Model Predictive Control Strategy for the Degradation of Pharmaceutically Active Compounds by UV/H2O2 Oxidation Process
Abstract
:1. Introduction
2. Materials and Methods
2.1. Chemicals
2.2. •OH Scavenging Demand Measurement
2.3. Analytical Methods
3. Results and Discussion
3.1. Measurement of Water Quality and OH Radical Scavenging Demand
3.2. Comparison of Degradation Rate Constants for Reactions of PhACs with UV/H2O2 under Different Conditions of •OH Scavenging Demand
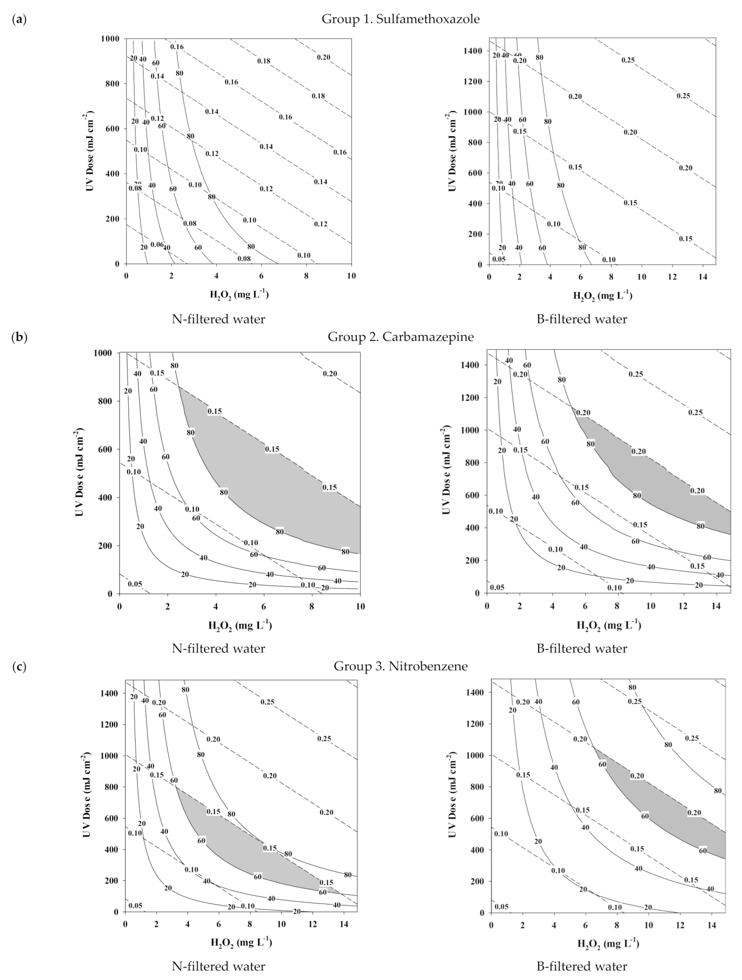
3.3. Categorization of Groups of PhACs According to Their Decomposition Properties
3.4. Optimization of Operating Conditions for PhACs Degradation
4. Discussion
5. Conclusions
Author Contributions
Funding
Institutional Review Board Statement
Informed Consent Statement
Data Availability Statement
Acknowledgments
Conflicts of Interest
References
- Ternes, T.A.; Meisenheimer, M.; McDowell, D.; Sacher, F.; Brauch, H.-J.; Haist-Gulde, B.; Preuss, G.; Wilme, U.; Zulei-Seibert, N. Removal of Pharmaceuticals during Drinking Water Treatment. Environ. Sci. Technol. 2002, 36, 3855–3863. [Google Scholar] [CrossRef] [PubMed]
- Kim, I.; Tanaka, H. Photodegradation Characteristics of PPCPs in Water with UV Treatment. Environ. Int. 2009, 35, 793–802. [Google Scholar] [CrossRef] [PubMed]
- Vogna, D.; Marotta, R.; Napolitano, A.; Andreozzi, R.; d’Ischia, M. Advanced Oxidation of the Pharmaceutical Drug Diclofenac with UV/H2O2 and Ozone. Water Res. 2004, 38, 414–422. [Google Scholar] [CrossRef] [PubMed]
- Yuan, F.; Hu, C.; Hu, X.; Qu, J.; Yang, M. Degradation of Selected Pharmaceuticals in Aqueous Solution with UV and UV/H2O2. Water Res. 2009, 43, 1766–1774. [Google Scholar] [CrossRef]
- Yang, Y.; Ok, Y.S.; Kim, K.-H.; Kwon, E.E.; Tsang, Y.F. Occurrences and Removal of Pharmaceuticals and Personal Care Products (PPCPs) in Drinking Water and Water/Sewage Treatment Plants: A Review. Sci. Total Environ. 2017, 596–597, 303–320. [Google Scholar] [CrossRef] [PubMed]
- Park, C.; Seo, S.; Cho, I.; Jun, Y.; Ha, H.; Hwang, T.-M. Degradation of residual pharmaceuticals in water by UV/H2O2 advanced oxidation process. J. Korean Soc. Water Wastewater 2019, 33, 469–480. [Google Scholar] [CrossRef]
- Adams, C.; Wang, Y.; Loftin, K.; Meyer, M. Removal of Antibiotics from Surface and Distilled Water in Conventional Water Treatment Processes. J. Environ. Eng. 2002, 128, 253–260. [Google Scholar] [CrossRef]
- Huber, M.M.; Canonica, S.; Park, G.-Y.; von Gunten, U. Oxidation of Pharmaceuticals during Ozonation and Advanced Oxidation Processes. Environ. Sci. Technol. 2003, 37, 1016–1024. [Google Scholar] [CrossRef]
- Simazaki, D.; Kubota, R.; Suzuki, T.; Akiba, M.; Nishimura, T.; Kunikane, S. Occurrence of Selected Pharmaceuticals at Drinking Water Purification Plants in Japan and Implications for Human Health. Water Res. 2015, 76, 187–200. [Google Scholar] [CrossRef]
- Yang, T.; Yu, D.; Wang, D.; Yang, T.; Li, Z.; Wu, M.; Petru, M.; Crittenden, J. Accelerating Fe(III)/Fe(II) Cycle via Fe(II) Substitution for Enhancing Fenton-like Performance of Fe-MOFs. Appl. Catal. B Environ. 2021, 286, 119859. [Google Scholar] [CrossRef]
- Yu, D.; Wang, L.; Yang, T.; Yang, G.; Wang, D.; Ni, H.; Wu, M. Tuning Lewis Acidity of Iron-Based Metal-Organic Frameworks for Enhanced Catalytic Ozonation. Chem. Eng. J. 2021, 404, 127075. [Google Scholar] [CrossRef]
- Kwon, M.; Kim, S.; Yoon, Y.; Jung, Y.; Hwang, T.-M.; Kang, J.-W. Prediction of the Removal Efficiency of Pharmaceuticals by a Rapid Spectrophotometric Method Using Rhodamine B in the UV/H2O2 Process. Chem. Eng. J. 2014, 236, 438–447. [Google Scholar] [CrossRef]
- Pereira, V.J.; Weinberg, H.S.; Linden, K.G.; Singer, P.C. UV Degradation Kinetics and Modeling of Pharmaceutical Compounds in Laboratory Grade and Surface Water via Direct and Indirect Photolysis at 254 Nm. Environ. Sci. Technol. 2007, 41, 1682–1688. [Google Scholar] [CrossRef]
- Stefan, M.I. Advanced Oxidation Processes for Water Treatment: Fundamentals and Applications; IWA Publishing: London, UK, 2017; ISBN 978-1-78040-718-0. [Google Scholar]
- Rosenfeldt, E.J.; Linden, K.G.; Canonica, S.; von Gunten, U. Comparison of the Efficiency of OH Radical Formation during Ozonation and the Advanced Oxidation Processes O3/H2O2 and UV/H2O2. Water Res. 2006, 40, 3695–3704. [Google Scholar] [CrossRef] [PubMed]
- Legrini, O.; Oliveros, E.; Braun, A.M. Photochemical Processes for Water Treatment. Chem. Rev. 1993, 93, 671–698. [Google Scholar] [CrossRef]
- Glaze, W.H.; Kang, J.-W.; Chapin, D.H. The Chemistry of Water Treatment Processes Involving Ozone, Hydrogen Peroxide and Ultraviolet Radiation. Ozone Sci. Eng. 1987, 9, 335–352. [Google Scholar] [CrossRef]
- Hwang, T.-M.; Nam, S.-H.; Lee, J.; Koo, J.-W.; Kim, E.; Kwon, M. Hydroxyl Radical Scavenging Factor Measurement Using a Fluorescence Excitation-Emission Matrix and Parallel Factor Analysis in Ultraviolet Advanced Oxidation Processes. Chemsphere 2020, 259, 127396. [Google Scholar] [CrossRef] [PubMed]
- Nikolaou, A.; Meric, S.; Fatta, D. Occurrence Patterns of Pharmaceuticals in Water and Wastewater Environments. Anal. Bioanal. Chem. 2007, 387, 1225–1234. [Google Scholar] [CrossRef]
- Kim, S.D.; Cho, J.; Kim, I.S.; Vanderford, B.J.; Snyder, S.A. Occurrence and Removal of Pharmaceuticals and Endocrine Disruptors in South Korean Surface, Drinking, and Waste Waters. Water Res. 2007, 41, 1013–1021. [Google Scholar] [CrossRef]
- Nam, S.-W.; Jo, B.-I.; Yoon, Y.; Zoh, K.-D. Occurrence and Removal of Selected Micropollutants in a Water Treatment Plant. Chemosphere 2014, 95, 156–165. [Google Scholar] [CrossRef]
- Yoon, Y.; Ryu, J.; Oh, J.; Choi, B.-G.; Snyder, S.A. Occurrence of Endocrine Disrupting Compounds, Pharmaceuticals, and Personal Care Products in the Han River (Seoul, South Korea). Sci. Total Environ. 2010, 408, 636–643. [Google Scholar] [CrossRef] [PubMed]
- Buxton, G.V.; Greenstock, C.L.; Helman, W.P.; Ross, A.B. Critical Review of Rate Constants for Reactions of Hydrated Electrons, Hydrogen Atoms and Hydroxyl Radicals (OH/O− in Aqueous Solution. J. Phys. Chem. Ref. Data 1988, 17, 513–886. [Google Scholar] [CrossRef] [Green Version]
- Yu, H.-W.; Anumol, T.; Park, M.; Pepper, I.; Scheideler, J.; Snyder, S.A. On-Line Sensor Monitoring for Chemical Contaminant Attenuation during UV/H2O2 Advanced Oxidation Process. Water Res. 2015, 81, 250–260. [Google Scholar] [CrossRef] [PubMed]
- Ternes, T.; Joss, A. Human Pharmaceuticals, Hormones and Fragrances; IWA Publishing: London, UK, 2007; ISBN 978-1-84339-093-0. [Google Scholar]
- Thiele-Bruhn, S. Pharmaceutical Antibiotic Compounds in Soils—A Review. J. Plant Nutr. Soil Sci. 2003, 166, 145–167. [Google Scholar] [CrossRef]
- Wols, B.A.; Hofman-Caris, C.H.M. Review of Photochemical Reaction Constants of Organic Micropollutants Required for UV Advanced Oxidation Processes in Water. Water Res. 2012, 46, 2815–2827. [Google Scholar] [CrossRef] [PubMed]
- Rosenfeldt, E.J.; Linden, K.G. The ROH,UV Concept to Characterize and the Model UV/H2O2 Process in Natural Waters. Environ. Sci. Technol. 2007, 41, 2548–2553. [Google Scholar] [CrossRef] [PubMed]
- Donham, J.E.; Rosenfeldt, E.J.; Wigginton, K.R. Photometric Hydroxyl Radical Scavenging Analysis of Standard Natural Organic Matter Isolates. Environ. Sci. Processes Impacts 2014, 16, 764–769. [Google Scholar] [CrossRef] [PubMed]
- Bolton, J.R.; Linden, K.G. Standardization of Methods for Fluence (UV Dose) Determination in Bench-Scale UV Experiments. J. Environ. Eng. 2003, 129, 209–215. [Google Scholar] [CrossRef]
- Kwon, M.; Kim, S.; Jung, Y.; Hwang, T.-M.; Stefan, M.I.; Kang, J.-W. The Impact of Natural Variation of OH Radical Demand of Drinking Water Sources on the Optimum Operation of the UV/H2O2 Process. Environ. Sci. Technol. 2019, 53, 3177–3186. [Google Scholar] [CrossRef]
- Zamy, C.; Mazellier, P.; Legube, B. Phototransformation of Selected Organophosphorus Pesticides in Dilute Aqueous Solutions. Water Res. 2004, 38, 2305–2314. [Google Scholar] [CrossRef]
- Li, Y.; Song, W.; Fu, W.; Tsang, D.C.W.; Yang, X. The Roles of Halides in the Acetaminophen Degradation by UV/H2O2 Treatment: Kinetics, Mechanisms, and Products Analysis. Chem. Eng. J. 2015, 271, 214–222. [Google Scholar] [CrossRef]
- Keen, O.S.; McKay, G.; Mezyk, S.P.; Linden, K.G.; Rosario-Ortiz, F.L. Identifying the Factors That Influence the Reactivity of Effluent Organic Matter with Hydroxyl Radicals. Water Res. 2014, 50, 408–419. [Google Scholar] [CrossRef]
- Wols, B.A.; Harmsen, D.J.H.; Beerendonk, E.F.; Hofman-Caris, C.H.M. Predicting Pharmaceutical Degradation by UV (LP)/H2O2 Processes: A Kinetic Model. Chem. Eng. J. 2014, 255, 334–343. [Google Scholar] [CrossRef]
- Yu, H.-W.; Park, M.; Wu, S.; Lopez, I.J.; Ji, W.; Scheideler, J.; Snyder, S.A. Strategies for Selecting Indicator Compounds to Assess Attenuation of Emerging Contaminants during UV Advanced Oxidation Processes. Water Res. 2019, 166, 115030. [Google Scholar] [CrossRef]
- Bolton, J.R.; Bircher, K.G.; Tumas, W.; Tolman, C.A. Figures-of-merit for the technical development and application of advanced oxidation technologies for both electric- and solar-driven systems (IUPAC Technical Report). Pure Appl. Chem. 2001, 73, 627–637. [Google Scholar] [CrossRef]
- Bolton, J.R.; Stefan, M.I. Fundamental Photochemical Approach to the Concepts of Fluence (UV Dose) and Electrical Energy Efficiency in Photochemical Degradation Reactions. Res. Chem. Intermed. 2002, 28, 857–870. [Google Scholar] [CrossRef]


| Drug | ε254 nm (M−1 cm−1) | Φ254 nm (mol ein−1) | k•OH, M (M−1s−1) | Classification | Chemical Structure |
|---|---|---|---|---|---|
| Acetaminophen | 8095 | 1.8000 | 1.70 × 109 | Analgesic | ![]() |
| Amoxicillin | 1200 | 0.3720 | 5.43 × 109 | Antibiotic | ![]() |
| Atenolol | 300 | 0.0890 | 7.10 × 109 | Antihypertension | ![]() |
| Atrazine | 3400 | 0.0477 | 2.30 × 109 | Herbicide | ![]() |
| Bisphenol A | 750 | 0.0066 | 8.00 × 109 | Xenoestrogen, hormone-like properties | ![]() |
| Caffeine | 3920 | 0.0018 | 6.40 × 109 | Stimulants | ![]() |
| Carbamazepine | 6070 | 0.0006 | 8.02 × 109 | Anticonvulsant | ![]() |
| Ciprofloxacin | 17,200 | 0.0118 | 5.94 × 109 | Antibiotic | ![]() |
| Diclofenac | 4770 | 0.2920 | 8.38 × 109 | Analgesic | ![]() |
| Ibuprofen | 256 | 0.1920 | 7.40 × 109 | Analgesic | ![]() |
| Iopromide | 21,000 | 0.0390 | 3.30 × 109 | X-ray contrast agent | ![]() |
| Ketoprofen | 15,300 | 0.2980 | 6.89 × 109 | Antibiotic | ![]() |
| Naproxen | 4000 | 0.0278 | 8.61 × 109 | Analgesic | ![]() |
| Nitrobenzene | 5560 | 0.0070 | 3.40 × 109 | Pharmaceutical | ![]() |
| Sulfamethoxazole | 13,200 | 0.0379 | 5.50 × 109 | Antibiotic | ![]() |
| Tetracycline | 8820 | 0.0038 | 7.70 × 109 | Antibiotic | ![]() |
| Compounds | Precursor Ion (m/z) | Product Ion (m/z) | Collision Energy (eV) |
|---|---|---|---|
| Atenolol | 267.17 | 145.1 a, 190.1 b | 27 a, 15 b |
| Caffeine | 195.09 | 138.1 a, 110 b | 19 a, 36 b |
| Carbamazepine | 237.10 | 194.1 a, 193.1 b | 19 a, 36 b |
| Sulfamethoxazole | 254.06 | 92 a, 108 b | 26 a, 23 b |
| Parameter | N-Filtered Water | B-Filtered Water |
|---|---|---|
| pH | 7.2 ± 0.2 | 6.9 ± 0.3 |
| Alkalinity (mg L−1 as CaCO3) | 43 ± 4 | 30 ± 2 |
| Turbidity (NTU) | 0.13 ± 0.10 | 0.31 ± 0.20 |
| TOC (mg L−1) | 1.88 ± 0.32 | 6.96 ± 0.53 |
| TDS (mg L−1) | 111 ± 3 | 133 ± 3 |
| UV254 (cm−1) | 0.022 ± 0.003 | 0.170 |
| Color (°) | 0 ± 1 | 15 ± 3 |
| T-N (mg L−1) | 2.2 ± 0.3 | 1.3 ± 0.5 |
| •OH scavenging demand (s−1) | 20,659 ± 4907 | 82,044 ± 5071 |
| H2O2 (mg L−1) | Degradation Rate Constants (k, ×10−4, cm mJ−1) | ||||
|---|---|---|---|---|---|
| Atenolol | Caffeine | Carbamazepine | Sulfamethoxazole | ||
| N-filtered water | 0 | 0.09 | 0.82 | 0.35 | 22.23 |
| 2 | 1.52 | 0.89 | 1.84 | 23.02 | |
| 5 | 3.18 | 2.55 | 3.87 | 24.22 | |
| 10 | 6.27 | 5.11 | 7.60 | 27.98 | |
| B-filtered water | 0 | 0.24 | 0.12 | 0.30 | 19.31 |
| 2 | 1.14 | 0.72 | 1.44 | 19.50 | |
| 5 | 2.53 | 2.16 | 2.91 | 20.31 | |
| 10 | 5.03 | 3.95 | 5.58 | 22.66 | |
| PhACs Classification by Removal Characteristics | ||
|---|---|---|
| Group 1 | Group 2 | Group 3 |
| Acetaminophen Amoxicillin Diclofenac Iopromide Ketoprofen Sulfamethoxazole | Bisphenol A Carbamazepine Ibuprofen Naproxen Ciprofloxacin Tetracycline | Atenolol Atrazine Caffeine Nitrobenzene |
| N Plant | B Plant | ||||||
|---|---|---|---|---|---|---|---|
| UV254 | 0.0210 | 0.0124 | |||||
| •OH scavenging demand (s−1) | 20,659 | 82,044 | |||||
| pH | 7.2 | 7.7 | |||||
| UV dose for 90% Removal (mJ cm−2) | H2O2 for 90% Removal (mg L−1) | EED for 90% Removal (kWh m−3) | UV dose for 90% Removal (mJ cm−2) | H2O2 for 90% Removal (mg L−1) | EED for 90% Removal (kWh m−3) | ||
| Group 1 | Acetaminophen | 237 | 0 | 0.058 | 211 | 0 | 0.056 |
| Amoxicillin | 757 | 1.39 | 0.109 | 1072 | 0 | 0.116 | |
| Diclofenac | 347 | 0 | 0.065 | 343 | 0 | 0.065 | |
| Iopromide | 590 | 0 | 0.082 | 584 | 0 | 0.0820 | |
| Ketoprofen | 666 | 0 | 0.088 | 105 | 0 | 0.049 | |
| Sulfamethoxazole | 744 | 1.06 | 0.105 | 957 | 0 | 0.1080 | |
| Group 2 | Bisphenol A | 678 | 3.80 | 0.130 | 1247 | 7.43 | 0.208 |
| Carbamazepine | 510 | 2.96 | 0.109 | 1246 | 7.44 | 0.209 | |
| Ibuprofen | 702 | 3.70 | 0.130 | 1290 | 6.78 | 0.205 | |
| Naproxen | 639 | 3.15 | 0.120 | 1179 | 5.26 | 0.180 | |
| Ciprofloxacin | 766 | 3.02 | 0.127 | 1397 | 3.56 | 0.171 | |
| Tetracycline | 689 | 3.72 | 0.130 | 1266 | 6.99 | 0.205 | |
| Group 3 | Atenolol | 721 | 3.91 | 0.134 | 1325 | 7.39 | 0.214 |
| Atrazine | 1276 | 4.09 | 0.174 | 1500 | 10 | 0.254 | |
| Caffeine | 769 | 4.23 | 0.141 | 1405 | 8.23 | 0.229 | |
| Nitrobenzene | 1094 | 5.36 | 0.175 | 1954 | 9.70 | 0.282 | |
Publisher’s Note: MDPI stays neutral with regard to jurisdictional claims in published maps and institutional affiliations. |
© 2022 by the authors. Licensee MDPI, Basel, Switzerland. This article is an open access article distributed under the terms and conditions of the Creative Commons Attribution (CC BY) license (https://creativecommons.org/licenses/by/4.0/).
Share and Cite
Lee, J.; Nam, S.-H.; Koo, J.-W.; Kim, E.; Hwang, T.-M. Model Predictive Control Strategy for the Degradation of Pharmaceutically Active Compounds by UV/H2O2 Oxidation Process. Water 2022, 14, 385. https://doi.org/10.3390/w14030385
Lee J, Nam S-H, Koo J-W, Kim E, Hwang T-M. Model Predictive Control Strategy for the Degradation of Pharmaceutically Active Compounds by UV/H2O2 Oxidation Process. Water. 2022; 14(3):385. https://doi.org/10.3390/w14030385
Chicago/Turabian StyleLee, Juwon, Sook-Hyun Nam, Jae-Wuk Koo, Eunju Kim, and Tae-Mun Hwang. 2022. "Model Predictive Control Strategy for the Degradation of Pharmaceutically Active Compounds by UV/H2O2 Oxidation Process" Water 14, no. 3: 385. https://doi.org/10.3390/w14030385
APA StyleLee, J., Nam, S.-H., Koo, J.-W., Kim, E., & Hwang, T.-M. (2022). Model Predictive Control Strategy for the Degradation of Pharmaceutically Active Compounds by UV/H2O2 Oxidation Process. Water, 14(3), 385. https://doi.org/10.3390/w14030385

















