Abstract
The phenomenon of gap resonance has increasingly captured the attention of researchers due to its significant impact on offshore and coastal structures. Despite extensive studies, the effect of the heave motion of floating structures on gap resonance has lacked thorough investigation. This paper addresses this gap by using a two-dimensional numerical wave tank in OpenFOAM (version v1812) to compare both fixed-box and floating-box systems. Our findings reveal that the inclusion of the heave motions of structures shifts the resonance frequency to higher values (larger kh) and significantly reduces wave amplification compared with fixed-box systems. Furthermore, while gap resonance can induce extreme wave forces, its impact on the rear box in floating-box systems is minimal. These results underscore the necessity of considering the motion of floating structures in gap resonance studies to enhance the stability and design of offshore and coastal structures, a factor that has been insufficiently addressed in previous research.
1. Introduction
In coastal and ocean engineering, numerous resonant phenomena involving water bodies and waves are of critical importance. These include liquid sloshing in partially filled containers [1,2], harbour resonance within bays or harbours [3], the harmonic resonance of periodic interfacial waves [4,5], and gap resonance. Gap resonance typically occurs within narrow gaps formed by closely spaced marine structures. This resonant phenomenon is well-recognised for its significant impact on the free-surface elevation within the gap, leading to substantial wave loads and potentially severe motions of marine structures [6]. Understanding and mitigating this phenomenon is essential for protecting marine infrastructure.
Over the past few decades, gap resonance has been extensively studied through theoretical analysis, physical experimentation, and numerical simulations. Utilising the classic linear potential flow theory, researchers like Miao et al. [6] and Molin [7] have analytically explored fluid resonance in gaps between multiple bodies and within three-dimensional rectangular moonpools, respectively. These theoretical findings have been validated by numerous physical experiments [8,9,10,11,12].
Numerical simulations have emerged as a robust method for investigating gap resonance. However, models based on linear potential flow theory tend to overestimate the free-surface response near the resonant frequency due to the neglect of nonlinear and viscous effects [13,14,15]. To address this, new numerical models incorporating artificial damping coefficients have been developed, yielding results more consistent with experimental data [16,17,18,19]. Despite this improvement, these models still require calibration against experimental data or CFD simulations. Recently, the use of viscous-flow numerical models has gained popularity. For instance, Moradi et al. [20] used OpenFOAM to study the impact of gap inlet configurations on the resonant wave frequency and amplitude, revealing significant findings about the influence of the corner curvature on resonance characteristics. Similarly, He et al. [21] and Gao et al. [22] have employed viscous-flow simulations to examine fluid oscillations in narrow gaps between fixed boxes and under transient focused waves, respectively.
Although extensive research has been conducted on gap resonance, most studies have focused on fixed marine structures [20,23,24,25,26,27,28,29,30] or those subjected to forced motions [31,32,33]. Notably, Feng and Bai [23] and Zhao et al. [24,25] investigated the nonlinear wave effects on gap resonance. Yin et al. [26] and Ding et al. [28] studied the influence of the seabed on gap resonance, and Gong et al. [29] investigated how the breadth of the structure affects resonance behaviours.
In real-world scenarios, however, marine structures often move freely, with multiple degrees of freedom under wave action [1,34,35]. Therefore, it is crucial to investigate gap resonance in the context of floating bodies with full or partial freedom of motion. Li and Teng [36] examined the wave response in the gap between two barges with roll freedom, while Lu et al. [37] explored the gap resonance between a moored floating structure and a vertical wall. Gao et al. [38] further investigated wave load characteristics during steady-state gap resonance with a fixed structure and a freely heaving structure. In terms of the dynamic motions of multi-body structures, Li et al. [39,40] investigated operational issues related to gangway and hull structures. Recent studies by Jing et al. [41,42,43] contribute further, indicating how different motion interactions affect gap resonance behaviours both in moonpool and floating barge setups.
To the best of our knowledge, the characteristics of wave loads during steady-state gap resonance with both upstream and downstream structures freely heaving have not yet been fully studied. This article addresses this gap by simulating interactions between regular wave trains and a two-floating-box system using a two-dimensional viscous-flow numerical wave tank based on OpenFOAM. We investigate the effects of both the upstream and downstream boxes’ motions on the wave loads exerted on both boxes, including horizontal and vertical wave forces. Comparisons with a fixed box system [44] are also presented to highlight the influence of freely heaving responses on gap resonance phenomena and the resulting forces on the structures.
2. Numerical Setup
In this study, we utilise OpenFOAM (version v1812), a computational fluid dynamics (CFD) model based on the Navier–Stokes equations, to investigate wave–structure interactions. We employ the multiphase solver interFoam, which uses the volume of fluid (VOF) method to track the interface between the water and air accurately. Wave generation is accomplished by defining wave parameters at the inlet boundary, utilising the waves2Foam toolbox [45].
2.1. Numerical Model
The motion of the two-phase (water–air) fluid system in this study is modelled using the incompressible Navier–Stokes equations within OpenFOAM’s interFoam solver. The governing equations are as follows:
where represents the flow velocity vector, is the fluid density, is the Cartesian coordinate vector, is the pressure in excess of the hydrostatic component, and denotes the gravitational acceleration. The term represents the dynamic viscosity, while and are the surface tension coefficient and surface curvature, respectively. The term is applied in multiphase flow simulations, though it has a minimal effect on typical engineering cases.
When simulating water waves, both the water and air phases are governed by Equations (1) and (2), with the volume fraction, , representing the VOF (volume of fluid) method’s tracking of the interface. The parameter varies from 0 to 1, distinguishing air from water within the control volume. The primary unknowns in the governing equations are the three velocity components in Cartesian coordinates and the pressure. The pressure–velocity coupling is resolved using the combined PISO-SIMPLE (PIMPLE) algorithm.
For the wave conditions analysed in the following sections, the Keulegan–Carpenter (KC) numbers have been calculated, with the largest KC number reaching 0.51. This value, corresponding to a regular wave with a 1.58 s period and 0.050 m height, is significantly below the threshold of 5, indicating that inertial forces predominate over drag forces typically associated with turbulence. Consequently, turbulence effects are minimised, and the associated drag forces become less influential in these conditions. Given these lower KC values, the laminar flow model in OpenFOAM is deemed suitable for the specific cases presented here.
2.2. Numerical Wave Tank
For the purpose of comparing with the fixed-box system discussed by Gao et al. [44], the two-dimensional numerical wave tank setup in OpenFOAM used in this study mirrors the dimensions specified in Gao et al.’s study [44]. Figure 1 depicts the configuration of the numerical wave tank. The coordinate system’s origin is situated at the still water level (SWL) on the left inlet boundary, with the x-axis running in the direction of wave propagation and the y-axis extending vertically upward. Centrally located within the wave tank are two identical floating boxes, each constrained to heave motion solely along the y-axis. The dimensions of each box are as follows: a height of 0.5 m, a breadth of 0.5 m, a draft of 0.25 m, and a gap width of 0.05 m. The water depth is maintained at 0.5 m. To mitigate the effects of reflected waves, relaxation zones are implemented at both the inlet and outlet boundaries. A wave gauge (G) is installed between box A and box B to record free-surface elevations and assess the wave amplification within the gap.
Figure 1.
Schematic diagram of the numerical wave tank setup.
Figure 2 shows the mesh configuration around the boxes. This setup is based on the mesh convergence test for floating structures in OpenFOAM, as conducted by Ding et al. [46], and the mesh arrangement for the narrow gap between two boxes, as applied by Gao et al. [44]. The mesh sizes around the boxes are defined as H/16 along the y-axis and L/240 along the x-axis, where H represents the incident wave height, and L represents the incident wavelength. Additionally, the mesh cells within the narrow gap are further refined along the x-axis to 0.0025 m, equivalent to Bg/20.
Figure 2.
Mesh configuration around the boxes within the computational domain in OpenFOAM.
2.3. Test Conditions
Two different wave heights, H = 0.024 m and H = 0.050 m, are selected to assess the influence of heave motions on the gap resonance by comparing the results with the fixed structure conditions reported by Gao et al. [44]. The simulations in [44], involving a total of 21 wave conditions for a wave height of 0.024 m and 22 wave conditions for a wave height of 0.050 m, were originally conducted using OpenFOAM version 3.0.1. For this study, those simulations are re-run using OpenFOAM version v1812, the version employed in our research, to ensure consistency and compatibility. Additionally, the test cases with H = 0.024 m are used to validate the wave amplifications within narrow gaps, as predicted by OpenFOAM. This validation involves comparing the OpenFOAM results with the experimental measurements from Saitoh et al.’s study [8]. The physical experiment setup mirrors the configuration described in Figure 1. A range of wave frequencies near the natural frequency of water trapped within the narrow gap is tested for each incident wave height. Specifically, the dimensionless wavenumber, kh, spans from 1 to 3, with a total of 16 wave conditions simulated for a wave height of 0.024 m and 12 wave conditions for a wave height of 0.050 m.
3. Model Validations
The two-dimensional numerical wave tank described in our previous work in Ding et al. [46] is similarly configured to the present study’s wave tank for investigating gap resonance. Previous validations of this setup, focusing on two floating boxes within a wave energy converter system, have demonstrated that OpenFOAM can accurately predict and simulate the heave motion of two floating pontoons [46]. In this section, the validation specifically addresses OpenFOAM’s capability to predict wave amplification within the narrow gap between two boxes. For this purpose, comparisons are made with physical experiments conducted by Saitoh et al. [8]. In these experiments, two fixed boxes are used, with structural dimensions and a water depth identical to those in the numerical wave tank setup shown in Figure 1. The incident wave height is set at 0.024 m.
Figure 3 presents the validation results for wave amplification within the narrow gap between two boxes as a function of the dimensionless wavenumber, kh. The wave amplification, denoted as Hg/H, is determined by the wave height inside the narrow gap (Hg) measured by the wave gauge (G) depicted in Figure 1. The OpenFOAM simulation results display the same trend of wave amplification variation with kh as observed in the experimental results. The wave amplification initially increases with kh, reaching a peak at kh = 1.56, and then decreases as kh continues to rise. The comparisons show that the wave amplification values predicted by OpenFOAM align well with the experimental data. In summary, OpenFOAM performs well in predicting wave amplification within narrow gaps, demonstrating its reliability in supporting the numerical research in this study.
Figure 3.
Comparison of experimental results and OpenFOAM simulations for wave amplification within the narrow gap between two boxes as a function of kh [10].
4. Comparisons Between Floating- and Fixed-Box Systems
Simulations were also conducted using OpenFOAM v1812 for cases with an incident wave height of H = 0.050 m. Figure 4 illustrates the wave amplification in the gap between two fixed boxes for both H = 0.024 m and H = 0.050 m. The trends in wave amplification as a function of the dimensionless wavenumber, kh, are consistent for both incident wave heights. The dashed line in Figure 4 represents the natural frequency of the water trapped in the narrow gap, corresponding to kh = 1.56. At this point, wave amplifications for both H = 0.024 m and H = 0.050 m reach their peak, indicating the occurrence of gap resonance. The wave amplification induced by gap resonance is more pronounced for H = 0.024 m compared with H = 0.050 m. Specifically, the maximum wave amplification for H = 0.024 m is nearly five times the incident wave height, whereas for H = 0.050 m, the amplification is approximately three times the incident wave height.
Figure 4.
Wave amplification within the narrow gap between two fixed boxes as a function of kh.
4.1. Amplification of Free-Surface Elevation Inside Narrow Gap
Figure 5 presents the time history of the normalised free-surface elevations, divided by the incident wave amplitude A0, within the narrow gap for both the fixed-box and floating-box systems. The results are shown for incident waves with kh = 1.038 (Figure 5a) and kh = 1.122 (Figure 5b). In the fixed-box system, the wave shape follows a linear sinusoidal pattern, whereas in the floating-box system, the wave shape becomes nonlinear due to the motion of the boxes. This nonlinearity makes it inappropriate to directly compare the wave height or amplitude inside the gap between the two systems. To better capture the characteristics of the free-surface elevations in the floating-box system, the amplitude spectrum, obtained using the fast Fourier-transform (FFT) method, is utilised to identify the significant frequency components.
Figure 5.
Time histories of normalised free-surface elevations within the narrow gap between two fixed boxes and two floating boxes for the incident wave condition with (a) kh = 1.038 and (b) kh = 1.122.
Figure 6 shows the amplitude spectrum of the normalised free-surface elevation, divided by A0, inside the narrow gap between two fixed boxes and two floating boxes for the incident wave condition with kh = 1.038 (Figure 6a) and kh = 1.122 (Figure 6b). The x-axis is normalised by the incident wave frequency f0. The results indicate that the first two harmonic components are the dominant contributors to the free-surface elevations within the gap. A similar phenomenon was observed by Zhao et al. [25] in irregular wave interactions within narrow gaps. Generally, the amplitude of nonlinear wave components within the gap decreases progressively with higher-order harmonics, with the second-order wave amplitude typically being the most significant nonlinear component. Therefore, the analysis and subsequent discussions will focus primarily on these two harmonic components to understand the dynamics of wave–structure interactions in both fixed and floating systems.
Figure 6.
Amplitude spectra of the normalised free-surface elevation within the narrow gap between two fixed boxes and two floating boxes for the incident wave condition with (a) kh = 1.038 and (b) kh = 1.122.
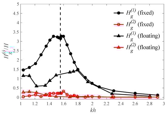
Figure 7 compares the free-surface elevations in the gap between the floating-box system and the fixed-box system for an incident wave height of H = 0.024 m. Here, represents the i-th-order wave height. In this study, these values are obtained from the amplitude spectrum, as illustrated in Figure 6. The peak value at corresponds to the dimensionless first-order wave amplitude, with calculated by multiplying this value by . Similarly, is determined by multiplying the peak value at by , and higher-order wave heights are obtained in the same manner.
Figure 7.
First two harmonic components of the free-surface elevation in the gap for an incident wave height of 0.024 m.
The first-order component of the fixed-box system exhibits a peak in the curve of as a function of kh, with the peak occurring at the dashed line, kh = 1.56, where gap resonance occurs. For kh < 1.56, increases with increasing kh, while for kh > 1.56, decreases with increasing kh. When considering the heave motion of the floating boxes, a similar peak appears in the curve of as a function of kh, but the peak shifts to the right of the dashed line, indicating a change in the natural frequency of the water trapped in the gap due to the heave motion. This shift is caused by changes in the trapped water mass, with a smaller mass inducing a higher natural frequency. Consequently, the frequency of the gap resonance caused by incident waves in the floating-box system shifts to the right. Additionally, the peak value of wave amplification during gap resonance in the floating-box system is significantly lower compared with the fixed-box system. The trend of as a function of kh differs between the two systems. In the floating-box system, for kh < 1.7, initially decreases slightly with increasing kh and then sharply increases as gap resonance occurs, possibly influenced by the heave motion of the floating structures. However, the differences in the trend are not obvious when H = 0.024 m. When H = 0.050 m, the influence of the heave motion of the floating boxes becomes more significant, as shown in Figure 8. In most wave conditions, the influence of the second-order harmonic component is minor. However, in the low-frequency region, where kh < 1.222, the second-order harmonic component reaches approximately half of the first-order component in the floating-box system, likely due to the large motion response. As kh approaches the gap resonance frequency, the second-order harmonic components in the fixed-box systems also increase to relatively high levels.
Figure 8.
First two harmonic components of the free-surface elevation in the gap for an incident wave height of 0.050 m.
Figure 8 compares the free-surface elevations in the gap between floating boxes and fixed boxes for an incident wave height of H = 0.050 m. For the first-order harmonic component, it is clear that the floating-box system exhibits smaller wave height amplifications compared with the fixed-box system, with the differences being more pronounced in the lower-frequency region (kh < 1.7). In the higher-frequency region (kh > 1.7), the heave motion of the boxes becomes less significant, resulting in smaller differences between the two systems. Thus, the heave motion of the structures primarily contributes to the differences in wave amplification, reducing the wave amplification in the gap. The trend of wave amplifications with kh is similar to those observed for H = 0.024 m in Figure 7. in the fixed-box system has a single peak for the largest wave amplification, occurring at the frequency indicated by the dashed line. In the floating-box system, also has a peak around the dashed line, but the peak shifts to the right. Additionally, the curve of in the floating-box system shows a noticeable decrease before the peak of wave amplification. As for the second-order harmonic components, they exhibit the same trend as in Figure 7. The floating-box system shows relatively larger second-order harmonic components in the low-frequency region, while the fixed-box system has relatively large second-order harmonics around the gap resonance frequency.
The proportion of the first-order harmonic component of the free-surface elevation in the gap is plotted in Figure 9. As shown in Figure 6, the first two-order harmonic components majorly contribute to the free-surface elevation, while the higher-order harmonic components are much smaller than the first two (i.e., and ). The third-order harmonic component, , remains below 5% of throughout this study. The total wave height in the gap, Hg, represents the sum of all harmonic components. However, given the minimal contribution of higher-order harmonics, is approximated in Figure 9 as . The proportion of the first-order harmonic component is low in the lower-frequency region (kh < 1.5). In the higher-frequency region, the proportion of the first-order harmonic component consistently exceeds 90%, indicating less obvious nonlinearity in the waves within the gap. Generally, with a constant wave height, the wave steepness increases with the wave frequency, potentially increasing the nonlinearity. However, the nonlinearity of the waves in the gap of the floating-box system shows an opposite trend, with stronger nonlinearity in the lower-frequency region, likely induced by the heave motion of the structures.
Figure 9.
Proportion of the first harmonic component () to the total wave height (Hg) of free-surface elevation within the gap for an incident wave height of 0.050 m.
Figure 10 displays the heave response amplitude operator (heave RAO = heave response amplitude/incident wave amplitude) as a function of kh for both incident wave heights, 0.024 m and 0.050 m. The two sets of waves with different incident heights exhibit a similar trend in the heave RAO with respect to kh. The heave RAO of box B reaches its maximum value at kh = 1.122 and then gradually decreases with increasing kh. For box A, the heave RAO peaks at kh = 1.222. On the left side of the peak, the heave RAO decreases with kh increasing from 1.038 to 1.222 and then rises to the peak, potentially influenced by the large motion of box B. On the right side of the peak, the heave RAO generally decreases. The large heave RAO in the lower frequency region can increase the nonlinearity of the waves in the gap, as shown in Figure 9. The influence of a large heave RAO also contributes to the differences in wave amplification between the fixed-box system and the floating-box system.
Figure 10.
Heave response amplitude operator (RAO) of two floating boxes for incident wave heights of (a) 0.024 m and (b) 0.050 m.
However, an unexpected decrease in the heave RAO from kh = 1.038 to 1.122, followed by an increase from kh = 1.122 to 1.222, is observed. This behaviour, consistent across both incident wave heights, suggests it is a physical phenomenon rather than a computational error. The anomaly is further evident in the vorticity field around the two floating boxes. Figure 11 illustrates the vorticity field around the two floating boxes as a wave crest passes, for kh = 1.122 (Figure 11a) and kh = 1.222 (Figure 11b), with an incident wave height of 0.050 m. At kh = 1.122, the lower heave RAO results in a reduced structural velocity, leading to lower vorticity levels around box A compared with kh = 1.222. In contrast, the higher vorticities observed around box A at kh = 1.222 indicate greater wave dissipation within the gap, contributing to a sharp decrease in the wave amplification as kh increases from 1.122 to 1.222, as shown in Figure 8.

Figure 11.
Vorticity field of water (unit: s−1) around two floating boxes as a wave crest passes for (a) kh = 1.122 and (b) kh = 1.222.
4.2. Horizontal Wave Force
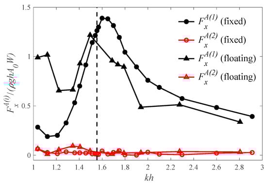
In this section and Section 4.3, we discuss the wave forces on the two boxes for test cases with H = 0.050 m. Figure 12 presents the first two-order harmonic components of the horizontal wave force on box A, normalised by dividing by , where is the density of water, g is the acceleration due to gravity, h is the water depth, is the incident wave amplitude, and W is the width of the boxes. In the fixed-box system, the horizontal wave force on box A initially decreases with increasing kh, then rises sharply to a peak, and subsequently decreases again as kh continues to increase. This extreme horizontal force occurs around the frequency of the gap resonance, indicating that it is induced by this phenomenon. The floating-box system exhibits a similar trend in the horizontal wave force changes for box A, with a peak occurring near the dashed line. However, as shown in Figure 8, the frequency of the gap resonance in the floating-box system corresponds to a larger kh than the dashed line. The extreme horizontal force in the floating-box system occurs at a smaller kh than the gap resonance frequency, suggesting that heave motion may influence the frequency at which the peak wave force occurs. The extreme horizontal force on box A in the floating-box system may be caused by both the heave motion of the floating boxes and the wave amplification due to gap resonance.
Figure 12.
First two harmonic components of the horizontal wave force on box A for an incident wave height of 0.050 m.
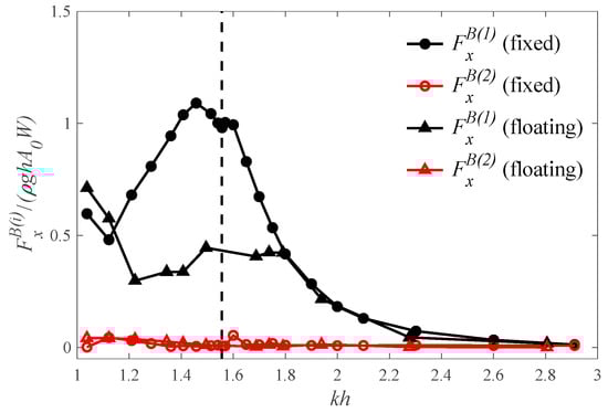
Figure 13 shows the first two-order harmonic components of the horizontal wave force on box B. The horizontal wave force on box B in the fixed-box system follows a similar pattern to that on box A in Figure 12, with the extreme horizontal wave force being induced by gap resonance around the dashed line. However, in the floating-box system, no extreme horizontal force occurs on box B around the dashed line. Instead, the horizontal force on box B decreases for kh < 1.222 and then increases and reaches a peak near the dashed line, although the oscillation of the force is not significant. While gap resonance affects the trend of the horizontal force with the changing kh, it does not result in extreme horizontal forces on box B in the floating-box system.
Figure 13.
First two harmonic components of the horizontal wave force on box B for an incident wave height of 0.050 m.
4.3. Vertical Wave Force
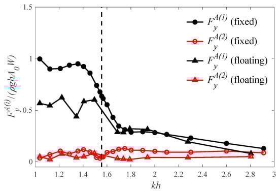
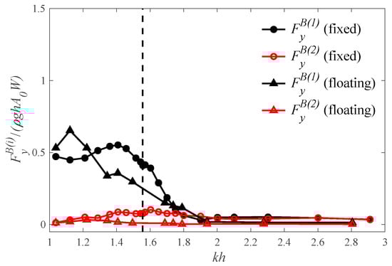
Figure 14 and Figure 15 present the first two harmonic components of the vertical wave force on box A and box B, respectively. In the fixed-box system, the vertical wave forces on both boxes initially decrease and then increase, reaching a second peak in the lower-frequency region of the gap resonance. Similar to the horizontal forces shown in Figure 12 and Figure 13, the gap resonance also induces extreme vertical forces on the two boxes, though the increase in the horizontal forces is more pronounced than that in the vertical forces.
Figure 14.
First two harmonic components of the vertical wave force on box A for an incident wave height of 0.050 m.
Figure 15.
First two harmonic components of the vertical wave force on box B for an incident wave height of 0.050 m.
In the floating-box system, the peak values of the vertical forces on box A and box B occur at kh = 1.222 and 1.122, respectively, corresponding to the largest heave motions of box A and box B observed in Figure 10. For box A, the vertical force decreases after the first peak and then increases to a second peak slightly left of the dashed line, likely influenced by the gap resonance. In contrast, the impact of the gap resonance on the vertical force on box B is minor, with only a slight increase occurring around the dashed line.
5. Conclusions
OpenFOAM has been validated for predicting wave amplification in a narrow gap between two boxes in a two-dimensional domain. Simulations were conducted for both a fixed-box system and a floating-box system. By comparing these results, the influence of the heave motion of floating structures on gap resonance, a topic not previously discussed numerically, was examined. The following conclusions can be drawn from these investigations:
- 1.
- Incident waves with a smaller wave height result in greater wave amplification when gap resonance occurs in the narrow gap. This occurs because smaller wave heights result in lower energy dissipation within the gap, leading to more pronounced resonance effects. As the incident wave height increases, nonlinear effects and dissipation become more dominant, which suppresses the extent of wave amplification. For smaller waves, the free-surface elevation within the gap is able to reach much higher proportions relative to the incoming wave height, amplifying the wave energy trapped between the structures. This observation is crucial for accurately predicting the behaviour of wave–structure interactions, especially in cases involving low-energy waves.
- 2.
- The inclusion of heave motions in the floating-box system shifts the resonance frequency to a higher value (larger kh) and significantly reduces the wave amplification compared with the fixed-box system. The shift in resonance frequency can be attributed to the changes in water mass trapped within the gap, which alters the system’s natural frequency. In the floating-box system, the heave motion of the structures modifies the dynamic response of the system, resulting in less-pronounced resonance effects. The flexibility introduced by heave motions dampens the energy build-up that typically occurs in the fixed-box system, thereby reducing the wave amplification. This finding highlights the importance of considering structural motion when designing marine systems to mitigate potential resonance-induced loads.
- 3.
- Gap resonance can induce extreme wave forces on structures. However, its impact on the wave forces on the rear box in the floating-box system is minimal. The presence of gap resonance amplifies the wave forces acting on the structures, particularly around the resonance frequency, where forces can become extreme. However, in the floating-box system, the rear box experiences significantly smaller wave forces due to the energy dissipation caused by the heave motions and the altered wave patterns between the boxes. The wave forces on the rear box are more controlled, making it less susceptible to extreme load conditions than the front box. This finding is especially relevant in practical engineering applications, where mitigating extreme loads on offshore structures is critical to ensuring their long-term stability and operational safety.
In offshore and coastal structure systems with multiple units, such as side-by-side vessels, wave energy converter arrays, and side-by-side offloading operations between liquefied natural gas (LNG) carriers and floating liquefied natural gas (FLNG) platforms, gap resonance may occur in the gaps between these structures, leading to amplified free-surface elevations and extreme wave loads that can compromise structural stability. Additionally, these structures often exhibit non-negligible responses, such as the heave motion discussed in this study. Heave motion plays a critical role in gap resonance, as it significantly alters the resonance characteristics. Consequently, the motion of floating structures must be considered in both research and engineering designs to ensure stability and optimal performance. Relying on fixed-structure assumptions, as examined in this paper, may overestimate the effects of gap resonance, potentially leading to excessive redundancy in engineering design. Addressing these dynamic responses can result in more efficient and resilient structural solutions.
Author Contributions
H.D., conceptualisation, formal analysis, methodology, software, validation, visualisation, and writing—original draft; J.G., conceptualisation, funding acquisition, methodology, software, validation, and writing—review and editing; J.Z., conceptualisation, funding acquisition, supervision, and writing—review and editing. All authors have read and agreed to the published version of the manuscript.
Funding
This work was financially supported by the Royal Academy of Engineering (grant no. UK-CIAPP/73), the UK EPSRC (grant no. EP/M022382/1; grant no. EP/T026782/1), the National Natural Science Foundation of China (grant no. 52371277), the State Key Laboratory of Hydraulic Engineering Intelligent Construction and Operation (Tianjin University) (grant no. HESS-2323), and the Guangdong Basic and Applied Basic Research Foundation (grant no. 2023A1515010890).
Data Availability Statement
The data presented in this study are available on request from the corresponding author.
Conflicts of Interest
The authors declare no conflicts of interest.
References
- Liang, H.; Liu, X.; Chua, K.H.; de Mello, P.C.; Choo, Y.S. Wave actions on side-by-side barges with sloshing effects: Fixed-free arrangement. Flow 2022, 2, E20. [Google Scholar] [CrossRef]
- Jiang, S.-C.; Bai, W. Coupling analysis for sway motion box with internal liquid sloshing under wave actions. Phys. Fluids 2020, 32, 72106. [Google Scholar] [CrossRef]
- Gao, J.; Hou, L.; Liu, Y.; Shi, H. Influences of bragg reflection on harbor resonance triggered by irregular wave groups. Ocean Eng. 2024, 305, 117941. [Google Scholar] [CrossRef]
- Li, J.Y.; Liu, Z.; Liao, S.J.; Borthwick, A.G. Steady-state harmonic resonance of periodic interfacial waves with free-surface boundary conditions based on the homotopy analysis method. J. Fluid Mech. 2021, 916, A58. [Google Scholar] [CrossRef]
- Li, J.Y.; Liu, Z.; Liao, S.J.; Borthwick, A.G. Steady-state multiple near resonances of periodic interfacial waves with rigid boundary. Phys. Fluids 2020, 32, 87104. [Google Scholar] [CrossRef]
- Miao, G.; Saitoh, T.; Ishida, H. Water wave interaction of twin large scale caissons with a small gap between. Coast. Eng. J. 2001, 43, 39–58. [Google Scholar] [CrossRef]
- Molin, B. On the piston and sloshing modes in moonpools. J. Fluid Mech. 2001, 430, 27–50. [Google Scholar] [CrossRef]
- Saitoh, T.; Miao, G.; Ishida, H. Theoretical analysis on appearance condition of fluid resonance in a narrow gap between two modules of very large floating structure. In Proceedings of the 3rd Asia-Pacific Workshop on Marine Hydrodynamics, Shanghai, China, 27–28 June 2006; pp. 170–175. [Google Scholar]
- Ning, D.; Zhu, Y.; Zhang, C.; Zhao, M. Experimental and numerical study on wave response at the gap between two barges of different draughts. Appl. Ocean Res. 2018, 77, 14–25. [Google Scholar] [CrossRef]
- Tan, L.; Lu, L.; Tang, G.Q.; Cheng, L.; Chen, X.B. A viscous damping model for piston mode resonance. J. Fluid Mech. 2019, 871, 510–533. [Google Scholar] [CrossRef]
- Kristiansen, T.; Faltinsen, O.M. Studies on resonant water motion between a ship and a fixed terminal in shallow water. J. Offshore Mech. Arct. Eng. 2009, 131, 21102. [Google Scholar] [CrossRef]
- Liu, Y.; Li, H.-J.; Lu, L.; Li, A.-J.; Tan, L. A semi-analytical potential solution for wave resonance in gap between floating box and vertical wall. China Ocean Eng. 2020, 34, 747–759. [Google Scholar] [CrossRef]
- Faltinsen, O.M.; Rognebakke, O.F.; Timokha, A.N. Two-dimensional resonant piston-like sloshing in a moonpool. J. Fluid Mech. 2007, 575, 359–397. [Google Scholar] [CrossRef]
- Jiang, S.-C.; Liu, H.; Sun, T.-Z.; Gu, Q. Numerical simulation for hydrodynamic behavior of box-systems with and without narrow gaps. Ocean Eng. 2020, 214, 107698. [Google Scholar] [CrossRef]
- Tan, L.; Tang, G.-Q.; Zhou, Z.-B.; Cheng, L.; Chen, X.; Lu, L. Theoretical and numerical investigations of wave resonance between two floating bodies in close proximity. J. Hydrodyn. Ser. B 2017, 29, 805–816. [Google Scholar] [CrossRef]
- Ning, D.; Su, X.; Zhao, M.; Teng, B. Hydrodynamic difference of rectangular-box systems with and without narrow gaps. J. Eng. Mech. 2015, 141, 4015023. [Google Scholar] [CrossRef]
- Lu, L.; Cheng, L.; Teng, B.; Sun, L. Numerical simulation and comparison of potential flow and viscous fluid models in near trapping of narrow gaps. J. Hydrodyn. Ser. B 2010, 22, 120–125. [Google Scholar] [CrossRef]
- Chen, X.B. Hydrodynamics in Offshore and Naval Applications (Keynote lecture). In Proceedings of the 6th International Conference on Hydrodynamics, Perth, WA, Australia, 24–26 November 2004. [Google Scholar]
- Liang, H.; Chua, K.-H.; Wang, H.-C.; Choo, Y.S. Numerical and experimental investigations into fluid resonance in a gap between two side-by-side vessels. Appl. Ocean Res. 2021, 111, 102581. [Google Scholar] [CrossRef]
- Moradi, N.; Zhou, T.; Cheng, L. Effect of inlet configuration on wave resonance in the narrow gap of two fixed bodies in close proximity. Ocean Eng. 2015, 103, 88–102. [Google Scholar] [CrossRef]
- He, G.; Chen, L.; Zhang, J.; Wang, X. Hydrodynamic resonance of three identical rectangular boxes with narrow gaps by a CIP method. Int. J. Offshore Polar Eng. 2019, 29, 437–445. [Google Scholar] [CrossRef]
- Gao, J.; Chen, H.; Zang, J.; Chen, L.; Wang, G.; Zhu, Y. Numerical investigations of gap resonance excited by focused transient wave groups. Ocean Eng. 2020, 212, 107628. [Google Scholar] [CrossRef]
- Feng, X.; Bai, W. Wave resonances in a narrow gap between two barges using fully nonlinear numerical simulation. Appl. Ocean Res. 2015, 50, 119–129. [Google Scholar] [CrossRef]
- Zhao, W.; Pan, Z.; Lin, F.; Li, B.; Taylor, P.H.; Efthymiou, M. Estimation of gap resonance relevant to side-by-side offloading. Ocean Eng. 2018, 153, 1–9. [Google Scholar] [CrossRef]
- Zhao, W.; Taylor, P.H.; Wolgamot, H.A.; Eatock Taylor, R. Gap resonance from linear to quartic wave excitation and the structure of nonlinear transfer functions. J. Fluid Mech. 2021, 926, A3. [Google Scholar] [CrossRef]
- Yin, Y.; Jiang, S.-C.; Geng, B.-L. Fluid resonance in the narrow gap for a box close to a bottom-mounted wall with permeable bed. Ocean Eng. 2022, 258, 111726. [Google Scholar] [CrossRef]
- Ding, Y.; Walther, J.H.; Shao, Y. Higher-order gap resonance between two identical fixed barges: A study on the effect of water depth. Phys. Fluids 2022, 34, 52113. [Google Scholar] [CrossRef]
- Zou, M.; Chen, M.; Zhu, L.; Li, L.; Zhao, W. A constant parameter time domain model for dynamic modelling of multi-body system with strong hydrodynamic interactions. Ocean Eng. 2023, 268, 113376. [Google Scholar] [CrossRef]
- Gong, S.; Gao, J.; Song, Z.; Shi, H.; Liu, Y. Hydrodynamics of fluid resonance in a narrow gap between two boxes with different breadths. Ocean Eng. 2024, 311, 118986. [Google Scholar] [CrossRef]
- Song, Z.; Mi, C.; Zhou, Z.; Gao, J.; Liu, Y. Two-dimensional viscous study of coupled nonlinear fluid resonances in two narrow gaps. Phys. Fluids 2024, 36, 103112. [Google Scholar] [CrossRef]
- Li, Y. Fully nonlinear analysis of second-order gap resonance between two floating barges. Eng. Anal. Bound. Elem. 2019, 106, 1–19. [Google Scholar] [CrossRef]
- Li, Y.; Zhang, C. Analysis of wave resonance in gap between two heaving barges. Ocean Eng. 2016, 117, 210–220. [Google Scholar] [CrossRef]
- He, G.; Jing, P.; Jin, R.; Zhang, W.; Zhang, J.; Liu, T. Two-dimensional numerical study on fluid resonance in the narrow gap between two rigid-connected heave boxes in waves. Appl. Ocean Res. 2021, 110, 102628. [Google Scholar] [CrossRef]
- Gao, J.-L.; Lyu, J.; Wang, J.-H.; Zhang, J.; Liu, Q.; Zang, J.; Zou, T. Study on Transient Gap Resonance with Consideration of the Motion of Floating Body. China Ocean Eng. 2022, 36, 994–1006. [Google Scholar] [CrossRef]
- Gao, J.; Mi, C.; Song, Z.; Liu, Y. Transient gap resonance between two closely-spaced boxes triggered by nonlinear focused wave groups. Ocean Eng. 2024, 305, 117938. [Google Scholar] [CrossRef]
- Li, S.; Teng, B. Numerical examination of wave-induced coupling roll motion and fluid resonance between twin floating barges in proximity. Procedia Eng. 2015, 126, 242–246. [Google Scholar] [CrossRef]
- Lu, L.; Tan, L.; Zhou, Z.; Zhao, M.; Ikoma, T. Two-dimensional numerical study of gap resonance coupling with motions of floating body moored close to a bottom-mounted wall. Phys. Fluids 2020, 32, 92101. [Google Scholar] [CrossRef]
- Gao, J.; Gong, S.; He, Z.; Shi, H.; Zang, J.; Zou, T.; Bai, X. Study on Wave Loads During Steady-State Gap Resonance with Free Heave Motion of Floating Structure. J. Mar. Sci. Eng. 2023, 11, 448. [Google Scholar] [CrossRef]
- Li, B.; Liang, H.; Chen, X.; Araujo, R. Study of telescopic gangway motions in time domain during offshore operation. Ocean Eng. 2021, 230, 108692. [Google Scholar] [CrossRef]
- Li, B.; Qiao, D.; Zhao, W.; Hu, Z.; Li, S. Operability analysis of SWATH as a service vessel for offshore wind turbine in the southeastern coast of China. Ocean Eng. 2022, 251, 111017. [Google Scholar] [CrossRef]
- Jing, P.; He, G.; Ghassemi, H.; Luan, Z. Transient responses of the linear and nonlinear gap resonances in the fixed and free-heaving moonpools. Phys. Fluids 2023, 35, 87125. [Google Scholar] [CrossRef]
- Jing, P.; Cui, T.; He, G.; Zhang, C.; Luan, Z. Effects of multi motion responses and incident-wave height on the gap resonances in a moonpool. Phys. Fluids 2024, 36, 17117. [Google Scholar] [CrossRef]
- Jing, P.; He, G.; Zhang, C.; He, R.; Zhang, Z. Effects of nonlinearities on the gap resonances between two free-heaving barges. Phys. Fluids 2024, 36, 47125. [Google Scholar] [CrossRef]
- Gao, J.; Zang, J.; Chen, L.; Chen, Q.; Ding, H.; Liu, Y. On hydrodynamic characteristics of gap resonance between two fixed bodies in close proximity. Ocean Eng. 2019, 173, 28–44. [Google Scholar] [CrossRef]
- Jacobsen, N.G.; Fuhrman, D.R.; Fredsøe, J. A wave generation toolbox for the open-source CFD library: OpenFoam®. Int. J. Numer. Methods Fluids 2012, 70, 1073–1088. [Google Scholar] [CrossRef]
- Ding, H.; Chen, Q.; Zang, J. Numerical simulation of wave interactions with floating offshore renewable energy structures: A comparative study between a Particle-based PIC model and OpenFOAM. J. Fluids Struct. 2024, 126, 104092. [Google Scholar] [CrossRef]
Disclaimer/Publisher’s Note: The statements, opinions and data contained in all publications are solely those of the individual author(s) and contributor(s) and not of MDPI and/or the editor(s). MDPI and/or the editor(s) disclaim responsibility for any injury to people or property resulting from any ideas, methods, instructions or products referred to in the content. |
© 2024 by the authors. Licensee MDPI, Basel, Switzerland. This article is an open access article distributed under the terms and conditions of the Creative Commons Attribution (CC BY) license (https://creativecommons.org/licenses/by/4.0/).