Simulation of Heavy Metal Removal in Irrigation Water Using a Shell-Derived Biochar-Integrated Ecological Recycled Concrete
Abstract
1. Introduction
2. Materials and Methods
2.1. Preparation of Experimental Materials
2.1.1. Preparation of Shell-Derived Biochar
2.1.2. Production of Eco-Recycled Concrete with Shell-Derived Biochar
2.1.3. Water Permeability and Porosity Characterization of the Eco-Recycled Concrete
2.2. Simulation of Wastewater Filtration Process with the Concrete
2.2.1. Simulated Wastewater Preparation
2.2.2. Filtration Experiments Using ERCs for SWW
2.3. Statistical Analysis
3. Results and Discussion
3.1. Characterization of Shell-Derived Biochar
3.2. Characterization of ERCs
3.2.1. Permeability Coefficients
3.2.2. Continuous Porosity
3.2.3. Strength of the Concrete
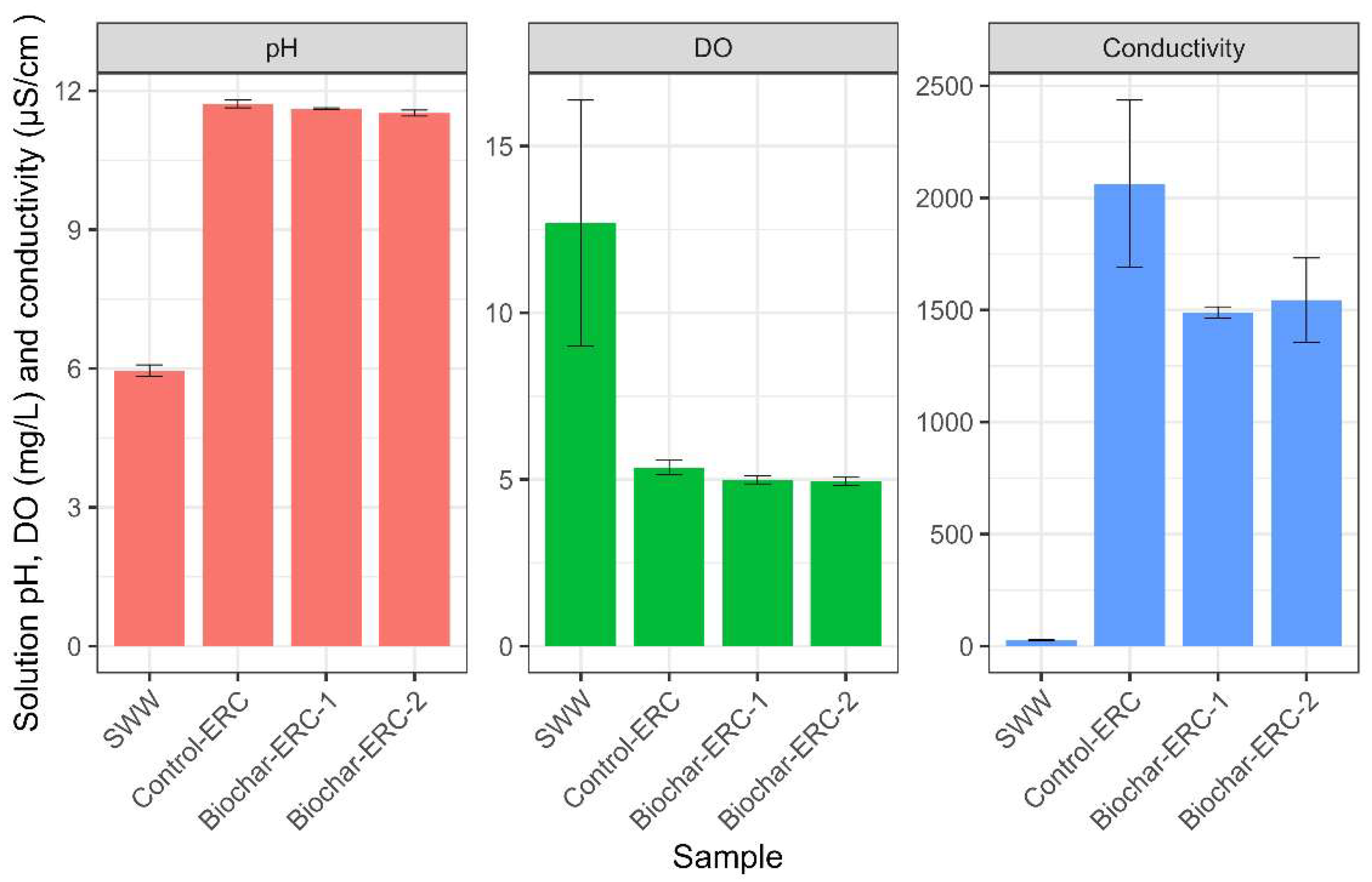
3.3. Adsorption Performance of HM Ions from SWW with the ERCs
3.4. Limitations of the Preliminary Study
4. Conclusions
Author Contributions
Funding
Data Availability Statement
Acknowledgments
Conflicts of Interest
References
- Solecki, W.; Friedman, E. At the Water’s Edge: Coastal Settlement, Transformative Adaptation, and Well-Being in an Era of Dynamic Climate Risk. Annu. Rev. Public Health 2021, 42, 211–232. [Google Scholar] [CrossRef] [PubMed]
- Li, Y.; Zhou, Q.; Ren, B.; Luo, J.; Yuan, J.; Ding, X.; Bian, H.; Yao, X. Trends and Health Risks of Dissolved Heavy Metal Pollution in Global River and Lake Water from 1970 to 2017. In Reviews of Environmental Contamination and Toxicology; Springer: Berlin/Heidelberg, Germany, 2019; Volume 251, pp. 1–24. [Google Scholar] [CrossRef]
- Chen, S.; Zhou, J.; Liu, J.; Bie, Y.; Hu, Q. Sustainable ecological pervious concrete (SEPC) based on modified corn-cob coarse aggregate: Crushing morphology, strength, pore properties, and durability. Constr. Build. Mater. 2024, 426, 136194. [Google Scholar] [CrossRef]
- Shi, Q.; Xiong, Y.; Kaur, P.; Sy, N.D.; Gan, J. Contaminants of emerging concerns in recycled water: Fate and risks in agroecosystems. Sci. Total. Environ. 2022, 814, 152527. [Google Scholar] [CrossRef] [PubMed]
- Sodhi, K.K.; Mishra, L.C.; Singh, C.K.; Kumar, M. Perspective on the heavy metal pollution and recent remediation strategies. Curr. Res. Microb. Sci. 2022, 3, 100166. [Google Scholar] [CrossRef]
- Yang, D.; Yang, Y.; Xia, J. Hydrological cycle and water resources in a changing world: A review. Geogr. Sustain. 2021, 2, 115–122. [Google Scholar] [CrossRef]
- Li, S.; Li, S.; Wen, N.; Wei, D.; Zhang, Y. Highly effective removal of lead and cadmium ions from wastewater by bifunctional magnetic mesoporous silica. Sep. Purif. Technol. 2021, 265, 118341. [Google Scholar] [CrossRef]
- Zhang, Y.; Chen, J.; Ji, H.; Xiao, Z.-G.; Shen, P.; Xu, L.-H. Protective effects of Danshen injection against erectile dysfunction via suppression of endoplasmic reticulum stress activation in a streptozotocin-induced diabetic rat model. BMC Complement. Altern. Med. 2018, 18, 1–12. [Google Scholar] [CrossRef]
- Wang, L.; Deng, J.; Yang, X.; Hou, R.; Hou, D. Role of biochar toward carbon neutrality. Carbon Res. 2023, 2, 2. [Google Scholar] [CrossRef]
- Tang, B.; Xu, H.; Song, F.; Ge, H.; Chen, L.; Yue, S.; Yang, W. Effect of biochar on immobilization remediation of Cd-contaminated soil and environmental quality. Environ. Res. 2022, 204, 111840. [Google Scholar] [CrossRef]
- Liu, Z.; Xu, Z.; Xu, L.; Buyong, F.; Chay, T.C.; Li, Z.; Cai, Y.; Hu, B.; Zhu, Y.; Wang, X. Modified biochar: Synthesis and mechanism for removal of environmental heavy metals. Carbon Res. 2022, 1, 8. [Google Scholar] [CrossRef]
- Zhang, W.; Qiu, X.; Wang, C.; Zhong, L.; Fu, F.; Zhu, J.; Zhang, Z.; Qin, Y.; Yang, D.; Xu, C.C. Lignin derived carbon materials: Current status and future trends. Carbon Res. 2022, 1, 14. [Google Scholar] [CrossRef]
- Kumar, S.S.; Murugesan, R.; Sivaraja, M.; Athijayamani, A. Innovative Eco-Friendly Concrete Utilizing Coconut Shell Fibers and Coir Pith Ash for Sustainable Development. Sustainability 2024, 16, 5316. [Google Scholar] [CrossRef]
- Mahedi, M.; Dayioglu, A.Y.; Cetin, B.; Jones, S. Remediation of acid mine drainage with recycled concrete aggregates and fly ash. Environ. Geotech. 2020, 11, 15–28. [Google Scholar] [CrossRef]
- Senadheera, S.S.; Gupta, S.; Kua, H.W.; Hou, D.; Kim, S.; Tsang, D.C.; Ok, Y.S. Application of biochar in concrete—A review. Cem. Concr. Compos. 2023, 143, 105204. [Google Scholar] [CrossRef]
- Liu, J.; Su, J.; Zhao, Z.; Feng, W.; Song, S. Treatment of Wastewater Effluent with Heavy Metal Pollution Using a Nano Ecological Recycled Concrete. Water 2022, 14, 2334. [Google Scholar] [CrossRef]
- Winters, D.; Boakye, K.; Simske, S. Toward Carbon-Neutral Concrete through Biochar–Cement–Calcium Carbonate Composites: A Critical Review. Sustainability 2022, 14, 4633. [Google Scholar] [CrossRef]
- Revathi, S.; Tania, D.A.E.; Shadin, S.A.; Keerthana, J. Effect of zeolite and bamboo biochar as CO2 absorbant in concrete. Carbon Res. 2024, 3, 1–15. [Google Scholar] [CrossRef]
- Chen, L.; Zhu, X.; Zheng, Y.; Wang, L.; Poon, C.S.; Tsang, D.C. Development of high-strength lightweight concrete by utilizing food waste digestate based biochar aggregate. Constr. Build. Mater. 2023, 411, 134142. [Google Scholar] [CrossRef]
- Zhang, J.; Guan, K.; Peng, B.; Pan, M.; Zhou, W.; Jiang, C.; Kimm, H.; Franz, T.E.; Grant, R.F.; Yang, Y.; et al. Sustainable irrigation based on co-regulation of soil water supply and atmospheric evaporative demand. Nat. Commun. 2021, 12, 5549. [Google Scholar] [CrossRef]
- Singhal, S. Biochar as a cost-effective and eco-friendly substitute for binder in concrete: A review. Eur. J. Environ. Civ. Eng. 2023, 27, 984–1009. [Google Scholar] [CrossRef]
- Sinyoung, S.; Jeeraro, A.; Udomkun, P.; Kunchariyakun, K.; Kaewlom, P. Transformative innovations in nano-biochar-enhanced porous concrete: Elevating engineering performance and pollutant removal. Dev. Built Environ. 2024, 18, 100469. [Google Scholar] [CrossRef]
- Xu, W.; Zhang, Y.; Li, M.; Qu, F.; Poon, C.S.; Zhu, X.; Tsang, D.C. Durability and micromechanical properties of biochar in biochar-cement composites under marine environment. J. Clean. Prod. 2024, 450, 141842. [Google Scholar] [CrossRef]
- Acarturk, B.C.; Jungclaus, M.A.; Torres, M.; Lash, B.; Srubar, W.V., III. Effect of algal biomass on the properties of calcium sulfoaluminate cement. ACS Sustain. Chem. Eng. 2024, 12, 8690–8701. [Google Scholar] [CrossRef]
- Pahlavan, F.; Kaur, H.; Ackerman-Biegasiewicz, L.K.; Lamanna, A.; Fini, E.H. Application of algal biochar to prevent leachate of heavy metals from mine tailings. Resour. Conserv. Recycl. 2024, 210, 107810. [Google Scholar] [CrossRef]
- Zhang, Y.; Xu, H.; Fang, S.; Li, D.; Xue, W.; Chen, B.; Zhao, L. Biochar as additive for improved building performances and heavy metals solidification of sediment-based lightweight concrete. Environ. Sci. Pollut. Res. 2022, 30, 4137–4150. [Google Scholar] [CrossRef]
- Chen, S.; Wang, Y.; Dai, W.; Yang, H.; Wang, D.; Lv, Y. Recycled aggregate porous concrete: Pore structure, clogging properties and models. Constr. Build. Mater. 2024, 417, 135344. [Google Scholar] [CrossRef]
- GB8978-1996; Integrated Wastewater Discharge Standard. Ministry of Ecology and Environment of the People’s Republic of China: Beijing, China, 1996. Available online: https://www.mee.gov.cn/ywgz/fgbz/bz/bzwb/shjbh/swrwpfbz/199801/W020061027521858212955.pdf (accessed on 15 December 2024).
- Tan, K.; Qin, Y.; Du, T.; Li, L.; Zhang, L.; Wang, J. Biochar from waste biomass as hygroscopic filler for pervious concrete to improve evaporative cooling performance. Constr. Build. Mater. 2021, 287, 123078. [Google Scholar] [CrossRef]
- GB 5084-2021; Standard for Irrigation Water Quality. Ministry of Ecology and Environment of the People’s Republic of China: Beijing, China, 2021. Available online: https://www.mee.gov.cn/ywgz/fgbz/bz/bzwb/shjbh/shjzlbz/202102/W020230908393378970360.pdf (accessed on 15 December 2024).
- Ukhurebor, K.E.; Aigbe, U.O.; Onyancha, R.B.; Nwankwo, W.; Osibote, O.A.; Paumo, H.K.; Ama, O.M.; Adetunji, C.O.; Siloko, I.U. Effect of hexavalent chromium on the environment and removal techniques: A review. J. Environ. Manag. 2021, 280, 111809. [Google Scholar] [CrossRef]
- GracePavithra, K.; Jaikumar, V.; Kumar, P.S.; SundarRajan, P. A review on cleaner strategies for chromium industrial wastewater: Present research and future perspective. J. Clean. Prod. 2019, 228, 580–593. [Google Scholar] [CrossRef]
- Peng, H.; Guo, J. Removal of chromium from wastewater by membrane filtration, chemical precipitation, ion exchange, adsorption electrocoagulation, electrochemical reduction, electrodialysis, electrodeionization, photocatalysis and nanotechnology: A review. Environ. Chem. Lett. 2020, 18, 2055–2068. [Google Scholar] [CrossRef]
- Wang, Z.; Luo, P.; Zha, X.; Xu, C.; Kang, S.; Zhou, M.; Nover, D.; Wang, Y. Overview assessment of risk evaluation and treatment technologies for heavy metal pollution of water and soil. J. Clean. Prod. 2022, 379, 134043. [Google Scholar] [CrossRef]
- Han, T.-F.; Liu, K.-L.; Huang, J.; Ma, C.-B.; Zheng, L.; Wang, H.-Y.; Qu, X.-L.; Ren, Y.; Yu, Z.-K.; Zhang, H.-M. Spatio-temporal evolution of soil pH and its driving factors in the main Chinese farmland during past 30 years. J. Plant Nutr. Fertil. 2020, 26, 2137–2149. [Google Scholar]









| Concrete Blocks | Mass (g) | Dimension (cm) | Density (g/cm3) | Permeability Coefficients (mm/s) | Continuous Porosity (%) | Strength (MPa) |
|---|---|---|---|---|---|---|
| Control-ERC | 1676.67 ± 20.82 | 10 × 10 × 10 | 1.68 | 19.42 ± 0.14 | 33.83 ± 1.76 | 5.64 |
| Biochar-ERC-1 | 1590 ± 26.46 | 1.59 | 23.08 ± 0.76 | 37.83 ± 0.58 | 6.53 | |
| Biochar-ERC-2 | 1606.67 ± 20.82 | 1.61 | 26.34 ± 0.80 | 37.17 ± 1.26 | 5.10 |
| Samples | As (µg/L) | Cd (µg/L) | Cr (µg/L) | Mn (µg/L) | Cu (µg/L) | Pb (µg/L) |
|---|---|---|---|---|---|---|
| Simulated wastewater before filtration | 355.01 ± 0.84 | 79.51 ± 0.67 | 3262.70 ± 20.78 | 2353.99 ± 3.41 | 549.11 ± 10.67 | 551.74 ± 41.15 |
| Filtrates through Control-ERC | 151.45 ± 17.86 | 64.23 ± 2.12 | 2320.91 ± 178.84 | 1649.52 ± 66.54 | 360.42 ± 9.09 | 467.72 ± 41.63 |
| Filtrates through Biochar-ERC -1 | 32.893 ± 7.84 | 4.10 ± 0.81 | 2777.24 ± 123.983 | 157.62 ± 21.33 | 163.57 ± 7.55 | 156.85 ± 11.73 |
| Filtrates through Biochar-ERC -2 | 24.935 ± 5.74 | 3.72 ± 0.05 | 2760.43 ± 95.54 | 132.41 ± 3.83 | 164.53 ± 1.21 | 200.89 ± 45.85 |
| GB 5084-2021 [30] | 50–100 a | 10 | 100 | none | 500–1000 a | 200 |
Disclaimer/Publisher’s Note: The statements, opinions and data contained in all publications are solely those of the individual author(s) and contributor(s) and not of MDPI and/or the editor(s). MDPI and/or the editor(s) disclaim responsibility for any injury to people or property resulting from any ideas, methods, instructions or products referred to in the content. |
© 2024 by the authors. Licensee MDPI, Basel, Switzerland. This article is an open access article distributed under the terms and conditions of the Creative Commons Attribution (CC BY) license (https://creativecommons.org/licenses/by/4.0/).
Share and Cite
Ren, Y.; Lai, X.; Wang, J.; Li, R.; Li, S.; Yan, X.; Liu, J.; Song, S. Simulation of Heavy Metal Removal in Irrigation Water Using a Shell-Derived Biochar-Integrated Ecological Recycled Concrete. Water 2024, 16, 3646. https://doi.org/10.3390/w16243646
Ren Y, Lai X, Wang J, Li R, Li S, Yan X, Liu J, Song S. Simulation of Heavy Metal Removal in Irrigation Water Using a Shell-Derived Biochar-Integrated Ecological Recycled Concrete. Water. 2024; 16(24):3646. https://doi.org/10.3390/w16243646
Chicago/Turabian StyleRen, Yongxiao, Xiaoxiao Lai, Jiawei Wang, Ronggui Li, Shenshen Li, Xingyu Yan, Jing Liu, and Shuai Song. 2024. "Simulation of Heavy Metal Removal in Irrigation Water Using a Shell-Derived Biochar-Integrated Ecological Recycled Concrete" Water 16, no. 24: 3646. https://doi.org/10.3390/w16243646
APA StyleRen, Y., Lai, X., Wang, J., Li, R., Li, S., Yan, X., Liu, J., & Song, S. (2024). Simulation of Heavy Metal Removal in Irrigation Water Using a Shell-Derived Biochar-Integrated Ecological Recycled Concrete. Water, 16(24), 3646. https://doi.org/10.3390/w16243646

