Riverbed Evolution Trends Based on the Channel-Forming Discharge Concept: A Climate Change Scenario Analysis to 2100 for the Ialomița River, Romania
Abstract
1. Introduction
2. Materials and Methods
2.1. Study Area
2.2. Study Workflow
2.3. Data Collection
2.3.1. Data Description
- RCP 2.6—the optimistic scenario, with the peak of ~3 W/m2 radiative forcing before 2100, followed by a decrease.
- RCP 4.5—the intermediate scenario, assuming stabilisation without exceeding ~4.5 W/m2 after 2100.
- RCP 8.5—the pessimistic scenario, which implies continuous rising, exceeding ~8.5 W/m2 after 2100.
2.3.2. Modelled Data Acquisition and Pre-Processing
2.4. Methods
2.4.1. Reference and Future Time Periods Definition
- The reference period: 1991–2020, according to the WMO 30-year reference period for Standard Climatological Normals [52]. This time period provides a more recent and accurate context for understanding climate change [53]. Since the historical simulated data cover only 1971–2005, the period 2006–2020 was completed using the mean values of simulated data from the RCP 4.5 and RCP 8.5 scenarios. The ensemble mean of the eight EURO-CORDEX climate model configurations (Table 1) was computed, the resulting values being averaged between both RCP scenarios. As the 2006–2020 interval lies very close to the historical baseline, a period during which divergence between RCP scenarios is minimal, we consider this approach appropriate for this study.
- The future periods will begin in 2031, considering that the current decade is halfway through. The periods for projected discharges will maintain the 30-year window, and will advance decadal until 2100. Five future periods are outlined, each overlapping by 20 years: 2031–2060, 2041–2070, 2051–2080, 2061–2090, and 2071–2100. We select this approach because it is suitable for identifying an evolutionary trend and smoothing the variability.
2.4.2. Hydrological Model Evaluation
2.4.3. Evolution Trend
2.4.4. Effective Discharge (Qe) Computation
3. Results
3.1. Hydrological Model Performance
3.1.1. Flow Regime
3.1.2. Seasonal Flow Regime
3.2. General Evolution Trend of River Discharges
3.2.1. Entire Period (1991–2100)
3.2.2. Future Period (2031–2100)
3.3. The Effective Discharge (Qe)
3.3.1. Flow Frequency
3.3.2. Suspended Sediment Rating Curve
3.3.3. Qe Evolution and Trend
3.3.4. Qe Relative Change Evolution and Trend
4. Discussion
4.1. Qe of Suspended Sediment Load Representativity for Ialomița River at Băleni
4.2. Qe Ensemble Mean Evolution and Trend
4.3. Limitations and Uncertainties
- (a)
- Climate models and climate change scenarios: The eight climate models used to produce meteorological forcing (temperature and precipitation) for the hydrological model introduce limitations and uncertainties in the simulated outputs. First, using only a subset (eight members) of the EURO–CORDEX EUR–11 ensemble results in an incomplete representation of possible future climate conditions. Structural differences in model formulation, including the representation of physical processes and parametrisation, lead to structural uncertainty, with model outputs varying even under the same climate change scenario forcing. In addition, for the RCP scenarios considered in this study, uncertainties increase with advancing time. Although the climate model outputs are bias-adjusted, uncertainties remain, particularly for high precipitation values.
- (b)
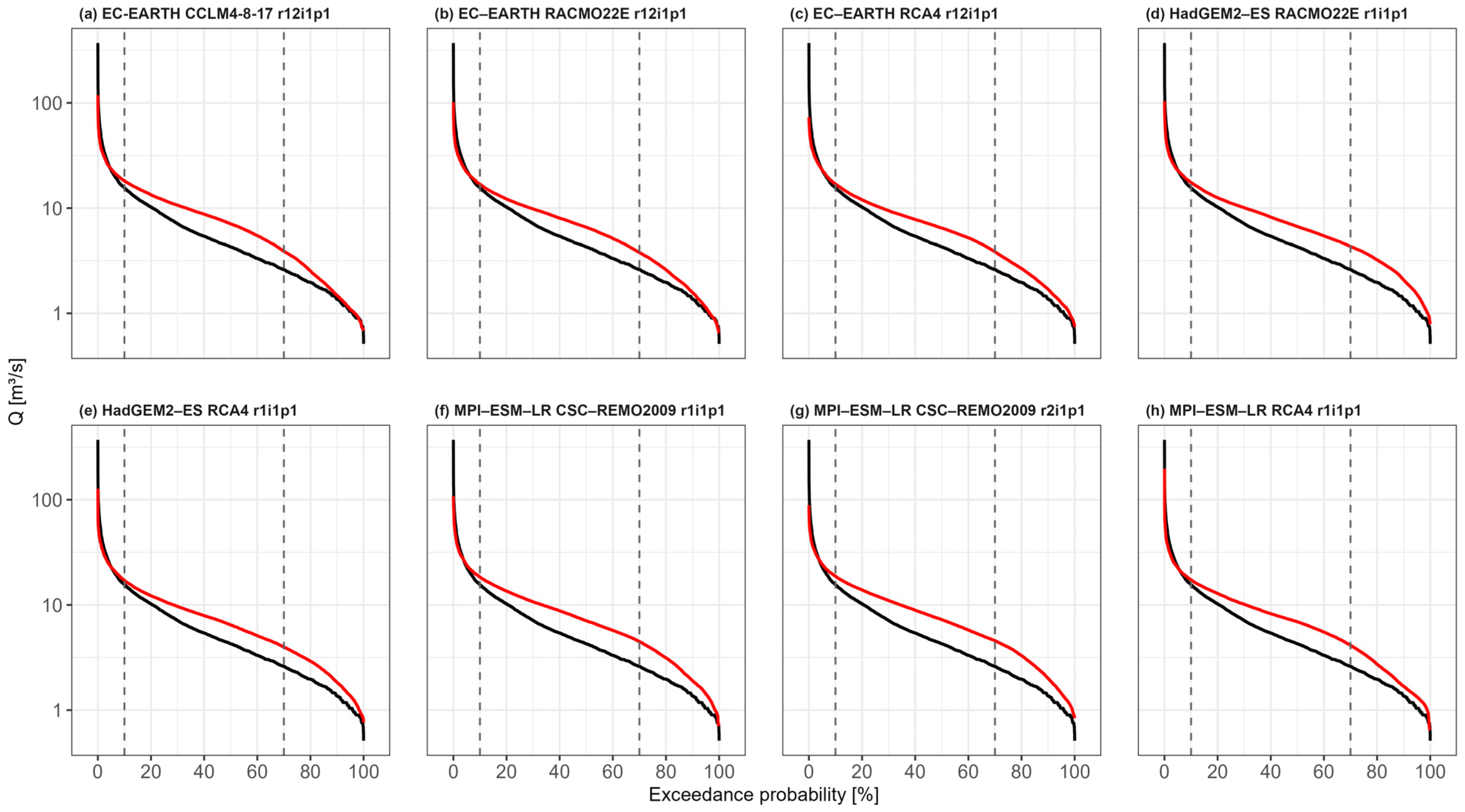
- The hydrological model: The E-HYPE hydrological model is configured, calibrated, and validated for the entire pan-European domain and is not specifically tailored to the Ialomița basin or to the Băleni gauging station used for calculating Qe. In addition, the model does not explicitly represent anthropogenic influences within the hydrographic basin, particularly those associated with the two large dams located upstream of Băleni (Bolboci and Pucioasa—Figure 2). Another factor that may affect the quality of the hydrological model results is the 5 km spatial resolution, which can be considered relatively coarse for the analysed basin (915 km2) within a pan-European modeling configuration. Considering these aspects, uncertainties arise regarding the hydrological model’s ability to accurately simulate discharges at this location. The analysis realised in Section 2.4.2 indicates that average discharges (10–70% exceedance probability, Figure 5) are generally overestimated by the models. Discharges within this range, combined with sediment data, contribute cumulatively to the calculation of Qe. This may lead to an overestimation of the Qe values. Also, peak values are underestimated. The analysis of mean monthly discharges indicates that the winter–spring months tend to produce systematically overestimated values, most likely due to the model’s limited ability to simulate snow conditions within the watershed.
- (c)
- Sediment data and methods: A limitation regarding sediments is the use of the suspended fraction of sediments for calculating Qe, rather than total sediment yield, due to data availability constraints. Excluding bedload generally results in lower effective discharge values, as finer suspended sediment is mobilised at lower discharges than coarser bed material. However, we consider it representative for the Băleni gauging station and for the aim of the study, this subject being discussed in Section 4.1. Also, using a linear power–law function to estimate suspended sediment load as a function of discharge can lead to under- or overestimation.
- (d)
- Methodological constraints and choices: We used the same sediment relationship (equation) derived from observed discharges (1991–2020) for the forecast period’s estimation of Qs, in the absence of available modelled sediment data. This relationship may change in the future due to climatic, land use, or anthropogenic influences. However, we do not expect major anthropogenic variations, as the Ialomița River is already heavily modified by human activity, with two large reservoirs (Pucioasa and Bolboci) and associated hydrotechnical structures that constrain sediment transport. The study by Radu and Comănescu [34] indicates a significant alteration in the sediment regime of the Ialomița River at the Băleni gauging station. After the commissioning of the Pucioasa Dam in 1975, the mean multiannual suspended sediment discharge decreased from 22.09 kg/s between 1961 and 1975 to 12.97 kg/s between 1976 and 2022. Moreover, the Bolboci reservoir, commissioned in 1988, adds additional anthropogenic pressure on the flow and sediment regime.
4.4. Implication of the Effective Discharge Evolution and Change on Riverbed Dynamics
- Changes in sediment connectivity (through dams and other transversal structures) influence the sediment supply to the river channel. Poor connectivity favours riverbed incision and degradation, whereas enhanced connectivity may lead to riverbed aggradation and stabilisation.
- Soil erosion controls sediment availability from hillslopes and tributaries, influencing the balance between the sediment supply and transport. Increased soil erosion promotes deposition, whereas reduced soil erosion enhances erosional processes.
- Riparian vegetation influences riverbed dynamics through its development: poorly vegetated channels are more susceptible to erosion, particularly bank erosion, whereas densely vegetated channels stabilise the riverbed.
- Anthropogenic channel modifications also constrain riverbed evolution, depending on the nature of the intervention. From a planform perspective, structures such as levees and embankments confine the channel, resulting in reduced lateral mobility. Conversely, bed-level modifying interventions, such as in-channel gravel mining, lower the river base level and promote riverbed incision, whereas dams and other transversal structures raise the channel bed, leading to riverbed aggradation.
- The intrinsic evolution of the fluvial system, driven by autogenic processes and internal feedbacks, represents an additional control on riverbed dynamics. These processes may attenuate, amplify, or delay geomorphological responses to external factors, such as those enumerated previously, leading to nonlinear and spatially complex riverbed adjustments.
- EP1 (up to 2050)—Qe8.5 significantly increase and Qe4.5 slightly decrease. In the RCP 8.5 scenario, the riverbed may degrade through erosion processes (incision and/or bank erosion processes), in a channel which is already highly affected by these processes, as the study of Radu and Comănescu [34] highlights. For RCP 4.5, no significant changes are estimated, as Qe4.5 variability is low.
- EP2 (up to 2060)—a transition period in the middle of the century, where the two scenarios intersect and change their general direction of evolution. In the RCP 8.5 scenario, the riverbed potential starts a sudden process of deposition in an already incised channel, which will continue until the end of the analysis period. Qe4.5 returns above the reference value, where a slight erosion process can occur.
- EP3 (up to 2090)—a potential common downward evolution for both RCPs, but close to the reference Qe value. Qe8.5 is consistently below the reference period. In this period, the riverbed tends to be relatively stable (dynamic equilibrium), with weak depositional processes. In this period, it is possible that a sustained lateral channel migration, or meandering, occurs, as the river’s geomorphic effectiveness remains constant.
- EP4 (up to 2100)—strong divergent evolution, with Qe4.5 rising over the reference (suggesting slight erosion) and Qe8.5 drastically decreasing with more than 2 m3/s compared to the reference period, indicating a possible intense deposition of the sediments in the riverbed. Under conditions of an already deepened riverbed, this aggradation of the riverbed, combined with the development of riparian vegetation, would lead to channel narrowing.
5. Conclusions
Supplementary Materials
Author Contributions
Funding
Data Availability Statement
Conflicts of Interest
Abbreviations
| GCM | Global Climate Model |
| RCM | Regional Climate Model |
| RCP | Representative Concentration Pathway |
| RIP | Realisation-Initialization-Physics code |
| E–HYPE | European Hydrological Predictions for the Environment |
| VIC-WUR | Variable Infiltration Capacity (VIC) model, developed at Wageningen University & Research (WUR) |
| EFAS | European Flood Awareness System |
| CORDEX | Coordinated Regional Climate Downscaling Experiment |
| EC–EARTH | European Community Earth System Model |
| HadGEM2–ES | Hadley Centre Global Environment Model version 2—Earth System configuration |
| MPI-ESM–LR | Max Planck Institute Earth System Model—Low Resolution |
| CCLM4–8–17 | Consortium for Small-scale Modeling (COSMO) Model (version 4–8–17) |
| RACMO22E | Royal Netherlands Meteorological Institute’s regional climate model, version 2.2.1 |
| RCA4 | Rossby Centre Regional Atmospheric Climate Model, version 4 |
| REMO2009 | Regional Climate Model, year 2009 |
| Qe4.5 | Effective discharge computed with RCP 4.5 climate–change scenario discharges |
| Qe8.5 | Effective discharge computed with RCP 8.5 climate–change scenario discharges |
References
- Rhoads, B.L. Introduction. In River Dynamics: Geomorphology to Support Management; Cambridge University Press: Cambridge, UK, 2020; pp. 1–14. [Google Scholar] [CrossRef]
- Rhoads, B.L. Magnitude-Frequency Concepts and the Dynamics of Channel-Forming Events. In River Dynamics: Geomorphology to Support Management; Cambridge University Press: Cambridge, UK, 2020; pp. 134–163. [Google Scholar] [CrossRef]
- Copeland, R.R.; Biedenharn, D.S.; Fischenich, J.C. Channel-Forming Discharge; Technical Note ERDC/CHL CHETN-VIII-5; U.S. Army Corps of Engineers: Washington, DC, USA, 2000. [Google Scholar]
- Copeland, R.; Soar, P.; Thorne, C. Channel-forming discharge and hydraulic geometry width predictors in meandering sand-bed river. In Impacts of Global Climate Change; American Society of Civil Engineers: Reston, VA, USA, 2005; Volume 1, pp. 1–12. [Google Scholar] [CrossRef]
- FISRWG (The Federal Interagency Stream Restoration Working Group). Stream Corridor Restoration: Principles, Processes, and Practices; USDA-National Resources Conservation Service: Washington, DC, USA, 1998.
- Benson, M.A.; Thomas, D.M. A definition of dominant discharge. Bull. Int. Assoc. Sci. Hydrol. 1966, 11, 76–80. [Google Scholar] [CrossRef]
- Copeland, R.R.; Mccomas, D.N.; Thorne, C.R.; Soar, P.J.; Jonas, M.M.; Fripp, J.B. Hydraulic Design of Stream Restoration Projects; Coastal and Hydraulics Laboratory: Washington, DC, USA, 2001. [Google Scholar]
- Brayshaw, D.D. Bankfull and Effective Discharge in Small Mountain Streams of British Columbia. Ph.D. Thesis, University of British Columbia, Vancouver, BC, Canada, 2012. [Google Scholar]
- Biedenharn, D.S.; Thorne, C.R.; Soar, P.J.; Hey, R.D.; Watson, C.C. Effective discharge calculation guide. Int. J. Sediment Res. 2001, 16, 445–459. [Google Scholar]
- Doyle, M.W.; Shields, D.; Boyd, K.F.; Skidmore, P.B.; Dominick, D. Channel-Forming Discharge Selection in River Restoration Design. J. Hydraul. Eng. 2007, 133, 831–837. [Google Scholar] [CrossRef]
- Soar, P.J.; Thorne, C.R. Channel Restoration Design for Meandering Rivers; ERDC/CHL CR-01-1; U.S. Army Corps of Engineers: Washington, DC, USA, 2001. [Google Scholar]
- Wolman, M.G.; Miller, J.P. Magnitude and Frequency of Forces in Geomorphic Processes. J. Geol. 1960, 68, 54–74. [Google Scholar] [CrossRef]
- Andrews, E.D. Effective and bankfull discharges of streams in the Yampa River Basin, Colorado and Wyoming. J. Hydrol. 1980, 46, 311–330. [Google Scholar] [CrossRef]
- Roy, N.G.; Sinha, R. Effective Discharge for Suspended Sediment Transport of the Ganga River and Its Geomorphic Implication. Geomorphology 2014, 227, 18–30. [Google Scholar] [CrossRef]
- Dumitriu, D. Sub-Bankfull Flow Frequency versus Magnitude of Flood Events in Outlining Effective Discharges. Case Study: Trotuș River (Romania). Water 2018, 10, 1292. [Google Scholar] [CrossRef]
- Nash, D.B. Effective Sediment-Transporting Discharge from Magnitude-Frequency Analysis. J. Geol. 1994, 102, 79–95. [Google Scholar] [CrossRef]
- Goodwin, P. Analytical Solutions for Estimating Effective Discharge. J. Hydraul. Eng. 2004, 130, 729–738. [Google Scholar] [CrossRef]
- Klonsky, L.; Vogel, R.M. Effective Measures of “Effective” Discharge. J. Geol. 2011, 119, 1–14. [Google Scholar] [CrossRef]
- Sholtes, J.; Werbylo, K.; Bledsoe, B. Physical context for theoretical approaches to sediment transport magnitude-frequency analysis in alluvial channels. Water Resour. Res. 2014, 50, 7900–7914. [Google Scholar] [CrossRef]
- Maheshwari, S.; Chavan, S.R. A Modified Approach to Determine Suspended Sediment Transport Effectiveness in Indian Rivers. J. Hydrol. 2022, 605, 127284. [Google Scholar] [CrossRef]
- Crowder, D.W.; Knapp, H.V. Effective discharge recurrence intervals of Illinois streams. Geomorphology 2005, 64, 167–184. [Google Scholar] [CrossRef]
- Basso, S.; Frascati, A.; Marani, M.; Schirmer, M.; Botter, G. Climatic and Landscape Controls on Effective Discharge. Geophys. Res. Lett. 2015, 42, 8441–8447. [Google Scholar] [CrossRef]
- Tranmer, A.W.; Caamaño, D.; Clayton, S.R.; Giglou, A.N.; Goodwin, P.; Buffington, J.M.; Tonina, D. Testing the effective-discharge paradigm in gravel-bed river restoration. Geomorphology 2022, 403, 108139. [Google Scholar] [CrossRef]
- Bunte, K.; Abt, S.R.; Swingle, K.W.; Cenderelli, D.A. Effective discharge in Rocky Mountain headwater streams. J. Hydrol. 2014, 519, 2136–2147. [Google Scholar] [CrossRef]
- Lenzi, M.A.; Mao, L.; Comiti, F. Effective discharge for sediment transport in a mountain river: Computational approaches and geomorphological effectiveness. J. Hydrol. 2006, 326, 257–276. [Google Scholar] [CrossRef]
- López-Tarazón, J.A.; Batalla, R.J. Dominant discharges for suspended sediment transport in a highly active Pyrenean river. J. Soils Sediments 2014, 14, 2019–2030. [Google Scholar] [CrossRef]
- Tena, A.; Batalla, R.J.; Vericat, D.; López-Tarazón, J.A. Suspended sediment dynamics in a large regulated river over a 10-year period (the lower Ebro, NE Iberian Peninsula). Geomorphology 2011, 125, 73–84. [Google Scholar] [CrossRef]
- Chen, F.; Chen, L.; Zhang, W.; Yuan, J.; Zhang, K. Variations in the effective and bankfull discharge for suspended sediment transport due to dam construction. Front. Earth Sci. 2022, 16, 446–464. [Google Scholar] [CrossRef]
- Ma, Y.; Huang, H.Q.; Xu, J.; Brierley, G.J.; Yao, Z. Variability of Effective Discharge for Suspended Sediment Transport in a Large Semi-Arid River Basin. J. Hydrol. 2010, 388, 357–369. [Google Scholar] [CrossRef]
- Gomez, B.; Coleman, S.E.; Sy, V.W.K.; Peacock, D.H.; Kent, M. Channel change, bankfull and effective discharges on a vertically accreting, meandering, gravel-bed river. Earth Surf. Process. Landf. 2006, 32, 770–785. [Google Scholar] [CrossRef]
- Soar, P.J.; Thorne, C.R. Design discharge for river restoration. In Stream Restoration in Dynamic Fluvial Systems; Simon, A., Bennett, S.J., Castro, J.M., Eds.; Geophysical Monograph Series 194; Wiley: Hoboken, NJ, USA, 2011; pp. 123–149. [Google Scholar]
- Eyring, V.; Gillett, N.P.; Achuta Rao, K.M.; Barimalala, R.; Barreiro Parrillo, M.; Bellouin, N.; Cassou, C.; Durack, P.J.; Kosaka, Y.; McGregor, S.; et al. Human Influence on the Climate System. In Climate Change 2021: The Physical Science Basis. Contribution of Working Group I to the Sixth Assessment Report of the Intergovernmental Panel on Climate Change; Masson-Delmotte, V., Zhai, P., Pirani, A., Connors, S.L., Péan, C., Berger, S., Caud, N., Chen, Y., Goldfarb, L., Gomis, M.I., et al., Eds.; Cambridge University Press: Cambridge, UK; New York, NY, USA, 2021; pp. 423–552. [Google Scholar] [CrossRef]
- Caretta, M.A.; Mukherji, A.; Arfanuzzaman, M.; Betts, R.A.; Gelfan, A.; Hirabayashi, Y.; Lissner, T.K.; Liu, J.; Gunn, E.L.; Morgan, R.; et al. Water. In Climate Change 2022: Impacts, Adaptation and Vulnerability. Contribution of Working Group II to the Sixth Assessment Report of the Intergovernmental Panel on Climate Change; Pörtner, H.-O., Roberts, D.C., Tignor, M., Poloczanska, E.S., Mintenbeck, K., Alegría, A., Craig, M., Langsdorf, S., Löschke, S., Möller, V., et al., Eds.; Cambridge University Press: Cambridge, UK; New York, NY, USA, 2022; pp. 551–712. [Google Scholar] [CrossRef]
- Radu, A.; Comănescu, L. Historical Evolution and Future Trends of Riverbed Dynamics Under Anthropogenic Impact and Climatic Change: A Case Study of the Ialomița River (Romania). Water 2025, 17, 2151. [Google Scholar] [CrossRef]
- Forster, P.M.; Smith, C.; Walsh, T.; Lamb, W.F.; Lamboll, R.; Cassou, C.; Hauser, M.; Hausfather, Z.; Lee, J.-Y.; Palmer, M.D.; et al. Indicators of Global Climate Change 2024: Annual Update of Key Indicators of the State of the Climate System and Human Influence. Earth Syst. Sci. Data 2025, 17, 2641–2680. [Google Scholar] [CrossRef]
- Buzău-Ialomița Water Basin Administration Flood Risk Management Plan—Updated. Available online: https://inundatii.ro/wp-content/uploads/2022/10/PMRI_actualizat_ciclul-II_ABA-Buzau-Ialomita_versiune-preliminara-1.pdf (accessed on 17 September 2025).
- Mutihac, V.; Stratulat, M.L.; Fechet, R.M. Geologia Romaniei (Geology of Romania); Editura Didactică şi Pedagogică: Bucureşti, Romania, 2004. [Google Scholar]
- Geological Map of Romania, Sc. 1:200,000; Romanian Geological Institute: Bucharest, Romania, 1968.
- Geological Map of Romania, Sc. 1:200,000, Explanatory Note of Târgoviște Map Sheet L-35-XXVI; Romanian Geological Institute: Bucharest, Romania, 1968.
- Clima României (Romania’s Climate). Available online: https://www.meteoromania.ro/clima/clima-romaniei/ (accessed on 22 August 2025).
- Murărescu, O.; Bretcan, P. Management of Water Resources in Upper Ialomiţa River Basin (Carpathians, Sub-Carpathians, Romania). In Proceedings of the International Symposium on Water Management and Hydraulic Engineering, Faculty of Civil Engineering, Department of Hydraulics, Hydrology and River Engineering, University of Ss. Cyril and Methodius, Skopje, North Macedonia, 1–5 September 2009. [Google Scholar]
- Berg, P.; Photiadou, C.; Bartosova, A.; Biermann, J.; Capell, R.; Chinyoka, S.; Fahlesson, T.; Franssen, W.; Hundecha, Y.; Isberg, K.; et al. Hydrology related climate impact indicators from 1970 to 2100 derived from bias adjusted European climate projections. In Copernicus Climate Change Service (C3S) Climate Data Store (CDS); Climate Data Store: Reading, UK, 2021. [Google Scholar] [CrossRef]
- Hundecha, Y.; Berg, P.; Capell, R.; Photiadou, C.; Nauta, L.; Ludwig, F.; van der Linden, E.; Franssen, W.; Biermann, J.; Chinyoka, S. Hydrological Model Specification: Multi-Model Ensemble of Hydrological Models at the European Scale with E-HYPE and VIC-WUR; ECMWF C3S Knowledge Base (CKB); European Centre for Medium-Range Weather Forecasts (ECMWF): Reading, UK, 2023; Available online: https://confluence.ecmwf.int/pages/viewpage.action?pageId=283570322 (accessed on 16 September 2025).
- Lindström, G.; Pers, C.; Rosberg, J.; Strömqvist, J.; Arheimer, B. Development and Testing of the HYPE (Hydrological Predictions for the Environment) Water Quality Model for Different Spatial Scales. Hydrol. Res. 2010, 41, 295–319. [Google Scholar] [CrossRef]
- About the HYPE Model. Available online: https://hypeweb.smhi.se/about-us/about-the-model (accessed on 6 August 2025).
- Donnelly, C.; Andersson, J.C.M.; Arheimer, B. Using flow signatures and catchment similarities to evaluate the E-HYPE multi-basin model across Europe. Hydrol. Sci. J. 2016, 61, 255–273. [Google Scholar] [CrossRef]
- Berg, P.; Photiadou, C.; Nauta, L.; Ludwig, F. Hydrology Related Climate Impact Indicators from 1970 to 2100 Derived from Bias Adjusted European Climate Projections: Product User Guide, Specification and Workflow; ECMWF C3S Knowledge Base (CKB); European Centre for Medium-Range Weather Forecasts (ECMWF): Reading, UK, 2024; Available online: https://confluence.ecmwf.int/pages/viewpage.action?pageId=283549812 (accessed on 16 September 2025).
- Berg, P.; Mook, R.; Bosshard, T.; Photiadou, C.; Nauta, L. Bias Adjustment of EURO-CORDEX Data; ECMWF C3S Knowledge Base (CKB); European Centre for Medium-Range Weather Forecasts (ECMWF): Reading, UK, 2023; Available online: https://confluence.ecmwf.int/display/CKB/Bias+adjustment+of+Euro-CORDEX+data (accessed on 15 September 2025).
- Moss, R.H.; Edmonds, J.A.; Hibbard, K.A.; Manning, M.R.; Rose, S.K.; van Vuuren, D.P.; Carter, T.R.; Emori, S.; Kainuma, M.; Kram, T.; et al. The next Generation of Scenarios for Climate Change Research and Assessment. Nature 2010, 463, 747–756. [Google Scholar] [CrossRef] [PubMed]
- IPCC DDC Glossary—Definition of Terms Used Within the DDC Pages. Available online: https://www.ipcc-data.org/guidelines/pages/glossary/glossary_r.html (accessed on 30 September 2025).
- Copernicus Climate Change Service (C3S). cdsapi: Climate Data Store API Python Client. PyPI. Available online: https://pypi.org/project/cdsapi/ (accessed on 6 June 2025).
- WMO Climatological Normals. Available online: https://community.wmo.int/site/knowledge-hub/programmes-and-initiatives/climate-services/wmo-climatological-normals (accessed on 14 September 2025).
- Dembélé, M.; Vrac, M.; Ceperley, N.; Zwart, S.J.; Larsen, J.; Dadson, S.J.; Mariéthoz, G.; Schaefli, B. Contrasting Changes in Hydrological Processes of the Volta River Basin under Global Warming. Hydrol. Earth Syst. Sci. 2022, 26, 1481–1506. [Google Scholar] [CrossRef]
- Vogel, R.M.; Fennessey, N.M. Flow-Duration Curves. I: New Interpretation and Confidence Intervals. J. Water Resour. Plan. Manag. 1994, 120, 485–504. [Google Scholar] [CrossRef]
- Ridolfi, E.; Kumar, H.; Bárdossy, A. A Methodology to Estimate Flow Duration Curves at Partially Ungauged Basins. Hydrol. Earth Syst. Sci. 2020, 24, 2043–2060. [Google Scholar] [CrossRef]
- Massey, F.J. The Kolmogorov-Smirnov test for goodness of fit. J. Am. Stat. Assoc. 1951, 46, 68–78. [Google Scholar] [CrossRef]
- R Core Team. R Package, Version 4.5.0. stats: The R Statistics Package. R Core Team: Vienna, Austria, 2024. Available online: https://stat.ethz.ch/R-manual/R-devel/library/stats/html/00Index.html (accessed on 7 September 2025).
- Mann, H.B. Nonparametric Tests Against Trend. Econometrica 1945, 13, 245–259. [Google Scholar] [CrossRef]
- Kendall, M.G. Rank Correlation Methods, 4th ed.; Charles Griffin: London, UK, 1975. [Google Scholar]
- McLeod, A.I. R Package, Version 2.2.1. Kendall: Kendall Rank Correlation and Mann-Kendall Trend Test. R Core Team: Vienna, Austria, 2005. [CrossRef]
- Yevjevich, V. Probability and Statistics in Hydrology; Water Resources Publications: Fort Collins, CO, USA, 1972. [Google Scholar]
- Biedenharn, D.S.; Copeland, R.R.; Thorne, C.R.; Soar, P.J.; Hey, R.D.; Watson, C.C. Effective Discharge Calculation: A Practical Guide; Engineer Research and Development Center: Vicksburg, MS, USA, 2000. [Google Scholar]
- Parzen, E. On Estimation of a Probability Density Function and Mode. Ann. Math. Stat. 1962, 33, 1065–1076. [Google Scholar] [CrossRef]
- Wickham, H. R Package, Version 3.5.2. ggplot2: Elegant Graphics for Data Analysis. Springer: New York, NY, USA, 2016. [CrossRef]
- Hassan, M.A.; Brayshaw, D.; Alila, Y.; Andrews, E. Effective Discharge in Small Formerly Glaciated Mountain Streams of British Columbia: Limitations and Implications. Water Resour. Res. 2014, 50, 4440–4458. [Google Scholar] [CrossRef]
- Sichingabula, H.M. Magnitude-frequency characteristics of effective discharge for suspended sediment transport, Fraser River, British Columbia, Canada. Hydrol. Process. 1999, 13, 1361–1380. [Google Scholar] [CrossRef]
- Zakwan, M.; Pham, Q.B.; Zhu, S. Effective Discharge Computation in the Lower Drava River. Hydrol. Sci. J. 2021, 66, 826–837. [Google Scholar] [CrossRef]
- Lenzi, M.A.; Mao, L.; Comiti, F. Interannual Variation of Suspended Sediment Load and Sediment Yield in an Alpine Catchment. Hydrol. Sci. J. 2003, 48, 899–915. [Google Scholar] [CrossRef]
- Rainato, R.; Mao, L.; García-Rama, A.; Picco, L.; Cesca, M.; Vianello, A.; Preciso, E.; Scussel, G.; Lenzi, M. Three decades of monitoring in the Rio Cordon instrumented basin: Sediment budget and temporal trend of sediment yield. Geomorphology 2017, 291, 45–56. [Google Scholar] [CrossRef]
- Bonfrisco, M.; Coviello, V.; Vignoli, G.; Miyata, S.; Piantini, M.; Engel, M.; Nadalet, R.; Dinale, R.; Comiti, F. Temporal variability of bedload vs suspended sediment load and respective hysteresis cycles in a glacier-fed Alpine river. J. Hydrol. 2025, 660, 133215. [Google Scholar] [CrossRef]














| GCM 1 | RCM 2 | RIP 3 |
|---|---|---|
| EC–EARTH | CCLM4-8-17 | r12i1p1 |
| EC–EARTH | RACMO22E | r12i1p1 |
| EC–EARTH | RCA4 | r12i1p1 |
| HadGEM2–ES | RACMO22E | r1i1p1 |
| HadGEM2–ES | RCA4 | r1i1p1 |
| MPI-ESM–LR | REMO2009 | r1i1p1 |
| MPI-ESM–LR | REMO2009 | r2i1p1 |
| MPI-ESM–LR | RCA4 | r1i1p1 |
| Qe Evolution | Hydrological Implications | Sediment Transport Capacity | Conceptual Geomorphic Process Interpretation 1 | Conceptual Expected Riverbed Response |
|---|---|---|---|---|
![]() | Increase in the frequency and/or magnitude of flows | Increased | Enhanced geomorphic effectiveness, which may determine more active riverbed dynamics through erosional processes. This may favour riverbed degradation. | Incision and deepening of riverbed; reach-dependent bank erosion and lateral adjustment; incision-induced channel narrowing; floodplain disconnection after long-term incision. |
![]() | Decrease in the frequency and/or magnitude of flows | Reduced | Reduced geomorphic effectiveness, which may determine less active riverbed dynamics through depositional processes. This may favour riverbed aggradation. | Riverbed elevation rising; widening; potential shift toward multi-threading (braiding or anabranching) channel pattern where banks are weak, and vegetation is limited; conversely, vegetation development-induced channel narrowing and stabilisation; enhanced overbank deposition and floodplain connectivity; |
![]() | Relatively stable frequency and/or magnitude of flows | Relatively stable | Consistent geomorphic effectiveness, which may favour a balance between erosion and deposition (dynamic equilibrium). | The current state of the riverbed is maintained; sustained lateral channel migration (meandering), where channel confinement and bank conditions permit. |
Disclaimer/Publisher’s Note: The statements, opinions and data contained in all publications are solely those of the individual author(s) and contributor(s) and not of MDPI and/or the editor(s). MDPI and/or the editor(s) disclaim responsibility for any injury to people or property resulting from any ideas, methods, instructions or products referred to in the content. |
© 2026 by the authors. Licensee MDPI, Basel, Switzerland. This article is an open access article distributed under the terms and conditions of the Creative Commons Attribution (CC BY) license.
Share and Cite
Radu, A.; Comănescu, L.; Ciobotaru, N.; Costache, R. Riverbed Evolution Trends Based on the Channel-Forming Discharge Concept: A Climate Change Scenario Analysis to 2100 for the Ialomița River, Romania. Water 2026, 18, 420. https://doi.org/10.3390/w18030420
Radu A, Comănescu L, Ciobotaru N, Costache R. Riverbed Evolution Trends Based on the Channel-Forming Discharge Concept: A Climate Change Scenario Analysis to 2100 for the Ialomița River, Romania. Water. 2026; 18(3):420. https://doi.org/10.3390/w18030420
Chicago/Turabian StyleRadu, Andrei, Laura Comănescu, Nicu Ciobotaru, and Romulus Costache. 2026. "Riverbed Evolution Trends Based on the Channel-Forming Discharge Concept: A Climate Change Scenario Analysis to 2100 for the Ialomița River, Romania" Water 18, no. 3: 420. https://doi.org/10.3390/w18030420
APA StyleRadu, A., Comănescu, L., Ciobotaru, N., & Costache, R. (2026). Riverbed Evolution Trends Based on the Channel-Forming Discharge Concept: A Climate Change Scenario Analysis to 2100 for the Ialomița River, Romania. Water, 18(3), 420. https://doi.org/10.3390/w18030420




