Evaluation of Soil-Water Characteristic Curve and Pore-Size Distribution of Fine-Grained Soils
Abstract
1. Introduction and Background
2. Soil Samples and Testing Methods
2.1. Soil Samples
2.2. Specimen Preparation
2.3. Saturation of Samples
2.4. Filter Papers Measurement of SWCCs
2.5. SEM Analysis
3. Results and Discussions
3.1. SWCCs of Soils
3.2. Van Genuchten SWCC Models of Soils
3.3. Effects of Initial Water Content on SWCCs
3.4. Effects of Soil Properties on SWCCs
3.5. Pore-Size Distributions (with SEM Images)
4. Conclusions
- Clayey soils compacted at OWC have greater soil suction than soils compacted at wet of OWC. The SWCCs of the samples prepared at OWC and wet of OWC converged beyond the AEV;
 - The mineral type of the soil affects SWCC. Illite-type mineral-containing soil has a higher matric suction than that containing kaolin-type minerals;
 - The soil with high plasticity and activity reached a higher matric suction depending on its mineral type, although the clay content was lower. AEV decreased as plasticity decreased in cognate samples;
 - The effect of the clay percentage is more pronounced in silty soils than in plasticity. The lower the clay percentage in these soils, the lower the suction value at the same water content. The resistance to water loss and the AEV decreased as the clay content decreased. The SWCCs of the compacted samples converged as the water content decreased;
 - SWCCs of the clayey samples consolidated from slurry were located above the compacted samples. Notably, the SWCCs of the samples consolidated from the slurry in clayey and silty soils converge in the residual zone. The AEVs of these samples were lower than those of the compacted samples. Compaction properties affect the properties and shape of the SWCC;
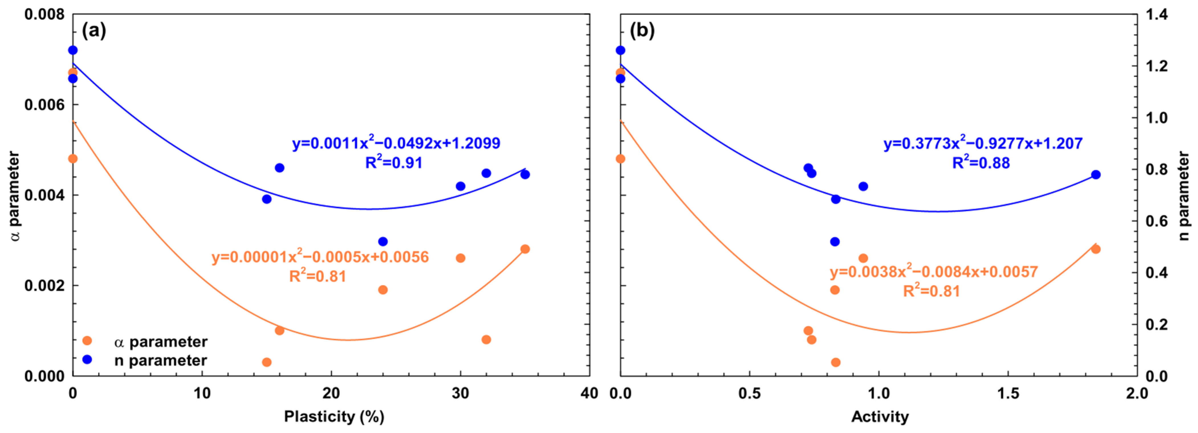
 - The air entry and residual water contents rose as the void ratio, liquid limit, clay content, and plasticity increased. VG α and n parameters have high values in non-plastic or non-active soils. These values decreased up to 25% plasticity and 1.0 activity, after which they showed a partial increase or remained constant;
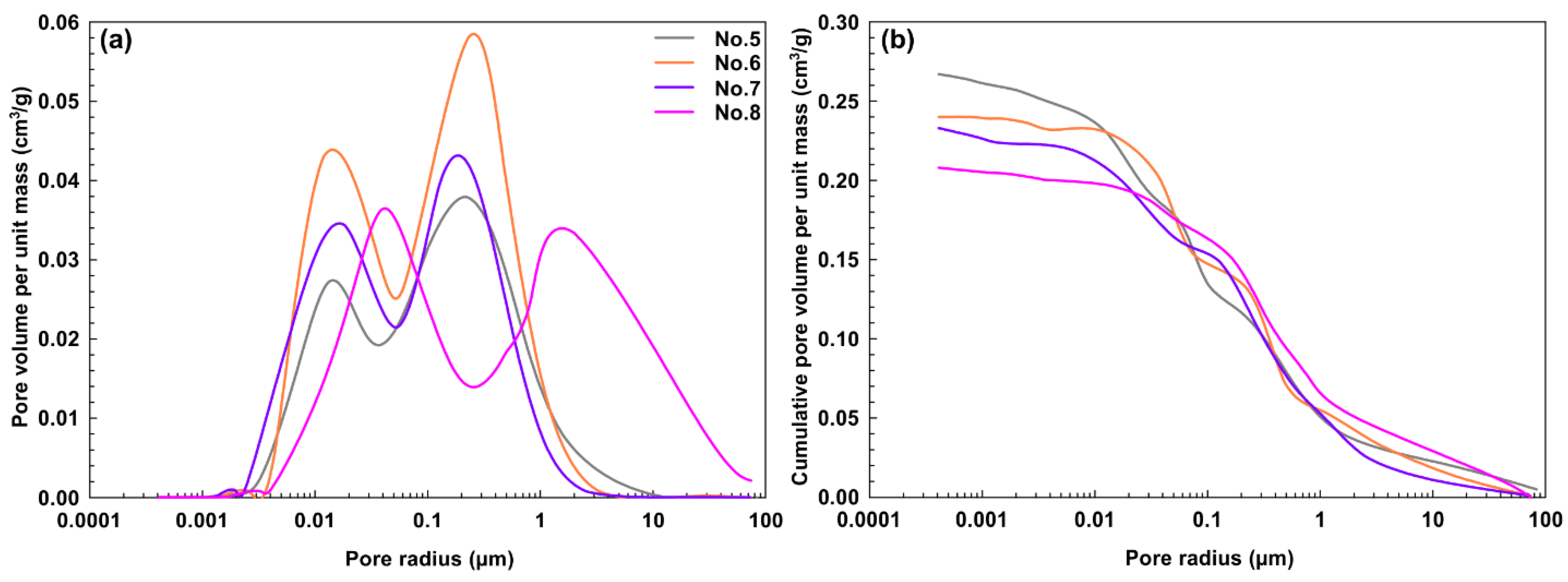
 - Samples prepared showed bimodal PSDs irrespective of the preparation method. SEM images of the samples confirmed that situation. Compaction conditions strongly affected the intergranular spaces, but this effect was limited to the intragranular pores. The largest intergranular pore radius was encountered in the sample consolidated from slurry, and the smallest intergranular pore radius in the compacted at OWC. This situation is also supported by SEM analysis. Macropore sizes in slurry samples are close to 100 times the micropore sizes. This ratio is around 10 in samples prepared with OWC;
 - The cumulative pore volume of the samples consolidated from the slurry is higher than that of the compaction samples. The pore sizes of silty samples dominating the micro and macropore modes are twice that of the clayey samples. The cumulative pore volume decreased as the clay content decreased in silty samples. There is a quadratic relationship between the void ratio and the cumulative pore volume. In addition, the micropore mode peak decreased with increasing clay content. An exponential relationship was found between them.
 
Author Contributions
Funding
Data Availability Statement
Acknowledgments
Conflicts of Interest
References
- Fredlund, M.D.; Sillers, W.S.; Fredlund, D.G.; Wilson, G.W. Design of a knowledge-based system for unsaturated soil properties. In Proceedings of the Third Canadian Conference on Computing in Civil and Building Engineering, Montreal, QC, Canada, 26–28 August 1996; pp. 659–677. [Google Scholar]
 - Barbour, S.L. Nineteenth Canadian Geotechnical Colloquium: The soil-water characteristic curve: A historical perspective. Can. Geotech. J. 1998, 35, 873–894. [Google Scholar] [CrossRef]
 - Ng, C.W.; Pang, Y.W. Influence of stress state on soil-water characteristics and slope stability. J. Geotech. Geoenviron. Eng. 2000, 126, 157–166. [Google Scholar] [CrossRef]
 - Vanapalli, S.K.; Salinas, L.M.; Avila, D.; Karube, D. Suction and storage characteristics of unsaturated soils. In Unsaturated Soils, Proceedings of the Third International Conference on Unsaturated Soils, Recife, Brazil, 10–13 March 2002; CRC Press: Boca Raton, FL, USA, 2004; Volume 3, p. 3. [Google Scholar]
 - Fredlund, D.G.; Sheng, D.; Zhao, J. Estimation of soil suction from the soil-water characteristic curve. Can. Geotech. J. 2011, 48, 186–198. [Google Scholar] [CrossRef]
 - Fredlund, D.G.; Rahardjo, H.; Fredlund, M.D. Unsaturated Soil Mechanics in Engineering Practice; John Wiley & Sons: Hoboken, NJ, USA, 2012. [Google Scholar] [CrossRef]
 - Nam, S.; Gutierrez, M.; Diplas, P.; Petrie, J.; Wayllace, A.; Lu, N.; Muñoz, J.J. Comparison of testing techniques and models for establishing the swcc of riverbank soils. Eng. Geol. 2010, 110, 1–10. [Google Scholar] [CrossRef]
 - Fleureau, J.M.; Verbrugge, J.C.; Huergo, P.J.; Correia, A.G.; Kheirbek-Saoud, S. Aspects of the behaviour of compacted clayey soils on drying and wetting paths. Can. Geotech. J. 2002, 39, 1341–1357. [Google Scholar] [CrossRef]
 - Zhou, J.; Jian-Lin, Y. Influences affecting the soil-water characteristic curve. J. Zhejiang Univ.-Sci. A 2005, 6, 797–804. [Google Scholar] [CrossRef]
 - Edil, T.B.; Motan, S.E. Soil-water potential and resilient behavior of subgrade soils. Transp. Res. Rec. 1979, 705, 54–63. [Google Scholar]
 - Vanapalli, S.K.; Fredlund, D.G.; Pufahl, D.E. Influence of soil structure and stress history on the soil-water characteristics of a compacted till. Geotechnique 1999, 49, 143–159. [Google Scholar] [CrossRef]
 - Marinho, F.A.; Stuermer, M.M. The influence of the compaction energy on the swcc of a residual soil. In Advances in Unsaturated Geotechnics; ASCE: Reston, VA, USA, 2000; pp. 125–141. [Google Scholar]
 - Pham, H.Q.; Fredlund, D.G. Equations for the entire soil-water characteristic curve of a volume change soil. Can. Geotech. J. 2008, 45, 443–453. [Google Scholar] [CrossRef]
 - Elkady, T.Y.; Al-Mahbashi, A.; Dafalla, M.; Al-Shamanic, M. Effect of compaction state on the soil-water characteristic curves of sand–natural expansive clay mixtures. Eur. J. Environ. Civ. Eng. 2015, 21, 289–302. [Google Scholar] [CrossRef]
 - Kim, H.; Ganju, E.; Tang, D.; Prezzi, M.; Salgado, R. Matric suction measurements of compacted subgrade soils. Road Mater. Pavement Des. 2015, 16, 358–378. [Google Scholar] [CrossRef]
 - Marinho, F.A. Nature of soil-water characteristic curve for plastic soils. J. Geotech. Geoenviron. Eng. 2005, 131, 654–661. [Google Scholar] [CrossRef]
 - Tinjum, J.M.; Benson, C.H.; Blotz, L.R. Soil-water characteristic curves for compacted clays. J. Geotech. Geoenviron. Eng. 1997, 123, 1060–1069. [Google Scholar] [CrossRef]
 - Miller, C.J.; Yesiller, N.; Yaldo, K.; Merayyan, S. Impact of soil type and compaction conditions on soil water characteristic. J. Geotech. Geoenviron. Eng. 2002, 128, 733–742. [Google Scholar] [CrossRef]
 - Zhou, W.G.; Bao, Y.L.; Zhou, H.B. Research on soil-water characteristic curve of unsaturated mixed soil in west Sichuan. Appl. Mech. Mater. 2013, 353, 996–1000. [Google Scholar] [CrossRef]
 - Pedarla, A.; Puppala, A.J.; Hoyos, L.R. Swelling behavior of expansive clays incorporating mineralogy and pore size distribution via SWCC. In Advances in Unsaturated Soil, 1st ed.; CRC Press: London, UK, 2013; p. 305. [Google Scholar]
 - Xu, X.; Zhang, F.Y.; Gu, M. Experimental research on soil-water characteristic curve of unsaturated soils. Appl. Mech. Mater. 2013, 353, 554–557. [Google Scholar] [CrossRef]
 - Pulat, H.F.; Yukselen-Aksoy, Y.; Egeli, I. The effect of soil mineralogy and pore fluid chemistry on the suction and swelling behavior of soils. Bull. Eng. Geol. Environ. 2014, 73, 37–42. [Google Scholar] [CrossRef][Green Version]
 - Lu, N.; Likos, W.J. Unsaturated Soil Mechanics; Wiley: Hoboken, NJ, USA, 2004. [Google Scholar]
 - Sillers, W.S.; Fredlund, D.G.; Zakerzadeh, N. Mathematical attributes of some soil—Water characteristic curve models. In Unsaturated Soil Concepts and Their Application in Geotechnical Practice; Springer Science & Business Media: Dordrecht, The Netherlands, 2001; pp. 243–283. [Google Scholar] [CrossRef]
 - Li, X.; Zhang, L.M. Characterization of dual-structure pore-size distribution of soil. Can. Geotech. J. 2009, 46, 129–141. [Google Scholar] [CrossRef]
 - Wan, A.W.L.; Gray, M.N.; Graham, J. On the relations of suction, moisture content, and soil structure in compacted clays. In Unsaturated Soils, Proceedings of the First International Conference on Unsaturated Soils, Paris, France, 6–8 September 1995; Balkema: Rotterdam, The Netherlands; Volume 1, pp. 215–222.
 - Zaffar, M.; Lu, S.-G. Pore size distribution of clayey soils and its correlation with soil organic matter. Pedosphere 2015, 25, 240–249. [Google Scholar] [CrossRef]
 - Thom, R.; Sivakumar, R.; Sivakumar, V.; Murray, E.J.; Mackinnon, P. Pore size distribution of unsaturated compacted kaolin: The initial states and final states following saturation. Géotechnique 2007, 57, 469–474. [Google Scholar] [CrossRef]
 - Thieu, N.T.M.; Fredlund, M.D.; Fredlund, D.G.; Hung, V.Q. Seepage modeling in a saturated/unsaturated soil system. In Proceedings of the International Conference on Management of the Land and Water Resources, Hanoi, Vietnam, 20–22 October 2001; pp. 20–22. [Google Scholar]
 - Van Genuchten, M.T. A closed-form equation for predicting the hydraulic conductivity of unsaturated soils. Soil Sci. Soc. Am. J. 1980, 44, 892–898. [Google Scholar] [CrossRef]
 - Fredlund, D.G.; Xing, A. Equations for the soil-water characteristic curve. Can. Geotech. J. 1994, 31, 521–532. [Google Scholar] [CrossRef]
 - Wösten, J.H.M.; Lilly, A.; Nemes, A.; Le Bas, C. Development and use of a database of hydraulic properties of European soils. Geoderma 1999, 90, 169–185. [Google Scholar] [CrossRef]
 - ASTM D854; Standard Test Method for Specific Gravity of Soil Solids by Water Pycnometer. ASTM: West Conshohocken, PA, USA, 2006.
 - ASTM D4318; Standard Test Methods for Liquid Limit, Plastic Limit and Plasticity Index of Soils. ASTM: West Conshohocken, PA, USA, 2000.
 - ASTM D6913; Standard Test Methods for Particle-Size Distribution (Gradation) of Soils Using Sieve Analysis. ASTM: West Conshohocken, PA, USA, 2009.
 - ASTM D7928; Standard Test Method for Particle-Size Distribution (Gradation) of Fine-Grained Soils Using the Sedimentation (Hydrometer) Analysis. ASTM: West Conshohocken, PA, USA, 2017.
 - ASTM D1557; Standard Test Methods for Laboratory Compaction Characteristics of Soil Using Modified Effort. ASTM: West Conshohocken, PA, USA, 2009.
 - ASTM D2487; Standard Practice for Classification of Soils for Engineering Purposes (Unified Soil Classification System). ASTM: West Conshohocken, PA, USA, 2006.
 - Skempton, A.W. The colloidal activity of clays. In Selected Papers on Soil Mechanics; Thomas Telford Publishing: London, UK, 1953; pp. 106–118. [Google Scholar]
 - Kuerbis, R.; Vaid, Y.P. Sand sample preparation-the slurry deposition method. Soils Found. 1988, 28, 107–118. [Google Scholar] [CrossRef]
 - Carraro, J.A.H.; Prezzi, M. A new slurry-based method of preparation of specimens of sand containing fines. Geotech. Test. J. 2008, 31, 1–11. [Google Scholar] [CrossRef]
 - Krage, C.P.; Price, A.B.; Lukas, W.G.; DeJong, J.T.; DeGroot, D.J.; Boulanger, R.W. Slurry deposition method of low-plasticity intermediate soils for laboratory element testing. Geotech. Test. J. 2019, 43, 1269–1285. [Google Scholar] [CrossRef]
 - Liu, W.; Tang, X.; Yang, Q. A slurry consolidation method for reconstitution of triaxial specimens. KSCE J. Civ. Eng. 2017, 21, 150–159. [Google Scholar] [CrossRef]
 - ASTM D5298; Standard Test Method for Measurement of Soil Potential (Suction) Using Filter Paper. ASTM: West Conshohocken, PA, USA, 2010.
 - Marinho, F.A.M.; Chandler, R.J. Aspects of the behavior of clays on drying. In Unsaturated Soils; ASCE: Reston, VA, USA, 1993; pp. 77–90. [Google Scholar]
 - Meerdink, J.S.; Benson, C.H.; Khire, M.V. Unsaturated hydraulic conductivity of two compacted barrier soils. J. Geotech. Eng. 1996, 122, 565–576. [Google Scholar] [CrossRef]
 - Weast, R.C.; Astle, M.J.; Beyer, W.H. CRC Handbook of Chemistry and Physics, 65th ed.; CRC Press: Boca Raton, FL, USA, 1981. [Google Scholar]
 - Halsey, G. Physical adsorption on non-uniform surfaces. J. Chem. Phys. 1948, 16, 931–937. [Google Scholar] [CrossRef]
 - Livingston, K. The cross-sectional areas of molecules adsorbed on solid surfaces. J. Colloid Sci. 1949, 4, 447–458. [Google Scholar] [CrossRef]
 - Burton, G.J.; Sheng, D.; Campbell, C. Bimodal pore size distribution of a high-plasticity compacted clay. Géotechnique Lett. 2014, 4, 88–93. [Google Scholar] [CrossRef]
 


















| Soil | Liquid Limit (LL)% | Plastic Limit (PL)% | Plasticity Index (PI)% | Specific Gravity (Gs) | %Clay | %Silt | %Sand | USCS Class  | Optimum Water Content (wopt)% | Max.Unit Weight (γk, max) kN/m3 | Activity (Ac) | 
|---|---|---|---|---|---|---|---|---|---|---|---|
| No. 1 | 48 | 16 | 32 | 2.78 | 43 | 50 | 7 | CL | 11.5 | 19.3 | 0.74 | 
| No. 2 | 40 | 16 | 24 | 2.79 | 29 | 59 | 12 | CL | 11.0 | 20.7 | 0.83 | 
| No. 3 | 60 | 25 | 35 | 2.75 | 19 | 78 | 3 | CH | 15.0 | 18.2 | 1.84 | 
| No. 4 | 44 | 14 | 30 | 2.76 | 32 | 49 | 19 | CL | 15.0 | 18.2 | 0.94 | 
| No. 5 | 40 | 24 | 16 | 2.66 | 22 | 77 | 1 | CL | 0.73 | ||
| No. 6 | 36 | 21 | 15 | 2.76 | 18 | 78 | 4 | CL | 0.83 | ||
| No. 7 | 33 | NP | NP | 2.67 | 14 | 68 | 18 | ML | 0 | ||
| No. 8 | 34 | NP | NP | 2.78 | 10 | 67 | 23 | ML | 0 | 
| Soil | Mineral Composition | ||
|---|---|---|---|
| No. 1 | Calcite | Quartz | Kaolinite | 
| No. 2 | Calcite | Quartz | Kaolinite | 
| No. 3 | Quartz | Glauconite | Lizardite | 
| No. 4 | Quartz | Glauconite | Lizardite | 
| No. 5 | Quartz | Kaolinite | Hematite | 
| No. 6 | Quartz | Kaolinite | Hematite | 
| No. 7 | Quartz | Feldspar | Kaolinite | 
| No. 8 | Quartz | Feldspar | Kaolinite | 
| Soil | Compaction Condition | Water Content (%) | Soil Suction (kPa) | 
|---|---|---|---|
| No. 1 | OWC | 10.90 | 3080.10 | 
| Wet side of OWC | 16.20 | 750.20 | |
| No. 2 | OWC | 11.10 | 1945.90 | 
| Wet side of OWC | 15.80 | 575.80 | |
| No. 3 | OWC | 14.70 | 8651.30 | 
| Wet side of OWC | 20.70 | 1095.80 | |
| No. 4 | OWC | 15.20 | 4944.90 | 
| Wet side of OWC | 20.20 | 510.40 | 
| Soil | Preparation Method | wae (%) | AEV (kPa) | wr (%) | α | n | 
|---|---|---|---|---|---|---|
| No. 1 | Compacted at OWC | 17.2 | 81 | 0.06 | 0.0016 | 0.7362 | 
| Compacted at wet of OWC | 19.8 | 113 | 0.01 | 0.0004 | 0.5310 | |
| Consolidated from slurry | 31.9 | 240 | 0.15 | 0.0008 | 0.7835 | |
| No. 2 | Compacted at OWC | 13.6 | 242 | 0.13 | 0.0003 | 0.7344 | 
| Compacted at wet of OWC | 18.0 | 392 | 0.01 | 0.0001 | 0.6914 | |
| Consolidated from slurry | 30.5 | 33 | 0.15 | 0.0019 | 0.5188 | |
| No. 3 | Compacted at OWC | 19.6 | 73 | 0.12 | 0.0052 | 1.0084 | 
| Compacted at wet of OWC | 22.2 | 169 | 0.04 | 0.0002 | 0.6836 | |
| Consolidated from slurry | 43.6 | 69 | 0.09 | 0.0028 | 0.7788 | |
| No. 4 | Compacted at OWC | 17.5 | 62 | 0.03 | 0.0025 | 0.6494 | 
| Compacted at wet of OWC | 20.6 | 107 | 0.01 | 0.0007 | 0.5575 | |
| Consolidated from slurry | 32.0 | 75 | 0.10 | 0.0026 | 0.7336 | |
| No. 5 | Consolidated from slurry | 32.0 | 114 | 0.07 | 0.0010 | 0.8046 | 
| No. 6 | Consolidated from slurry | 27.1 | 98 | 0.05 | 0.0003 | 0.6835 | 
| No. 7 | Consolidated from slurry | 24.9 | 70 | 0.01 | 0.0048 | 1.1498 | 
| No. 8 | Consolidated from slurry | 22.6 | 49 | 0.03 | 0.0067 | 1.2594 | 
| Relationship | Equation | R2 | Notes | 
|---|---|---|---|
| Air entry water content (wae)-void ratio (e) | 5.8023e2 + 25.704e + 4.7207 | 0.99 | |
| Residual water content(wr)-void ratio (e) | 1.3633e2 − 1.6643e + 0.5277 | 0.77 | Except for No. 3 | 
| Air entry water content (wae)-liquid limit (LL) | −0.0007LL2 + 0.7473LL + 0.6405 | 0.91 | |
| Residual water content (wr)-liquid limit (LL) | −0.0005LL2 + 0.453LL − 0.9863 | 0.77 | Except for No. 3 | 
| Air entry water content (wae)-plasticity (PI) | 0.0082PI2 + 0.1139PI + 24.153 | 0.73 | |
| Residual water content (wr)-plasticity (PI) | −0.00007PI2 + 0.0053PI + 0.154 | 0.70 | |
| Air entry water content (wae)-clay (C%) | −0.0159C2 + 1.1229C + 12.811 | 0.93 | Except for No. 3 | 
| Residual water content (wr)-clay (C%) | −0.00008C2 + 0.0085C − 0.0646 | 0.79 | |
| VG α parameter-plasticity (PI) | 0.00001PI2 − 0.0005PI + 0.0056 | 0.81 | |
| VG α parameter-activity (Ac) | 0.0038Ac2 − 0.0084Ac + 0.0057 | 0.81 | |
| VG n parameter-plasticity (PI) | 0.0011PI2 − 0.0492PI + 1.2099 | 0.91 | |
| VG n parameter-activity (Ac) | 0.3773Ac2 − 0.9277Ac + 1.207 | 0.88 | 
| Soil | Clay (%) | Preparation Method | Void Ratio (e) | Major Pore Radius (µm) | Cumulative Pore Volume per Unit Mass (cm3/gr) | Small Pores (%) | Large Pores (%) | |
|---|---|---|---|---|---|---|---|---|
| 1st Peak | 2nd Peak | |||||||
| No. 1 | Compacted at OWC | 0.48 | 0.005 | 0.10 | 0.155 | 14.8 | 85.2 | |
| 43 | Compacted at wet of OWC | 0.56 | 0.008 | 0.12 | 0.194 | 36.0 | 64.0 | |
| Consolidated from slurry | 0.89 | 0.005 | 0.20 | 0.237 | 51.9 | 48.1 | ||
| No. 2 | Compacted at OWC | 0.40 | 0.015 | 0.10 | 0.116 | 50.8 | 49.2 | |
| 29 | Compacted at wet of OWC | 0.51 | 0.011 | 0.25 | 0.178 | 63.5 | 36.5 | |
| Consolidated from slurry | 0.87 | 0.008 | 0.40 | 0.225 | 40.9 | 59.1 | ||
| No. 3 | Compacted at wet of OWC | 0.55 | 0.003 | 0.11 | 0.139 | 40.3 | 59.7 | |
| 19 | Compacted at wet of OWC | 0.62 | 0.012 | 0.38 | 0.216 | 51.4 | 48.6 | |
| Consolidated from slurry | 1.19 | 0.008 | 0.45 | 0.352 | 42.6 | 57.4 | ||
| No. 4 | Compacted at wet of OWC | 0.51 | 0.005 | 0.07 | 0.135 | 57.0 | 43.0 | |
| 32 | Compacted at wet of OWC | 0.59 | 0.004 | 0.09 | 0.166 | 63.2 | 36.8 | |
| Consolidated from slurry | 0.92 | 0.005 | 0.22 | 0.236 | 42.4 | 57.6 | ||
| No. 5 | 22 | Consolidated from slurry | 0.85 | 0.012 | 0.21 | 0.261 | 27.9 | 72.1 | 
| No. 6 | 18 | Consolidated from slurry | 0.75 | 0.012 | 0.22 | 0.239 | 17.2 | 82.8 | 
| No. 7 | 14 | Consolidated from slurry | 0.66 | 0.018 | 0.20 | 0.223 | 28.3 | 71.7 | 
| No. 8 | 10 | Consolidated from slurry | 0.63 | 0.030 | 1.50 | 0.200 | 44.2 | 55.8 | 
Publisher’s Note: MDPI stays neutral with regard to jurisdictional claims in published maps and institutional affiliations.  | 
© 2022 by the authors. Licensee MDPI, Basel, Switzerland. This article is an open access article distributed under the terms and conditions of the Creative Commons Attribution (CC BY) license (https://creativecommons.org/licenses/by/4.0/).
Share and Cite
Kocaman, K.; Ozocak, A.; Edil, T.B.; Bol, E.; Sert, S.; Onturk, K.; Ozsagir, M. Evaluation of Soil-Water Characteristic Curve and Pore-Size Distribution of Fine-Grained Soils. Water 2022, 14, 3445. https://doi.org/10.3390/w14213445
Kocaman K, Ozocak A, Edil TB, Bol E, Sert S, Onturk K, Ozsagir M. Evaluation of Soil-Water Characteristic Curve and Pore-Size Distribution of Fine-Grained Soils. Water. 2022; 14(21):3445. https://doi.org/10.3390/w14213445
Chicago/Turabian StyleKocaman, Kadir, Askin Ozocak, Tuncer B. Edil, Ertan Bol, Sedat Sert, Kurban Onturk, and Mustafa Ozsagir. 2022. "Evaluation of Soil-Water Characteristic Curve and Pore-Size Distribution of Fine-Grained Soils" Water 14, no. 21: 3445. https://doi.org/10.3390/w14213445
APA StyleKocaman, K., Ozocak, A., Edil, T. B., Bol, E., Sert, S., Onturk, K., & Ozsagir, M. (2022). Evaluation of Soil-Water Characteristic Curve and Pore-Size Distribution of Fine-Grained Soils. Water, 14(21), 3445. https://doi.org/10.3390/w14213445
        
