2065).
Figure 17. Exceedance probability distribution of irrigation water requirement at each ten-day during the first cropping season. (a) present (2004–2011); (b) future (2046–2065).
Water 06 03339 g017
Figure 18. Exceedance probability distribution of irrigation water requirement at each ten-day during the second cropping season. (a) present (2004–2011); (b) future (2046–2065).
Figure 18. Exceedance probability distribution of irrigation water requirement at each ten-day during the second cropping season. (a) present (2004–2011); (b) future (2046–2065).
Water 06 03339 g018
Generally, the threshold value for the water requirement of an irrigation plan can be determined on the basis of a 5-year deficit, a deficit event that has a 20% probability of occurring in any given year. That is, the exceedance probability of greater than the threshold value is 20%. By using Log-Pearson Type III frequency analysis [28,29], Table 4 shows the required irrigation water in accordance with a different return period. For the first cropping season, with the exception of a 2-year event, the future would need more irrigation water. In contrast, the required irrigation water at the second cropping season is less in the future. By choosing a 5-year return period event as the standard for the irrigation plan, future planning irrigation water requirement in the first cropping season would increase 73 mm (730 m3/ha), and decrease 28 mm (280 m3/ha) in the second cropping season. Multiplying the planned farming area 24,236.93 ha, extra 17.7 million m3 of water would be needed in the first cropping season. In contrast, water would be 6.8 million m3 less than the present in the second cropping season.
Table 4. Frequency analysis of irrigation water requirement in the present and future.
Table 4. Frequency analysis of irrigation water requirement in the present and future.
Irrigation Water Requirement (mm)Return Period (year)PresentFuture
CCCmaCNRMCSIROGFDLLASGAverage
First season293382410721000931721910
5102110041220115311469461094
101060107813081231126610761192
201089112713861295136911891273
Second season21199121512991109113411611183
51307129613731192127712601279
101371131914041236136513181328
201426133014261272144513711369

4. Conclusions

This study investigates the impact on the irrigation water requirement under climate change between the present (2004–2011) and future (2046–2065). Impacts in terms of five selected GCMs under the SRES A1B scenario were assessed for the paddy fields of the Taoyuan Irrigation Association (TIA) in northern Taiwan. Projected meteorology in the future would be different because of GCM features and downscaling methods; therefore, considering several GCMs to reduce the uncertainty of models is necessary.
The FAO-PM equation is mostly used for evapotranspiration assessment, but it would not be suitable for evaluating the projection of evapotranspiration. This paper tries to combine the Hamon method and the Quadrant transformation method for assessing evapotranspiration in the future, and it is a possible and effective way to solve the problem.
Due to the rising temperature, the estimated evapotranspiration will increase in both cropping seasons in the future. Meanwhile, estimated crop water requirement would increase 36.0% and 15.2% in the 1st and 2nd seasons respectively. On the other hand, projected rainfall increases 35.6% in the 1st cropping season, but decreases 6.9% in the 2nd cropping season.
The impact of irrigation water requirement under climate change would not be easily assessed by crop water requirement and rainfall, although they play an important role. In the paddy field, storage, percolation and conveyance loss also influence the magnitude of irrigation water requirement. For evaluating the impact, this study simulates the water balance in paddy fields day by day.
As mentioned above, the projected rainfall decreases in the second cropping season, but estimated effective rainfall augments by 41.9% and 70.1% during the first and second seasons, respectively. This is because of the rainfall distribution, which becomes more even in the future.
Increased effective rainfall neutralizes the augmented crop water requirement, and causes the difference of irrigation requirement between the future and present to be insignificant. Estimated irrigation water requirements decrease 0.9% and 2.3% in the 1st and 2nd seasons, respectively. The decrements are equal to 1.9 million m3 and 6.8 million m3 by multiplying the planned farming area 24,236.93 ha.
In addition, this study uses frequency analysis to analyze the change of irrigation requirement. Based on the 5-yr threshold value, the estimated irrigation water requirement would increase by 7.1% in the first cropping season, and decrease by 2.1% in the second cropping season. By multiplying the planned farming area, the difference of irrigation requirement based on 5-yr return period between the future and present would increase by 17.7 million m3 in the first cropping season but decrease by 6.8 million m3 in the second cropping season.
The variation of the irrigation water requirement of TIA in the future would be insignificant. Nevertheless, since the projected meteorology of the basin of Shihmen reservoir would probably change [2,5,30], which is the main facility to supply the irrigation water for the TIA. This could be crucial for water resource planning of the Taoyuan area. The risk of water shortage for future irrigation demand needs further study. In addition, some possible adaptations to changing conditions either on the supply side or demand side is worthy of concern.

Acknowledgments

The authors appreciate the National Taiwan University Global Change Center and the Agricultural Engineering Research Center for providing relevant GCMs and meteorological data. This study is sponsored by the project of the Council of Agriculture under Executive Yuan of Taiwan (101AS-8.2.5-IE-b1).

Author Contributions

Jyun-Long Lee analyzed the data and drafted the manuscript; Wen-Cheng Huang revised the manuscript. The study concept and design was to come up with both authors.

Conflicts of Interest

The authors declare no conflict of interest.

References

  1. IPCC Fourth Assessment Report: Climate Change 2007. Available online: http://www.ipcc.ch/publications_and_data/ar4/syr/en/contents.html (accessed on 4 November 2014).
  2. Yang, T.C.; Yu, P.S.; Wei, C.M.; Chen, S.T. Projection of climate change for daily precipitation: A case study in Shih-Men reservoir catchment in Taiwan. Hydrol. Process. 2011, 25, 1324–1354. [Google Scholar]
  3. Hsu, H.H.; Chen, C.T.; Lu, M.M.; Chen, Y.M.; Chou, C.; Wu, Y.C. Climate Change in Taiwan: Scientific Report; National Science Council, Executive Yuan: Taipei, Taiwan, 2011.
  4. Liu, T.M.; Tung, C.P.; Ke, K.Y.; Chuang, L.G.; Lin, C.Y. Application and development of a decision-support system for assessing water shortage and allocation with climate change. Paddy Water Environ. 2009, 7, 301–311. [Google Scholar] [CrossRef]
  5. Huang, W.C.; Chiang, Y.; Wu, R.Y.; Lee, J.L.; Lin, S.H. The impact of climate change on rainfall frequency in Taiwan. Terr. Atmos. Ocean. Sci. 2012, 23, 553–564. [Google Scholar] [CrossRef]
  6. Yu, P.S.; Yang, T.C.; Kuo, C.C. Evaluating long-term trends in annual and seasonal precipitation in Taiwan. Water Resour. Manag. 2006, 20, 1007–1023. [Google Scholar] [CrossRef]
  7. Chang, L.N.; Lin, P.L.; Chang, C.M.; Shen, H.S. Assessment of Climate Change in Taiwan (II); Environmental Protection Administration, Executive Yuan: Taipei, Taiwan, 1998. (In Chinese)
  8. Williams, J.R.; Jones, C.A.; Dyke, P.T. A modeling approach to determining the relationship between erosion and soil productivity. Trans. Am. Soc. Agric. Eng. 1984, 27, 129–144. [Google Scholar] [CrossRef]
  9. Eheart, J.W.; Tornil, D.W. Low-flow frequency exacerbation by irrigation withdrawals in the agricultural midwest under various climate change scenario. Water Resour. Res. 1999, 35, 2237–2246. [Google Scholar] [CrossRef]
  10. Döll, P. Impact of climate change and variability on irrigation requirements: A global perspective. Clim. Chang. 2002, 54, 269–293. [Google Scholar] [CrossRef]
  11. Döll, P.; Siebert, S. Global modeling of irrigation water requirements. Water Resour. Res. 2002, 38, 8-1–8-10. [Google Scholar] [CrossRef]
  12. Smith, M. CROPWAT: A Computer Program for Irrigation Planning and Management; Food and Agriculture Organization of the United Nations: Rome, Italy, 1992. [Google Scholar]
  13. Chung, S.O.; Nkomozepi, T. Uncertainty of paddy irrigation requirement estimated from climate change projections in the Geumho river basin, Korea. Paddy Water Environ. 2012, 10, 175–185. [Google Scholar] [CrossRef]
  14. Kloss, S.; Pushpalatha, R.; Kamoyo, K.J.; Schütze, N. Evaluation of crop models for simulating and optimizing deficit irrigation systems in arid and semi-arid countries under climate variability. Water Resour. Manag. 2012, 26, 997–1014. [Google Scholar] [CrossRef]
  15. Taoyuan Irrigation Association. Irrigation Plan of Taoyuan Irrigation Association in 2005; Council of Agriculture, Executive Yuan: Taipei, Taiwan, 2005. (In Chinese)
  16. Contribution of Working Group I to the Fourth Assessment Report of the Intergovernmental Panel on Climate Change, 2007 (WG1). Available online: http://www.ipcc.ch/ipccreports/tar/wg1/029.htm (accessed on 4 November 2014).
  17. Lin, S.H.; Liu, C.M.; Huang, W.C.; Lin, S.S.; Yen, T.H.; Wang, H.R.; Kou, J.T.; Lee, Y.C. Developing a yearly warning index to assess the climatic impact on the water resources of Taiwan, a complex-terrain island. J. Hydrol. 2010, 309, 13–22. [Google Scholar] [CrossRef]
  18. Kalnay, E.; Kanamitsu, M.; Kistler, R.; Collins, W.; Deaven, D.; Gandin, L.; Iredell, M.; Saha, S.; White, G.; Woollen, J.; et al. The NCEP/NCAR 40-year reanalysis project. Bull. Amer. Meteor. Soc. 1996, 77, 437–470. [Google Scholar] [CrossRef]
  19. Lin, S.H.; Chen, Y.C.; Lin, W.S.; Liu, C.M. Climate Change Projection for Taiwan based on Statistical Downscaling on Daily Temperature and Precipitation. In Proceedings of the 15th International Joint Seminar on the Regional Deposition Processes in the Atmosphere and Climate Change, Taipei, Taiwan, 12–14 November 2009.
  20. Allen, R.G.; Pereira, L.S.; Raes, D.; Smith, M. Crop Evapotranspiration; FAO irrigation and drainage paper No.56; Food and Agriculture Organization of the United Nations: Rome, Italy, 2006. [Google Scholar]
  21. Kan, C.E. Studies on Water Distribution for Irrigation System; Water Resources Agency, Ministry of Economic Affairs: Taipei, Taiwan, 1979.
  22. Hamon, W.R. Estimating potential evapotranspiration. J. Hydraul. Div. 1961, 87, 107–120. [Google Scholar]
  23. Shaw, S.B.; Riha, S.J. Assessing temperature-based PET equations under a changing climate in temperate, deciduous forests. Hydrol. Process. 2011, 25, 1466–1478. [Google Scholar] [CrossRef]
  24. Tsai, A.Y.; Huang, W.C. Estimation of regional renewable water resources under the impact of climate change. Paddy Water Environ. 2012, 10, 129–138. [Google Scholar] [CrossRef]
  25. Searcy, J.K. Flow-Duration Curves. In Manual of Hydrology: Part 2. Low-Flow Techniques; United States Department of the Interior: Washington, DC, USA, 1959. [Google Scholar]
  26. Cheng, M. Irrigation and Drainage Management for Paddy; Council of Agriculture, Executive Yuan: Taipei, Taiwan, 1977. (In Chinese)
  27. Kan, C.E. Water Conveyance Loss and Irrigation Efficiency in Agriculture; Tsao-Jin Memorial Foundation for R&D for Agriculture and Irrigation: Kaohsiung, Taiwan, 2000. (In Chinese) [Google Scholar]
  28. Haan, C.T. Statistical Methods in Hydrology; Iowa State University Press: Hertfordshire, UK, 1982. [Google Scholar]
  29. Linsley, R.K.; Kohler, M.A.; Paulhus, J.H.L. Hydrology for Engineers; McGraw-Hill book Co.: New York, NY, USA, 1988. [Google Scholar]
  30. Yu, P.S.; Wang, Y.C. Impact of climate change on hydrological processes over a basin scale in northern Taiwan. Hydrol. Process. 2009, 23, 3556–3568. [Google Scholar] [CrossRef]

Share and Cite

MDPI and ACS Style

Lee, J.-L.; Huang, W.-C. Impact of Climate Change on the Irrigation Water Requirement in Northern Taiwan. Water 2014, 6, 3339-3361. https://doi.org/10.3390/w6113339

AMA Style

Lee J-L, Huang W-C. Impact of Climate Change on the Irrigation Water Requirement in Northern Taiwan. Water. 2014; 6(11):3339-3361. https://doi.org/10.3390/w6113339

Chicago/Turabian Style

Lee, Jyun-Long, and Wen-Cheng Huang. 2014. "Impact of Climate Change on the Irrigation Water Requirement in Northern Taiwan" Water 6, no. 11: 3339-3361. https://doi.org/10.3390/w6113339

APA Style

Lee, J.-L., & Huang, W.-C. (2014). Impact of Climate Change on the Irrigation Water Requirement in Northern Taiwan. Water, 6(11), 3339-3361. https://doi.org/10.3390/w6113339

Article Metrics

Back to TopTop