A Novel Slug Heat Test Theoretical and Indoor Model Research for Determining Thermal Property Parameters of Aquifers and Rock-Soil Skeletons
Abstract
:1. Introduction
2. Theoretical Model of the Slug Heat Test
2.1. Establishment of Mathematical Model
2.2. Model Solution
2.2.1. Solution of the Theoretical Model When u = 0
2.2.2. Solution of the Theoretical Model When u ≠ 0
2.2.3. Standard Curve Plotting and Parameter Calculation Method
3. Construction of an Indoor Test Platform and Slug Heat Test
3.1. Test Platform
3.2. Test Instrument and Method
4. Analysis of the Slug Heat Test Results
4.1. Analysis of Slug Heat Test Results in the Case of u = 0
4.2. Analysis of Slug Heat Test Results in the Case of u ≠ 0
5. Numerical Simulation of the Slug Heat Test Model
5.1. Numerical Model Establishment of the Slug Heat Test
5.2. Analysis of Numerical Simulation
5.2.1. Analysis of Simulation Results in the Case of u = 0
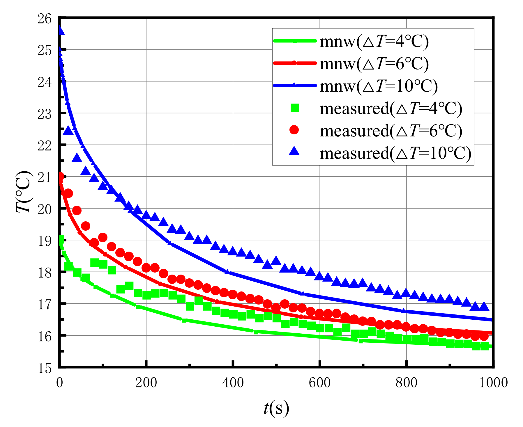
5.2.2. Analysis of the Simulation Results in the Case of u ≠ 0
6. Conclusions
- Based on the thermal radial convection-dispersion theory and the principle of heat conservation, a theoretical model of the slug heat test was established. The theoretical model of the slug heat test was solved by using the Stehfest algorithm and Talbot algorithm to obtain multiple sets of standard curves under different hydrodynamic conditions, and a specific calculation method for determining the thermal property parameters of aquifers and rock-soil skeletons based on the slug heat test was proposed.
- Slug heat tests were conducted in the indoor confined aquifer platform, and the slug heat test data under different hydrodynamic conditions were fitted with standard curves to obtain the thermal property parameters including effective thermal conductivity, stagnant thermal conductivity, thermal mechanical dispersion coefficient, thermal dispersive degree, thermal diffusivity, heat capacity of aquifer, rock-soil skeletons heat capacity and thermal conductivity. The effective thermal conductivity of the aquifer also clearly increases with the increase of flow rate. The excitation temperature difference had little effect on the effective thermal conductivity of the aquifer. At the same time, the numerical simulation method was used to compare and verify the temperature change laws and trends of simulation calculation values under the same test conditions with measured values with time. The research results show that the slug heat test has the characteristics of high applicability, simple operation and rapid test, and can effectively determine the thermal property parameters of aquifers and rock-soil skeletons.
- The slug heat test model assumes that the radius of the excitation device is the same as the radius of the test well. Therefore, the radius of the excitation device should be as close as possible to the radius of the test well when conducting the slug heat test. In addition, the influences and factors of different seepage conditions and temperature excitation strengths on the calculation results of thermal property parameters of aquifers and rock-soil skeletons by slug heat tests need to be further studied. Meanwhile, since the slug heat test only changes the temperature field in a small range around the test well, the thermal property parameters calculated by the slug heat test only represent the thermal property parameters of the aquifer and the rock-soil skeleton in a small range around the test well, and the scale effect of the slug heat test needs to be further investigated.
- At present, according to the theoretical and indoor test model research conclusions of the slug heat test, the application of slug heat test in fractured rock mass aquifer is uncertain and needs to be further studied. At the same time, since the regular circular hydrogeological boundary is used in the indoor test model, the influence of the irregular hydrogeological boundary of the test site on the slug heat test needs to be further studied in the field test.
Author Contributions
Funding
Institutional Review Board Statement
Informed Consent Statement
Data Availability Statement
Acknowledgments
Conflicts of Interest
References
- Aresti, L.; Christodoulides, P.; Florides, G. A review of the design aspects of ground heat exchangers. Renew. Sustain. Energy Rev. 2018, 92, 757–773. [Google Scholar] [CrossRef]
- Zhou, Y.; Zhang, H.; Gui, Z.; Wang, K.; Zhang, Y. Study on influencing factors of comprehensive thermal conductivity of rock and soil. Geol. Surv. China 2018, 5, 89–94. [Google Scholar] [CrossRef]
- Pan, M.; Huang, Q.; Feng, R.; Huang, G. Estimation of water and heat transfer parameters of saturated silica sand by using different types of data. Trans. Chin. Soc. Agric. Eng. 2020, 36, 75–82. [Google Scholar] [CrossRef]
- Mo, X.; Di, W.; Liangwen, J.; Jihong, Q. Review on Thermal Conductivity Coefficient of Rock and Soil Mass. J. Earth Sci. Environ. 2011, 33, 421–427+433. [Google Scholar] [CrossRef]
- Li, B.; Han, Z.; Hu, H.; Bai, C. Study on the effect of groundwater flow on the identification of thermal properties of soils. Renew. Energy 2020, 147, 2688–2695. [Google Scholar] [CrossRef]
- Yuqun, X.; X. C. Study on Heat Transfer in Porous Media. Geotech. Investig. Surv. 1990, 3, 27–32. [Google Scholar]
- Van der Heijde, P.; Bachmat, Y.; Bredehoeft, J.; Andrews, B.; Holtz, D.; Sebastian, S. Groundwater Management: The Use of Numerical Models; American Geophysical Union: Washington, DC, USA, 1980; Volume 5. [Google Scholar]
- Wu, Z.-W.; Song, H.-Z. Numerical simulation of thermal convection in shallow ground temperature field. Yantu Lixue Rock Soil Mech. 2010, 31, 1303–1308. [Google Scholar]
- Liu, G.-Q.; Zhou, Z.-F.; Li, Z.-F.; Zhou, Y.-Z. Experimental study of heat transfer and thermal dispersion effect assessment in small scale aquifer. Yantu Lixue Rock Soil Mech. 2015, 36, 171–177. [Google Scholar] [CrossRef]
- Zhang, L.; Zhao, L.; Yang, L.; Songtao, H. Analyses on soil temperature responses to intermittent heat rejection from BHEs in soils with groundwater advection. Energy Build. 2015, 107, 355–365. [Google Scholar] [CrossRef]
- Spitler, J.D.; Javed, S.; Ramstad, R.K. Natural convection in groundwater-filled boreholes used as ground heat exchangers. Appl. Energy 2016, 164, 352–365. [Google Scholar] [CrossRef]
- Wei, L.F.A.; Xiaoming, H. Theory and Application of Heat and Mass Transfer in Porous Media; Science Press: Beijing, China, 2006. [Google Scholar]
- Predvoditelev, A.; Pomerantsev, A.; Bubnov, V. Heat and Mass Transfer (Handbook): A. V. Luikov, Energiya, Moscow (1972). Int. J. Heat Mass Transf. 1973, 16, 1062–1063. [Google Scholar] [CrossRef]
- Palmer, C.D.; Blowes, D.W.; Frind, E.O.; Molson, J.W. Thermal energy storage in an unconfined aquifer: 1. Field Injection Experiment. Water Resour. Res. 1992, 28, 2845–2856. [Google Scholar] [CrossRef]
- Molina-Giraldo, N.; Bayer, P.; Blum, P. Evaluating the influence of thermal dispersion on temperature plumes from geothermal systems using analytical solutions. Int. J. Therm. Sci. 2011, 50, 1223–1231. [Google Scholar] [CrossRef]
- Metzger, T.; Didierjean, S.; Maillet, D. Optimal experimental estimation of thermal dispersion coefficients in porous media. Int. J. Heat Mass Transf. 2004, 47, 3341–3353. [Google Scholar] [CrossRef]
- Xue, Y.; Xie, C.; Li, Q. A Thermal Energy Storage Model for a Confined Aquifer. Dev. Water Sci. 1988, 36, 337–342. [Google Scholar] [CrossRef]
- Hailin, Z. Theoretical and Experimental Research on the Model Accuracy Improvement of Effective Thermal Conductivity of the Disperse System; North China Electric Power University: Hebei, China, 2004. [Google Scholar]
- Shi, Y.-F.; Liu, H.; Sun, W.-C. Experiment and numerical simulation of effective thermal conductivity of porous media. Sichuan Daxue Xuebao Gongcheng Kexue Ban J. Sichuan Univ. 2011, 43, 198–203. [Google Scholar] [CrossRef]
- Albert, K.; Franz, C.; Koenigsdorff, R.; Zosseder, K. Inverse estimation of rock thermal conductivity based on numerical microscale modeling from sandstone thin sections. Eng. Geol. 2017, 231, 1–8. [Google Scholar] [CrossRef]
- Alishaev, M.; Abdulagatov, I.; Abdulagatova, Z. Effective thermal conductivity of fluid-saturated rocks: Experiment and modeling. Eng. Geol. 2012, 135–136, 24–39. [Google Scholar] [CrossRef]
- Zhang, Y.; Hao, S.; Yu, Z.; Fang, J.; Zhang, J.; Yu, X. Comparison of test methods for shallow layered rock thermal conductivity between in situ distributed thermal response tests and laboratory test based on drilling in northeast China. Energy Build. 2018, 173, 634–648. [Google Scholar] [CrossRef]
- Yu, M.Z.; Peng, X.F.; Li, X.D.; Fang, Z.H. A Simplified Model for Measuring Thermal Properties of Deep Ground Soil. Exp. Heat Transf. 2004, 17, 119–130. [Google Scholar] [CrossRef]
- Mogensen, P. Fluid to duct wall heat transfer in duct system heat storages. In Proceedings of the International Conference on Subsurface Heat Storage in Theory and Practice, Stockholm, Sweden, 6–8 June 1983; Volume 16, pp. 652–657. [Google Scholar]
- Wang, S.; You, S.; Zhang, G. Application of geo-thermal response test in the design of ground heat exchanger. Taiyangneng Xuebao Acta Energ. Sol. Sin. 2007, 28, 405–409. [Google Scholar] [CrossRef]
- Kwong, S.S.; Smith, J.M. Radial Heat Transfer in Packed Beds. Ind. Eng. Chem. 2002, 49, 894–903. [Google Scholar] [CrossRef]
- Côté, J.; Konrad, J.-M. Assessment of structure effects on the thermal conductivity of two-phase porous geomaterials. Int. J. Heat Mass Transf. 2009, 52, 796–804. [Google Scholar] [CrossRef]
- Carson, J.K.; Sekhon, J.P. Simple determination of the thermal conductivity of the solid phase of particulate materials. Int. Commun. Heat Mass Transf. 2010, 37, 1226–1229. [Google Scholar] [CrossRef]
- Xiaolin, Z. The Research of Effective Conductivity in the Porous Media; Dalian University of Technology: Dalian, China, 2009. [Google Scholar]
- Shi, M.-H.F.H. A Fractal Modal for Evaluating Heat Conduction in Porous Media. J. Therm. Sci. Technol. 2002, 28–31. [Google Scholar] [CrossRef]
- Yu, B.; Li, J. Some Fractal Characters of Porous Media. Fractals Complex Geom. Patterns Scaling Nat. Soc. 2001, 9, 365–372. [Google Scholar] [CrossRef]
- Qin, X.; Cai, J.; Xu, P.; Dai, S.; Gan, Q. A fractal model of effective thermal conductivity for porous media with various liquid saturation. Int. J. Heat Mass Transf. 2019, 128, 1149–1156. [Google Scholar] [CrossRef]
- Shen, Y.; Xu, P.; Qiu, S.; Rao, B.; Yu, B. A generalized thermal conductivity model for unsaturated porous media with fractal geometry. Int. J. Heat Mass Transf. 2020, 152, 119540. [Google Scholar] [CrossRef]
- Feng, Y.; Yu, B.; Zou, M.; Xu, P. A Generalized Model for the Effective Thermal Conductivity of Unsaturated Porous Media Based on Self-Similarity. J. Porous Media 2007, 10, 551–568. [Google Scholar] [CrossRef]
- Yanrong, Z.; Zhifang, Z. Comparative study on field slug tests to determine aquifer permeability based on Kipp model and CBP model. Geotech. Investig. Surv. 2012, 40, 32–38. [Google Scholar]
- McElwee, C. Improving the analysis of slug tests. J. Hydrol. 2002, 269, 122–133. [Google Scholar] [CrossRef]
- Zhao, Y.-R.; Zhou, Z.-F. A Field Test Data Research Based on a New Hydraulic Parameters Quick Test Technology. J. Hydrodyn. 2010, 22, 562–571. [Google Scholar] [CrossRef]
- Zhao, Y.; Wei, Y.; Dong, X.; Rong, R.; Wang, J.; Wang, H. The Application and Analysis of Slug Test on Determining the Permeability Parameters of Fractured Rock Mass. Appl. Sci. 2022, 12, 7569. [Google Scholar] [CrossRef]
- Zhao, Y.; Zhang, Z.; Rong, R.; Dong, X.; Wang, J. A new calculation method for hydrogeological parameters from unsteady-flow pumping tests with a circular constant water-head boundary of finite scale. Q. J. Eng. Geol. Hydrogeol. 2022, 55. [Google Scholar] [CrossRef]
- Zhifang, Z. Groudwater Dynamics; Science Press: Beijing, China, 2013. [Google Scholar]
- Caisheng, C. Equations of Mathematical Physics; Science Press: Beijing, China, 2008. [Google Scholar]
- Fu, Z.-J.; Chen, W.; Qin, Q.-H. Three Boundary Meshless Methods for Heat Conduction Analysis in Nonlinear FGMs with Kirchhoff and Laplace Transformation. Adv. Appl. Math. Mech. 2012, 4, 519–542. [Google Scholar] [CrossRef]
- D’Amore, L.; Mele, V.; Campagna, R. Quality assurance of Gaver’s formula for multi-precision Laplace transform inversion in real case. Inverse Probl. Sci. Eng. 2017, 26, 553–580. [Google Scholar] [CrossRef]
- Tsai, X.Q.F.Z.C.-C. Heat conduction solution of nonlinear functionally graded material based on fundamental solution method combined with extended precision arithmetic. Comput. Aided Eng. 2016, 25, 7–14+22. [Google Scholar] [CrossRef]
- Yuqun, X.X.C. Numerical Simulation for Groundwater; Science Press: Beijing, China, 2007. [Google Scholar]














| Parameters | Value | Unit |
|---|---|---|
| Aquifer thickness | 0.8 | |
| Medium particle size | 0.25–0.50 | |
| Aquifer porosity | 0.33 | / |
| heat capacity of water | 4.18 × 106 | J/(m3·K) |
| thermal conductivity of water | 0.62 | W/(m·°C) |
| Test well radius | 4 | c |
| Radius of heat excitation device | 4 | |
| Flow Rate | 4.34–9.30 × 10−3 | cm/s |
| Test No. | Heat Capacity of Water (J/(m3·K)) | Heat Capacity of Aquifer
(J/m3·K)) | Stagnant Thermal Conductivity of Aquifer (W/(m·°C)) | Average value of
(W/(m·°C)) | |
|---|---|---|---|---|---|
| 2 | 4.18 × 106 | 2.09 × 106 | 1.67 | 1.5 | |
| 2 | 2.09 × 106 | 1.33 | |||
| 2 | 2.09 × 106 | 1.15 | 1.46 | ||
| 2 | 2.09 × 106 | 1.76 | |||
| 2 | 2.09 × 106 | 1.97 | 2.10 | ||
| 2 | 2.09 × 106 | 2.23 | |||
| Average value of stagnant thermal conductivity | 1.69 | ||||
| Stagnant Thermal Conductivity of Aquifer (W/(m·°C)) | Thermal Conductivity of Water
(W/(m·°C)) | Heat Capacity of Rock-Soil Skeleton (J/(m3·K)) | Thermal Conductivity of Rock-Soil Skeleton (W/(m·°C)) | Average Value of
(W/(m·°C)) |
|---|---|---|---|---|
| 1.5 | 0.62 | 1.06 × 106 | 1.06 | 1.2 |
| 1.46 | 1.06 × 106 | 1.03 | ||
| 2.10 | 1.06 × 106 | 1.51 |
| Test No. | Heat Capacity of Aquifer (J/(m3·K)) | Effective Thermal Conductivity of Aquifer (W/m·°C)) | Thermal Mechanical Dispersion Coefficient of Aquifer (W/(m·°C)) | Thermal Diffusivity of Aquifer (m2/s) | Flow Rate (cm/s) | Thermal Dispersive Degree of Aquifer (m) | |
|---|---|---|---|---|---|---|---|
| 2 | 2.09 × 106 | 6.69 | 5 | 3.20 × 10−6 | 4.34 × 10−3 | 0.028 | |
| 3 | 1.39 × 106 | 10.61 | 8.92 | 7.63 × 10−6 | 0.049 | ||
| 2 | 2.09 × 106 | 11.94 | 10.25 | 5.71 × 10−6 | 6.82 × 10−3 | 0.036 | |
| 2 | 2.09 × 106 | 10.78 | 9.09 | 5.16 × 10−6 | 0.032 | ||
| 2 | 2.09 × 106 | 11.94 | 10.25 | 5.71 × 10−6 | 9.30 × 10−3 | 0.026 | |
| 2 | 2.09 × 106 | 8.57 | 6.88 | 4.10 × 10−6 | 0.018 | ||
| 2 | 2.09 × 106 | 10.45 | 8.76 | 5.00 × 10−6 | 4.34 × 10−3 | 0.048 | |
| . | 2 | 2.09 × 106 | 12.86 | 11.17 | 6.15 × 10−6 | 0.062 | |
| 3 | 1.39 × 106 | 12.39 | 10.7 | 8.91 × 10−6 | 6.82 × 10−3 | 038 | |
| 2 | 2.09 × 106 | 9.04 | 7.35 | 4.33 × 10−6 | 0.026 | ||
| 3 | 1.39 × 106 | 10.62 | 8.93 | 7.64 × 10−6 | 9.30 × 10−3 | 0.023 | |
| 2 | 2.09 × 106 | 12.39 | 10.7 | 5.93 × 10−6 | 0.028 | ||
| 2 | 2.09 × 106 | 8.8 | 7.11 | 4.21 × 10−6 | 4.34 × 10−3 | 0.039 | |
| 3 | 1.39 × 106 | 6.97 | 5.28 | 5.01 × 10−6 | 0.029 | ||
| 2 | 2.09 × 106 | 11.15 | 9.46 | 5.33 × 10−6 | 6.82 × 10−3 | 0.033 | |
| 2 | 2.09 × 106 | 7.96 | 6.27 | 3.81 × 10−6 | 0.022 | ||
| 2 | 2.09 × 106 | 11.15 | 9.46 | 5.33 × 10−6 | 9.30 × 10−3 | 0.024 | |
| 3 | 1.39 × 106 | 13.13 | 11.44 | 9.45 × 10−6 | 0.029 |
| Parameters | Simulation Test No. | Value | Unit |
|---|---|---|---|
| Temperature difference | |||
| Simulation duration | 0.5 | d | |
| Aquifer porosity | 0.33 | / | |
| Thermal conductivity of rock-soil skeleton | 1.51 | W/(m·°C) | |
| 1.03 | |||
| 1.06 | |||
| Heat capacity of rock-soil skeleton | |||
| Permeability coefficient | 0.124 | cm/s | |
| Parameters | Simulation Test No. | Value | Unit |
|---|---|---|---|
| Initial conditions | |||
| Simulation duration | 0.5 | d | |
| Aquifer porosity | 0.33 | / | |
| Thermal conductivity of rock-soil skeleton | 1.06 | W/(m·°C) | |
| 1.03 | |||
| 1.51 | |||
| Heat capacity of rock-soil skeleton | |||
| Permeability coefficient | 0.124 | cm/s | |
Publisher’s Note: MDPI stays neutral with regard to jurisdictional claims in published maps and institutional affiliations. |
© 2022 by the authors. Licensee MDPI, Basel, Switzerland. This article is an open access article distributed under the terms and conditions of the Creative Commons Attribution (CC BY) license (https://creativecommons.org/licenses/by/4.0/).
Share and Cite
Zhao, Y.; Wei, Y.; Rong, R.; Dong, X.; Zhang, Z.; Huang, Y.; Wang, J. A Novel Slug Heat Test Theoretical and Indoor Model Research for Determining Thermal Property Parameters of Aquifers and Rock-Soil Skeletons. Water 2022, 14, 3020. https://doi.org/10.3390/w14193020
Zhao Y, Wei Y, Rong R, Dong X, Zhang Z, Huang Y, Wang J. A Novel Slug Heat Test Theoretical and Indoor Model Research for Determining Thermal Property Parameters of Aquifers and Rock-Soil Skeletons. Water. 2022; 14(19):3020. https://doi.org/10.3390/w14193020
Chicago/Turabian StyleZhao, Yanrong, Yufeng Wei, Rong Rong, Xiaosong Dong, Zhihao Zhang, Yong Huang, and Jinguo Wang. 2022. "A Novel Slug Heat Test Theoretical and Indoor Model Research for Determining Thermal Property Parameters of Aquifers and Rock-Soil Skeletons" Water 14, no. 19: 3020. https://doi.org/10.3390/w14193020
APA StyleZhao, Y., Wei, Y., Rong, R., Dong, X., Zhang, Z., Huang, Y., & Wang, J. (2022). A Novel Slug Heat Test Theoretical and Indoor Model Research for Determining Thermal Property Parameters of Aquifers and Rock-Soil Skeletons. Water, 14(19), 3020. https://doi.org/10.3390/w14193020

