Performance Assessment of Rural Decentralized Domestic Wastewater Treatment Facilities in Foshan, China
Abstract
1. Introduction
2. Materials and Methods
2.1. Site Description and Sampling
2.2. Monitoring Methods
2.3. Parameters Calculation
2.4. Analysis Methods
2.4.1. Linear Regression Analysis
2.4.2. Correlation Analysis
3. Results and Discussion
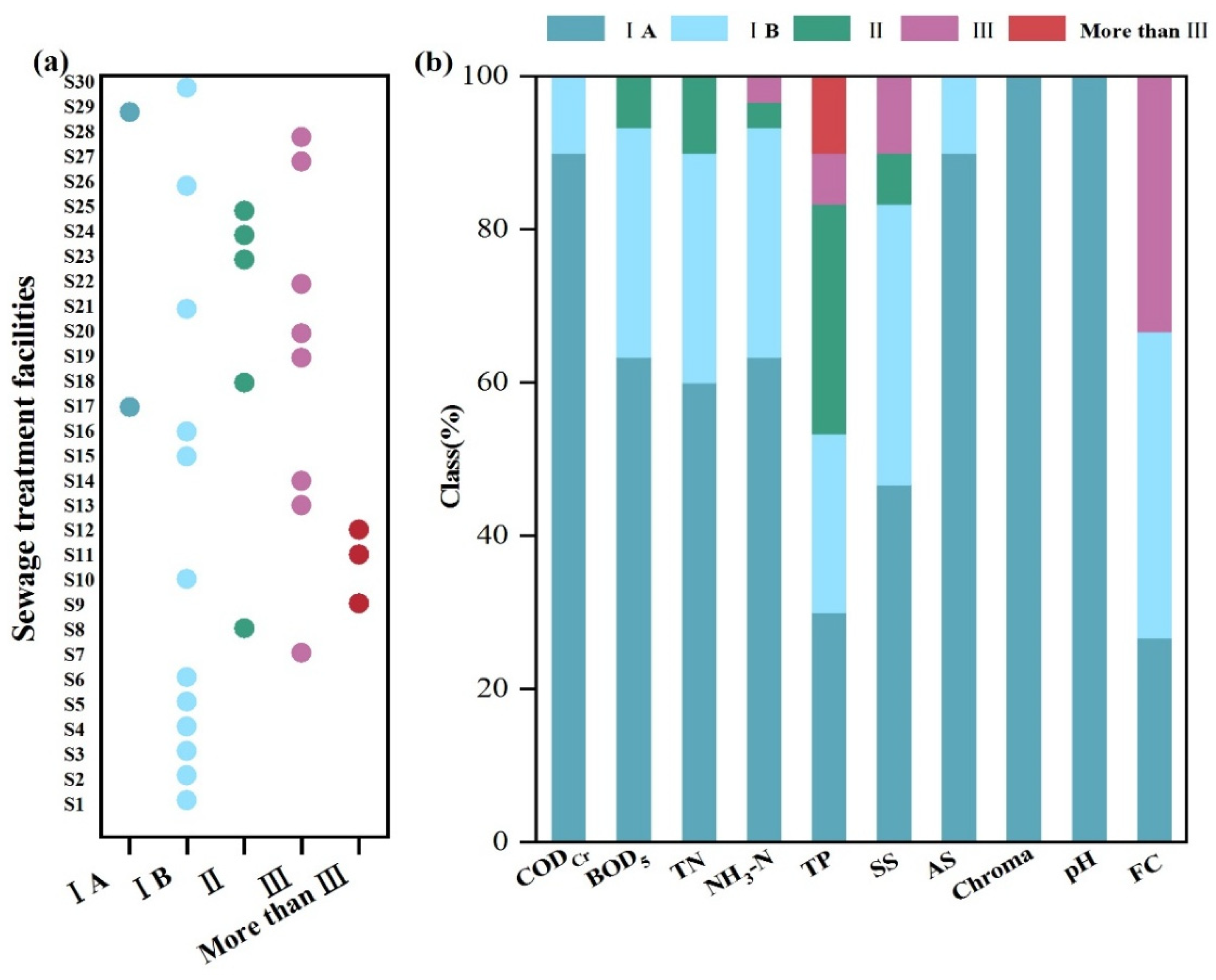
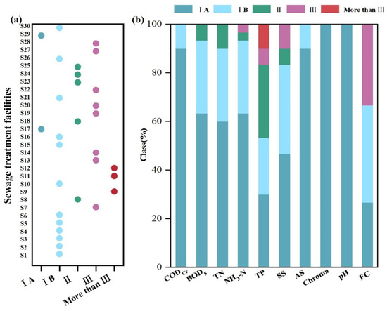
3.1. Standard-Achieving Ratio of Effluent
3.2. Removal Efficiency of Contaminants
3.3. AO and AAO Treatment Performance
3.4. Equipment Failure Rates of Wastewater Treatment Facilities
4. Conclusions
Supplementary Materials
Author Contributions
Funding
Data Availability Statement
Conflicts of Interest
References
- Yu, Q.; Liu, R.; Chen, J.; Chen, L. Electrical conductivity in rural domestic sewage: An indication for comprehensive concentrations of influent pollutants and the effectiveness of treatment facilities. Int. Biodeterior. Biodegrad. 2019, 143, 104719. [Google Scholar] [CrossRef]
- Shi, Z.; She, Z.; Chiu, Y.-H.; Qin, S.; Zhang, L. Assessment and improvement analysis of economic production, water pollution, and sewage treatment efficiency in China. Socio-Econ. Plan. Sci. 2021, 74, 100956. [Google Scholar] [CrossRef]
- Liu, Z. Urban sewage treatment odor gas release characteristics and regional differences. Environ. Technol. Innov. 2021, 21, 101190. [Google Scholar] [CrossRef]
- Ministry of Ecology and Environment of the People’s Republic of China. Bulletin on China’s Ecological Environment; Ministry of Ecology and Environment of the People’s Republic of China: Beijing, China, 2020. [Google Scholar]
- Ministry of Housing and Urban-Rural Development of the People’s Republic of China. Urban-Rural Construction Statistical Yearbook; Ministry of Housing and Urban-Rural Development of the People’s Republic of China: Beijing, China, 2020. [Google Scholar]
- Qu, J.; Dai, X.; Hu, H.-Y.; Huang, X.; Chen, Z.; Li, T.; Cao, Y.; Daigger, G.T. Emerging Trends and Prospects for Municipal Wastewater Management in China. ACS EST Eng. 2022, 2, 323–336. [Google Scholar] [CrossRef]
- Yang, F.; Zhang, H.; Zhang, X.; Zhang, Y.; Li, J.; Jin, F.; Zhou, B. Performance analysis and evaluation of the 146 rural decentralized wastewater treatment facilities surrounding the Erhai Lake. J. Clean. Prod. 2021, 315, 128159. [Google Scholar] [CrossRef]
- Geetha Varma, V.; Jha, S.; Himesh Karthik Raju, L.; Lalith Kishore, R.; Ranjith, V. A review on decentralized wastewater treatment systems in India. Chemosphere 2022, 300, 134462. [Google Scholar] [CrossRef] [PubMed]
- Hube, S.; Wu, B. Mitigation of emerging pollutants and pathogens in decentralized wastewater treatment processes: A review. Sci. Total Environ. 2021, 779, 146545. [Google Scholar] [CrossRef] [PubMed]
- Massoud, M.A.; Tarhini, A.; Nasr, J.A. Decentralized approaches to wastewater treatment and management: Applicability in developing countries. J. Environ. Manag. 2009, 90, 652–659. [Google Scholar] [CrossRef] [PubMed]
- Ren, G.; Zhou, M.; Zhang, Q.; Xu, X.; Li, Y.; Su, P. A novel stacked flow-through electro-Fenton reactor as decentralized system for the simultaneous removal of pollutants (COD, NH3-N and TP) and disinfection from domestic sewage containing chloride ions. Chem. Eng. J. 2020, 387, 124037. [Google Scholar] [CrossRef]
- Singh, A.; Sawant, M.; Kamble, S.J.; Herlekar, M.; Starkl, M.; Aymerich, E.; Kazmi, A. Performance evaluation of a decentralized wastewater treatment system in India. Environ. Sci. Pollut. Res. 2019, 26, 21172–21188. [Google Scholar] [CrossRef] [PubMed]
- Sheng, X.; Qiu, S.; Xu, F.; Shi, J.; Song, X.; Yu, Q.; Liu, R.; Chen, L. Management of rural domestic wastewater in a city of Yangtze delta region: Performance and remaining challenges. Bioresour. Technol. Rep. 2020, 11, 100507. [Google Scholar] [CrossRef]
- Han, Y.; Ma, J.; Xiao, B.; Huo, X.; Guo, X. New Integrated Self-Refluxing Rotating Biological Contactor for rural sewage treatment. J. Clean. Prod. 2019, 217, 324–334. [Google Scholar] [CrossRef]
- Song, X.; Liu, R.; Yu, Q.; Sheng, X.; Chen, L. Management mode construction for operation and supervision of rural sewage treatment facilities: Towards the information-to-intelligence strategy. Bioresour. Technol. Rep. 2020, 11, 100481. [Google Scholar] [CrossRef]
- Oliveira, G.A.; Colares, G.S.; Lutterbeck, C.A.; Dell’Osbel, N.; Machado, Ê.L.; Rodrigues, L.R. Floating treatment wetlands in domestic wastewater treatment as a decentralized sanitation alternative. Sci. Total Environ. 2021, 773, 145609. [Google Scholar] [CrossRef] [PubMed]
- Capodaglio, A.; Callegari, A.; Cecconet, D.; Molognoni, D. Sustainability of decentralized wastewater treatment technologies. Water Pract. Technol. 2017, 12, 463–477. [Google Scholar] [CrossRef]
- Dong, H.-Y.; Qiang, Z.-M.; Wang, W.-D.; Jin, H. Evaluation of rural wastewater treatment processes in a county of eastern China. J. Environ. Monit. 2012, 14, 1906–1913. [Google Scholar] [CrossRef] [PubMed]
- Luo, T.; Qi, L.; Yang, Y.Q.; Wang, H.C. Research on technical problems and countermeasures of rural sewage treatment in China. Construct. Sci. Technol. 2017, 1, 45–47. (In Chinese) [Google Scholar] [CrossRef]
- Zhang, X.; Ma, G.; Chen, T.; Yan, C.; Chen, Y.; Wang, Q.; Peng, X.; Xu, W.; Hao, T.; Zhang, T.; et al. Towards carbon-neutral biotechnologies for rural wastewater: A review of current treatment processes and future perspectives. J. Water Process Eng. 2024, 58, 104773. [Google Scholar] [CrossRef]
- Wang, C.; Feng, B.; Wang, P.; Guo, W.; Li, X.; Gao, H.; Zhang, B.; Chen, J. Revealing factors influencing spatial variation in the quantity and quality of rural domestic sewage discharge across China. Process Saf. Environ. Prot. 2022, 162, 200–210. [Google Scholar] [CrossRef]
- Zhang, H.; Li, H.; Gao, D.; Yu, H. Source identification of surface water pollution using multivariate statistics combined with physicochemical and socioeconomic parameters. Sci. Total Environ. 2022, 806, 151274. [Google Scholar] [CrossRef] [PubMed]
- Xie, Y.D.; Zhang, Q.H.; Dzakpasu, M.; Zheng, Y.C.; Tian, Y.; Jin, P.K.; Yang, S.J.; Wang, X.C. Towards the formulation of rural sewage discharge standards in China. Sci. Total Environ. 2021, 759, 143533. [Google Scholar] [CrossRef] [PubMed]
- HJ 828-2017; Water Quality-Determination of the Chemical Oxygen Demand-Dichromate. Ministry of Environmental Protection of China: Beijing, China, 2017. Available online: https://www.mee.gov.cn/ywgz/fgbz/bz/bzwb/jcffbz/201704/t20170410_409547.shtml (accessed on 26 June 2024). (In Chinese)
- HJ 505-2009; Water Quality-Determination of Biochemical Oxygen Demand after 5 Days (BOD5)-Dichromate for Dilution and Seed Method. Ministry of Environmental Protection of China: Beijing, China, 2009. Available online: https://www.mee.gov.cn/ywgz/fgbz/bz/bzwb/jcffbz/200911/t20091106_181277.shtml (accessed on 26 June 2024). (In Chinese)
- HJ 636-2012; Water Quality-Determination of Total Nitrogen-Alkaline Potassium Persulfate Digestion UV Spectrophotometric Method. Ministry of Environmental Protection of China: Beijing, China, 2012. Available online: https://www.mee.gov.cn/ywgz/fgbz/bz/bzwb/jcffbz/201203/t20120307_224383.shtml (accessed on 26 June 2024). (In Chinese)
- HJ 535-2009; Water Quality-Determination of Ammonia Nitrogen-Nessler’s Reagent Spectrophotometry. Ministry of Environmental Protection of China: Beijing, China, 2009. Available online: https://www.mee.gov.cn/ywgz/fgbz/bz/bzwb/jcffbz/201001/t20100112_184155.shtml (accessed on 26 June 2024). (In Chinese)
- GB/T 11893-1989; Water Quality-Determination of the Total Phosphrous-Ammonium Molybdate Spectrophotometric Method. Ministry of Environmental Protection of China: Beijing, China, 1989. (In Chinese)
- GB/T 11901-1989; Water Quality-Determination of Suspended Solids-Weight Method. Ministry of Environmental Protection of China: Beijing, China, 1989. (In Chinese)
- GB/T 11903-1989; Water Quality-Determination of Chroma. Ministry of Environmental Protection of China: Beijing, China, 1989. (In Chinese)
- HJ 1147-2020; Water Quality-Determination of pH-Electrode Method. Ministry of Environmental Protection of China: Beijing, China, 2020. (In Chinese)
- GB/T 7494-1987; Water Quality-Determination of Anionic Surfactant-Methylene Blue Spectrophotometry. Ministry of Environmental Protection of China: Beijing, China, 1987. (In Chinese)
- HJ 755-2015; Water Quality-Determination of Total Coliform and Fecal Coliform-Fast Paper Method. Ministry of Environmental Protection of China: Beijing, China, 2015. (In Chinese)
- Bărbulescu, A.; Barbeş, L. Statistical methods for assessing water quality after treatment on a sequencing batch reactor. Sci. Total Environ. 2021, 752, 141991. [Google Scholar] [CrossRef]
- Bascaran, M. Establishment of a methodology for the determination of water quality. Bol. Inf. Medio Ambiente 1979, 9, 30–51. [Google Scholar]
- Sutadian, A.D.; Muttil, N.; Yilmaz, A.G.; Perera, B.J.C. Development of river water quality indices—A review. Environ. Monit. Assess. 2015, 188, 58. [Google Scholar] [CrossRef] [PubMed]
- Pesce, S.F.; Wunderlin, D.A. Use of water quality indices to verify the impact of Córdoba City (Argentina) on Suquía River. Water Res. 2000, 34, 2915–2926. [Google Scholar] [CrossRef]
- Oliveira, J.F.d.; Fia, R.; Fia, F.R.L.; Rodrigues, F.N.; Matos, M.P.d.; Siniscalchi, L.A.B. Principal component analysis as a criterion for monitoring variable organic load of swine wastewater in integrated biological reactors UASB, SABF and HSSF-CW. J. Environ. Manag. 2020, 262, 110386. [Google Scholar] [CrossRef] [PubMed]
- Tang, Z.; Liu, M.; Yi, L.; Guo, H.; Ouyang, T.; Yin, H.; Li, M. Source Apportionment and Health Risk Assessment of Heavy Metals in Eastern Guangdong Municipal Solid Waste. Appl. Sci. 2019, 9, 4755. [Google Scholar] [CrossRef]
- Guo, X.; Liu, Z.; Chen, M.; Liu, J.; Yang, M. Decentralized wastewater treatment technologies and management in Chinese villages. Front. Environ. Sci. Eng. 2014, 8, 929–936. [Google Scholar] [CrossRef]
- Kim, S.; Park, C. Potential of ceramic ultrafiltration membranes for the treatment of anionic surfactants in laundry wastewater for greywater reuse. J. Water Process Eng. 2021, 44, 102373. [Google Scholar] [CrossRef]
- Fengle, Y.; Xianzhi, Z.; Jinhua, L.; Hongfeng, Z.; Fangming, J.; Zhou, B. Analysis and evaluation of the treatment and reuse of tailwater: A case study in Erhai Lake. J. Clean. Prod. 2021, 327, 129435. [Google Scholar] [CrossRef]
- Bernal, D.; Restrepo, I.; Grueso-Casquete, S. Key criteria for considering decentralization in municipal wastewater management. Heliyon 2021, 7, e06375. [Google Scholar] [CrossRef] [PubMed]
- GB 5084-2021; Standards for Irrigation Water Quality. Ministry of Environmental Protection of China: Beijing, China, 2015. (In Chinese)
- Sheng, X.; Liu, R.; Chen, L.; Yin, Z.; Zhu, J. Enrichment and application of nitrifying activated sludge in membrane bioreactors. Water Sci. Technol. 2017, 76, 2888–2894. [Google Scholar] [CrossRef] [PubMed]
- Li, Z.; Hu, K.; Zhang, X.; Gong, L.; Jiang, Z.; Xing, Y.; Ding, J.; Tian, J.; Huang, J. Distributed treatment of rural environmental wastewater by artificial ecological geographic information system. J. King Saud Univ. Sci. 2022, 34, 101806. [Google Scholar] [CrossRef]
- Kolpakova, V.; Yeremeyeva, Y.; Anapyanova, S.; Shevtsov, M.; Utepbergenova, L.; Abdukalikova, G.; Abduova, A.; Sarypbekova, N.; Shakhmov, Z. Design and construction of wastewater treatment facilities for small sewerage facilities. Case Stud. Chem. Environ. Eng. 2024, 9, 100774. [Google Scholar] [CrossRef]
- Starkl, M.; Anthony, J.; Aymerich, E.; Brunner, N.; Chubilleau, C.; Das, S.; Ghangrekar, M.M.; Kazmi, A.A.; Philip, L.; Singh, A. Interpreting best available technologies more flexibly: A policy perspective for municipal wastewater management in India and other developing countries. Environ. Impact Assess. Rev. 2018, 71, 132–141. [Google Scholar] [CrossRef]
- Li, P.; Li, L.; Wang, Y.; Zheng, T.; Liu, J. Characterization, factors, and UV reduction of airborne bacteria in a rural wastewater treatment station. Sci. Total Environ. 2021, 751, 141811. [Google Scholar] [CrossRef] [PubMed]







| Wastewater Quality Indicator | Monitoring Methods | Reference |
|---|---|---|
| CODCr | water quality determination of the chemical oxygen demand: dichromate | [24] |
| BOD5 | water quality determination of biochemical oxygen demand after 5 days (BOD5): dichromate for dilution and seed method | [25] |
| TN | water quality determination of total nitrogen: alkaline potassium persulfate digestion UV spectrophotometric method | [26] |
| NH3-N | water quality determination of ammonia nitrogen: Nessler’s reagent spectrophotometry | [27] |
| TP | water quality determination of the total phosphorus: ammonium molybdate spectrophotometric method | [28] |
| SS | water quality determination of suspended solids: weight method | [29] |
| Chroma | water quality determination of chroma | [30] |
| pH | water quality determination of pH: electrode method | [31]; |
| AS | water quality determination of anionic surfactant: methylene blue spectrophotometry | [32] |
| FC | water quality determination of total coliform and fecal coliform: fast paper method | [33] |
| Contaminants | Slope | Intercept | Determination Coefficient (R2) |
|---|---|---|---|
| CODCr | 0.1083 | 14.7463 | 0.2497 |
| BOD5 | 0.1073 | 5.6862 | 0.2340 |
| TN | 0.1867 | 5.6705 | 0.4551 |
| NH3-N | 0.1655 | −0.4184 | 0.3820 |
| TP | 0.1295 | 1.0818 | 0.8575 |
| SS | 0.1423 | 6.1583 | 0.2173 |
| AS | 0.2164 | −0.0644 | 0.2089 |
| FC | 0.0026 | 11,675.1973 | 0.0251 |
Disclaimer/Publisher’s Note: The statements, opinions and data contained in all publications are solely those of the individual author(s) and contributor(s) and not of MDPI and/or the editor(s). MDPI and/or the editor(s) disclaim responsibility for any injury to people or property resulting from any ideas, methods, instructions or products referred to in the content. |
© 2024 by the authors. Licensee MDPI, Basel, Switzerland. This article is an open access article distributed under the terms and conditions of the Creative Commons Attribution (CC BY) license (https://creativecommons.org/licenses/by/4.0/).
Share and Cite
Liu, M.; Lin, Z.; Li, J.; Zhu, M.; Tang, Z.; Li, K. Performance Assessment of Rural Decentralized Domestic Wastewater Treatment Facilities in Foshan, China. Water 2024, 16, 1901. https://doi.org/10.3390/w16131901
Liu M, Lin Z, Li J, Zhu M, Tang Z, Li K. Performance Assessment of Rural Decentralized Domestic Wastewater Treatment Facilities in Foshan, China. Water. 2024; 16(13):1901. https://doi.org/10.3390/w16131901
Chicago/Turabian StyleLiu, Minru, Zhenrong Lin, Jiajie Li, Mingtian Zhu, Zhihua Tang, and Kai Li. 2024. "Performance Assessment of Rural Decentralized Domestic Wastewater Treatment Facilities in Foshan, China" Water 16, no. 13: 1901. https://doi.org/10.3390/w16131901
APA StyleLiu, M., Lin, Z., Li, J., Zhu, M., Tang, Z., & Li, K. (2024). Performance Assessment of Rural Decentralized Domestic Wastewater Treatment Facilities in Foshan, China. Water, 16(13), 1901. https://doi.org/10.3390/w16131901

