Steel Slag and Limestone as a Rock Filter for Eliminating Phosphorus from Domestic Wastewater: A Pilot Study in a Warm Climate
Abstract
1. Introduction
2. Materials and Methods
2.1. Wastewater Sampling and Analyses
2.2. Laboratory-Scale Rock Filter for Phosphate Removal Study
2.2.1. Construction of Lab-Scale Filter
2.2.2. Lab-Scale Filter Media
2.2.3. Experimental Setup of a Lab-Scale Filter
2.2.4. Hydraulic Loading Rate (HLR) Determination
2.3. Removal Study
2.4. Construction of VASSF
2.4.1. Filter Media Used in VASSF
2.4.2. Experimental Setup
2.5. Routine Maintenance
2.6. Microstructure Analysis
2.7. Statistical Analysis
3. Results and Discussion
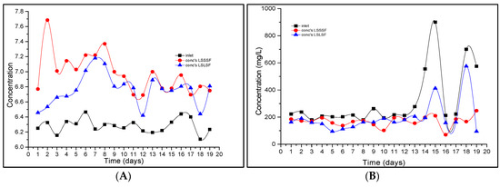
3.1. Performance of Treatment Systems
3.2. Phosphorous Removal Mechanism
3.3. Membrane-Based Separation Processes Using Steel Slag
4. Conclusions
Author Contributions
Funding
Data Availability Statement
Acknowledgments
Conflicts of Interest
References
- Bunce, J.T.; Ndam, E.; Ofiteru, I.D.; Moore, A.; Graham, D.W. A review of phosphorus removal technologies and their applicability to small-scale domestic wastewater treatment systems. Front. Environ. Sci. 2018, 6, 8. [Google Scholar] [CrossRef]
- Adnan, S.H.; Abd Roni, N.; Hamidon, N.; Ismail, T.N. The efficacy of recycled concrete aggregate for removal phosphorus in synthetic wastewater with different pH value. J. Adv. Ind. Technol. Appl. 2020, 1, 24–30. [Google Scholar]
- Carey, R.O.; Migliaccio, K.W. Contribution of wastewater treatment plant effluents to nutrient dynamics in aquatic systems: A review. Environ. Manag. 2009, 44, 205–217. [Google Scholar] [CrossRef] [PubMed]
- Mara, D.D. Good Practice in Water and Environmental Management: Natural Wastewater Treatment; Chartered Institute of Water and Environmental Management: London, UK, 2007. [Google Scholar]
- Mara, D.D.; Johnson, M.L. Aerated rock filters for enhanced ammonia and fecal coliform removal from facultative pond effluents. J. Environ. Eng. 2006, 132, 574–577. [Google Scholar] [CrossRef]
- Vymazal, J. Removal of nutrients in various types of constructed wetlands. Sci. Total Environ. 2007, 380, 48–65. [Google Scholar] [CrossRef]
- Žibienė, G.; Dapkienė, M.; Kazakevičienė, J.; Radzevičius, A. Phosphorus removal in a vertical flow constructed wetland using dolomite powder and chippings as filter media. J. Water Secur. 2015, 1, jws2015005. [Google Scholar] [CrossRef]
- Ruzhitskaya, O.; Gogina, E. Methods of removal of phosphates from wastewater. MATEC Web Conf. 2017, 106, 07006. [Google Scholar] [CrossRef]
- Wang, L.; Penn, C.; Huang, C.H.; Livingston, S.; Yan, J. Using steel slag for dissolved phosphorus removal: Insights from a designed flow-through laboratory experimental structure. Water 2020, 12, 1236. [Google Scholar] [CrossRef]
- Zuo, M.; Renman, G.; Gustafsson, J.P.; Klysubun, W. Dual slag filters for enhanced phosphorus removal from domestic waste water: Performance and mechanisms. Environ. Sci. Pollut. Res. 2018, 25, 7391–7400. [Google Scholar] [CrossRef]
- Maarup, S.N.; Hamdan, R.; Othman, N. Study on the Performance of a Pilot-Scale Vertical Aerated Steel Slag Filter for Phosphorus Removal. In Proceedings of the Advancements in Marine and Freshwater Sciences UMTAS 2013, Terengganu, Malaysia, 8–10 October 2013. [Google Scholar]
- Bing l Biao, T.; Zhen, M.; Hanchi, C.; Li Hongbo, L. Physical and Chemical Properties of Steel Slag and Utilization Technology of Steel Slag at Home and Abroad. Earth Environ. Sci. 2019, 242, 032012. [Google Scholar] [CrossRef]
- Deus, A.C.F.; de Almeida Bertani, R.M.; Meirelles, G.C.; Soares, A.D.A.V.L.; Moreira, L.L.Q.; Büll, L.T.; Fernandes, D.M. The Comprehensive Utilization of Steel Slag in Agricultural Soils. In Recovery and Utilization of Metallurgical Solid Waste; Zhang, Y., Ed.; IntechOpen: London, UK, 2019. [Google Scholar] [CrossRef]
- Tian, S.; Jiang, J.; Zhang, Z.; Manovic, V. Inherent potential of steelmaking to contribute to decarbonisation targets via industrial carbon capture and storage. Nat. Commun. 2018, 9, 4422. [Google Scholar] [CrossRef] [PubMed]
- Bird, S.C.; Drizo, A. Investigations on phosphorus recovery and reuse as soil amendment from electric arc furnace slag filters. J. Environ. Sci. Health Part A 2009, 44, 1476–1483. [Google Scholar] [CrossRef] [PubMed]
- Li, L.; Ling, T.; Pan, S. Environmental benefit assessment of steel slag utilization and carbonation: A systematic review. Sci. Total Environ. 2022, 806, 150280. [Google Scholar] [CrossRef] [PubMed]
- Yao, Q.; Peng, D.C. Nitrite oxidizing bacteria (NOB) dominating in nitrifying community in full-scale biological nutrient removal wastewater treatment plants. AMB Express 2017, 7, 25. [Google Scholar] [CrossRef] [PubMed]
- Hamdan, R.; Ibrahim, I.I.; Wan Mohamed, W.A.; Al-Gheethi, A.; Othman, N.; Mohamed, R. Optimizing the vertical flow aerated steel slag filter system with nitrifiers bacteria for the removal from domestic wastewater: A pilot study. J. Chem. Technol. Biotechnol. 2021, 96, 1067–1079. [Google Scholar] [CrossRef]
- Pytka-Woszczylo, A.; Różańska-Boczula, M.; Gizińska-Górna, M.; Marzec, M.; Listosz, A.; Jóźwiakowsk, K. Efficiency of Filters Filled with Rockfos for Phosphorus Removal from Domestic Sewage. Adv. Sci. Technol. Res. J. 2022, 16, 176–188. [Google Scholar] [CrossRef]
- Kasprzyk, M.; Gajewska, M. Phosphorus removal by application of natural and semi-natural materials for possible recovery according to assumptions of circular economy and closed circuit of P. Sci. Total Environ. 2019, 650, 249–256. [Google Scholar] [CrossRef]
- Preisner, M.; Neverova-Dziopak, E.; Kowalewski, Z. An Analytical Review of Different Approaches to Wastewater Discharge Standards with Particular Emphasis on Nutrients. Environ. Manag. 2020, 66, 694–708. [Google Scholar] [CrossRef]
- Ahmad, S.Z.N.; Hamdan, R.; Al-Gheethi, A.; Alkhadher, S.; Othman, N. Removal of phosphate from wastewater by steel slag with a high calcium oxide column filter system; efficiencies and mechanisms. J. Chem. Technol. Biotechnol. 2020, 95, 3232–3240. [Google Scholar] [CrossRef]
- Penn, C.; Livingston, S.; Shedekar, V.; King, K.; Williams, M. Performance of field-scale phosphorus removal structures utilizing steel slag for treatment of surface and subsurface drainage. Water 2020, 12, 443. [Google Scholar] [CrossRef]
- Bridgewater, L.; American Public Health Association; American Water Works Association; Water Environment Federation. Standard Methods for the Examination of Water and Waste Water, 22nd ed.; American Public Health Association: Washington, DC, USA, 2012. [Google Scholar]
- Zhang, H.; Zhang, X.; Bai, S.; Zhu, Y.; Gong, Y. Adsorption Removal of Phosphorus from Aqueous Solution by Steel Slag Columns. In Proceedings of the 2010 4th International Conference on Bioinformatics and Biomedical Engineering, Chengdu, China, 18–20 June 2010; pp. 1–4. [Google Scholar]
- Chang, J.; Zhang, X.; Perfler, R.; Xu, Q.; Niu, X.; Ge, Y. Effect of Hydraulic Loading Rate on The Removal Efficiency in A Constructed Wetland in Subtropical China. Fresenius Environ. Bull. 2007, 16, 1082–1086. [Google Scholar]
- Swanson, G.R.; Williamson, K.J. Upgrading lagoon effluents with rock filters. J. Environ. Eng. Div. 1980, 106, 1111–1129. [Google Scholar] [CrossRef]
- Stefanakis, A.I.; Tsihrintzis, V.A. Performance of vertical flow constructed wetlands treating simulated municipal wastewater: Effect of various design parameters. Desalination 2009, 248, 753–770. [Google Scholar] [CrossRef]
- Ndegwa, P.M.; Zhu, J.; Luo, A. Influence of temperature and time on the removal of phosphorus in swine manure during batch aeration. J. Environ. Sci. Health Part B 2003, 38, 73–87. [Google Scholar] [CrossRef] [PubMed]
- Penn, C.J.; Bowen, J.M. Design and Construction of Phosphorus Removal Structures for Improving Water Quality; Springer: Berlin/Heidelberg, Germany, 2018; pp. 91–94. [Google Scholar]
- Yihuan, D.; Andrew, W. Mechanism of Phosphorus by Recycled Crushed Aggregate. Int. J. Environ. Res. Public Health 2018, 15, 357. [Google Scholar]
- Sunny, N.; Roy, A.; Pavithran, A.; Johnson, M.; Shafana, P.H. Inhibitors of Aerobic Treatment System and its Control Measures. Int. Res. J. Eng. Technol. 2021, 8, 4110–4115. [Google Scholar]
- Chen, X.; Sun, X.; Xu, P.; Wang, S.; Zhou, T.; Wang, X.; Yang, C.; Lu, Q. Optimal regulation of N/P in horizontal sub-surface flow constructed wetland through quantitative phosphorus removal by steel slag fed. Environ. Sci. Pollut. Res. 2020, 27, 5779–5787. [Google Scholar] [CrossRef]
- Hamdan, R.B. Aerated Blast Furnace Slag Filters for Enhanced Nitrogen and Phosphorus Removal from Small Wastewater Treatment Plants. Ph.D. Thesis, School of Civil Engineering, University of Leeds, Leeds, UK, 2010. [Google Scholar]
- Chazarenz, F.; Stephane, T.; Comeau, F. Effect of Loading Rate on Performance of Constructed Wetlands Treating an Anaerobic Supernatant. Water Sci. Technol. 2017, 56, 23–29. [Google Scholar] [CrossRef]
- Akpor, O.B.; Olaolu, T.D.; Okolie, E.C. The Effect of Temperature on Nitrate and Phosphate Uptake from Synthetic Wastewater by Selected Bacteria Species. Br. Microbiol. Res. J. 2013, 4, 328–342. [Google Scholar] [CrossRef]
- Drizo, A.; Forget, C.; Chapuis, R.P.; Comeau, Y. Phosphorus removal by steel slag and serpentinite. Water Res. 2006, 40, 1547–1554. [Google Scholar] [CrossRef]
- Han, C.; Wang, Z.; Yang, W.; Wu, Q.; Yang, H.; Xue, X. Effects of pH on phosphorus removal capacities of basic oxygen furnace slag. Ecol. Eng. 2016, 89, 1–6. [Google Scholar] [CrossRef]
- Hussain, S.I.; Blowes, D.W.; Ptacek, C.J.; Olding, D. Phosphorus removal from lake water using basic oxygen furnace slag: System performance and characterization of reaction products. Environ. Eng. Sci. 2014, 31, 631–642. [Google Scholar] [CrossRef]
- Ahmad, S.Z.N.; Al-Gheethi, A.; Hamdan, R.; Othman, N. Efficiencies and mechanisms of steel slag with ferric oxides for removing phosphate from wastewater using a column filter system. Environ. Sci. Pollut. Res. 2020, 27, 35184–35194. [Google Scholar] [CrossRef]
- Modi, R.; Kavaiya, A.R.; Vanzara, P.B.; Raval, H.D. Membranes in Zero-Liquid-Discharge Systems for Efficient Processes toward Sustainable Environment: A Review. J. Environ. Eng. 2022, 148, 03122004. [Google Scholar] [CrossRef]
- Raval, H.D.; Mondal, M. Advancement in Polymer-Based Membranes for Water Remediation; Elsevier: Amsterdam, The Netherlands, 2022; pp. 335–379. [Google Scholar]
- Ankoliya, D.; Mehta, B.; Raval, H. Advances in surface modification techniques of reverse osmosis membrane over the years. Sep. Sci. Technol. 2019, 54, 293–310. [Google Scholar] [CrossRef]
- Lesjean, B.; Gnirss, R.; Adam, C.; Kraume, M.; Luck, F. Enhanced biological phosphorus removal process implemented in membrane bioreactors to improve phosphorous recovery and recycling. Water Sci. Technol. 2003, 48, 87–94. [Google Scholar] [CrossRef]
- Raval, H.; Mehta, B.; Joshi, R.; Kumar, A. A Novel Thin Film Composite Reverse Osmosis Membrane Modified by Ionic Liquid. Braz. J. Chem. Eng. 2018, 35, 1249–1256. [Google Scholar] [CrossRef]
- Raval, H.; Mehta, B.; Joshi, R. A novel low-fouling zeolite-polysulfone nanocomposite membrane for advanced water treatment. Desalination Water Treat. 2017, 88, 8–15. [Google Scholar] [CrossRef]
- Lesjean, B.; Gnirssb, R.; Adam, C. Process configurations adapted to membrane bioreactors for enhanced biological phosphorous and nitrogen removal. Desalination 2002, 149, 217–224. [Google Scholar] [CrossRef]













| Parameter | Unit | Lab-Scale Filter |
|---|---|---|
| Total height | cm | 39.5 |
| Internal diameter | cm | 14.4 |
| Liquid depth | cm | 27.5 |
| Volume of wastewater (working volume), Q | m3 | 0.0044 |
| HLR | m3/day | 0.00264 |
| HRT | day | 1.67 |
| Airflow | L/min | 20 |
| Chemical Component | Concentration | |
|---|---|---|
| Steel Slag | Limestone | |
| CO2 | 0.10% | - |
| CaO | 31.20% | 94.20% |
| Fe2O3 | 40.00% | 0.87% |
| SiO2 | 16.40% | 2.57% |
| Al2O3 | 5.04% | 0.79% |
| MgO | 3.25% | 0.98% |
| K2O | - | 0.14% |
| MnO | 2.00% | - |
| TiO2 | 0.53% | - |
| Cr2O3 | 0.32% | - |
| P2O5 | 0.56% | - |
| S | 0 < LLD | - |
| No | Parameter | Unit | VASSF |
|---|---|---|---|
| 1 | Total Height | m | 2.0 |
| 2 | Internal Diameter | m | 0.3 |
| 3 | Filter Bed Depth/Liquid Depth | m | 1.5 |
| 4 | Media Volume, V | m3 | 0.106 |
| 5 | Volume of Wastewater in the filter (Working Volume) | m3 | 0.063 |
| 6 | Qwastewater (variable) | m3/d | 0.0170, 0.0276, 0.0360, 0.0339, 0.0551, 0.0721, 0.1103, 0.1442, 0.2205, 0.2884, 0.4411, 0.5768 |
| 7 | Hydraulic Retention Time, θ (variable) | day | 3.71, 2.29, 1.75, 1.86, 1.14, 0.87, 0.57, 0.44, 0.29, 0.22, 0.14, 0.11 |
| 8 | Hydraulic loading rate, HLR (variable) | m3/m3·d | 0.16, 0.26, 0.34, 0.32, 0.52, 0.68, 1.04, 1.36, 2.08, 2.72, 4.16, 5.44 |
| 9 | Air Flow Rate (variable) | L/min | 3, 5, 7, 10 |
| 10 | Flow Rate, Q (variable) | mL/min | 12, 19, 25, 24, 38, 50, 77, 100, 153, 200, 306, 401 |
| Type Maintenance | Lab Scale | Pilot Scale |
|---|---|---|
| Cleaning the strainer for inlet system | N.A. | Cleaning strainer |
| Checking and Maintenance of the Inlet and outlet piping system | N.A. | Change broken piping |
| Replacing the clogged pipe and water tap | N.A. | Change clogged tap |
| Maintenance of the peristaltic pump and compressor | Change broken pipe | Change broken piping |
| Remove the plant that grew on the filter media | Remove algae | Remove algae |
| Parameter | Concentration ± SD * |
|---|---|
| BOD (mg/L) | 126 mg/L ± 4.00 |
| COD (mg/L) | 262.08 mg/L ± 21.00 |
| DO | 1.04 mg/L ± 0.48 |
| pH | 6.97 ± 0.03 |
| Temperature (°C) | 28.6 °C ± 0.07 |
| TSS (mg/L) | 146.7 mg/L ± 1.15 |
| Alkalinity (mg/L) | 205 mg CaCO3/l ± 5.00 |
| TP (mg/L) | 19 mg/L ± 1.53 |
| TC | 1600 cfu/100 mL ± 50.00 |
| Chemical Component | Concentration |
|---|---|
| CO2 | 0.10% |
| CaO | 31.20% |
| Fe2O3 | 40.00% |
| SiO2 | 16.40% |
| Al2O3 | 5.04% |
| MgO | 3.25% |
| MnO | 2.00% |
| TiO2 | 0.53% |
| Cr2O3 | 0.32% |
| P2O5 | 0.56% |
| S | 0 < LLD |
Disclaimer/Publisher’s Note: The statements, opinions and data contained in all publications are solely those of the individual author(s) and contributor(s) and not of MDPI and/or the editor(s). MDPI and/or the editor(s) disclaim responsibility for any injury to people or property resulting from any ideas, methods, instructions or products referred to in the content. |
© 2023 by the authors. Licensee MDPI, Basel, Switzerland. This article is an open access article distributed under the terms and conditions of the Creative Commons Attribution (CC BY) license (https://creativecommons.org/licenses/by/4.0/).
Share and Cite
Maarup, S.N.; Hamdan, R.; Othman, N.; Al-Gheethi, A.; Alkhadher, S.; El-Hady, M.M.A.; Saeed, S.E.-S. Steel Slag and Limestone as a Rock Filter for Eliminating Phosphorus from Domestic Wastewater: A Pilot Study in a Warm Climate. Water 2023, 15, 657. https://doi.org/10.3390/w15040657
Maarup SN, Hamdan R, Othman N, Al-Gheethi A, Alkhadher S, El-Hady MMA, Saeed SE-S. Steel Slag and Limestone as a Rock Filter for Eliminating Phosphorus from Domestic Wastewater: A Pilot Study in a Warm Climate. Water. 2023; 15(4):657. https://doi.org/10.3390/w15040657
Chicago/Turabian StyleMaarup, Syahrul Nizam, Rafidah Hamdan, Norzila Othman, Adel Al-Gheethi, Sadeq Alkhadher, M. M. Abd El-Hady, and S. El-Sayed Saeed. 2023. "Steel Slag and Limestone as a Rock Filter for Eliminating Phosphorus from Domestic Wastewater: A Pilot Study in a Warm Climate" Water 15, no. 4: 657. https://doi.org/10.3390/w15040657
APA StyleMaarup, S. N., Hamdan, R., Othman, N., Al-Gheethi, A., Alkhadher, S., El-Hady, M. M. A., & Saeed, S. E.-S. (2023). Steel Slag and Limestone as a Rock Filter for Eliminating Phosphorus from Domestic Wastewater: A Pilot Study in a Warm Climate. Water, 15(4), 657. https://doi.org/10.3390/w15040657

