You are currently viewing a new version of our website. To view the old version click .
Water
  • Article
  • Open Access

23 December 2024

Study of Enrichment and Conversion Mechanisms of Heavy Metal Elements in Mines in Cold Regions Under Freezing and Thawing

,
,
,
,
,
and
1
Xinjiang Baodi Mining Co., Ltd., Urumqi 830000, China
2
Xinjiang Geological and Mineral Investment (Group) Co., Ltd., Urumqi 830000, China
3
Department of Geology and Mining Engineering, Xinjiang University, Urumqi 830046, China
4
Xinjiang Provincial Cooperative Innovation Center for Green Development and Ecological Restoration of Mineral Resources, Urumqi 830046, China

Abstract

In cold-region mines, the dual effects of heat islands and cold islands, caused by cycling of hot and cold temperature extremes, facilitate the outward dispersion of heavy metal dust. Freeze–thaw cycles occurring in ice provide a conducive environment for the enrichment and conversion of heavy metals, allowing them to enter downstream rivers with meltwater. This process significantly impacts human activities and ecosystems in areas traversed by these rivers. This study is conducted in the typical alpine mining area in Xinjiang, China, and focuses on the impact of freeze–thaw cycles on the enrichment and conversion of heavy metals in alpine mining regions. It employs a comprehensive approach combining field measurements, environmental simulations, theoretical analysis, and laboratory experiments. The findings indicate that the environmental behavior of heavy metals is influenced not only by the freeze–thaw cycles themselves but also by factors such as temperature, pH, and redox conditions. Heavy metal elements may enter water bodies during the melting process and pose risks to downstream ecosystems and human health.

1. Introduction

Glaciers are nature’s vital freshwater resource. According to global glacier cataloging data, the global glacier area is approximately 1.6 × 107 km2, accounting for 10% of the global land area, and the total reserve of glaciers is 3 × 107 km3, storing approximately 80% of global freshwater resources [1]. Glaciers are an essential source of water for numerous large rivers, and they play an essential role in regulating the seasonal changes of river runoff and water resource cycles [2]. As global temperatures gradually rise, the world’s glaciers are rapidly melting, which has a significant impact on sea level change. According to the assessment report of the United Nations Government Panel on Climate Change, the rate of sea level rise from 1993 to 2010 was as high as 2.8 mm/a, of which 1.26 mm/a was caused by glacier melting (45% of the total rise rate); therefore, glacier melting is one of the main factors influencing sea level rise [3]. At the same time, the continuous retreat of glaciers has an impact on the regional environment and social economy [4], which are also affected by metal mines located in global high-altitude and cold regions.
A large amount of heavy metal mineral dust particles are produced in metal mines during drilling, blasting, transportation, and other processes. Air flow results in the movement and diffusion of dust and greatly influences the migration path and distribution range of heavy metal dust particles [5]. Glacial and snow-covered areas reflect solar radiation, maintaining lower temperatures and creating a cold island effect. Conversely, mining activities and exposed rocks absorb solar radiation, leading to increased local temperatures and forming a heat island effect. In cold-region mines, these effects coexist, and the temperature differences between these temperature islands can cause pressure variations that subsequently alter local airflow patterns. Heavy metal dust particles migrate to the surface of glaciers and the surrounding environment under the local circulation and the “cold and heat double-island effect” of mines in cold regions, resulting in the diffusion of heavy metal elements (Figure 1 and Figure 2).
Figure 1. Dust source and heavy metal content resulting from mining processes in cold regions [6].
Figure 2. Transport and diffusion of heavy metal dust particles under the action of the “cold and hot double-island effect” on the local circulation in mines in cold areas [6].
In extremely cold, high-altitude areas, mountain glaciers, known as “solid reservoirs”, recharge regional surface water and groundwater by melting, nourishing the vast downstream areas. Their consistent material balance (accumulation and melting) allows the sustainable development of social economies and the ecological environment in the region [7,8]. With the annual changes in temperature and climate in these regions, glaciers generated by freezing will seasonally melt in summer and freeze in winter, and the heavy metal elements on the surface of glaciers will undergo a series of physical and chemical changes during this annual freeze–thaw cycle. For example, heavy metal elements are affected by oxygen, light, and temperature; when these factors change, the valence state of the ions, and their toxicity, will also change [9,10]. As glaciers melt, heavy metal elements will accumulate seasonally in the meltwater, threatening and influencing the aquatic ecosystems and water resources in downstream rivers [11,12] (Figure 3).
Figure 3. Pollution mode of heavy metals on the ecological environment in cold areas of China [6].
Global research on the enrichment of heavy metal elements has primarily focused on soils, with the United States and Europe being prominent contributors in this field. These studies indicate that heavy metals in soils are mainly enriched through biological accumulation, whereas in aquatic environments, the enrichment of heavy metals primarily occurs via physical adsorption processes [13,14,15]. Additionally, some research has found that heavy metals in soil can be enriched through various pathways such as plant uptake, root growth, and microbial metabolism [16,17,18,19]. Neculita conducted a comparative study on the treatment of mine wastewater using a mixed organic substrate combined with mushroom compost in passive bioreactors. The results demonstrated that heavy metal elements could be effectively removed in these bioreactors, which release significant amounts of sulfate [20]. This underscores how soil type and environmental factors uniquely influence heavy metal enrichment dynamics. Parallel research by Elberling emphasized the role of biogeochemical processes in cold environments; the interactions between freeze–thaw cycles and active layer drainage in permafrost conditions indicate that glacial melt exacerbates heavy metal mobilization and redistribution [21,22]. This is particularly relevant for alpine mining regions, where the freeze–thaw cycles act as critical drivers for heavy metal enrichment and transformation.
In China, extensive research has also been conducted on the enrichment of heavy metals. Many of these studies have focused on the characteristics of heavy metal accumulation in soils and the factors influencing their distribution. For example, one study demonstrated that factors such as soil moisture content, temperature, and pH level can significantly affect the degree of heavy metal enrichment [23]. Although previous studies have explored this topic to some extent, the enrichment and conversion mechanisms of heavy metals under freezing and thawing cycles in the unique high-altitude and cold environments discussed in this paper remain unclear. A study by Zastruzny indicated that the melting of permafrost glaciers would increase drainage from the active layer [24]. Therefore, it is important to study the enrichment and conversion mechanisms of heavy metals under freezing and thawing cycles of ice in alpine mining areas to prevent the transmission of heavy metals, reduce the impact of heavy metals on water sources, ensure the ecological security of ice, and promote ecological mining processes in alpine mining areas.

2. Research Area and Methods

2.1. Research Area

The study area was the Beizhan iron ore mines in Bazhou–Hejing counties in China’s Xinjiang Uygur autonomous region. Large conventional and strategic mineral resources are distributed in these alpine and high-altitude regions. Altai Mountain, Kunlun Mountain, Tianshan Mountain, and other orogenic belts are rich in gold, silver, copper, iron, and other metal mineral resources, representing critical mineral resource reserves in China [25] (Figure 4). Most of the strategic mineral resources are distributed along the glaciers of the alpine region and range widely in number, variety, and level of strategic exploitation. The study area is defined by the coordinates E 85°31′59.72″~E 85°34′37.96″, N 43°13′30.25″~N 43°15′45.92″, which includes the metal mine and its adjacent piedmont glacier. The central geographical coordinates of the study area are as follows: E 85°33′22.11″, N 43°14′45.04″.
Figure 4. Map of mineral resources and terrain distribution in Xinjiang region of China [6].

2.2. Materials and Methods

The effects of the freeze–thaw cycle on the content and chemical state of heavy metal elements in heavy metal dust samples were investigated by laboratory physical simulation experiments. First, raw samples were collected from different areas of the study area, and powdered samples were obtained through milling. The dust samples were pre-processed with a standard sieve and pre-analyzed using inductively coupled plasma–mass spectrometry (ICP-MS) to ensure the operation and accuracy of the experiment. Physical simulations of the freeze–thaw cycle were then performed. Mine heavy metal dust and glacial mineral water were injected into square freezer molds, which were then frozen. After freezing, representative samples were selected for composition analysis, and the results of the freezing stage were recorded. The remaining samples were fed into an automated control platform device to simulate the all-weather glacier melting process. Xenon lamps were used as light sources to simulate the natural solar spectrum during the thawing stage of the experiment. After thawing, a representative sample was selected for compositional analysis (Figure 5).
Figure 5. Flow chart of the laboratory simulation experiment for the freeze–thaw cycle.

2.2.1. Heavy Metal Dust Sample

Shovels were used to chisel different areas of the study area, and ore blocks of different sizes were obtained as raw samples. The original sample was sent to the laboratory, crushed using a geological hammer, and ground into powdery particles in a grinder; this served as the dust sample. The dust samples were pretreated with a standard screen to remove mineral particles larger than 0.15 mm; in the actual study area, particles of this size are produced by the calving of rocks near the glacier and are not dispersed by the wind in the mine area. Standard screens with diameters of 0.054 mm, 0.075 mm, 0.1 mm, 0.125 mm, and 0.15 mm were used for screening. Mineral dust grains smaller than 0.054 mm were excluded as being overly minute, given the experimental manipulability and impact on the final results, and the remaining dust grains were uniformly mixed. The dust grains with different grain sizes and the grain size classification of the mineral dust are shown in Table 1. The selected dust particles were analyzed by scanning electron microscopy (SEM).
Table 1. Mineral dust particle size gradation.

2.2.2. Laboratory Freeze–Thaw Cycle Physical Simulation Experiments

The actual temperature changes in the study area during the year were used to set the independent variables of the laboratory physical simulation experiment of freeze–thaw temperature (°C) and the number of freeze–thaw cycles. The control variables were set as the ambient temperature and light intensity, and the dependent variables were set as the physical content changes in heavy metal elements in dust and the chemical state changes. The experimental groupings are shown in Table 2.
Table 2. Experimental groupings used for freeze–thaw cycle experiments.
Using this experimental scheme, physical simulations of ice and snow freeze–thaw cycles were performed. A square ice box (5 cm × 5 cm × 5 cm) was used for the ice mold. Experimental glacial mineral water (4 °C) was injected into the mold lattice until the water surface was slightly lower than the opening on the mold. The water mass in each ice sample was 86.2 g and its composition was analyzed by ICP-MS. A similar average dust coverage per unit volume of glacier surface in the actual study area [26] was used as the simulation ratio for the freeze–thaw experiment; seven pieces of heavy metal mine dust (2.5 g per piece) were equally weighed as the initial samples.
One of the initial samples was used as the representative initial sample for the experiment and its elemental composition and content were analyzed by ICP-MS.
The remaining six initial samples were collected. Dust was first added to each of the six grids of the mold and sufficient experimental water was injected into the six grids until the water surface was slightly lower than the opening on the mold. Then, the mine heavy metal dust and water were stirred.
The entire experimental die containing the sample was placed in a freezer with the temperature adjusted as described in Table 2.
One representative frozen sample from the freezing phase was collected after freezing and analyzed by ICP-MS to measure the elemental composition and content of the elements.
The remaining five experimental samples from the previous phase were placed in an irradiated area under an automatic control platform device that can accurately simulate glacier thawing under different radiation conditions and different external interventions, representing all weather conditions.
A xenon lamp was used as a light source throughout the thawing analog experiment because the spectral wavelength produced is nearly the same as the relative intensity of the sun. The lamp was installed at the “radiation light source” location of the automatic control platform equipment.
The equipment was switched on to begin the ice- and snow-melting phase of the physical simulation experiment. When all the ice was melted, a portion of the meltwater was removed and the elemental composition and content were analyzed by ICP-MS. This completed one freeze–thaw cycle.
Following this initial cycle, the remaining four experimental samples were subjected two more times to the same freeze–thaw cycle described above. The full process of the physical simulation experiment for the ice and snow freeze–thaw cycle laboratory is shown.
Four sets of experiments were performed following the protocol described above. Each experiment resulted in an initial sample and six resulting samples, resulting in a total of 28 samples that were subjected to ICP-MS analysis.

3. Results

3.1. Scanning Electron Microscope Detection Results

The SEM images (Figure 6) indicate that the Fe is attached to the surface layer of dust particles in large quantities, Zn and Ag are attached to the middle and inner layers of dust particles, and small amounts of Co, Cu, Ni, and Pb are attached at different positions.
Figure 6. Scanning electron microscopy results.

3.2. Initial Test Samples for Detection and Analysis

ICP-MS was used to analyze the concentrations of all heavy metal elements in the initial dust sample for each set of experiments. After we excluded the heavy metal elements with negligible concentration, the remaining heavy metal elements were Fe, Zn, Co, Cu, Ag, Ni, and Pb. Their concentrations are shown in Figure 7.
Figure 7. The concentrations of heavy metal elements in the initial dust sample of each group.
ICP-MS was used to analyze the concentration of all heavy metal elements in the initial experimental water for each set of experiments. After we excluded heavy metal elements with negligible concentrations in the detection results, the remaining heavy metal elements were Fe and Zn. The concentrations of these metals are shown in Figure 8.
Figure 8. Concentration of heavy metal elements in the initial experimental water for each set of experiments.
As can be seen from the above results, seven major heavy metal elements were present in the initial dust sample and the initial experimental water: Fe, Zn, Co, Cu, Ag, Ni, and Pb. These seven heavy metal elements are discussed separately below. The concentrations of heavy metal elements in the initial dust sample and the initial experimental water in each group are essentially the same, indicating that inter-group errors are negligible.

3.3. Freezing Stage Test and Analysis of Experimental Results

The heavy metal concentrations in the samples from the freezing stage of the physical simulation experiment of the freeze–thaw cycle in the laboratory are shown in Figure 9.
Figure 9. The concentrations of heavy metal elements in samples from the freezing stage.
The above results show that the concentration changes are different for each heavy metal element during different freezing stages within the same group of experiments. Concentrations of Fe, Zn, Cu, and Pb gradually decrease, while those of Co, Ag, and Ni remain constant. Of these, the decreasing trend is more significant for Fe and more subtle for Zn and Cu.
The concentration changes in each heavy metal element under different freeze–thaw cycle temperatures are also different within the same group of experiments. Freezing temperature has little effect on the concentrations of Fe, Zn, Co, Ag, and Ni; however, for Cu and Pb, a lower freezing temperature results in a higher metal concentration.

3.4. Thawing Stage Tests and Analysis of Experimental Results

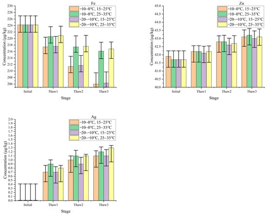
The test results from the thawing stage of the physical simulation experiment during the freeze–thaw cycle are shown in Figure 10. Note that because the concentrations of Co, Cu, Ni, and Pb during the ablation stage are all less than 0.01 μg·kg−1, they are treated as zero.
Figure 10. The concentrations of heavy metal elements during the thawing stage.
The above results show that each heavy metal element has different concentration changes during different thawing stages in samples within the same set of experiments. As the cycle progresses during the thawing stage, the concentration of Fe gradually decreases, the concentrations of Zn and Ag gradually increase, and the concentrations of Co, Cu, Ni, and Pb remain essentially at zero.
The concentration changes in each heavy metal element under different freeze–thaw cycle temperatures are also different within different groups of experiments. A higher temperature during thawing results in higher Fe and Ag concentrations; however, thawing temperature has no effect on the concentrations of Co, Cu, Ni, and Pb, which are all close to zero. Temperature also has little effect on Zn concentration during the entire thawing phase.

4. Discussion

Dust particles from the mine production process containing heavy metal elements are substantially enriched at the surface of glaciers under the influence of ice freezing (Figure 11). At specific pH and REDOX conditions, heavy metal elements are transformed into ions or different forms, which may be more toxic. Therefore, the heavy metals that are enriched at the surface of glaciers migrate and transform during the freeze–thaw cycles of glacial ice, and they can enter downstream rivers with glacier meltwater (Figure 12).
Figure 11. Schematic diagram of the enrichment of heavy metal elements under the freezing of snow and ice.
Figure 12. Schematic diagram of the conversion of heavy metal elements under the thawing of snow and ice.

4.1. Iron

Fe in mining ore mainly exists in the forms of FeO (II), Fe2O3 (III), and Fe3O4 (II, III), which have low activity under low temperature and alkaline conditions [27]; therefore, the concentration of Fe during the freezing phase is not affected by the freezing temperature. Theoretically, the concentration of Fe should remain constant throughout additional freezing cycles; however, in this study, the concentration of Fe gradually decreased with additional freezing cycles. Fe in mineral dust may be mainly distributed at the surface layer of the sample, where it is exposed to the acidic medium of air [28]. Therefore, during sampling, experimentation, sample delivery, and other processes, a small level of reaction may occur during contact of Fe with air, possibly accompanied by shedding from the dust periphery, resulting in the following possible reaction equations:
Fe3+ + e = Fe2+
Fe2+ + 2e = Fe
The analysis of meltwater during the thawing phase shows that the Fe in the experimental water is almost completely in its elemental form, and this elemental Fe in mineral dust is nearly insoluble in water during the whole freeze–thaw cycle. At the same time, Fe in meltwater gradually decreases during the thawing phase, and a higher temperature of thawing results in a higher concentration of Fe in meltwater, indicating that elemental Fe in meltwater precipitates during the thawing phase and leaves the meltwater as Fe-abundant precipitated substances. As the experimental water is weakly alkaline glacial mineral water, Fe2+ in meltwater generates Fe3+ under oxic conditions, while Fe2+ and Fe3+ in meltwater react with OH to produce Fe(OH)2 and Fe(OH)3 precipitates, respectively [29]; this results in a continuous reduction in Fe content in meltwater. The possible reaction equations are as follows:
12Fe2+ + 3O2 + 6H2O = 4Fe(OH)3↓ + 8Fe3+
Fe2+ + 2OH = Fe(OH)2
Fe3+ + 3OH = Fe(OH)3

4.2. Zinc

Zn in ore mainly exists in the form of ZnO (II), which is a similar form to Fe, and also has extremely low activity under low temperature and alkaline conditions [30]; therefore, the concentration of Zn during the freezing phase is not affected by the freezing temperature. Theoretically, the Zn concentration should remain constant with additional freezing cycles; however, in this study, the Zn concentration gradually decreased with additional freezing cycles but at a significantly slower rate than that of Fe. In addition, the reaction of Zn2+ with substances in the air are displacement reactions, where the product after reaction is still Zn2+ [31], and the small amount of Zn lost is within the allowable range of error during the experiment.
Analysis of meltwater during the thawing phase shows that Zn is initially present as elemental Zn. Different thawing temperatures have no significant effect on Zn concentrations, but during the thawing phase, the Zn element concentration in the meltwater slowly increases, suggesting that Zn in the mineral dust undergoes a reaction to produce Zn2+ in the meltwater. The Zn in ore mainly exists as ZnO; therefore, it can be inferred that ZnO is first transformed into Zn(OH)2 precipitate in an alkaline environment, and Zn(OH)2 continues to react with OH ions to produce [Zn(OH)4]2− [32] containing Zn2+. The possible reaction equations are as follows:
ZnO + H2O = Zn(OH)2
Zn(OH)2 + 2OH = [Zn(OH)4]2−

4.3. Cobalt

Co mainly exists in the forms of CoO (II) and Co3O4 (III), which do not react with H2O at room temperature and are stable in humid air [33]. As a result, the concentration of Co during the freezing phase is unaffected by the freezing temperature and remained constant over this period. Because CoO and Co3O4 precipitates are insoluble in either acid or alkali solution [34], the concentration of Co in meltwater remained nearly zero throughout the thawing phase.

4.4. Copper

Cu in ore mainly exists in the forms of CuO (II) and CuS (II), which are similar to the forms of Fe and Zn. Cu in ore has low activity at low temperature and alkaline conditions [35]; however, in this experiment a lower freezing temperature results in a higher Cu concentration. Therefore, Cu in ore may undergo chemical reactions during the freezing phase, with lower temperatures leading to slower reaction rates. The Cu concentration slowly decreases with additional cycles through the freezing phase. Because air is weakly acidic and the experimental water is weakly alkaline, and because CuO and CuS react with acids but not bases, it can be inferred that CuO and CuS generate free Cu2+ when reacting with a small amount of air contact and leave the experimental sample. The remaining Cu2+ reacts with OH in the experimental water to produce Cu(OH)2 precipitate [36]. The possible reaction equations are as follows:
CuO + 2H+ = Cu2+ + H2O
CuS + 2H+ = Cu2+ + H2S↑
Cu2+ + 2OH = Cu(OH)2
Because CuO, CuS, and Cu(OH)2 are all insoluble precipitates in an alkaline environment, while H2S is a gas, the concentration of Cu in meltwater is nearly zero during the entire thawing phase.

4.5. Silver

Ag in ore mainly exists in the form of Ag2O (I), which is highly inactive under low temperature and alkaline conditions [37]; therefore, the concentration of Ag during the freezing phase is not affected by the freezing temperature. The concentration of Ag remains unchanged during additional freezing cycles, suggesting that Ag in the mineral dust is distributed in the middle or inner layers of the sample. Also, because Ag2O does not react in the ambient air environment, there is no weak loss during the experiment.
However, under normal or elevated temperature conditions, Ag2O will produce a tiny amount of free Ag+ in an alkaline environment, which will react with OH to produce the slightly water-soluble AgOH [38]. Therefore, during the thawing phase, the concentration of Ag in meltwater increases during the thawing cycle and results in a higher concentration at higher thawing temperature. However, the part of AgOH that is insoluble in water is a highly unstable substance that will quickly decompose into Ag2O [39], forming a cyclic reaction. The possible reaction equations are as follows:
Ag2O + H2O = 2Ag+ + 2OH
Ag+ + OH ⇌ AgOH
2AgOH = Ag2O↓ + H2O

4.6. Nickel

Ni in ore exists mainly in the forms of Ni (elemental), NiS (II) and NiO (II), which are insoluble in water at room temperature and form a dense oxide film on the metal surface in humid air, which can protect the main metal from continuing oxidation and results in a highly stable material [40]. As a result, the Ni concentration during the freezing phase is unaffected by the freezing temperature, and the Ni concentration remains essentially constant with additional freezing cycles. Because Ni, NiS, and NiO are insoluble in both acid and alkali solutions [41], the concentration of Ni in meltwater remains nearly zero during the entire thawing phase.

4.7. Lead

Pb in ore exists mainly in the forms of PbS (II) and PbCO3 (II). The concentration changes in Pb elements during freezing indicates that a lower freezing temperature results in a higher Pb concentration. Therefore, Pb in ore may undergo chemical reactions during freezing, and the freezing temperature decreases the rate of chemical reactions. The Pb concentration slowly decreases with additional freezing cycles. Because air is weakly acidic and the experimental water is weakly alkaline, and because PbS reacts with acid but not base, the free Pb2+ is likely generated through the reaction of a tiny amount of PbS in contact with air, which then leaves the experimental sample [42]. At the same time, because PbCO3 is soluble in an alkaline environment, free Pb2+ is also be produced in the experimental water, and this Pb2+ reacts with OH to produce Pb(OH)2 precipitates. Pb(OH)2 is acidic in a strong alkali environment; therefore, in a weak alkali environment, Pb(OH)2 will also be acidic. Moreover, a trace amount of Pb(OH)2 reacts with OH to form plumbite [Pb(OH)4]2− [43]. The possible reaction equations are as follows:
PbS + 2H+ = Pb2+ + H2S↑
Pb2+ + 2OH = Pb(OH)2
Pb(OH)2 + 2OH = [Pb(OH)4]2−
On the basis of the measured Pb concentration and the trace amount of [Pb(OH)4]2−, the concentration of Pb in meltwater during the thawing phase is nearly 0.

5. Conclusions

The dual effects of cold islands and heat islands in mines located in cold areas will lead to the outward diffusion of heavy metal dust from the mines, and the freeze–thaw cycle of ice and snow will provide the necessary environment for enrichment and conversion of heavy metal elements (Figure 13).
Figure 13. Enrichment and conversion mechanisms of heavy metals.
(1)
The initial concentrations of heavy metal elements in both dust and water samples were nearly identical, with negligible inter-group variation. During the freezing phase, the concentrations of Fe, Zn, Cu, and Pb gradually decreased, while those of Co, Ag, and Ni remained relatively stable. Freezing temperature had minimal impact on the concentrations of Fe, Zn, Co, Ag, and Ni, but significantly affected the concentrations of Cu and Pb. During the thawing phase, the Fe concentration continued to decrease, Zn and Ag concentrations progressively increased, and the concentrations of Co, Cu, Ni, and Pb remained close to zero. Furthermore, the influence of different freeze–thaw cycle temperatures on heavy metal concentrations varied between elements. Higher thawing temperatures resulted in increased concentrations of Fe and Ag. In contrast, thawing temperature had little effect on Co, Cu, Ni, and Pb concentrations, as these elements remained near zero during the thawing phase. The concentration of Zn showed minimal sensitivity to temperature changes during the thawing stage.
(2)
During freezing, Fe showed low activity; its concentration remained stable across temperatures but decreased with more freezing cycles, possibly because of surface reactions or particle detachment. During thawing, Fe became nearly insoluble, with the concentration decreasing as the number of cycles increased, likely because of oxidation and precipitation of Fe2+. Zn behaved similarly, with stable concentrations in meltwater during freezing and increasing concentrations during thawing, indicating that reactions are occurring within the mineral dust. The concentration of Co was stable during freezing and nearly zero during thawing, reflecting low solubility. The concentration of Cu was temperature-dependent during freezing (higher at lower temperatures) but nearly insoluble during thawing. Ag remained constant during freezing but increased with rising temperatures during thawing. Ni showed no significant changes during freezing and was nearly insoluble during thawing because of the alkaline conditions. The concentration of Pb increased at lower freezing temperatures and decreased with more cycles, becoming almost insoluble during thawing.
(3)
In this study, the environmental behavior of heavy metal elements was influenced not only by the freeze–thaw cycles of ice but also by factors such as temperature, pH, and redox conditions. Zn and Ag were identified as potential threats for penetrating into glacial waters. This is attributed to their concentrations in meltwater progressively accumulating and increasing with successive freeze–thaw cycles. During the ice-melting process, these elements may enter water bodies, posing potential risks to downstream ecosystems and human health.

Supplementary Materials

The following supporting information can be downloaded at: https://www.mdpi.com/article/10.3390/w16243715/s1, Table S1: The concentration of heavy metal elements in the initial dust sample of each group. Table S2: Concentration of heavy metal elements in the initial experimental water for each set of experiments. Table S3: The test results of the freezing stage. Table S4: The test results of the thawing stage.

Author Contributions

Conceptualization, Z.Z. and D.H.; methodology, Z.Z. and D.H.; software, D.H.; validation, D.H.; formal analysis, D.H.; investigation, D.H.; resources, Z.Z. and X.T.; data curation, D.H.; writing—original draft preparation, P.Z., G.Z., Z.Z D.H., Y.S. and H.S.; writing—review and editing, Z.Z. and D.H.; visualization, D.H.; supervision, Z.Z.; project administration, Z.Z.; funding acquisition, Z.Z. All authors have read and agreed to the published version of the manuscript.

Funding

This work was supported by the Natural Science Foundation of Xinjiang Uygur Autonomous Region, China, Zhiyi Zhang, grant number 2023D01C26, and the National Natural Science Foundation of China, Zhiyi Zhang, grant number 52204157.

Data Availability Statement

Data are contained within the Supplementary Materials.

Acknowledgments

We thank Tara Penner for editing the English text of a draft of this manuscript.

Conflicts of Interest

Author Pihong Zhang was employed by the company Xinjiang Baodi Mining Co., Ltd. Author Guoqing Zhu was employed by the company Xinjiang Geological and Mineral Investment (Group) Co., Ltd. Author Dazhong Hou was employed by the company Shandong Energy Xinwen Mining Group Geological Exploration Company Co., Ltd. Author Xiaoyong Tong was employed by the company Xinjiang Geological Engineering Company, Co., Ltd. Author Hui Su was employed by the company China Energy Xinjiang Energy Group Company, Co., Ltd. The remaining authors declare that the research was conducted in the absence of any commercial or financial relationships that could be construed as a potential conflict of interest.

References

  1. Wiersma, P.; Aerts, J.; Zekollari, H.; Hrachowitz, M.; Drost, N.; Huss, M.; Sutanudjaja, E.H.; Hut, R. Coupling a global glacier model to a global hydrological model prevents underestimation of glacier runoff. Hydrol. Earth Syst. Sci. 2022, 26, 5971–5986. [Google Scholar] [CrossRef]
  2. Foss, Ø.; Maton, J.; Moholdt, G.; Schimidt, L.; Sutherland, D.; Fer, I.; Nilsen, F.; Kohler, J.; Sundfjord, A. Ocean warming drives immediate mass loss from calving glaciers in the high Arctic. Nat. Commun. 2024, 15, 10460. [Google Scholar] [CrossRef] [PubMed]
  3. Rounce, D.R.; Hock, R.; Maussion, F.; Hugonnet, R.; Kochtitzky, W.; Huss, M.; Berthier, E.; Brinkerhoff, D.; Compagno, L.; Copland, L.; et al. Global glacier change in the 21st century: Every increase in temperature matters. Science 2023, 379, 78–83. [Google Scholar] [CrossRef]
  4. Kochtitzky, W.; Copland, L.; King, M.; Hugonner, R.; Jiskoot, H.; Morlighem, M.; Millan, R.; Khan, S.; Noël, B. Closing Greenland’s Mass Balance: Frontal Ablation of Every Greenlandic Glacier from 2000 to 2020. Geophys. Res. Lett. 2023, 50, e2023GL104095. [Google Scholar] [CrossRef]
  5. Zhang, Z.; Xu, X.; Song, Y.; Zeng, Q. Study on the Ablation of the Glacier Covered by Mineral Dust in Alpine Regions. Water 2022, 14, 1982. [Google Scholar] [CrossRef]
  6. Hou, D.; Zhang, Z.; Song, Y.; Su, H. Research progress on the mechanism of enrichment and conversion of heavy metal elements in mines in cold regions of Xinjiang under the action of freezing and thawing action of snow and ice. Environ. Chem. 2024. (In Chinese) [Google Scholar] [CrossRef]
  7. Li, C.; Wang, M.; Sun, Z.; Cao, M.; Hou, J. Relationship between Holocene lake water temperature and glacier meltwater on the northwestern Tibetan Plateau. Palaeogeogr. Palaeoclimatol. Palaeoecol. 2023, 619, 111560. [Google Scholar] [CrossRef]
  8. Yao, R.; Li, S.; Chen, D. Runoff Response to Climate in Two River Basins Supplied by Small Glacier Meltwater in Southern and Northern Tibetan Plateau. Atmosphere 2023, 14, 711. [Google Scholar] [CrossRef]
  9. Bogush, A.; Lazareva, V. Behavior of heavy metals in sulfide mine tailings and bottom sediment (Salair, Kemerovo region, Russia). Environ. Earth Sci. 2011, 64, 1293–1302. [Google Scholar] [CrossRef]
  10. Su, W.; Fu, S. The Soil Heavy Metals Element Release and Migration Characteristics of Hengshihe River Both Sides for Guangdong Dabaoshan. Int. J. Environ. Prot. Policy 2016, 4, 49–57. [Google Scholar] [CrossRef][Green Version]
  11. Coufalík, P.; Vašinka, M.; Krmíček, L.; Ševčík, R.; Zvěřina, O.; Brůhová, L.; Komárek, J. Toxic metals in cyanobacterial mat of Big Lachman Lake, James Ross Island, Antarctica. Environ. Monit. Assess. 2023, 196, 43. [Google Scholar] [CrossRef]
  12. Guo, S.; Chen, X.; Wei, W.; Li, T.; Yin, F.; Xu, L. Risk assessment and source analysis of heavy metal contamination in the soil of the Juanshui River Mouth. Environ. Pollut. Bioavailab. 2023, 35, 2212127. [Google Scholar] [CrossRef]
  13. Cowie, L.L.; Songaila, A. Heavy-element enrichment in low-density regions of the intergalactic medium. Nature 1998, 394, 44–46. [Google Scholar] [CrossRef]
  14. Ammar, A.; Syafei, A.; Santoso, M.; Tangahu, B.; Assomadi, A.; Hermana, J. Analysis of the characteristics of heavy metal elements in soil around the smelting area of Pasuruan Industrial Estate, Indonesia. IOP Conf. Ser. Earth Environ. Sci. 2022, 1013, 012013. [Google Scholar] [CrossRef]
  15. Hussain, M.; Jamir, L.; Singh, M. Assessment of physico-chemical parameters and trace heavy metal elements from different sources of water in and around institutional campus of Lumami, Nagaland University, India. Appl. Water Sci. 2021, 11, 76. [Google Scholar] [CrossRef]
  16. Gök, G.; Tulun, Ş.; Çelebi, H. Mapping of heavy metal pollution density and source distribution of campus soil using geographical information system. Sci. Rep. 2024, 14, 29918. [Google Scholar] [CrossRef] [PubMed]
  17. Serafimova, E. Ecological Risk Assessment of Heavy Metals in the Soil at reclaimed solid waste landfill. IOP Conf. Ser. Earth Environ. Sci. 2024, 1427, 012005. [Google Scholar] [CrossRef]
  18. Haribabu, T.; Latha, S.; Lavanya, G.; Rekha, A.; Sudhakar, K.; Suresh, R.; Ansar, Z.; Sudha, P. Phytoextraction of Heavy Metals: Assessing the Potential of Brassica juncea in Heavy Metals (Copper and Cadmium) from Contaminated Soils. Asian J. Chem. 2024, 36, 2961–2966. [Google Scholar] [CrossRef]
  19. Vasudhevan, P.; Pu, S.; Ayyamperumal, R.; Manikandan, E.; Sujitha, S.; Singh, S.; Ponniah, J.; Dixit, S.; Thangavel, P. Pollution assessment, ecological risk and source identification of heavy metals in paddy soils and rice grains from Salem, South India. J. Hazard. Mater. Adv. 2025, 17, 100526. [Google Scholar] [CrossRef]
  20. Neculita, M.; Yim, G.; Lee, G.; Ji, S.; Jung, J.; Park, H.; Song, H. Comparative effectiveness of mixed organic substrates to mushroom compost for treatment of mine drainage in passive bioreactors. Chemosphere 2010, 83, 76–82. [Google Scholar] [CrossRef]
  21. Yun, H.; Ciais, P.; Zhu, Q.; Chen, D.; Zohner, C.; Tang, J.; Qu, Y.; Zhou, H.; Schimel, J.; Zhu, P.; et al. Changes in above- versus belowground biomass distribution in permafrost regions in response to climate warming. Proc. Natl. Acad. Sci. USA 2024, 121, e2314036121. [Google Scholar] [CrossRef]
  22. Yun, H.; Zhu, Q.; Tang, J.; Zhang, W.; Chen, D.; Ciais, P.; Ciais, P.; Wu, Q.; Elberling, B. Warming, permafrost thaw and increased nitrogen availability as drivers for plant composition and growth across the Tibetan Plateau. Soil Biol. Biochem. 2023, 182, 109041. [Google Scholar] [CrossRef]
  23. Wang, B.; Chen, B.; Liu, F.; Su, W.; Ke, L.; Huang, X. Potential risk assessment and enrichment characteristics of heavy metals in soil fruit crop system of Leizhou peninsula. Ecol. Environ. Sci. 2021, 30, 1076–1083. (In Chinese) [Google Scholar]
  24. Zastruzny, S.; Ingeman, T.; Zhang, W.; Elberling, B. Accelerated permafrost thaw and increased drainage in the active layer: Responses from experimental surface alteration. Cold Reg. Sci. Technol. 2023, 212, 103899. [Google Scholar] [CrossRef]
  25. Zhang, Z.; Liu, S. Area changes and mass balance of glaciers in KangzhagRi of the Tibetan Plateau from 1970 to 2016 derived from remote sensing data. J. Geo-Inf. Sci. 2018, 20, 1338–1349. (In Chinese) [Google Scholar]
  26. Zhang, Z.; Song, Y.; Xu, X.; Hou, D. Enhanced Effect of Mining Dust Diffusion on Melting of the Adjacent Glacier: A Case Study in Xinjiang, China. Water 2023, 15, 224. [Google Scholar] [CrossRef]
  27. Tian, Y.; Zhang, P.; Yuan, S. Mechanistic insight into the electron transfer from Fe(II) minerals to quinones. Chem. Geol. 2024, 649, 121981. [Google Scholar] [CrossRef]
  28. Gahtori, P.; Gunwant, V.; Pandey, R. How Does pH Affect the Adsorption of Human Serum Protein in the Presence of Hydrophobic and Hydrophilic Nanoparticles at Air–Water and Lipid–Water Interfaces? Langmuir 2023, 39, 15487–15498. [Google Scholar] [CrossRef]
  29. Dai, J.; Yang, K.; Zhang, L. Study on the efficient precipitation of germanium by Fe(OH)3 colloid generated by neutralization precipitation method. Colloid Polym. Sci. 2024, 302, 1999–2013. [Google Scholar] [CrossRef]
  30. Jiang, B.; Wang, D.; Pu, X.; Liu, Y.; Chen, Y.; Wang, W.; Ma, W.; Wang, C.; Wang, Q.; Chen, W. Genesis of the newly discovered Pb–Zn vein of the Sucha giant fluorite deposit in Inner Mongolia: Constraints from LA-ICP-MS trace element of pyrite and sphalerite. Appl. Geochem. 2023, 158, 105801. [Google Scholar] [CrossRef]
  31. Shan, L.; Zhou, J.; Han, M.; Fang, G.; Cao, X.; Wu, X.; Liang, S. Reversible Zn-driven reduction displacement reaction in aqueous zinc-ion battery. J. Mater. Chem. A 2019, 7, 7355–7359. [Google Scholar] [CrossRef]
  32. Yuan, H.; Luan, J.; Liu, J.; Zhao, N.; Zhong, C. Boosting ultra-long cycling and shelf life of nickel–zinc battery via guiding oriented zinc deposition and suppressing [Zn(OH)4]2− diffusion. Chem. Eng. J. 2023, 457, 141193. [Google Scholar] [CrossRef]
  33. de Oliveira, S.; Bertossi, L.G. 3D structural and geological modeling of the Kwatebala Cu–Co deposit, Tenke-Fungurume district, Democratic Republic of Congo. J. Afr. Earth Sci. 2023, 199, 104825. [Google Scholar] [CrossRef]
  34. Ye, P.; Fang, K.; Wang, H.; Wang, Y.; Huang, H.; Mo, C.; Ning, J.; Hu, Y. Lattice oxygen activation and local electric field enhancement by co-doping Fe and F in CoO nanoneedle arrays for industrial electrocatalytic water oxidation. Nat. Commun. 2024, 15, 1012. [Google Scholar] [CrossRef] [PubMed]
  35. Deng, T.; Zhu, J.; Hu, R.; Hollings, P.; Bi, X.; Huang, M.; Yang, Z.; Pan, L.; Wang, D. Magmatic-hydrothermal redox state and ore-controlling factors for the Yangla skarn Cu deposit, Sanjiang region, SW China. Ore Geol. Rev. 2024, 168, 106040. [Google Scholar] [CrossRef]
  36. Kim, D.H.; Kwak, D.H.; Tak, H.J.; Jung, Y.; Jung, K.; Park, S.-H.; Ko, J.S. Room temperature synthesis of highly transparent CuO and Cu(OH)2 nanowire films via a simple wet chemical method. Appl. Surf. Sci. 2022, 590, 153083. [Google Scholar] [CrossRef]
  37. Zhang, X.; Zhang, D.; Yang, M.; Liu, S.; Hu, B.; Wang, X.; Nie, S.; Wei, G.; Zheng, B.; Chen, G. Genesis of Ag–polymetallic mineralization in Xiong’ershan ore-concentrated area, East Qinling, China: Constraints from in-situ pyrite geochemistry. Ore Geol. Rev. 2024, 172, 106205. [Google Scholar] [CrossRef]
  38. Zhang, J.; Qin, Z.; Jiao, C.; Tang, Z. Photoelectron imaging spectroscopic study and chemical-bonding analysis of AgOH and AgSH anions. J. Quant. Spectrosc. Radiat. Transf. 2019, 233, 52–56. [Google Scholar] [CrossRef]
  39. Harish; Pushpendra, K.; Vipin, K.; Rajneesh, K.; Jin, S.; Manoj, K.; Rahul, S.; Anoop, K. A novel approach to band gap engineering of Nano-Ca(OH)2: Nanocomposites with Ag2O. Ceram. Int. 2022, 48, 35771–35787. [Google Scholar] [CrossRef]
  40. Massas, I.; Kairis, O.; Gasparatos, D.; Ioannou, D.; Vatougios, D.; Zafeiriou, I. Impaired Soil Health in Agricultural Areas Close to Fe-Ni Mines on Euboea Island, Greece, Caused by Increased Concentrations of Potentially Toxic Elements, and the Associated Impacts on Human Health. Environments 2023, 10, 150. [Google Scholar] [CrossRef]
  41. Sayão, F.A.; Martins, A.S.; da Silva, J.J.; Zanoni, M.V.B. Evaluation of Ni0, NiO, and NiS as a Cocatalyst Modifier on TiO2 Nanotubes Matrix for the Enhancement of Photoelectrocatalytic Oxidation of Penicillin G. J. Electrochem. Soc. 2021, 168, 076503. [Google Scholar] [CrossRef]
  42. Ibrahim, M.; Zayed, M.; Ahmed, A.; Ghanem, M.; Shaban, M.; Elkhalik, S.; Mohamed, F. Synthesis and characterization of Mo-doped PbS thin films for enhancing the photocatalytic hydrogen production. Mater. Chem. Phys. 2024, 315, 128962. [Google Scholar] [CrossRef]
  43. Yuan, Y.; Xu, Y.; Xie, Q.; Li, D.; Lin, Q.; Wang, P.; Lu, M. Pentazolate coordination polymers self-assembled by in situ generated [Pb4(OH)4]4+ cubic cations trapping cyclo-N5. Dalton Trans. 2022, 51, 5801–5809. [Google Scholar] [CrossRef] [PubMed]
Disclaimer/Publisher’s Note: The statements, opinions and data contained in all publications are solely those of the individual author(s) and contributor(s) and not of MDPI and/or the editor(s). MDPI and/or the editor(s) disclaim responsibility for any injury to people or property resulting from any ideas, methods, instructions or products referred to in the content.

Article Metrics

Citations

Article Access Statistics

Multiple requests from the same IP address are counted as one view.