Sequential Nitrification—Autotrophic Denitrification Using Sulfur as an Electron Donor and Chilean Zeolite as Microbial Support
Abstract
1. Introduction
2. Materials and Methods
2.1. Enrichment of Microorganisms in aDN
2.2. Validation of Nitrifying (NT) Microorganisms
2.3. Zeolite
2.4. Sequential NTaDN Process
2.4.1. Inoculum for the Sequential Process
2.4.2. Microbial Medium
2.4.3. Operation Strategy
2.4.4. Substrate
2.4.5. Operating Conditions and Measurement Variables
2.4.6. Operation of the Sequential aDN Process
3. Results and Discussion
3.1. Enrichment of aDN Inoculum
3.2. Validation of NT Inoculum
3.3. Operation of the Sequential aDN Process
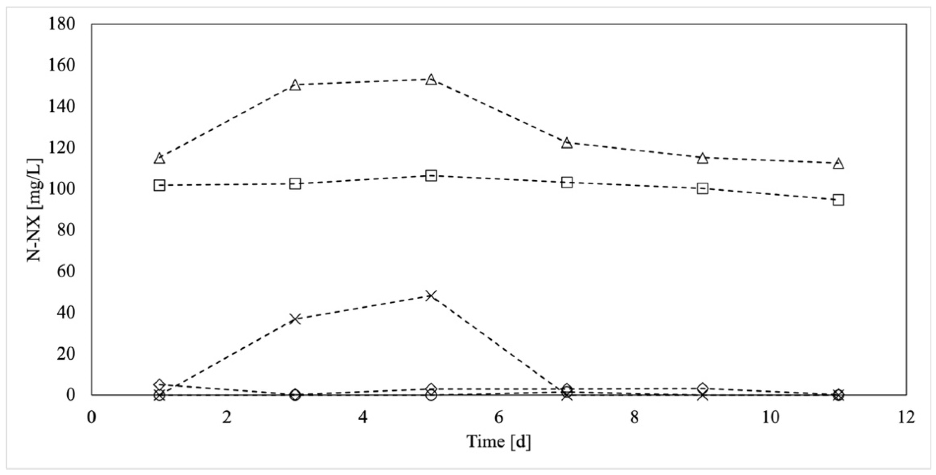
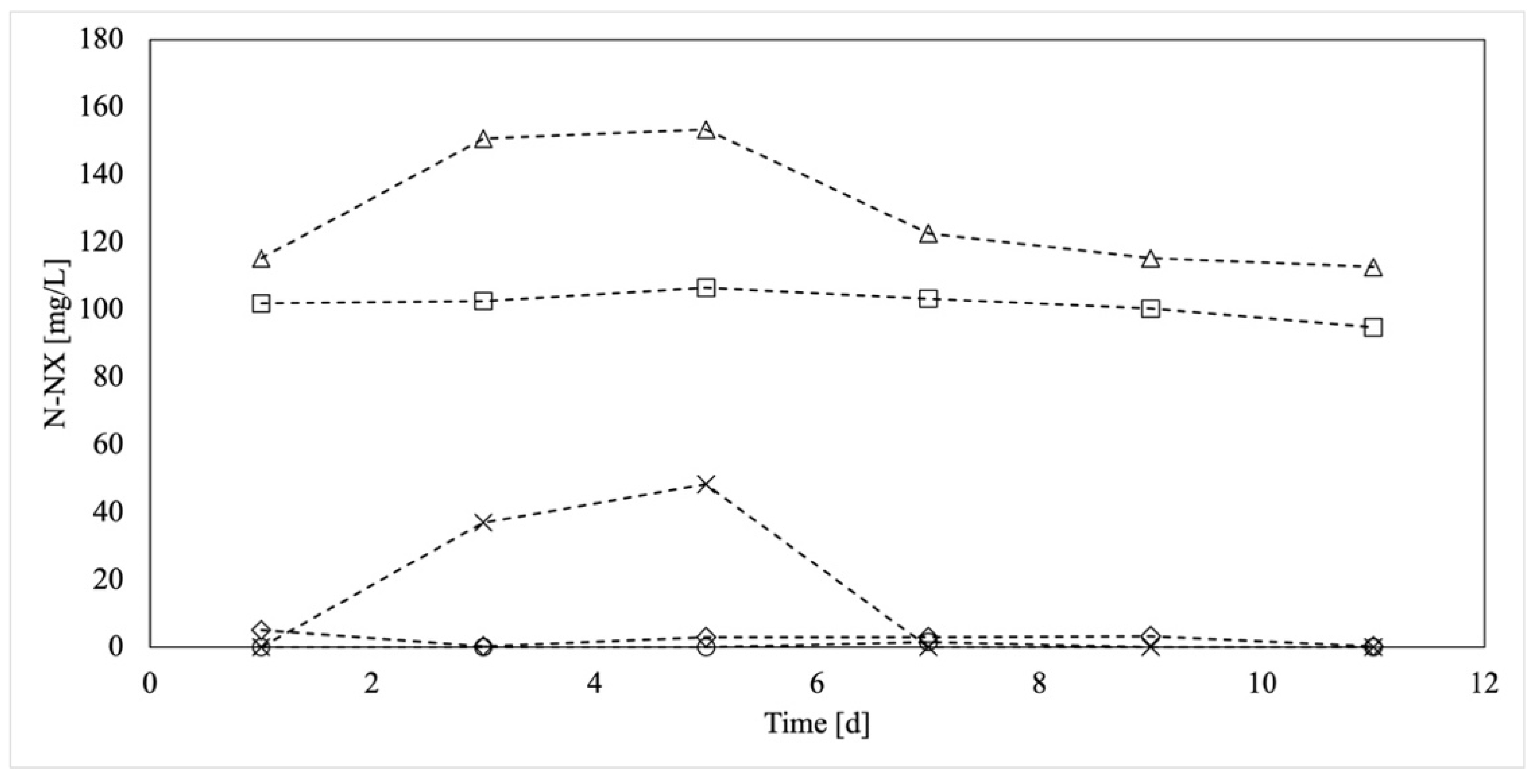
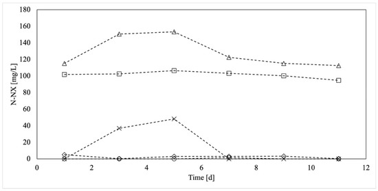
3.3.1. Effect on Nitrification with or without Zeolite
3.3.2. Effect on Denitrification with or without Zeolite
4. Conclusions
Supplementary Materials
Author Contributions
Funding
Institutional Review Board Statement
Informed Consent Statement
Data Availability Statement
Acknowledgments
Conflicts of Interest
References
- Burghate, S.P.; Ingole, N.W. Biological denitrification—A review. Int. J. Res. Environ. Sci. Technol. 2014, 3, 9–28. [Google Scholar]
- Driscoll, C.T.; Bisogni, J.J. The use of sulfur and sulfide in packed bed reactors for autotrophic denitrification. J. Water Pollut. Control Fed. 1978, 50, 569–577. [Google Scholar] [CrossRef]
- Lima, J.; Aguilar, C.R.; Garcia, G.A.; Bezerra, A.; Rodrigues, M.E.; Milen, P.I. Autotrophic denitrification via nitrate as an effective approach for removal of dissolved sulfide in anaerobic reactors. Water Sci. Technol. 2020, 82, 1628–1634. [Google Scholar] [CrossRef]
- Fu, C.; Li, J.; Lv, X.; Song, W.; Zhang, X. Operation performance and microbial community of sulfur-based autotrophic denitrification sludge with different sulfur sources. Environ. Geochem. Health 2020, 42, 1009–1020. [Google Scholar] [CrossRef]
- Campos, J.; Carvalho, S.; Portela, R.; Mosquera-Corral, A.; Méndez, R. Kinetics of denitrification using sulphur compounds: Effects of S/N ratio, endogenous and exogenous compounds. Bioresour. Technol. 2008, 99, 1293–1299. [Google Scholar] [CrossRef]
- Kostrytsia, A.; Papirio, S.; Frunzo, L.; Mattei, M.R.; Porca, E.; Collins, G.; Lens, P.N.L.; Esposito, G. Elemental sulfur-based autotrophic denitrification and denitritation: Microbially catalyzed sulfur hydrolysis and nitrogen conversions. J. Environ. Manag. 2018, 211, 313–322. [Google Scholar] [CrossRef]
- Montalvo, S.; Huiliñir, C.; Gálvez, D.; Roca, N.; Guerrero, L. Autotrophic denitrification with sulfide as electron donor: Effect of zeolite, organic matter and temperature in batch and continuous UASB reactors. Int. Biodeterior. Biodegrad. 2016, 108, 158–165. [Google Scholar] [CrossRef]
- Soares, M.I.M. Denitrification of groundwater with elemental sulfur. Water Res. 2002, 36, 1392–1395. [Google Scholar] [CrossRef]
- Manconi, I.; Carucci, A.; Lens, P. Combined removal of sulfur compounds and nitrate by autotrophic denitrification in bioaugmented activated sludge system. Biotechnol. Bioeng. 2007, 98, 551–560. [Google Scholar] [CrossRef]
- Reyes-Avila, J.; Razo-Flores, E.; Gomez, J. Simultaneous biological removal of nitrogen, carbon and sulfur by denitrification. Water Res. 2004, 38, 3313–3321. [Google Scholar] [CrossRef]
- Huang, S.; Yu, D.; Chen, G.; Wang, Y.; Tang, P.; Liu, C.; Tian, Y.; Zhang, M. Realization of nitrite accumulation in a sulfide-driven autotrophic denitrification process: Simultaneous nitrate and sulfur removal. Chemosphere 2021, 278, 130413. [Google Scholar] [CrossRef] [PubMed]
- Zhu, I.; Getting, T. A review of nitrate reduction using inorganic materials. Environ. Technol. Rev. 2012, 1, 46–58. [Google Scholar] [CrossRef]
- Statiris, E.; Hadjimitsis, E.; Noutsopoulos, C.; Malamis, S. Thiosulphate driven autotrophic denitrification via nitrite using synthetic wastewater. J. Chem. Technol. Biotechnol. 2021, 96, 1675–1681. [Google Scholar] [CrossRef]
- Xue, M.; Nie, Y.; Cao, X.; Zhou, X. Deciphering the influence of S/N ratio in a sulfite-driven autotrophic denitrification reactor. Sci. Total. Environ. 2022, 836, 155612. [Google Scholar] [CrossRef] [PubMed]
- Chen, F.; Li, X.; Gu, C.; Huang, Y.; Yuan, Y. Selectivity control of nitrite and nitrate with the reaction of S0 and achieved nitrite accumulation in the sulfur autotrophic denitrification process. Bioresour. Technol. 2018, 266, 211–219. [Google Scholar] [CrossRef] [PubMed]
- Ruiz, G.; Jeison, D.; Rubilar, O.; Ciudad, G.; Chamy, R. Nitrification–denitrification via nitrite accumulation for nitrogen removal from wastewaters. Bioresour. Technol. 2006, 97, 330–335. [Google Scholar] [CrossRef] [PubMed]
- Yang, J.; Qin, Y.; Liu, X.; Yang, L.; Zheng, S.; Gong, S.; Liu, Z.; Wu, C.; Lin, X.; Lu, T.; et al. Effects of different electron donors on nitrogen removal performance and microbial community of denitrification system. J. Environ. Chem. Eng. 2022, 10, 107915. [Google Scholar] [CrossRef]
- Montalvo, S.J.; Guerrero, L.E.; Borja, R. Improvement in nitrification through the use of natural zeolite: Influence of the biomass concentration and inoculum source. Int. J. Environ. Sci. Technol. 2013, 11, 43–52. [Google Scholar] [CrossRef]
- Cortés, A. Remoción de Compuestos Nitrogenados Presentes en Purines a Través de Nitrificación-Desnitrificación Simul-Tánea en un Reactor Secuencial Batch Utilizando Zeolita Como Soporte y Estrategia Step-Feed. Master’s Thesis, Universidad Técnica Federico Santa María, Valparaíso, Chile, 2013. [Google Scholar]
- González, E. Puesta en Marcha de un Reactor Anaerobio de Lecho Fijo con Residuales Provenientes de un Biodigestor de Purines de Cerdo. Bachelor’s Thesis, Universidad Técnica Federico Santa María, Valparaíso, Chile, 2019. [Google Scholar]
- Huiliñir, C.; Medina, R.; Montalvo, S.; Castillo, A.; Guerrero, L. Biological nitrification in the presence of sulfide and organic matter: Effect of zeolite on the process in a batch system. J. Chem. Technol. Biotechnol. 2018, 93, 2390–2398. [Google Scholar] [CrossRef]
- Mery, C. Eliminación Biológica de Compuestos Nitrogenados Utilizando un Reactor de Lecho Fluidizado con Zeolita Como Soporte. Master’s Thesis, Universidad Técnica Federico Santa Maria, Valparaíso, Chile, 2011. [Google Scholar]
- Montalvo, S.; Guerrero, L.; Robles, M.; Mery, C.; Huiliñir, C.; Borja, R. Start-up and performance of UASB reactors using zeolite for improvement of nitrate removal process. Ecol. Eng. 2014, 70, 437–445. [Google Scholar] [CrossRef]
- Koenig, A.; Liu, L. Kinetic model of autotrophic denitrification in sulphur packed-bed reactors. Water Res. 2001, 35, 1969–1978. [Google Scholar] [CrossRef] [PubMed]
- Fajardo, C.; Mora, M.; Fernández, I.; Mosquera-Corral, A.; Campos, J.L.; Méndez, R. Cross effect of temperature, pH and free ammonia on autotrophic denitrification process with sulphide as electron donor. Chemosphere 2014, 97, 10–15. [Google Scholar] [CrossRef] [PubMed]
- Gómez, R. Operación de un Reactor Batch Para la Nitrificación y Desnitrificación Autotrófica Simultáneas, Utilizando Zeolita Como Soporte Para la Eliminación de Nitrógeno Amoniacal. Master’s Thesis, Universidad Técnica Federico Santa María, Valparaíso, Chile, 2020. [Google Scholar]
- Beristain-Cardoso, R.; Gómez, J.; Méndez-Pampín, R. The behavior of nitrifying sludge in presence of sulfur compounds using a floating biofilm reactor. Bioresour. Technol. 2010, 101, 8593–8598. [Google Scholar] [CrossRef]
- Alzate-Marin, J.C.; Caravelli, A.H.; Zaritzky, N.E. Nitrification and aerobic denitrification in anoxic–aerobic sequencing batch reactor. Bioresour. Technol. 2016, 200, 380–387. [Google Scholar] [CrossRef] [PubMed]
- Hashimoto, S.; Furukawa, K.; Shioyama, M. Autotrophic denitrification using elemental sulfur. J. Ferment. Technol. 1987, 65, 683–692. [Google Scholar] [CrossRef]
- Kuai, L.; Verstraete, W. Autotrophic Denitrification with Elemental Sulphur in Small-Scale Wastewater Treatment Facilities. Environ. Technol. 1999, 20, 201–209. [Google Scholar] [CrossRef]
- American Public Health Association; American Water Works Association; Water Environment Federation. Standard Methods for the Examination of Water and Wastewater, 23rd ed.; Baird, R.B., Eaton, A.D., Rice, E.W., Bridgewater, L.L., Eds.; American Public Health Association: Washington, DC, USA, 2017. [Google Scholar]
- Metcalf, E. Wastewater Engineering: Treatment and Resource Recovery, 5th ed.; McGraw-Hill Education: New York, NY, USA, 2014. [Google Scholar]
- Montalvo, S.; Huiliñir, C.; Borja, R.; Sánchez, E.; Herrmann, C. Application of zeolites for biological treatment processes of solid wastes and wastewaters—A review. Bioresour. Technol. 2020, 301, 122808. [Google Scholar] [CrossRef]








| Component | Unit | Quantity | Component | Unit | Quantity |
|---|---|---|---|---|---|
| K2HPO4 | g/L | 2.00 | Na2MoO4*7H2O | g/L | 1.00 |
| NaHCO3 | g/L | 1.00 | FeSO4*7H2O | g/L | 30.00 |
| KNO3 | g/L | 2.00 | ZnCl2 4H2O | g/L | 1.00 |
| NH4Cl | g/L | 0.50 | CaCO3 | g/L | 2.00 |
| MgCl∙6H2O | g/L | 0.50 | MnCl2 4H2O | g/L | 1.50 |
| S0 * | g/L | 0.70 ** | CuSO4 5H2O | g/L | 0.25 |
| Micronutrients *** | mL/L | 0.50 | CoCl2 6H2O | g/L | 0.25 |
| HCl | g/L | 50.00 | |||
| NiCl2 6H2O | g/L | 0.25 | |||
| H3BO3 | g/L | 0.50 | |||
| (a) | (b) |
| Component | Unit | Quantity | Component | Unit | Quantity |
|---|---|---|---|---|---|
| K2HPO4 | g/L | 3.5 | EDTA | g/L | 5.0 |
| KH2PO4 | g/L | 4.0 | CuSO4 5H2O | g/L | 1.57 |
| NaHCO3 | g/L | 2.4 | CaCl2 2H2O | g/L | 5.54 |
| NH4Cl | g/L | 0.5 | MnCl2 | g/L | 5.0 |
| NaCl | g/L | 0.2 | (NH4)6Mo7O24 4H2O | g/L | 1.1 |
| Micronutrients | mL | 0.5 | FeCl3 | g/L | 5.0 |
| CoCl2 6H2O | g/L | 1.6 | |||
| MgCl2 5H2O | g/L | 5.0 | |||
| (a) | (b) |
| Component | Unit | Quantity |
|---|---|---|
| K2HPO4 | g/L | 2.00 |
| NaHCO3 | g/L | 1.00 |
| MgCl 6H20 | g/L | 0.50 |
| So * | g/L | 0.33 ** |
| Micronutrients *** | mL | 0.50 |
| Parameter | R NT | R aDN |
|---|---|---|
| Temperature | 25 °C in liquid, 31 °C in chamber | 25 °C in liquid, 31 °C in chamber |
| Feed pH | 7.0–8.0 | 7.0–8.0 |
| Medium (zeolite) | according to reactor | according to reactor |
| RPM | 120 RPM | 120 RPM |
| TLl | 0.02 h | 0.02 h |
| TR | 20 h | 24 h |
| Aerobic cycle | 8 h | - |
| Anoxic cycle | 12 h | - |
| Anaerobic cycle | - | 24 h |
| TSsed | 0.5 h | 0.5 h |
| TDec | 0.03 h | 0.03 h |
| TIn | 0.5 h | 0.5 h |
| CRT | 26.3 d | 31.5 d |
| HRT | 2.84 d | |
| NLR | 0.046 kg N/m3 d | |
Disclaimer/Publisher’s Note: The statements, opinions and data contained in all publications are solely those of the individual author(s) and contributor(s) and not of MDPI and/or the editor(s). MDPI and/or the editor(s) disclaim responsibility for any injury to people or property resulting from any ideas, methods, instructions or products referred to in the content. |
© 2022 by the authors. Licensee MDPI, Basel, Switzerland. This article is an open access article distributed under the terms and conditions of the Creative Commons Attribution (CC BY) license (https://creativecommons.org/licenses/by/4.0/).
Share and Cite
Barahona, A.; Rubio, J.; Gómez, R.; Huiliñir, C.; Borja, R.; Guerrero, L. Sequential Nitrification—Autotrophic Denitrification Using Sulfur as an Electron Donor and Chilean Zeolite as Microbial Support. Water 2023, 15, 95. https://doi.org/10.3390/w15010095
Barahona A, Rubio J, Gómez R, Huiliñir C, Borja R, Guerrero L. Sequential Nitrification—Autotrophic Denitrification Using Sulfur as an Electron Donor and Chilean Zeolite as Microbial Support. Water. 2023; 15(1):95. https://doi.org/10.3390/w15010095
Chicago/Turabian StyleBarahona, A., J. Rubio, R. Gómez, C. Huiliñir, R. Borja, and L. Guerrero. 2023. "Sequential Nitrification—Autotrophic Denitrification Using Sulfur as an Electron Donor and Chilean Zeolite as Microbial Support" Water 15, no. 1: 95. https://doi.org/10.3390/w15010095
APA StyleBarahona, A., Rubio, J., Gómez, R., Huiliñir, C., Borja, R., & Guerrero, L. (2023). Sequential Nitrification—Autotrophic Denitrification Using Sulfur as an Electron Donor and Chilean Zeolite as Microbial Support. Water, 15(1), 95. https://doi.org/10.3390/w15010095

