Impact of Organic and Chemical Fertilizers on Nutrient Co-Migration in Different Types of Ditches of Red Soil Sloping Orchards
Abstract
1. Introduction
2. Materials and Methods
2.1. Research Area
2.2. Experimental Design
2.3. Experimental Process and Sample Collection
2.4. Sample Processing and Methods
2.5. Graphics and Data Processing
3. Results
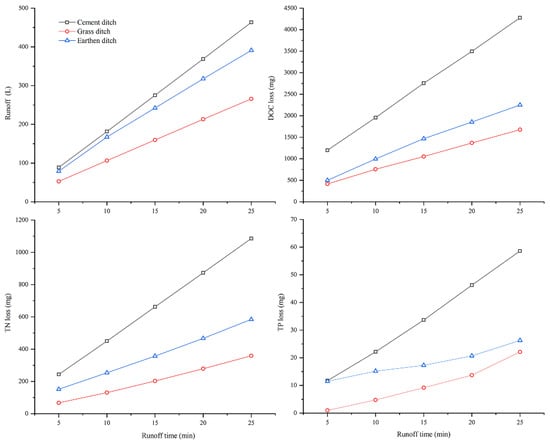
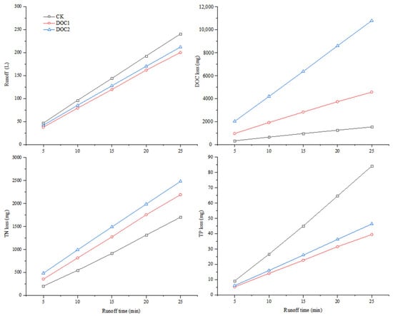
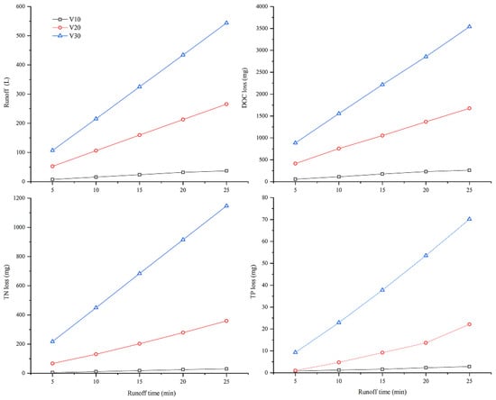
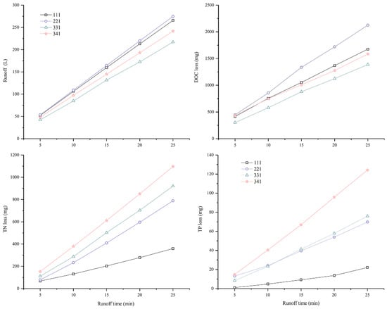
3.1. Effects of Different Factors on the Loss Rate of C, N and P in the Runoff in Slope Drainage Ditch
3.2. Effects of Diverse Factors on the Overall Loss of Carbon, Nitrogen and Phosphorus in Runoff in the Slope Drainage Ditch
3.3. Analysis of the Influence of Different Factors on Nutrient Migration and Loss in Ditch Runoff
4. Discussion
5. Conclusions
Author Contributions
Funding
Data Availability Statement
Acknowledgments
Conflicts of Interest
References
- Guo, J.X.; Yang, J.C.; Zhang, L.J.; Chen, H.H.; Jia, Y.M.; Wang, Z.; Wang, D.; Liao, W.Q.; Chen, L.S.; Li, Y. Lower soil chemical quality of pomelo orchards compared with that of paddy and vegetable fields in acidic red soil hilly regions of southern China. J. Soils Sediments 2019, 19, 2752–2763. [Google Scholar] [CrossRef]
- Li, Z.W.; Ning, K.; Chen, J.; Liu, C.; Wang, D.Y.; Nie, X.D.; Hu, X.Q.; Wang, L.X.; Wang, T.W. Soil and water conservation effects driven by the implementation of ecological restoration projects: Evidence from the red soil hilly region of China in the last three decades. J. Clean. Prod. 2020, 260, 121109. [Google Scholar] [CrossRef]
- Chen, J.; Xiao, H.B.; Li, Z.W.; Liu, C.; Ning, K.; Tang, C.J. How effective are soil and water conservation measures (SWCMs) in reducing soil and water losses in the red soil hilly region of China? A meta-analysis of field plot data. Sci. Total Environ. 2020, 735, 139517. [Google Scholar] [CrossRef] [PubMed]
- Xu, H.Z.Y.; Qi, S.H.; Li, X.; Gao, C.; Wei, Y.C.; Liu, C. Monitoring three-decade dynamics of citrus planting in Southeastern China using dense Landsat records. Int. J. Appl. Earth Obs. Geoinf. 2021, 103, 102518. [Google Scholar] [CrossRef]
- Tu, A.G.; Xie, S.H.; Yu, Z.B.; Li, Y.; Nie, X.F. Long-term effect of soil and water conservation measures on runoff, sediment and their relationship in an orchard on sloping red soil of southern China. PLoS ONE 2018, 13, e0203669. [Google Scholar] [CrossRef] [PubMed]
- Yan, C.; An, D.; Zhao, B.; Ma, H.; Liu, Y.; Kong, R.; Su, J. Soil aggregates, carbon and nitrogen distribution, and water infiltration as influenced by mulching practices in a laterite mango (Mangifera indica L.) orchard. J. Soils Sediments 2023, 23, 3163–3176. [Google Scholar] [CrossRef]
- Puła, J.; Klima, K.; Kliszcz, A.; Lepiarczyk, A. Anti-Erosion Effectiveness of Selected Crops in Sustainable Mountain Agriculture in a Warming Climate. Sustainability 2024, 16, 8212. [Google Scholar] [CrossRef]
- She, D.L.; Zhang, L.; Gao, X.M.; Yan, X.Y.; Zhao, X.; Xie, W.M.; Cheng, Y.; Xia, Y.Q. Limited N removal by denitrification in agricultural drainage ditches in the Taihu Lake region of China. J. Soils Sediments 2018, 18, 1110–1119. [Google Scholar] [CrossRef]
- Chen, X.A.; Liang, Z.W.; Zhang, Z.Y.; Zhang, L. Effects of soil and water conservation measures on runoff and sediment yield in red soil slope farmland under natural rainfall. Sustain. Sci. 2020, 12, 3417. [Google Scholar] [CrossRef]
- Cui, N.X.; Zhang, X.; Cai, M.; Zhou, L.; Chen, G.F.; Zou, G.Y. Roles of vegetation in nutrient removal and structuring microbial communities in different types of agricultural drainage ditches for treating farmland runoff. Ecol. Eng. 2020, 155, 105941. [Google Scholar] [CrossRef]
- Williams, M.R.; King, K.W.; Fausey, N.R. Dissolved organic carbon loading from the field to watershed scale in tile-drained landscapes. Agric. Water Manag. 2017, 192, 159–169. [Google Scholar] [CrossRef]
- Kaur, N.; Thakur, A.; Sharma, V.; Sharda, R.; Dhaliwal, H.S.; Rattanpal, H.S. Fertigation with Nitrogen and Phosphorus Improve Plant Growth, Root Growth, and Buddability of Containerized Citrus Nursery Plants. Commun. Soil Sci. Plant Anal. 2024, 55, 3330–3348. [Google Scholar] [CrossRef]
- Carranca, C.; Brunetto, G.; Tagliavini, M. Nitrogen nutrition of fruit trees to reconcile productivity and environmental concerns. Plants 2018, 7, 4. [Google Scholar] [CrossRef]
- Stępniewski, K.; Łaszewski, M. Spatial and seasonal dynamics of inorganic nitrogen and phosphorous compounds in an orchard-dominated catchment with anthropogenic impacts. Sustainability 2021, 13, 11337. [Google Scholar] [CrossRef]
- Wang, L.; Li, Y.; Wu, J.J.; An, Z.Z.; Suo, L.N.; Ding, J.L.; Li, S.; Wei, D.; Jin, L. Effects of the rainfall intensity and slope gradient on soil erosion and nitrogen loss on the sloping fields of miyun reservoir. Plants 2023, 12, 423. [Google Scholar] [CrossRef]
- Le, H.T.; Ho, C.T.; Trinh, Q.H.; Trinh, D.A.; Luu, M.T.; Tran, H.S.; Orange, D.; Janeau, J.L.; Merroune, A.; Rochelle-Newall, E.; et al. Responses of aquatic bacteria to terrestrial runoff: Effects on community structure and key taxonomic groups. Front. Microbiol. 2016, 7, 889. [Google Scholar] [CrossRef]
- Veum, K.S.; Goyne, K.W.; Motavalli, P.P.; Udawatta, R.P. Runoff and dissolved organic carbon loss from a paired-watershed study of three adjacent agricultural watersheds. Agric. Ecosyst. Environ. 2009, 130, 115–122. [Google Scholar] [CrossRef]
- Ritson, J.P.; Graham, N.J.D.; Templeton, M.R.; Clark, J.M.; Gough, R.; Freeman, C. The impact of climate change on the treatability of dissolved organic matter (DOM) in upland water supplies: A UK perspective. Sci. Total Environ. 2014, 473, 714–730. [Google Scholar] [CrossRef] [PubMed]
- Gächter, R.; Steingruber, S.M.; Reinhardt, M.; Wehrli, B. Nutrient transfer from soil to surface waters: Differences between nitrate and phosphate. Aquat. Sci. 2004, 66, 117–122. [Google Scholar] [CrossRef]
- Hodges, S.C. Soil Fertility Basics; Soil Science Extension; North Carolina State University: Raleigh, NC, USA, 2010; pp. 5–75. [Google Scholar]
- Zheng, H.J.; Nie, X.F.; Liu, Z.; Mo, M.H.; Song, Y.J. Identifying optimal ridge practices under different rainfall types on runoff and soil loss from sloping farmland in a humid subtropical region of Southern China. Agric. Water Manag. 2021, 255, 107043. [Google Scholar] [CrossRef]
- Liu, W.Y.; Sun, S.Q.; Zhu, X.Q.; Ouyang, X. Analysis and assessment of regional high temperature and drought processes in Jiangxi Province. J. Arid. Meteorol. 2024, 42, 187. [Google Scholar]
- Liu, J.; Ouyang, X.Z.; Pan, P.; Ning, J.K.; Guo, Y. Modeling stand mortality of Chinese fir plantations in subtropical China using mixed-effects zero-inflated negative binomial models. For. Ecol. Manag. 2024, 565, 122016. [Google Scholar] [CrossRef]
- Huang, D.; Yang, X.H.; Cai, H.Y.; Xiao, Z.L.; Han, D.R. Identifying human-induced spatial differences of soil erosion change in a hilly red soil region of southern China. Sustain. Sci. 2019, 11, 3103. [Google Scholar] [CrossRef]
- Li, Y.; Li, B.L.; Lei, Q.L.; Yan, T.Z.; Du, X.Z.; Luo, J.F.; Lindsey, S.; Di, H.J.; Liu, H.B. The effects of slope and fertilizer rates on nitrogen losses in runoff from red soil and paddy soil during simulated rainfall. J. Soils Sediments 2022, 22, 2354–2364. [Google Scholar] [CrossRef]
- Wu, X.Y.; Zhang, L.P.; Yu, X.X. Impacts of surface runoff and sediment on nitrogen and phosphorus loss in red soil region of southern China. Environ. Earth Sci. 2012, 67, 1939–1949. [Google Scholar] [CrossRef]
- Ma, W.M.; Li, Z.S.; Ding, K.Y.; Huang, J.Q.; Nie, X.D.; Zeng, G.M.; Wang, S.G.; Liu, G.P. Effect of soil erosion on dissolved organic carbon redistribution in subtropical red soil under rainfall simulation. Geomorphology 2014, 226, 217–225. [Google Scholar] [CrossRef]
- Shi, P.; Schulin, R. Effects of soil organic residue amendment on losses of dissolved organic carbon, P, Cu and Zn via surface runoff from arable soils. Soil Tillage Res. 2019, 195, 104352. [Google Scholar] [CrossRef]
- Chen, X.A.; Yang, J.; Tang, C.J.; Duan, J.; Wan, J.L.; Zheng, T.H. Characteristics of drainage and sediment transport for three typical ditches in red earth hilly area. J. Shaanxi Norm. Univ. (Nat. Sci. Ed.) 2017, 45, 114–119. [Google Scholar]
- Abdi, H.; Williams, L.J.; Valentin, D. Multiple factor analysis: Principal component analysis for multitable and multiblock data sets. Wiley Interdiscip. Rev. Comput. Stat. 2013, 5, 149–179. [Google Scholar] [CrossRef]
- Li, X.N.; Zhang, W.W.; Wu, J.Y.; Li, H.J.; Zhao, T.K.; Zhao, C.Q.; Shi, R.; Li, Z.; Wang, C.; Li, C. Loss of nitrogen and phosphorus from farmland runoff and the interception effect of an ecological drainage ditch in the North China Plain—A field study in a modern agricultural park. Ecol. Eng. 2021, 169, 106310. [Google Scholar] [CrossRef]
- Bundschuh, M.; Elsaesser, D.; Stang, C.; Schulz, R. Mitigation of fungicide pollution in detention ponds and vegetated ditches within a vine-growing area in Germany. Ecol. Eng. 2016, 89, 121–130. [Google Scholar] [CrossRef]
- Guo, C.Y.; Zhang, Q.S.; Hu, Y.W.; Zhao, Q.; Li, Q.K.; Wu, J.W. Influence of sediment, plants, and microorganisms on Nitrogen removal in Farmland Drainage ditches. Agron. J. 2023, 13, 2211. [Google Scholar] [CrossRef]
- Zhang, Z.D.; Brown, R.; Bauer, J.; Bedard-Haughn, A. Nutrient dynamics within drainage ditches under recent, medium, and long-term drainage in the Black soil zone of southeastern Saskatchewan. Geoderma 2017, 289, 66–71. [Google Scholar] [CrossRef]
- Duan, J.; Liu, Y.J.; Wang, L.Y.; Yang, J.; Tang, C.J.; Zheng, H.J. Importance of grass stolons in mitigating runoff and sediment yield under simulated rainstorms. Catena 2022, 213, 106132. [Google Scholar] [CrossRef]
- Yuan, Z.; Liao, Y.; Zheng, M.; Zhuo, M.; Huang, B.; Nie, X.; Wu, X.; Li, D. Relationships of nitrogen losses, phosphorus losses, and sediment under simulated rainfall conditions. J. Soil Water Conserv. 2020, 75, 231–241. [Google Scholar] [CrossRef]
- Liu, B.H.; Liu, L.; Li, W. Effective removal of phosphorus from eutrophic water by using cement. Environ. Res. 2020, 183, 109218. [Google Scholar] [CrossRef] [PubMed]
- Xu, H.H.; Zhang, B.Q.; Wang, J.F.; Wang, B. Effects of typical biological crusts on slope runoff and sediment load in Loess Plateau region. Bull. Soil Water Conserv. 2020, 40, 8–13. [Google Scholar]
- Zhang, G.X.; Zhao, Y.G.; Xu, M.X.; Gao, L.Q. Impacts of biological soil crust on availability of phosphorus and phosphatase activity in hilly regions of the Loess Plateau, China. J. Plant Nutr. Fertil. 2012, 18, 621–628. [Google Scholar]
- Yang, Y.B.; Zhang, J.J.; Li, L.; Sun, R.X.; Zhang, H.B.; Zhang, J.N. Effects of rainfall process on runoff in small watersheds in the Loess Plateau of western Shanxi Province, northern China. J. Beijing For. Univ. 2019, 41, 105–114. [Google Scholar]
- Xue, Y.F.; Xue, W.; Zhang, S.L.; Yang, X.Y. Effects of long-term fertilization regimes on changes of aggregate cementing agent of Lou Soil. J. Plant Nutr. 2015, 21, 1622–1632. [Google Scholar]
- Yang, L.; Jin, X.H.; Hu, Y.W.; Zhang, M.Q.; Wang, H.H.; Jia, Q.; Yang, Y.F. Technical structure and influencing factors of nitrogen and phosphorus removal in constructed wetlands. Water Sci. Technol. 2024, 89, 271–289. [Google Scholar] [CrossRef] [PubMed]
- Hou, X.N.; Xu, Z.; Tang, C.H.; Zhang, S.H. Spatial distributions of nitrogen and phosphorus losses in a basin and responses to best management practices—Jialing River Basin case study. Agric. Water Manag. 2021, 255, 107048. [Google Scholar] [CrossRef]
- Zhang, S.H.; Hou, X.N.; Wu, C.S.; Zhang, C. Impacts of climate and planting structure changes on watershed runoff and nitrogen and phosphorus loss. Sci. Total Environ. 2020, 706, 134489. [Google Scholar] [CrossRef] [PubMed]
- Ghosh, B.N.; Meena, V.S.; Singh, R.J.; Alam, N.M.; Patra, S.; Bhattacharyya, R.; Sharma, N.K.; Dadhwal, K.S.; Mishra, P.K. Effects of fertilization on soil aggregation, carbon distribution and carbon management index of maize-wheat rotation in the north-western Indian Himalayas. Ecol. Indic. 2019, 105, 415–424. [Google Scholar] [CrossRef]
- Wang, Y.D.; Wang, Z.L.; Zhang, Q.Z.; Hu, N.; Li, Z.F.; Lou, Y.L.; Li, Y.; Xue, D.M.; Chen, Y.; Wu, C.Y.; et al. Long-term effects of nitrogen fertilization on aggregation and localization of carbon, nitrogen and microbial activities in soil. Sci. Total Environ. 2018, 624, 1131–1139. [Google Scholar] [CrossRef] [PubMed]
- Xiao, Y.; Huang, Z.G.; Ling, Y.L.; Cai, S.W.; Zeng, B.P.; Liang, S.; Wang, X. Effects of forest vegetation restoration on soil organic carbon and its labile fractions in the Danxia landform of China. Sustain. Sci. 2022, 14, 12283. [Google Scholar] [CrossRef]
- Brooks, P.D.; McKnight, D.M.; Bencala, K.E. The relationship between soil heterotrophic activity, soil dissolved organic carbon (DOC) leachate, and catchment-scale DOC export in headwater catchments. Water Resour. Res. 1999, 35, 1895–1902. [Google Scholar] [CrossRef]
- Ohno, T.; Griffin, T.S.; Liebman, M.; Porter, G.A. Chemical characterization of soil phosphorus and organic matter in different cropping systems in Maine, USA. Agric. Ecosyst. Environ. 2005, 105, 625–634. [Google Scholar] [CrossRef]
- González, M.L.; Valero, E.; Chimeno, S.V.; Garrido-Fernández, A.; Rodríguez-Gómez, F.; Rojo, M.C.; Paolinelli, M.; Arroyo-López, F.N.; Combina, M.; Mercado, L.A. Growth response of Saccharomyces cerevisiae strains to stressors associated to the vine cycle. LWT 2022, 158, 113157. [Google Scholar] [CrossRef]








| Ditch Type | Slope | Ditch Size (Length × Width × Depth) | Underlying Surface Type |
|---|---|---|---|
| Earthen ditch | 12° | 20 × 2 × 0.3 m | Bare soil (Quaternary red soil) |
| Grass ditch | 12° | 20 × 2 × 0.3 m | Eremochloa ophiuroides (Munro) Hack |
| Cement ditch | 12° | 20 × 2 × 0.3 m | Cement |
| Group Setting | ID * | Ditch Type | Initial Concentration | Flow Rate L/min | ||
|---|---|---|---|---|---|---|
| N mg/L | P mg/L | DOC mg/L | ||||
| Ditch group | Earthen ditch | Compacted soil ditch | 2.5 | 0.22 | 10 | 20 |
| Grass ditch | Grass ditch | 2.5 | 0.22 | 10 | 20 | |
| Cement ditch | Cement ditch | 2.5 | 0.22 | 10 | 20 | |
| Flow group | V10 | Grass ditch | 2.5 | 0.22 | 10 | 10 |
| V20 | Grass ditch | 2.5 | 0.22 | 10 | 20 | |
| V30 | Grass ditch | 2.5 | 0.22 | 10 | 30 | |
| Chemical fertilizer group | 111 | Grass ditch | 2.5 | 0.22 | 10 | 20 |
| 221 | Grass ditch | 5.0 | 0.44 | 10 | 20 | |
| 331 | Grass ditch | 7.5 | 0.66 | 10 | 20 | |
| 341 | Grass ditch | 7.5 | 0.88 | 10 | 20 | |
| Organic fertilizer group | CK | Grass ditch | 10.0 | 0.66 | 10 1 | 20 |
| DOC1 | Grass ditch | 10.0 | 0.66 | 50 | 20 | |
| DOC2 | Grass ditch | 10.0 | 0.66 | 75 | 20 | |
| Group Setting | ID | Ditch Type | TN * | TP | DOC |
|---|---|---|---|---|---|
| Ditch group | Earthen ditch | Compacted soil ditch | 63 ± 12 b | 31 ± 12 b | 69 ± 6 b |
| Grass ditch | Grass ditch | 69 ± 7 b | 34 ± 15 b | 56 ± 8 b | |
| Cement ditch | Cement ditch | 98 ± 9 a | 78 ± 6 a | 112 ± 29 a | |
| Flow group | V10 | Grass ditch | 28 ± 4 c | 29 ± 10 b | 119 ± 11 a |
| V20 | Grass ditch | 69 ± 7 b | 39 ± 24 b | 56 ± 8 b | |
| V30 | Grass ditch | 86 ± 2 a | 64 ±13 a | 107 ± 16 a | |
| Chemical fertilizer group | 111 | Grass ditch | 69 ± 7 a | 39 ± 24 b | 56 ± 8 b |
| 221 | Grass ditch | 60 ± 18 a | 78 ± 12 a | 97 ± 9 a | |
| 331 | Grass ditch | 60 ± 14 a | 55 ± 14 b | 89 ± 7 a | |
| 341 | Grass ditch | 61 ± 11 a | 59 ± 14 ab | 104 ± 23 a | |
| Organic fertilizer group | CK | Grass ditch | 60 ± 14 b | 55 ± 14 a | 89 ± 7 a |
| DOC1 | Grass ditch | 94 ± 7 a | 25 ± 4 b | 40 ± 3 c | |
| DOC2 | Grass ditch | 99 ± 1 a | 38 ± 7 b | 66 ± 2 b |
| Variable Quantity | Dependent Variable | Class III Sum of Squares | Degree of Freedom | F | p-Value |
|---|---|---|---|---|---|
| Ditch type | TN | 11.253 | 2 | 18.651 | <0.0001 |
| TP | 0.03 | 2 | 3.816 | 0.024 | |
| DOC | 119.069 | 2 | 30.844 | <0.0001 | |
| Chemical fertilizer | TN | 201.032 | 3 | 222.118 | <0.0001 |
| TP | 2.587 | 3 | 222.572 | <0.0001 | |
| DOC | 24.433 | 3 | 4.219 | 0.006 | |
| Initial flow | TN | 12.478 | 2 | 20.68 | <0.0001 |
| TP | 0.027 | 2 | 3.422 | 0.035 | |
| DOC | 5.471 | 2 | 1.417 | 0.245 | |
| Organic fertilizer | TN | 756.841 | 2 | 1254.337 | <0.0001 |
| TP | 0.303 | 2 | 39.064 | <0.0001 | |
| DOC | 19,774.451 | 2 | 5122.421 | <0.0001 |
Disclaimer/Publisher’s Note: The statements, opinions and data contained in all publications are solely those of the individual author(s) and contributor(s) and not of MDPI and/or the editor(s). MDPI and/or the editor(s) disclaim responsibility for any injury to people or property resulting from any ideas, methods, instructions or products referred to in the content. |
© 2025 by the authors. Licensee MDPI, Basel, Switzerland. This article is an open access article distributed under the terms and conditions of the Creative Commons Attribution (CC BY) license (https://creativecommons.org/licenses/by/4.0/).
Share and Cite
Li, W.; Tang, C.; Zhang, J.; Zhu, J.; Chen, X.; Hu, Y. Impact of Organic and Chemical Fertilizers on Nutrient Co-Migration in Different Types of Ditches of Red Soil Sloping Orchards. Water 2025, 17, 214. https://doi.org/10.3390/w17020214
Li W, Tang C, Zhang J, Zhu J, Chen X, Hu Y. Impact of Organic and Chemical Fertilizers on Nutrient Co-Migration in Different Types of Ditches of Red Soil Sloping Orchards. Water. 2025; 17(2):214. https://doi.org/10.3390/w17020214
Chicago/Turabian StyleLi, Wenbin, Chongjun Tang, Jie Zhang, Jinjin Zhu, Xiaoan Chen, and You Hu. 2025. "Impact of Organic and Chemical Fertilizers on Nutrient Co-Migration in Different Types of Ditches of Red Soil Sloping Orchards" Water 17, no. 2: 214. https://doi.org/10.3390/w17020214
APA StyleLi, W., Tang, C., Zhang, J., Zhu, J., Chen, X., & Hu, Y. (2025). Impact of Organic and Chemical Fertilizers on Nutrient Co-Migration in Different Types of Ditches of Red Soil Sloping Orchards. Water, 17(2), 214. https://doi.org/10.3390/w17020214

