Next Article in Journal
Quantile-Based Approach for Improving the Identification of Preferential Groundwater Networks
Previous Article in Journal
Sustainability of Water, Sanitation, and Hygiene (WASH) in Post-Emergency Contexts: A Conceptual Framework
 
 
Font Type:
Arial Georgia Verdana
Font Size:
Aa Aa Aa
Line Spacing:
Column Width:
Background:
Article

Dialdehyde Cellulose Fabric Membranes Enable Chemical Adsorption of Amino-Containing Dyes for Wastewater Treatment

1
State Key Laboratory of Organic-Inorganic Composites, Beijing University of Chemical Technology, Beijing 100029, China
2
Department of Chemistry, Stony Brook University, Stony Brook, NY 11794, USA
*
Author to whom correspondence should be addressed.
Water 2025, 17(2), 281; https://doi.org/10.3390/w17020281
Submission received: 15 December 2024 / Revised: 13 January 2025 / Accepted: 14 January 2025 / Published: 20 January 2025

Abstract

Dialdehyde cellulose fabric (DACF) membranes with varying degrees of oxidation were fabricated using periodate oxidation and were employed for the chemical adsorption of amino-groups containing dyes from wastewater. The aldehyde group contents of DACF membranes were adjusted by altering oxidation time, which was confirmed by titration experiments. The chemical structure and morphology of DACF membranes were characterized using ATR-FTIR, TGA, SCA, SEM, XPS, and XRD measurements. The optimized DACF membrane, which was treated for an oxidation time of 24 h and has an aldehyde content of 2.97 mmol/g, was used for the chemical adsorption of amino-containing dye molecules. This process relies on the Schiff base reaction between the amino groups of the target dye molecule and the aldehyde groups of the membrane. Two typical cationic dyes, fuchsin basic and chrysoidine, containing aromatic amino groups, were chosen to determine the adsorption capacity of the DACF membrane. The adsorption kinetics, isotherms, and thermal dynamics of the DACF membrane were investigated comprehensively, while both pseudo-first- and pseudo-second-order kinetics models fit well, indicating the complicated chemical/diffusion adsorption process, where the hydrophobic properties of the DACF membrane retarded the adsorption rate. The maximum adsorption capacities of the DACF membrane against fuchsin basic and chrysoidine were 108.69 and 46.29 mg/g, respectively, as determined by Langmuir isotherm simulations. Various competing ions such as Na+, Ca2+, Cl, and SO42− at high concentrations of 10,000 ppm were used to challenge the adsorption capability of the DACF membrane, with negligible effects observed. A new adsorption mechanism based on chemical/diffusion interaction was proposed. Bovine serum albumin (BSA), fuchsin basic, and chrysoidine were mixed to simulate the multicomponent wastewater containing dissolved organic nitrogen (DON) and demonstrated the adsorption process; the direct adsorption capacity of the DACF membrane was up to 63.0%. This work offers a new method for the highly efficient removal of organic pollutants by a chemical reaction approach.

1. Introduction

Dyes are widely employed in industries such as leather [1], papermaking [2], textiles [3], and coatings [4], and are one of the most common sources of environmental pollution, especially leading to water body contamination, which raises great concerns for human health and sustainability [5]. With the development of the dye industry, the issue of discharged wastewater containing dyes has become a critical threat, causing serious pollution to the aquatic environment. It is known that azo dyes such as chrysoidine and triphenylmethane dyes such as basic fuchsin are two typical dyes that are widely used in the printing and dyeing industry; however, their biodegradability is low and the toxicity is high. As evidence, long-term exposure or ingestion can lead to headaches, dizziness, gastrointestinal irritation, and can be accompanied by nausea and vomiting, and can cause chromosomal damage, carcinogenesis, and even death [6,7,8,9]. Therefore, the efficient removal of dyes from contaminated water and the purification of wastewater containing dyes are demanded with priority.
A wide range of technologies have been applied for the purification of wastewater containing these dyes, such as oxidation [10], adsorption [11], filtration [12,13,14], flocculation [15,16], biological methods [17,18], etc. In particular, membrane technology has exhibited both high efficiency and stability; however, it may also suffer from membrane fouling and be impacted by operating conditions [14]. Adsorption technology has been developed rapidly due to its convenient operation, environmental friendliness, and cost-effectiveness. In recent years, significant progress has been achieved on the removal of chrysoidine and fuchsin basic from wastewater, based on adsorption approaches using all kinds of adsorbents.
Inorganic adsorbents such as bottom ash and de-oiled soya were employed economically to adsorb chrysoidine and fuchsin basic, respectively, while the adsorption behavior followed the Langmuir model and the maximum adsorption capacity was less than 19 mg/g [7,19]. Nanoscale metal oxides were used comprehensively as adsorbents for dye removals. Titanate nanotubes with different titanium/sodium hydroxide ratios were fabricated using a hydrothermal method, and they adsorbed fuchsin basic through ion exchange or complexation, achieving high removal rates at low single-component concentrations. However, only 55% removal was achieved when the concentration reached 20 mg/L [20]. Yttrium-doped zinc oxide nanoparticles (YZnO) were prepared additionally for the adsorption against fuchsin basic from wastewater, with an adsorption capacity of up to 75.53 mg/g under conditions of pH = 11 and an adsorption time of 180 min [21]. Moreover, copper sulfide nanoparticles loaded on activated carbon (CuS-NP-AC) were synthesized and used to adsorb chrysoidine under ultrasonic assistance, with a high adsorption rate of 94% in just 360 s using 30 mg of adsorbent and an adsorption capacity of up to 89.3 mg/g [22]. Inorganic-organic chitosan/Al2O3-HA hybrid composite beads with a high specific surface area were also fabricated and used for the adsorption of estradiol and chrysoidine from water, while the maximum adsorption capacities of the composite beads were evaluated as 39.78 and 23.26 mg/g, respectively [23].
Biomass, e.g., sawdust, was employed to adsorb chrysoidine. It was found that the adsorption followed the Langmuir isotherm model, and the adsorption capacity was up to 36.1 mg/g [24]. Cost-effective materials, e.g., different types of cork encapsulated with a biopolymeric gel of calcium alginate, were created. The maximum adsorption capacity for chrysoidine could be up to 61.5 mg/g [25]. In addition, agriculture waste such as soybean straw was hydrolyzed and used to adsorb fuchsin basic. It was found that the maximum adsorption capacity evaluated using the Langmuir model was 72.9 mg/g at 55 °C [26], indicating the effective utilization of bioresources.
A graphene oxide nanocomposite material (GO-Fe3O4), a type of carbon-based material, was fabricated for the adsorption of chrysoidine via π–π stacking interactions, achieving an adsorption capacity as high as 344.83 mg/g at room temperature [27]. Another type of graphene-based adsorbent, e.g., anionic polyacrylamide/graphene oxide aerogels, was manufactured using freeze-drying and adsorbed fuchsin basic through ion exchange, with a maximum adsorption capacity of 1034.3 mg/g [28].
Synthetic polymers were also modified with specific functional groups for their adsorption with enhanced adsorption capacity. Various β-cyclodextrin-based polymers, using van der Waals forces and electrostatic interactions, were employed for the adsorption of fuchsin basic. The adsorption capacity was then up to 54.6 mg/g [29]. In addition, triptycene-based porous polymers were modified through sulfonation and utilized to adsorb various cationic dyes such as methylene blue (MB), fuchsin basic, and malachite green (MG) through ion exchange and electrostatic interactions, while the maximum adsorption capacities were as high as 981.8, 1586.2, and 1942.5 mg/g, respectively [30].
It could be deduced from the aforementioned works that the adsorption primarily relied on the van der Waals forces or the ion exchange of modified materials to remove chrysoidine and fuchsin basic from wastewater, achieving significant adsorption capacities. This mainly depended on the electrostatic interactions or ion exchange between the adsorbent and the dye molecules. However, the adsorption capacities of the adsorbents were limited by various factors in realistic applications, especially the influence of competing ions [31], which usually refer to ions that have similar charges to the dye molecules and competed with the dye molecules for the active sites on the surface of the adsorbent, thereby reducing the capability for dye molecule adsorption.
A new adsorption approach was then proposed to address this issue, in which chemical adsorption has received considerable attention due to its higher adsorption capacity and better selectivity against competing ions. The dye molecules were covalently bonded on the surface of the adsorbent through chemical reactions, thereby avoiding the influence of interfering ions [32]. The advantage of the chemical adsorption depended on the formation of chemical bonds between the adsorbent and the target dye molecules, avoiding the effect of any competing ions or desorption. Furthermore, chemical adsorption can be tailored to achieve higher adsorption selectivity for dye molecules by adjusting the types and quantities of functional groups on the adsorbent surface through a specific chemical reaction.
Therefore, we proposed a novel chemical adsorption approach for the removal of chrysoidine and fuchsin basic dyes from wastewater by oxidizing cellulose fabrics with periodate to produce a certain amount of aldehyde groups which were then reacted with amine groups of dye molecules through a Schiff base reaction. The trade-off between the aldehyde group content and mechanical properties of the cellulose fabric membrane was controlled by adjusting the oxidation degree. The chemical structure and properties of the fabric membrane were characterized using ATR-FTIR, TGA, XRD, SEM, water contact angle, and tensile strength measurements. The adsorption behavior of the DACF membrane towards chrysoidine and fuchsin basic was explored by adsorption kinetics and isotherms, and the adsorption mechanism was verified using XPS. The effects of competing ions at 100 times higher concentration on the adsorption capacities of the membrane for chrysoidine and fuchsin basic dyes were investigated. Additionally, the removal efficiency of the DACF membrane was also evaluated using an aqueous mixture containing BSA, chrysoidine, and fuchsin basic as a model of multicomponent DON wastewater.

2. Materials and Methods

2.1. Materials

Locally sourced (Beijing, China) white cellulosic fabric membranes (0.01 g/cm2) were acquired and subjected to a pretreatment process involving boiling water for a duration of 30 min to eliminate potential contaminants or additives. Sodium periodate and bovine serum albumin (BSA) were bought from Macklin Biochemical Technology, Shanghai, China. Additionally, hydroxylamine hydrochloride, acetic acid, sodium sulfate, calcium chloride, chrysoidine, and fuchsin basic were obtained from Aladin, Shanghai, China and utilized as received materials. Furthermore, copper ethylenediamine, in the form of a 1 mol/L aqueous solution, was purchased from Acros, Beijing, China and utilized without any additional treatments.

2.2. Oxidation of Cellulose Fabrics

In a 100 mL aqueous solution, a cellulose fabric membrane (1 g) was subjected to oxidation using sodium periodate (2.67 g) under conditions designed to exclude light. The suspensions were stirred at ambient temperature for 6, 12, 24, 36, 48, 60, and 72 h, respectively. The oxidation process was halted by the addition of 3 g of glycol. Subsequently, the fabric membrane was then removed from the aqueous solution and thoroughly washed with deionized water, a process that was repeated 3–4 times until the conductivity of the resultant wash solution was reduced to below 10 mS/cm. Finally, the cellulose fabric membrane was dried completely.

2.3. Aldehyde Content of DACF Membranes

The determination of aldehyde content of DACF membranes was carried out through titration using an aqueous solution of hydroxylamine hydrochloride [33]. The procedure involved placing the membranes in a 100 mL beaker filled with 50 mL of deionized water and adjusting the pH to 4.0 with a HCl aqueous solution. Subsequently, 5.0 mL (0.72 mol/L) of hydroxylamine hydrochloride solution (adjusted to pH 4) was added to the beaker and the mixture was stirred. The pH value of the solution was maintained at a constant by neutralization with a 0.1 mol/L NaOH standard solution. The aldehyde group content (C–CHO) was calculated using Formula (1):
C CHO = C NaOH × V NaOH m cellulose

2.4. Degree of Polymerization (DP) of DACF Membranes

DACF membranes with different oxidation times (15 mg) were separately dissolved in 15 mL of a 0.5 mol/L copper ethylenediamine solution and stirred for 12 h at room temperature. A Ubbelohde viscometer was placed in a water bath maintained at a constant temperature of 25 °C for the subsequent viscosity measurements. A 10 mL solution of DACF in copper ethylenediamine was pipetted into the viscometer, and the solution was drawn up to the upper marking line using a rubber suction bulb before allowing it to flow down naturally. The delivery time (t) was recorded accurately during the instant the solution passed through both the superior and inferior marking lines, and was averaged by measuring it 3 times (error within 0.2 s). The delivery time of the pure solvent, copper ethylenediamine solution, was also measured and recorded as t0. The relative viscosity (ɳr) and intrinsic viscosity were then calculated using Equations (2) and (3), respectively [34,35],
η r = t t 0
η = η r 1 3 1 × 3
while the DP can be obtained by Equation (4),
DP = η × C × 190
where C = 0.1 g/100 mL (solution concentration) in this case.

2.5. Water Retention Values (WRVs) of DACF Membranes

The water retention values (WRVs) for both pristine cellulose and DACF membranes were measured using a method that involved complete immersion of the membranes in water and subsequent centrifugation at 1500× g for 20 min [36]. The WRVs were then calculated using Equation (5),
WRV = m w m d m d
where mw and md are the mass of the wet cellulose sample after centrifugation and the dry sample, respectively.

2.6. Static Adsorption

In an effort to ascertain the adsorption capacity of the DACF membrane, two amino-functionalized dyes, specifically chrysoidine as an azo dye and fuchsin basic serving as a representative common dye, were employed through experiments on static adsorption. A precisely weighed 0.01 g of DACF membrane was subjected to static adsorption in 10 mL of solution containing fuchsin basic and chrysoidine at specific concentrations. The adsorption system was agitated for a specified duration. The absorption maxima for fuchsin basic and chrysoidine were observed at wavelengths of 523.5 nm and 447 nm, respectively, using a UV-VIS spectrophotometer (759, Shanghai Jinghua Technology Instrument, China). The adsorption capacity was obtained based on Equation (6),
q e = ( C 0 C e ) × V m
where C0 and Ce represent the initial and the equilibrium concentration, respectively, while V and m are the solution volume and the membrane mass, respectively.

2.6.1. pH Effects

To determine pH effects of the fuchsin basic and chrysoidine solutions (100 mg/L), the DACF membrane (0.01 g) was utilized for the adsorption at pH values of 2, 4, 6, 8, 10, and 12, separately. The experiments were carried out at 25 °C for 24 h.

2.6.2. Adsorption Kinetics

Static adsorption experiments were conducted to investigate the adsorption kinetics of the DACF membrane. In these experiments, 0.01 g of DACF was utilized for the adsorption of 100 mg/L of both fuchsin basic and chrysoidine over a predefined time span ranging from 3 to 1440 min. The adsorption processes were performed at 25 °C, and the concentrations of the dye solutions were accurately determined using a UV spectrometer.

2.6.3. Adsorption Isotherms

Solutions of chrysoidine and fuchsin basic were prepared at various concentrations, specifically 5, 10, 20, 40, 60, 80, and 100 mg/L. The pH values were retained at 6.0 and 8.0 for chrysoidine and fuchsin basic, respectively. In detail, a 0.01 g DACF membrane was utilized for the adsorption of fuchsin basic or chrysoidine solution (10 mL) at 25 °C for 24 h. Different isotherm models including Langmuir, Freundlich, and Temkin were applied, and the proposed adsorption mechanisms were subsequently discussed [37,38].

2.6.4. Effects of Interfering Ions

To investigate the impact of interfering ions on the adsorption capacity of the DACF membrane for chrysoidine and fuchsin basic, respectively, a range of metal ions, including Na2SO4 and CaCl2, were employed. In detail, 0.01 g of the DACF membrane was used for the adsorption against 100 mg/L of chrysoidine and fuchsin basic solution, respectively. The adsorptions were carried out at 25 °C for 24 h, keeping the pH values at 6 for chrysoidine and 8 for fuchsin basic to maintain consistency with previous experimental conditions.

2.7. Evaluation on the Efficiency of Removal of Dyes and BSA from Simulated Wastewater

BSA (5 mg/L), chrysoidine (0.66 mg/L), and fuchsin basic (1.2 mg/L) were simultaneously present in the simulated wastewater (10 mL), with a total dissolved organic nitrogen (DON) content of 1.0 mg/L. Subsequently, 10 mg of the DACF membrane was used for the adsorption of DON from the wastewater at room temperature for 24 h, during which the pH of the solution was adjusted to 4 using acetic acid.

2.8. Characterizations

The chemical structure of DACF membranes, both prior to and following oxidation, was verified through the use of a Nicolet 6700 Fourier Transform Infrared (FTIR) spectrometer manufactured by Thermo Fisher Scientific in Waltham, the United States. Prior to analysis, all membranes were thoroughly dried in a vacuum at 40 °C for 24 h.
The thermal stability of DACF membranes was investigated using a TGA-600 thermogravimetric analyzer (TGA) manufactured by Shimadzu Enterprise Management (China) Co., Ltd. in Shanghai, China. It was performed in a temperature ranging from 80 to 600 °C, with a heating rate of 10 °C/min and a nitrogen atmosphere.
The crystal type and crystallinity of the DACF membranes were analyzed by X-ray diffraction (XRD) using a Bruker D8 ADVANCE diffractometer from Ettlingen, Germany. The crystallinity, commonly referred to as the crystallinity index, was calculated using the following empirical Equation (7):
C = I 002 I a m I 002
where I002 is the peak intensity at scattering angles of 2θ from 22° to 23°, and Iam is the peak intensity at scattering angles of 2θ from 18° to 19°.
The mechanical properties of the pristine cellulose and DACF membranes were examined on a stretching machine (INSTRON 5567) manufactured by Shanghai Fengyi Textile Technology Co., Ltd. in Shanghai, China. The test was conducted using a dumbbell-shaped specimen with a dimension of 50 mm × 4 mm × 0.25 mm, which was prepared for testing. Stress–strain curves for both the pristine cellulose and the DACF24 membranes were acquired at a rate of 20 mm/min.
The morphological observation of the pristine cellulose and DACF membranes was conducted with a scanning electron microscope (SEM, S-4700) manufactured by HITACHI, Ltd. in Tokyo, Japan. To prepare the cross-sectional samples, the membranes were first wetted with deionized water and then fractured in liquid nitrogen.
Surface composition analyses of the pristine cellulose and DACF membranes before and after the adsorption of chrysoidine and fuchsin basic, respectively, were conducted using an X-ray Electron Spectrometer (ESCALAB 250) manufactured by Thermo Fisher Scientific in Waltham, the United States.

3. Results

3.1. Fabrication of Oxidized Cellulose Membranes

The cellulose fabrics can be oxidized by sodium periodate in aqueous solution at room temperature, where di-aldehyde cellulose fabric (DACF) membranes were obtained after oxidation, as shown in Figure 1.
Observations indicated that aldehyde groups were generated on DACF membranes and enhanced the functionality of cellulose fabrics. The chemical structure was determined with ATR-FTIR, and the spectra for both the pristine cellulose and DACF membranes are exhibited in Figure 2A.
Some typical peaks located at 3400 cm−1, 1640 cm−1, and 1055 cm−1 were observed, which could be attributed to the stretching vibrations, bending vibrations, and vibration distortions of hydroxyl groups in cellulose [39,40]. Meanwhile, the vibrational peaks observed at 2915 cm−1 and 1109 cm−1 were assigned to stretching and deformation vibrations of the C-H bond, respectively [41,42]. These vibrational peaks within the cellulose structure remained unshifted throughout the oxidation process. Notably, a new C=O stretching vibration peak corresponding to the aldehyde group emerged at 1732 cm−1 in the spectra of the DACF membranes after oxidation [40,43]. The intensity of this peak increased with an increase in the duration of periodate oxidation, thereby indicating an enhanced degree of oxidation with reaction time. Additionally, a marked intensification of the hemiacetal peak at 890 cm−1, attributed to the combined vibration of aldehyde and hydroxyl groups, was observed [43]. This observation supported the successful periodate oxidation on cellulose membranes. Furthermore, a gradual weakening of the asymmetric stretching vibration of C-O-C at 1166 cm−1 with increasing oxidation time was noted, probably due to the breakage of ether bonds linking cellulose structural units. This phenomenon suggested a significant reduction in the DP of the cellulose membrane following periodate oxidation [43]. A quantitative investigation into the oxidation degree, as evaluated by the aldehyde group content and DP of the DACF membranes, was conducted and is presented in Figure 2B.
The relationship between these parameters and the duration of periodate oxidation was established. Notably, the aldehyde group content was predominantly influenced by both oxidation time and periodate dosage. As anticipated, the aldehyde content increased with oxidation time, achieving a maximum degree of oxidation of 5.8 mmol –CHO/g at 72 h. This suggested that the oxidation reaction occurred on the surface as well as within the cellulose structure, potentially targeting both the amorphous regions and the crystalline surface. Concurrently, the DP of the cellulose decreased drastically from 1090 to 63 after oxidation, as measured by viscosity analysis. This reduction reflected the degradation in cellulose main chains during the oxidation process, aligning with the ATR-FTIR findings.

3.2. Thermal Stabilities of Cellulose and Oxidized Cellulose Membranes

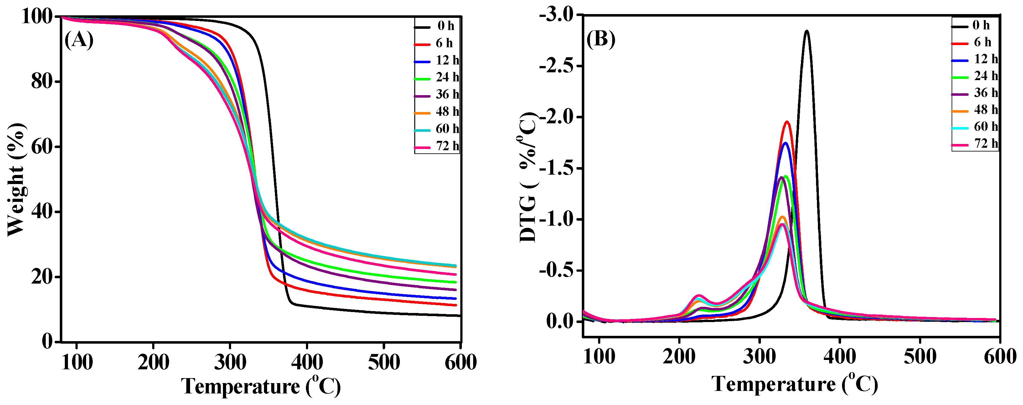
The decomposition behaviors of the cellulose and oxidized cellulose membranes were investigated by TGA, and the corresponding differential thermogravimetric (DTG) curves, which represent the derivatives of weight loss ratio with respect to temperature, were also plotted, as shown in Figure 3.
The thermal decomposition of the oxidized cellulose membranes increased with the increase in oxidation degree, as shown in Figure 3A, while the initial decomposition temperature of the pristine cellulose fabrics was 311.4 °C, which was higher than that of all the oxidized cellulose fabric membranes. The decomposition of the cellulose fabric membranes mainly occurred between 311.4 °C and 387.9 °C, in which the cellulose main chains were decomposed and the carbon–oxygen ring structure was basically degraded. It was converted into carbon monoxide and carbon dioxide, and hydrocarbons were released, with a final residual of 8.11% after heating to 600 °C.
However, the oxidized cellulose fabrics exhibited two decomposition stages, especially the DTG curves, which show a new peak from 191.1 °C to 286.0 °C, as shown in Figure 3B. This peak corresponds to the oxidized segments of cellulose, with the peak area increasing with the oxidation degree (i.e., oxidation time), indicating the lower thermal stability of the aldehyde segments in cellulose. As a result, the onset temperature of the oxidized cellulose membrane containing dialdehyde occurred at around 200 °C. The rapid decomposition temperature range of oxidized cellulose fabrics in the second stage was mainly from 247 °C to 381 °C, as shown in Figure 3B, which was attributed to the decomposition of the oxidized cellulose skeleton. However, the temperature at the maximum decomposition rate was also shifted to a lower value when the oxidation degree increased, indicating that the thermal stability of the cellulose membrane was substantially affected by the periodate oxidation. In addition, the increase in the residue of oxidized cellulose, compared to that of the original cellulose fabrics, could be attributed to the higher hydrocarbon proportion of cellulose than dialdehyde cellulose, making it more difficult to release and leaving more carbon during burning under nitrogen protection.

3.3. XRD of Cellulose and Oxidized Cellulose Membranes

The effects of periodate oxidation on the crystal structure of cellulose were investigated by XRD. The XRD profiles and crystallinities of cellulose before and after oxidation are illustrated in Figure 4.
The four diffraction peaks of cellulose fabrics with different oxidation times were located at 14.8°, 16.3°, 22.6°, and 34.2°, respectively, corresponding to cellulose lattice planes of (101), (10ī), (002), and (040), which confirmed that the crystal structure of cellulose and oxidized cellulose membranes remained unchanged and remained as cellulose I type [44]. However, the crystallinity of the pristine cellulose decreased continuously with oxidation time. This was due to the oxidation reaction that converted the hydroxymethyl groups at positions C2 and C3 of cellulose into aldehyde groups and broke the ether bond of cellulose chains, which damaged the crystal regions of the cellulose and continuously reduced the crystallinity from 75.8% to 33.4%. It was also determined that the oxidation reaction occurred not only in the amorphous regions, but also partially in the crystal region or surface, which resulted in a reduction in crystallinity. Therefore, the optimized DACF membrane, considering the content of aldehyde, mechanical properties associated with DP, and crystallinity, was the DACF membrane oxidized for 24 h.

3.4. Surface Hydrophilicity and Water Retention Value of the DACF Membrane

The surface properties of the pristine cellulose and the DACF membrane were investigated using their water contact angle and water retention to understand the effects of the aldehyde groups. The changes in water contact angles of the cellulose and DACF membranes with time are shown in Figure 5A.
The pristine cellulose fabrics were highly hydrophilic, as shown in Figure 5A, and the water contact angle of the fabrics dropped rapidly from 114.5° to 0° (complete penetration) in 5 s. As a comparison, the DACF membrane remained at a constant water contact angle of about 127°, indicating that the periodate oxidation offered high hydrophobicity to the cellulose membrane, even though the aldehyde content of the DACF membrane was only 21.6%. It should be noted that the periodate oxidation does not affect the hydroxyl groups at the C6 position and, meanwhile, the content of the total hydroxyl groups in cellulose was reduced by only 14.4%. Therefore, the DACF membrane retained water accessibility, and, meanwhile, with hydrophobic properties, which could benefit its adsorption capability through different mechanisms, e.g., both physical and chemical approaches.
Moreover, water retention values of the oxidized cellulose membranes provided further evidence to support our hypothesis. The water retention values, reflecting the affinity of the oxidized cellulose membranes with different oxidation degrees to water molecules, were measured and compared to those of the pristine cellulose fabrics, as depicted in Figure 5B.
As expected, the water retention value of the oxidized cellulose membranes exhibited a downward tendency with the oxidation time due to the increased content of hydrophobic aldehyde groups. However, the water retention value of the DACF membrane prepared by 24 h or greater oxidation time remained almost unchanged, staying above 40%, which verified the hypothesis that, although the DACF membrane exhibits a hydrophobic nature due to the aldehyde groups, it still maintains suitable hydrophilic properties, which would be beneficial for water treatment.

3.5. Mechanical Strength Measurements

The stress–strain curves of the pristine cellulose and DACF membranes were obtained, as illustrated in Figure 6.
The ultimate tensile strength of the pristine cellulose and DAFC membranes were 30.5 MPa and 14.7 MPa, respectively, with the later being about one half of the original strength of the pristine cellulose after oxidation. However, the elongation-to-break of the pristine cellulose membrane was 23.7%, which was comparable to the 19.5% of the DAFC membrane.
The decrease in mechanical strength of the cellulose after oxidation could be attributed to the decrease in both DP and crystallinity, as discussed above. In other words, the periodate oxidation breaks down the cellulose chains and destroys the crystal regions of cellulose [44], which reduced the strength of the cellulose fabrics. However, the mechanical properties of the DACF membrane remained higher than most of the cellulose-based membranes for water purification.

3.6. Morphologies of the DACF Membrane

As discussed above, the periodate oxidation tends to break down cellulose main chains, an effect that can be observed in the top and cross-sectional SEM images of the pristine cellulose and DACF membranes, as shown in Figure 7.
It is clear that the DACF membrane exhibited fiber fracture, which was probably due to the DP reduction and the chains broken by periodate oxidation, and this led to the decrease in the corresponding mechanical properties of the DACF membrane. The fiber diameter of the DACF membrane was 15.2 ± 1.9 μm, which did not change significantly, as shown in Figure 7A,C. Meanwhile, it could be seen that the surface of the original cellulose fabric was relatively smooth and flat, which became remarkably rough with visible cracks in the cross-sectional view of the oxidized fiber. This could be explained by the partial conversion of hydroxyl groups to aldehyde groups in cellulose, which destroyed the original hydrogen bonds and damaged the structure of cellulose chains, thus leading to the formation of cracks [45].

3.7. Static Adsorption

To explore the adsorption rate and capacity of the DACF membrane, two dyes, fuchsin basic and chrysoidine, representing both aromatic and primary amine, were employed for the static adsorption experiments.

3.7.1. Effects of pH on Adsorption Capacities

The adsorption performance of the DACF membrane towards fuchsin basic and chrysoidine was affected by the solution’s pH, as shown in Figure 8.
As shown in Figure 8, the optimized pH values for the adsorption of chrysoidine and fuchsin basic were determined to be 6.0 and 8.0, respectively. At these pH levels, the equilibrium adsorption capacities of the DACF membrane were found to be 43.29 mg/g for chrysoidine and 67.02 mg/g for fuchsin basic. Consequently, subsequent adsorption experiments were conducted at pH 6.0 for chrysoidine and 8.0 for fuchsin basic.

3.7.2. Adsorption Kinetics

The adsorption kinetics of the DACF membrane were investigated by conducting static adsorption experiments using solutions of chrysoidine and fuchsin basic, each at a concentration of 100 mg/L. The results, including the adsorption capacity and the corresponding pseudo-first-order and pseudo-second-order kinetic models, are presented in Figure 9 and Table 1.
The adsorption of the DACF membrane for chrysoidine and fuchsin basic was carried out, and the equilibrium adsorption status was approached in 1500 min at room temperature, as shown in Figure 9A. Two kinetic models, pseudo-first-order and pseudo-second-order kinetics [46,47], were employed to fit the adsorption process, where the pseudo-second-order could fit the adsorption against chrysoidine and fuchsin basic very well, and both coefficients’ R2 were 0.991. This confirmed that the adsorption was a chemical-dominated adsorption process through a site binding approach. In this particular case, the dialdehyde groups on cellulose bind with the exogenous amino groups through dehydration and condensation and produce a Schiff base structure with the formation of a carbon-nitrogen double bond. The whole adsorption was essentially a chemical binding between aldehyde and amino groups and, therefore, the mechanism of the adsorption should follow the pseudo-second-order kinetics. The adsorption capacity increased slowly and was close to equilibrium at 24 h, while the equilibrium adsorption capacities approached 52.63 and 86.20 mg/g for chrysoidine and fuchsin basic, respectively.
Moreover, it was very interesting that the pseudo-first-order dynamics model can also fit well for the adsorption of the DACF membrane against chrysoidine, where the coefficient R2 was 0.995. The pseudo-first-order model was applicable because the active site exists within the adsorbent. Therefore, it could be explained that the aldehyde groups distributed both external and internal of cellulose fibers after oxidation, where the surface adsorption followed pseudo-second-order kinetics, and the internal adsorption relaying on the diffusion and interaction of the target molecules which mainly controlled by the pseudo-first-order kinetics. The chrysoidine molecule was smaller than that of fuchsin basic and, therefore, the adsorption of the chrysoidine was more consistent with the pseudo-first-order kinetics. Meanwhile, the hydrophobicity of aldehyde groups also limited the diffusion rate of the target molecule on the surface and internal of the adsorbent at certain extent, which retarded the equilibrium of the adsorption and tended to be controlled by pseudo-first-order kinetics. As evidence, the adsorption rate constants of the DACF membrane for chrysoidine and fuchsin basic were 2.98 × 10−5 g·mg−1min−1 and 5.19 × 10−5 g·mg−1min−1, respectively.

3.7.3. Adsorption Isotherms

In order to gain a deeper insight into the adsorption of the DACF membrane, static experiments were conducted using chrysoidine and fuchsin basic at varying concentrations. The adsorption data obtained were fitted to a range of isotherm models, including the Langmuir, Freundlich, and Tempkin models [37,38], and the results are presented in Figure 10.
The adsorption behavior of the DACF membrane for chrysoidine and fuchsin basic followed the Langmuir model (R2 > 0.99), indicating that the adsorption behavior followed a monolayer approach by adsorption site binding with uniform dye molecules occurring on the surface of the DACF membrane. The maximum adsorption capacities of the DACF membrane for chrysoidine and fuchsin basic were 108.69 and 46.29 mg/g, respectively, estimated using the Langmuir model, as shown in Table 2.
It should be noted that the aldehyde group content of the DACF membrane was 2.97 mmol/g based on the titration experiment, while the maximum adsorption capacities against chrysoidine and fuchsin basic were 0.32 and 0.19 mmol/g. Therefore, the utilization of aldehyde groups was about 7 to 12%, which was also found, e.g., in the adsorption or grafting of many other dialdehyde cellulose or nanocellulose, with relatively low aldehyde group utilization. It could be deduced that the adsorption process occurs mainly on the surface of the DACF membrane, and the internal aldehyde groups of the membrane were limited to be utilized. There are two possible reasons: one was the hydrophobicity of the dialdehyde groups that retarded the diffusion of hydrophilic target molecules and limited the use of the internal aldehyde groups; the other was that the molecular size of the adsorbed molecule was too large to penetrate the internal structure of the DACF membrane, and, as a result, the internal aldehyde groups were inefficient for the adsorption.

3.7.4. Effects of Competing Ions

From a practical application perspective, the solution under investigation contains chrysoidine and fuchsin basic at concentrations of 100 mg/L each, with the involvement of monovalent ions such as sodium (Na+) and chloride (Cl) and bivalent ions including calcium (Ca2+) and sulfate (SO42−). The overall concentration of these competing ions was increased to 10,000 mg/L, serving as a critical test for the adsorption selectivity of the DACF membrane towards dyes, as shown in Table 3.
It can be seen from Table 3 that the adsorption capacity of the DACF membrane for chrysoidine and fuchsin basic remained almost unchanged with the addition of 10,000 mg/L of competing ions. Specifically, the presence of divalent cations, such as Ca2+, had a negligible effect on the adsorption process, despite the cationic nature of both dyes. Remarkably, even with high concentrations of the divalent anion SO42−, the reduction in the adsorption capacity of the DACF membrane was less than 9.0% compared to its original adsorption capacity. These findings suggest that the DACF membrane demonstrated remarkable selectivity towards dyes with amino groups, such as chrysoidine and fuchsin basic. This selectivity can be attributed to the adsorption mechanism, i.e., the Schiff base reaction between aldehyde and amino groups, which is highly resistant to interference from various salt ions, even at concentrations as high as 10,000 mg/L.

3.8. Surface Element Analysis

The surface elemental compositions of the DACF membrane before and after adsorption of chrysoidine and fuchsin basic, respectively, were determined using XPS measurements, while the surface composition and elemental states are illustrated in Figure 11.
It is clear that the peaks located at 285, 400, and 532 eV correspond to C1s, N1s, and O1s, respectively [48,49,50], as shown in Figure 11A. In the spectra of the DACF membrane after adsorption, N1s orbital transition peaks at 400 eV were observed, instead of the original spectrum of the DACF membrane, which confirmed that the N1s came from chrysoidine and fuchsin basic and, therefore, that the adsorption was successful.
Furthermore, it can be seen in Figure 11C,D that a slight rightward shift in the C=O peak position was observed, from 288.4 eV before adsorption to 288.5 eV and 288.6 eV after adsorption. This shift could be attributed to the conversion of certain aldehyde groups. Subsequent to the adsorption of the two dyes by DACF, a significant number of C=N bonds were formed. Meanwhile, a new peak emerged at 285.5 eV, indicating the formation of C–N bonds situated between the C–O and C–C peaks in Figure 11C,D. This finding further confirms the adsorption of chrysoidine and fuchsin basic onto the DACF membrane. XPS analysis thus verifies the successful adsorption of the dyes and elucidates the underlying adsorption mechanism.

3.9. Evaluation of the DACF Membrane on the Adsorption Application

The adsorption capability of the DACF membrane against multicomponent DON wastewater was evaluated. The organic nitrogen contents of BSA, chrysoidine, and fuchsin basic were 70%, 15%, and 15%, respectively, and this composition was used to simulate the distribution of DON in wastewater. An adsorption of the DACF membrane against simulated wastewater containing BSA (5 mg/L), chrysoidine (0.66 mg/L), and fuchsin basic (1.2 mg/L), which showed that the DON content was 1.0 mg/L, was demonstrated. The adsorption process was carried out at room temperature for 24 h. The removal efficiency of the DACF membrane for the simulated DON wastewater is shown in Figure 12.
The removal efficiency of the DACF membrane against BSA, chrysoidine, and fuchsin basic was 58.7%, 86.8%, and 86.7%, respectively. This indicated that the DACF membrane was an efficient adsorbent for the purification of wastewater containing DON pollutants.

4. Conclusions

Highly efficient cellulose fabric-based membranes were fabricated by periodate oxidation and were employed for the adsorption of amino-containing dyes through chemical reactions. The structure and morphology of the resultant DACF membranes depended mainly on the oxidation degree, i.e., the content of aldehyde groups, while high aldehyde content may result in low thermal stability, low crystallinity, low mechanical properties, and high hydrophobicity and high adsorption capability against amino-containing dyes—in this particular case, chrysoidine and fuchsin basic. The adsorption mechanism was based on chemical reaction between the aldehyde groups from DACF membrane and the amino groups from dye molecules. The adsorption kinetics and isotherms were conducted and analyzed, where the adsorption behavior of the DACF membrane followed both pseudo-first- and pseudo-second-order models, and this was regarded as an integrated chemical adsorption and diffusion process. The maximum adsorption capacities of the DACF membrane against chrysoidine and fuchsin basic, from the simulation of the Langmuir model, were 108.69 mg/g (0.32 mmol/g) and 46.29 mg/g (0.19 mmol/g), respectively, indicating that the adsorption process occurs mainly on the cellulose fiber surface and that the internal aldehyde groups could not be used sufficiently. It was very impressive that the interfering ions, including Na+, Cl, Ca2+, and SO42− with high concentrations of 10,000 mg/L, exhibited negligible effects on the adsorption capacity of the DACF membrane against cationic dyes, such as chrysoidine and fuchsin basic. The high adsorption selectivity of the DACF membrane was due to the special chemical adsorption mechanism, confirmed using XPS measurements and analyses. The adsorption capability of the DACF membrane was also demonstrated and evaluated against simulated DON-containing wastewater, where high removal efficiency was achieved, indicating that the DACF membrane could be used potentially for industrial wastewater treatment.

Author Contributions

Conceptualization, H.M.; methodology, H.M.; validation, Z.Z. and H.M.; formal analysis, H.M.; investigation, Z.Z.; resources, H.M.; data curation, Z.Z.; writing—original draft preparation, Z.Z.; writing—review and editing, H.M.; supervision, B.S.H.; project administration, H.M.; funding acquisition, H.M. All authors have read and agreed to the published version of the manuscript.

Funding

This research was funded by State Key Laboratory of Organic-Inorganic Composites, Beijing University of Chemical Technology, grant number oic-202001002.

Data Availability Statement

Data is contained within the article.

Conflicts of Interest

The authors declare no conflicts of interest.

References

  1. Varjani, S.; Rakholiya, P.; Ng, H.Y.; You, S.M.; Teixeira, J.A. Microbial degradation of dyes: An overview. Bioresour. Technol. 2020, 314, 123728. [Google Scholar] [CrossRef] [PubMed]
  2. Zhang, J.S.; Zheng, P.W.; Wang, Q.Q. Lime mud from papermaking process as a potential ameliorant for pollutants at ambient conditions: A review. J. Clean. Prod. 2015, 103, 828–836. [Google Scholar] [CrossRef]
  3. Al-Tohamy, R.; Ali, S.S.; Li, F.H.; Okasha, K.M.; Mahmoud, Y.A.G.; Elsamahy, T.; Jiao, H.X.; Fu, Y.Y.; Sun, J.Z. A critical review on the treatment of dye-containing wastewater: Ecotoxicological and health concerns of textile dyes and possible remediation approaches for environmental safety. Ecotoxicol. Environ. Saf. 2022, 231, 113160. [Google Scholar] [CrossRef]
  4. Viktoryová, N.; Szarka, A.; Hrouzková, S. Recent Developments and Emerging Trends in Paint Industry Wastewater Treatment Methods. Appl. Sci. 2022, 12, 10678. [Google Scholar] [CrossRef]
  5. VAlsukaibi, A.K.D. Various Approaches for the Detoxification of Toxic Dyes in Wastewater. Processes 2022, 10, 1968. [Google Scholar] [CrossRef]
  6. Qamar, A.; Saquib, M.; Muneer, A. Semiconductor-mediated photocatalytic degradation of anazo dye, chrysoidine Y in aqueous suspensions. Desalination 2005, 171, 185–193. [Google Scholar] [CrossRef]
  7. Mittal, A.; Mittal, J.; Malviya, A.; Gupta, V.K. Removal and recovery of Chrysoidine Y from aqueous solutions by waste materials. J. Colloid Interface Sci. 2010, 344, 497–507. [Google Scholar] [CrossRef]
  8. Sun, H.Y.; Liu, Y.X.; Li, M.; Han, S.L.; Yang, X.D.; Liu, R.T. Toxic effects of chrysoidine on human serum albumin: Isothermal titration calorimetry and spectroscopic investigations. Luminescence 2016, 31, 335–340. [Google Scholar] [CrossRef]
  9. Varadharaj, V.P.; Ramesh, G.; Kumar, A.; Jeyabalan, J.; Narayanasamy, S. Synthesis, characterization, and application of oxidant-modified biochar prepared from sawdust for sequestration of basic fuchsin: Isotherm, kinetics, and toxicity studies. Biomass Convers. Biorefin. 2023, 13, 9525–9536. [Google Scholar] [CrossRef]
  10. Wang, L.; Wang, J.B.; Pan, H.; Zhao, M.Y.; Chen, J. Kinetics and removal pathway of basic fuchsin by electrochemical oxidization. J. Electroanal. Chem. 2021, 880, 114792. [Google Scholar] [CrossRef]
  11. Katheresan, V.; Kansedo, J.; Lau, S.Y. Efficiency of various recent wastewater dye removal methods: A review. J. Environ. Chem. Eng. 2018, 6, 4676–4697. [Google Scholar] [CrossRef]
  12. Fazullin, D.D.; Kharitonova, E.A.; Mavrin, G.V. The treatment of wastewater from dyes using modified microfiltration membranes. Fundam. Appl. Sci. 2017, 9, 1830–1839. [Google Scholar]
  13. Li, J.; Yuan, S.S.; Zhu, J.Y.; Bruggen, B.V. High-flux, antibacterial composite membranes via polydopamine-assisted PEI-TiO2/Ag modification for dye removal. Chem. Eng. J. 2019, 373, 275–284. [Google Scholar] [CrossRef]
  14. Hassan, M.M.; Abudi, Z.N.; Al-Furaiji, M.H. Polysulfone ultrafiltration membranes embedded with silica nanoparticles for enhanced dye removal performance. Prog. Color Color. Coat. 2023, 16, 165–179. [Google Scholar]
  15. Moghaddama, S.S.; Moghaddama, M.A.; Aramib, M. Coagulation/flocculation process for dye removal using sludge from water treatment plant: Optimization through response surface methodology. J. Hazard. Mater. 2010, 175, 651–657. [Google Scholar] [CrossRef]
  16. Golob, V.; Vinder, A.; Simonič, M. Efficiency of the coagulation/flocculation method for the treatment of dyebath effluents. Dyes Pigment. 2005, 67, 93–97. [Google Scholar] [CrossRef]
  17. Moosvi, S.; Keharia, H.; Madamwar, D. Decolourization of textile dye Reactive Violet 5 by a newly isolated bacterial consortium RVM 11.1. World J. Microbiol. Biotechnol. 2005, 21, 667–672. [Google Scholar] [CrossRef]
  18. Phugare, S.S.; Kalyani, D.C.; Patil, A.V.; Jadhav, J.P. Textile dye degradation by bacterial consortium and subsequent toxicological analysis of dye and dye metabolites using cytotoxicity, genotoxicity and oxidative stress studies. J. Hazard. Mater. 2011, 186, 713–723. [Google Scholar] [CrossRef]
  19. Gupta, V.K.; Mittal, A.; Gajbe, V.; Mittal, J. Adsorption of basic fuchsin using waste materials-bottom ash and deoiled soya-as adsorbents. J. Colloid Interface Sci. 2008, 319, 30–39. [Google Scholar] [CrossRef]
  20. Hinojosa-Reyes, M.; Camposeco-Solis, R.; Ruiz, F. H2Ti3O7 titanate nanotubes for highly effective adsorption of basic fuchsin dye for water purification. Microporous Mesoporous Mater. 2019, 276, 183–191. [Google Scholar] [CrossRef]
  21. Ben Aissa, M.A.; Khezami, L.; Taha, K.; Elamin, N.; Mustafa, B.; Al-Ayed, A.S.; Modwi, A. Yttrium oxide-doped ZnO for effective adsorption of basic fuchsin dye: Equilibrium, kinetics, and mechanism studies. Int. J. Environ. Sci. Technol. 2021, 19, 9901–9914. [Google Scholar] [CrossRef]
  22. Bagheri, A.R.; Ghaedi, M.; Hajati, S.; Ghaedi, A.M.; Goudarzi, A.; Asfaram, A. Random forest model for the ultrasonic-assisted removal of chrysoidine G by copper sulfide nanoparticles loaded on activated carbon; response surface methodology approach. RSC Adv. 2015, 5, 59335–59343. [Google Scholar] [CrossRef]
  23. Li, L.; Iqbal, J.; Zhu, Y.; Wang, F.; Zhang, F.Y.; Chen, W.C.; Wu, T.; Du, Y.P. Chitosan/Al2O3-HA nanocomposite beads for efficient removal of estradiol and chrysoidin from aqueous solution. Int. J. Biol. Macromol. 2020, 145, 686–693. [Google Scholar] [CrossRef]
  24. Ashraf, M.W.; Abulibdeh, N.; Salam, A. Adsorption Studies of Textile Dye (Chrysoidine) from Aqueous Solutions Using Activated Sawdust. Int. J. Chem. Eng. 2019, 2019, 9728156. [Google Scholar] [CrossRef]
  25. Nurchi, V.M.; Crespo-Alonso, M.; Biesuz, R.; Alberti, G.; Pilo, M.I.; Spano, N.; Sanna, G. Sorption of chrysoidine by row cork and cork entrapped in calcium alginate beads. Arab. J. Chem. 2014, 7, 133–138. [Google Scholar] [CrossRef]
  26. Caponi, N.; Silva, L.F.O.; Oliveira, M.L.S.; Franco, D.S.P.; Netto, M.S.; Vedovatto, F.; Tres, M.V.; Zabot, G.L.; Abaide, E.R.; Dotto, G.L. Adsorption of basic fuchsin using soybean straw hydrolyzed by subcritical water. Environ. Sci. Pollut. Res. 2022, 29, 68547–68554. [Google Scholar] [CrossRef]
  27. Hao, Y.; Wang, Z.; Gou, J.; Dong, S. Highly efficient adsorption and removal of chrysoidine Y from aqueous solution by magnetic graphene oxide nanocomposite. Arab. J. Chem. 2019, 12, 3064–3074. [Google Scholar] [CrossRef]
  28. Yang, X.X.; Li, Y.H.; Du, Q.J.; Sun, J.K.; Chen, L.; Hu, S.; Wang, Z.H.; Xia, Y.Z.; Xia, L.H. Highly effective removal of basic fuchsin from aqueous solutions by anionic polyacrylamide/graphene oxide aerogels. J. Colloid Interface Sci. 2015, 453, 107–114. [Google Scholar] [CrossRef]
  29. Zhang, X.M.; Peng, C.S.; Xu, G.C. Synthesis of modified β-cyclodextrin polymers and characterization of their fuchsin adsorption. J. Incl. Phenom. Macrocycl. Chem. 2012, 72, 165–171. [Google Scholar] [CrossRef]
  30. Li, C.; He, Y.; Zhou, L.; Xu, T.; Hu, J.; Peng, C.J.; Liu, H.L. Fast adsorption of methylene blue, basic fuchsin, and malachite green by a novel sulfonic-grafted triptycene-based porous organic polymer. RSC Adv. 2018, 8, 41986–41993. [Google Scholar] [CrossRef]
  31. Velusamy, S.; Roy, A.; Sundaram, S.; Mallick, T.K. A Review on Heavy Metal Ions and Containing Dyes Removal Through Graphene Oxide-Based Adsorption Strategies for Textile Wastewater Treatment. Chem. Rec. 2021, 21, 1570–1610. [Google Scholar] [CrossRef] [PubMed]
  32. Zhang, Z.J.; Ma, H.Y.; Venkateswaran, S.; Hsiao, B.S. Periodate and TEMPO sequential oxidations of cellulose fabrics: Exploration of a multiple and synergistic adsorption mechanism. Sep. Purif. Technol. 2024, 330, 125388. [Google Scholar] [CrossRef]
  33. Sabzalian, Z.; Alam, M.N.; Van de Ven, T.G.M. Hydrophobization and characterization of internally crosslink-reinforced cellulose fibers. Cellulose 2024, 21, 1381–1393. [Google Scholar] [CrossRef]
  34. Tang, F.; Yu, H.; Abdalkarim, S.Y.H.; Sun, J.; Fan, X.; Li, Y.; Zhou, Y.; Tam, K.C. Green acid-free hydrolysis of wasted pomelo peel to produce carboxylated cellulose nanofibers with super absorption/flocculation ability for environmental remediation materials. Chem. Eng. J. 2020, 395, 125070. [Google Scholar] [CrossRef]
  35. Mendoza, D.J.; Hossain, L.; Browne, C. Controlling the transparency and rheology of nanocellulose gels with the extent of carboxylation. Carbohydr. Polym. 2020, 245, 116566. [Google Scholar] [CrossRef]
  36. Gu, F.; Wang, W.; Cai, Z.; Xue, F.; Jin, Y.; Zhu, J.Y. Water retention value for characterizing fibrillation degree of cellulosic fibers at micro and nanometer scales. Cellulose 2018, 25, 2861–2871. [Google Scholar] [CrossRef]
  37. Wang, J.; Guo, X. Adsorption isotherm models: Classification, physical meaning, application and solving method. Chemosphere 2020, 258, 127279. [Google Scholar] [CrossRef]
  38. Foo, K.Y.; Hameed, B.H. Insights into the modeling of adsorption isotherm systems. Chem. Eng. J. 2010, 156, 2–10. [Google Scholar] [CrossRef]
  39. Zheng, Y.Q.; Deng, S.; Niu, L.; Xu, F.J.; Chai, M.Y.; Yu, G. Functionalized cotton via surface-initiated atom transfer radical polymerization for enhanced sorption of Cu (II) and Pb(II). Hazard. Mater. 2011, 192, 1401–1408. [Google Scholar] [CrossRef]
  40. Kim, J.Y.; Choi, H.M. Cationization of periodate-oxidized cotton cellulose with choline chloride. Cell Chem. Technol. 2014, 48, 25–32. [Google Scholar]
  41. Ren, L.; Yang, Z.; Huang, L.; He, Y.; Wang, H.; Zhang, L. Macroscopic poly schiff base coated bacteria cellulose with high adsorption performance. Polymers 2020, 12, 714. [Google Scholar] [CrossRef] [PubMed]
  42. Oh, S.Y.; Yoo, D.I.; Shin, Y.; Seo, G. FTIR analysis of cellulose treated with Sodium hydroxide and Carbon dioxide. Carbohydr. Res. 2005, 340, 417–428. [Google Scholar] [CrossRef] [PubMed]
  43. Maekawa, E.; Koshijima, T. Preparation and structural consideration of nitrogen containing derivatives obtained from dialdehyde celluloses. J. Appl. Polym. Sci. 1991, 42, 169–178. [Google Scholar] [CrossRef]
  44. Sun, B.; Hou, Q.; Liu, Z. Sodium periodate oxidation of cellulose nanocrystal and its application as a paper wet strength additive. Cellulose 2015, 22, 1135–1146. [Google Scholar] [CrossRef]
  45. Chavan, V.B.; Sarwade, B.D.; Varma, A.J. Morphology of cellulose and oxidised cellulose in powder form. Carbohydr. Polym. 2002, 50, 41–45. [Google Scholar] [CrossRef]
  46. Xuan, G.; Wang, J. A general kinetic model for adsorption: Theoretical analysis and modeling. J. Mol. Liq. 2019, 288, 111100. [Google Scholar]
  47. Wang, J.; Xuan, G. Adsorption kinetic models: Physical meanings, applications, and solving methods. J. Hazard. Mater. 2020, 390, 122156. [Google Scholar] [CrossRef]
  48. Zhang, L.; Wang, R.; Liu, R.; Du, X.; Meng, R.; Liu, L.; Yao, J. Rapid capture and visual detection of Copper ions in aqueous solutions and biofluids using a novel celluloseSchiff base. Cellulose 2018, 25, 6947–6961. [Google Scholar] [CrossRef]
  49. Ejaz, A.; Jeon, S. Electrooxidation of N2H4 through CuCuO electronic oscillation on a nitrogen-doped GO surface. Sens. Actuators B Chem. 2019, 284, 494–504. [Google Scholar] [CrossRef]
  50. Tao, J.; Xiong, J.; Jiao, C.; Zhang, D.; Lin, H.; Chen, Y. Cellulose/polymer/silica composite cotton fiber based on a hyperbranch-mesostructure system as versatile adsorbent for water treatment. Carbohydr. Polym. 2017, 166, 271–280. [Google Scholar] [CrossRef]
Figure 1. Fabrication of DACF membranes by periodate oxidations.
Figure 1. Fabrication of DACF membranes by periodate oxidations.
Water 17 00281 g001
Figure 2. ATR-FTIR spectra (A) and content of the aldehyde groups and DP (B) of the pristine cellulose and oxidized cellulose membranes associated with oxidation time.
Figure 2. ATR-FTIR spectra (A) and content of the aldehyde groups and DP (B) of the pristine cellulose and oxidized cellulose membranes associated with oxidation time.
Water 17 00281 g002
Figure 3. Thermal stability (A) and DTG (B) curves of the cellulose membranes before and after oxidation with different reaction times, respectively.
Figure 3. Thermal stability (A) and DTG (B) curves of the cellulose membranes before and after oxidation with different reaction times, respectively.
Water 17 00281 g003
Figure 4. X-ray diffraction profiles of oxidized cellulose membranes with different oxidation times.
Figure 4. X-ray diffraction profiles of oxidized cellulose membranes with different oxidation times.
Water 17 00281 g004
Figure 5. Water contact angles (A) and water retention values (B) of the pristine cellulose and DACF membranes with time.
Figure 5. Water contact angles (A) and water retention values (B) of the pristine cellulose and DACF membranes with time.
Water 17 00281 g005
Figure 6. Stress–strain curves of pristine cellulose and DACF membranes.
Figure 6. Stress–strain curves of pristine cellulose and DACF membranes.
Water 17 00281 g006
Figure 7. SEM images of the pristine cellulose membrane ((A) top and (B) cross-section) and DACF membrane ((C) top and (D) cross-section), respectively.
Figure 7. SEM images of the pristine cellulose membrane ((A) top and (B) cross-section) and DACF membrane ((C) top and (D) cross-section), respectively.
Water 17 00281 g007
Figure 8. Adsorption capacity of DACF membrane affected by pH values against chrysoidine and fuchsin basic, respectively.
Figure 8. Adsorption capacity of DACF membrane affected by pH values against chrysoidine and fuchsin basic, respectively.
Water 17 00281 g008
Figure 9. Adsorption capacity vs. time (A), pseudo-first-order kinetics (B), and pseudo-second-order kinetics (C) of the DACF membrane for the adsorption of chrysoidine and fuchsin basic, respectively.
Figure 9. Adsorption capacity vs. time (A), pseudo-first-order kinetics (B), and pseudo-second-order kinetics (C) of the DACF membrane for the adsorption of chrysoidine and fuchsin basic, respectively.
Water 17 00281 g009
Figure 10. Different adsorption isotherm models of DACF membrane: (A) Langmuir, (B) Freundlich, and (C) Tempkin, respectively.
Figure 10. Different adsorption isotherm models of DACF membrane: (A) Langmuir, (B) Freundlich, and (C) Tempkin, respectively.
Water 17 00281 g010
Figure 11. XPS spectra of pristine cellulose, DACF, and DACF after adsorption, with wide-scan (A) as well as high-resolution C1s peaks of DACF (B), DACF-fuchsin basic (C), and DACF-chrysoidine (D), respectively.
Figure 11. XPS spectra of pristine cellulose, DACF, and DACF after adsorption, with wide-scan (A) as well as high-resolution C1s peaks of DACF (B), DACF-fuchsin basic (C), and DACF-chrysoidine (D), respectively.
Water 17 00281 g011
Figure 12. Adsorption efficiency of DACF membrane for simulated multicomponent DON wastewater.
Figure 12. Adsorption efficiency of DACF membrane for simulated multicomponent DON wastewater.
Water 17 00281 g012
Table 1. Adsorption kinetic parameters of the DACF membrane for chrysoidine and fuchsin basic.
Table 1. Adsorption kinetic parameters of the DACF membrane for chrysoidine and fuchsin basic.
ModelModel EquationParametersFuchsin BasicChrysoidine
Pseudo-first-order kinetics log q e q t = log   q e k 1 2.303 × t qe170.6439.63
k10.00270.0020
R120.9610.995
Pseudo-second-order kinetic t q t =   1 k 2 q e 2 + 1 q e × t qe286.2052.63
k22.98 × 10−55.19 × 10−5
R220.9910.991
Table 2. Adsorption isotherm parameters of DACF membrane for chrysoidine and fuchsin basic adsorption.
Table 2. Adsorption isotherm parameters of DACF membrane for chrysoidine and fuchsin basic adsorption.
ModelsModel EquationParametersFuchsin BasicChrysoidine
Langmuir q e = q m a x b C e 1 + b C e qmax108.6946.29
b0.09950.1210
RL20.9920.997
Freundlich q e = K F C e 1 / n 1/n0.65320.560
KF9.9655.690
RF20.9570.962
Tempkin q e = R T b T ln ( A T C e ) bT42,156.7925,449.89
AT6.23 × 10−60.0488
RT20.9750.978
Table 3. The concentration of those competing ions effected the adsorption capacities of the DACF membrane against chrysoidine and fuchsin basic.
Table 3. The concentration of those competing ions effected the adsorption capacities of the DACF membrane against chrysoidine and fuchsin basic.
Competing IonConcentration
(mg/L)
Fuchsin Basic
(mg/g)
Chrysoidine
(mg/g)
--67.0243.29
Na2SO410,00062.2439.43
CaCl210,00067.7542.07
Disclaimer/Publisher’s Note: The statements, opinions and data contained in all publications are solely those of the individual author(s) and contributor(s) and not of MDPI and/or the editor(s). MDPI and/or the editor(s) disclaim responsibility for any injury to people or property resulting from any ideas, methods, instructions or products referred to in the content.

Share and Cite

MDPI and ACS Style

Zhang, Z.; Ma, H.; Hsiao, B.S. Dialdehyde Cellulose Fabric Membranes Enable Chemical Adsorption of Amino-Containing Dyes for Wastewater Treatment. Water 2025, 17, 281. https://doi.org/10.3390/w17020281

AMA Style

Zhang Z, Ma H, Hsiao BS. Dialdehyde Cellulose Fabric Membranes Enable Chemical Adsorption of Amino-Containing Dyes for Wastewater Treatment. Water. 2025; 17(2):281. https://doi.org/10.3390/w17020281

Chicago/Turabian Style

Zhang, Zhaoju, Hongyang Ma, and Benjamin S. Hsiao. 2025. "Dialdehyde Cellulose Fabric Membranes Enable Chemical Adsorption of Amino-Containing Dyes for Wastewater Treatment" Water 17, no. 2: 281. https://doi.org/10.3390/w17020281

APA Style

Zhang, Z., Ma, H., & Hsiao, B. S. (2025). Dialdehyde Cellulose Fabric Membranes Enable Chemical Adsorption of Amino-Containing Dyes for Wastewater Treatment. Water, 17(2), 281. https://doi.org/10.3390/w17020281

Note that from the first issue of 2016, this journal uses article numbers instead of page numbers. See further details here.

Article Metrics

Back to TopTop