Accurate Storm Surge Prediction with a Parametric Cyclone and Neural Network Hybrid Model
Abstract
1. Introduction
2. Description of Study Site and Data Collection
3. The Parametric Cyclone and Neural Network Hybrid Model for Storm Surge
3.1. Effective Controlling Parameter
3.2. Parametric Typhoon Model
- (1)
- Rankine Vortex Model (RM)
- (2)
- Holland Model (MH)
- (3)
- SLOSH Model
- (4)
- YSB Model
- (5)
- Emanuel Model (E4)
- (6)
- Emanuel and Rotunno Model (E11)
3.3. Back-Propagation Neural Network (BPNN)
4. Results
4.1. Results of the Pure Neural Network Model
4.2. Results of the Parametric Cyclone and Neural Network Hybrid Model
5. Discussion of Prediction Performance Improvement
6. Conclusions
- The pure neural network model using SPV or SLPVRF parameters demonstrated accurate one-hour-ahead predictions, in excellent agreement with the observation data (i.e., CE = 0.963 and 0.980 for the training and validation events). With eight effective controlling parameters (SLPVRF), reasonable prediction accuracy can still be maintained as the lead time increases up to 8 h; i.e., RMSE = 15.47 and 15.81 cm, CC = 0.927 and 0.850, and CE = 0.857 and 0.725, respectively, for training and validation. If a reduction in structural complexity was desired, however, the model (SPV) was unable to describe the relationship between typhoon characteristics and the resulting storm surge.
- The parametric cyclone and neural network hybrid model estimated pressure and winds at a local station for storm surge prediction. The estimated local pressure and wind revealed a good relation to the storm surge. In particular, the transformation of storm parameters to local pressure and winds with such a treatment can imply the possible future influence of the typhoon, unlike the simple collection and direct usage of local observation data in earlier works [10]. Overall, good consistency among various parametric cyclone models was found, with the exception of the MH model, which showed a noticeably different pattern due mainly to the effects of the shape parameter.
- Although discrepancy existed in the model inputs, interestingly, the proposed approach with error-tolerance capability from neural network enabled good one-hour-ahead predictions, i.e., RMSE = 6.35–7.06 cm, CC = 0.984–0.987, and CE = 0.969–0.974. Similar results were found for the validation event: RMSE = 8.03–8.67 cm, CC = 0.955–0.964, and CE = 0.911–0.924. As the lead time increased, the accuracy of the different parametric cyclone models appeared to play a role in storm surge prediction. The hybrid models with E4 and E11 estimated the variation of storm surge well. Based on MH or RM, however, the hybrid model predicted the peak surge with an obvious time lag of 2 h. For eight-hour-ahead prediction, the hybrid model embedding E4 or E11 maintained reasonable accuracy, with RMSE = 16.10–16.33 and 15.50–16.12 cm, CC = 0.941–0.960 and 0.847–0.863, and CE = 0.840–0.844 and 0.714–0.734, respectively, for the training and validation events.
- For performance and improvement of storm surge prediction, the pure neural network model (SPV) with four effective typhoon parameters (S, ΔPc, Vc, and θR) was set as the basis for comparison because the same dimension of network structure was employed. With the physically-based parametric cyclone models, the proposed hybrid approach reduced the complexity of network structure while retaining the important typhoon indicators, demonstrating great improvement as the lead time was extended to 8 h: 33–40% and 13–21% for RMSE and 32–37% and 18–29%) for CE, respectively, in the training and validation phases.
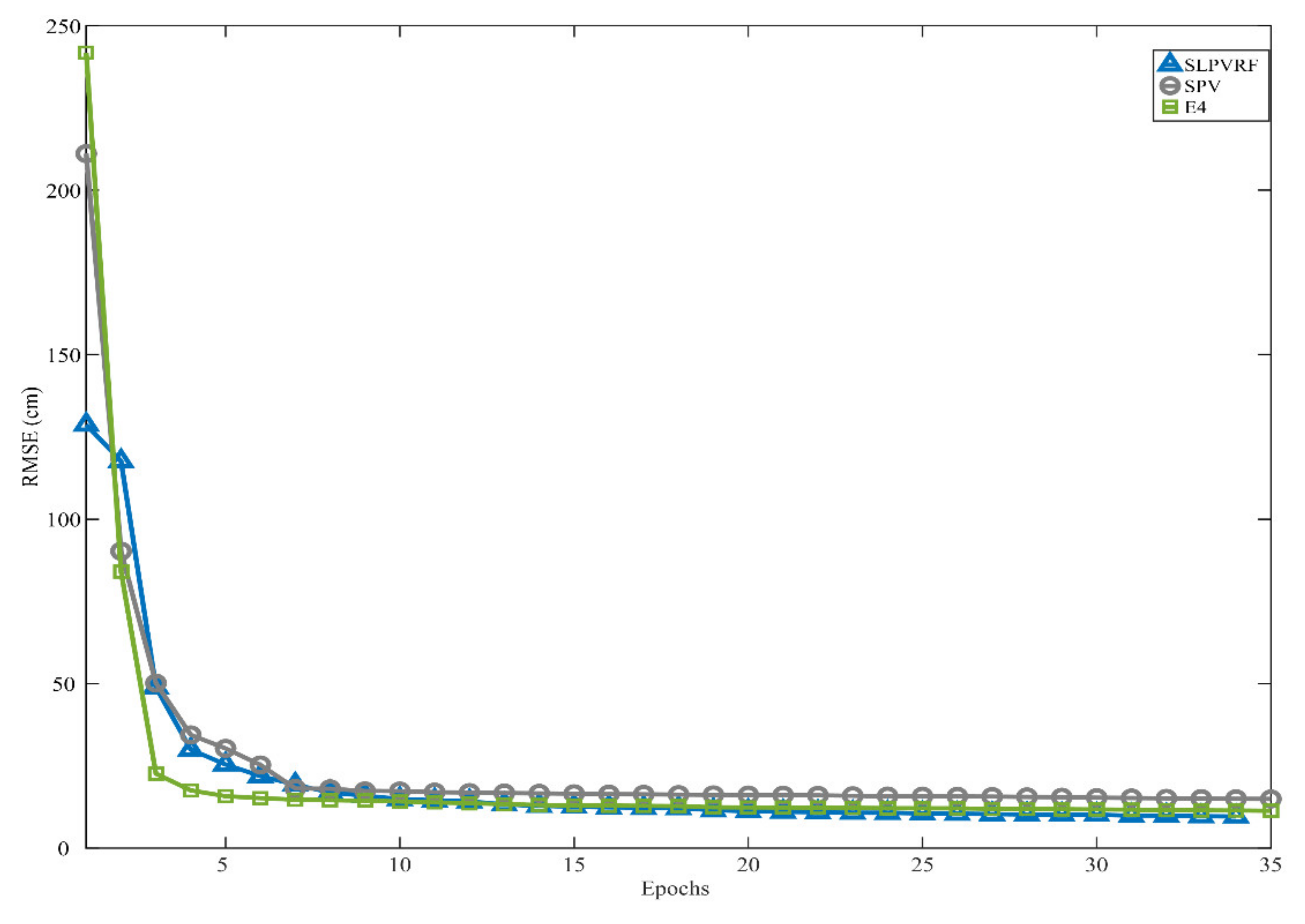
- It is clear that the way to achieve better long lead-time storm surge prediction is the full consideration of effective controlling parameters. Both the SLPVRF model [15] and the hybrid model show much better accuracy than the SPV model. Additionally, the hybrid model performs slightly better than the high-dimensional SLPVRF neural network model as the lead time increases over 4 h. In convergence analysis, compared to the SLPVRF (SPV) neural network model, the proposed method using the E4 cyclone model provides faster and better results due to the retained storm information and reduced number of dimensions in the search space.
- The proposed hybrid model based on the E4 cyclone model can provide accurate and efficient long lead-time storm surge prediction. In particular, the present model can use true observation data, parametric cyclone theory, and neural network to provide reliable and robust prediction results, unlike those modeling results with uncertainty issues due to the atmospheric forcing specified by numerical weather prediction models [7,18]. Furthermore, the model demonstrates its superior capability compared to the neural network models in earlier works [10,14,46].
- Estimation of a new storm center with simple straight-line movement was assumed in this paper. Future work which attempts a coupled neural network model for accurate prediction of storm track and magnitude is ongoing, and upcoming results will be reported at a later date.
- Similar or slightly better accuracy has been achieved in the present framework using a low-dimensional neural network. In addition to prediction performance, the further value of this study lies in the demonstration of a hybrid concept (in this case the combination of physically-based and data-driven models) that can be applied to various complicated problems in different research fields.
Author Contributions
Funding
Institutional Review Board Statement
Informed Consent Statement
Data Availability Statement
Acknowledgments
Conflicts of Interest
References
- Flather, R.A. Storm surges. In Encyclopaedia of Ocean Science, 1st ed.; Steele, J., Thorpe, S., Turekian, K., Eds.; Academia: San Diego, CA, USA, 2001; pp. 2882–2892. [Google Scholar]
- Pielke, R.A., Jr.; Gratz, J.; Landsea, C.W.; Collins, D.; Saunders, M.A.; Musulin, R. Normalized hurricane damage in the United States: 1900–2005. Nat. Hazards Rev. 2008, 9, 29–42. [Google Scholar] [CrossRef]
- You, S.H.; Seo, J.W. Storm surge prediction using an artificial neural network model and cluster analysis. Nat. Hazards 2009, 51, 97–114. [Google Scholar] [CrossRef]
- IPCC. Climate Change 2007: Impacts, Adaptation and Vulnerability. Contribution of Working Group II to the Fourth Assessment Report of the Intergovernmental Panel on Climate Change; Parry, M.L., Canziani, O.F., Palutikof, J.P., van der Linden, P.J., Hanson, C.E., Eds.; Cambridge University Press: Cambridge, UK, 2007; p. 976. [Google Scholar]
- Webster, P.J.; Holland, G.J.; Curry, J.A.; Chang, H.R. Changes in tropical cyclone number, duration, and intensity in a warming environment. Science 2005, 309, 1844–1846. [Google Scholar] [CrossRef]
- Emanuel, K.A. Increasing destructiveness of tropical cyclones over the past 30 years. Nature 2005, 436, 686–688. [Google Scholar] [CrossRef]
- Torres, M.J.; Hashemi, M.R.; Hayward, S.; Spaulding, M.; Ginis, I.; Grilli, S.T. Role of Hurricane Wind Models in Accurate Simulation of Storm Surge and Waves. J. Waterw. Port Coast. Ocean. Eng. 2019, 145, 04018039. [Google Scholar] [CrossRef]
- Wolf, J.; Flather, R.A. Modelling waves and surges during the 1953 storm. Philos. Trans. R. Soc. A Math. Phys. Eng. Sci. 2005, 363, 1359–1375. [Google Scholar] [CrossRef]
- Conner, W.C.; Kraft, K.H.; Harris, D.L. Empirical methods for forecasting the maximum storm tide due to hurricanes and other tropical storms. Mon. Weather. Rev. 1957, 85, 113–116. [Google Scholar] [CrossRef]
- Lee, T.L. Neural network prediction of a storm surge. Ocean. Eng. 2006, 33, 483–494. [Google Scholar] [CrossRef]
- Sheng, Y.P., Jr.; Davis, R.; Figueiredo, B.; Liu, H.; Liu, R.; Luettuch, V.A.; Paramygin, R.; Weaver, R.; Weisberg, L.; Xie, L.; et al. A regional testbed for storm surge and coastal inundation models—An Overview. Estuar. Coast. Modeling 2012, 476–495. [Google Scholar]
- Wu, G.; Shi, F.; Kirby, J.T.; Liang, B.; Shi, J. Modeling wave effects on storm surge and coastal inundation. Coast. Eng. 2018, 140, 371–382. [Google Scholar] [CrossRef]
- Divoky, D.; Battalio, R.; Dean, B.; Collins, I.; Hatheway, D.; Scheffner, N. Storm Meteorology. FEMA Coastal Flood Hazard Analysis and Mapping Guidelines, Focused Study Report; Technical Report, FEMA Technical Report; Federal Emergency Management Agency: Washington, DC, USA, 2005.
- Tsai, C.P.; You, C.Y. Development of models for maximum and time variation of storm surges at the Tanshui estuary. Nat. Hazards Earth Syst. Sci. 2014, 14, 2313–2320. [Google Scholar] [CrossRef]
- Chao, W.T.; Young, C.C.; Hsu, T.W.; Liu, C.C.; Liu, C.Y. Long-Lead-Time Prediction of Storm Surge Using Artificial Neural Networks and Effective Typhoon Parameters: Revisit and Deeper Insight. Water 2020, 12, 2394. [Google Scholar] [CrossRef]
- Heaps, N.S. A two-dimensional numerical sea model. Phil. Trans. R. Soc. A 1969, 265, 93–137. [Google Scholar]
- Bode, L.; Hardy, T.A. Progress and recent developments in storm surge modeling. J. Hydraul. Eng. 1997, 123, 315–331. [Google Scholar] [CrossRef]
- Dietrich, J.C.; Muhammad, A.; Curcic, M.; Fathi, A.; Dawson, C.N.; Chen, S.S.; Luettich, R.A. Sensitivity of storm surge predictions to atmospheric forcing during Hurricane Isaac. J. Waterw. Port Coast. Ocean. Eng. 2018, 144, 04017035. [Google Scholar] [CrossRef]
- Murty, P.L.N.; Srinivas, K.; Pattabhi Rama Rao, E.; Bhaskaran, P.K.; Shenoi, S.S.C.; Padmanabham, J. Improved cyclonic wind fields over the Bay of Bengal and their applications in storm surge and wave computation. Appl. Ocean. Res. 2020, 95, 102048. [Google Scholar] [CrossRef]
- Wang, S.; Yang, X.; Li, H.; Ren, K.; Yin, X.; Hu, D.; Du, Y. An improved asymmetric hurricane parametric model based on cross-polarization SAR observations. IEEE J. Sel. Top. Appl. Earth Obs. Remote Sens. 2021, 14, 1411–1422. [Google Scholar] [CrossRef]
- Powell, M.D.; Houston, S.H.; Amat, L.R.; Morisseau-Leroy, N. The HRD real-time hurricane wind analysis system. J. Wind Eng. Ind. Aerodyn. 1998, 77, 53–64. [Google Scholar] [CrossRef]
- Powell, M.D.; Murillo, S.; Dodge, P.; Uhlhorn, E.; Gamache, J.; Cardone, V.; Cox, A.; Otero, S.; Carrasco, N.; Annane, B. Reconstruction of Hurricane Katrina’s wind fields for storm surge and wave hindcasting. Ocean. Eng. 2010, 37, 26–36. [Google Scholar] [CrossRef]
- Ruiz-salcines, P.; Salles, P.; Robles-Díaz, L.; Gabriel, D.-H.; Torres-Freyermuth, A.; Appendini, C.M. On the Use of Parametric Wind Models for Wind Wave Modeling under Tropical Cyclones. Water 2019, 11, 2044. [Google Scholar] [CrossRef]
- Shao, Z.X.; Liang, B.C.; Li, H.J.; Wu, Z.H. Blended wind fields for wave modeling of tropical cyclones in the South China Sea and East China Sea. Appl. Ocean. Res. 2018, 71, 20–33. [Google Scholar] [CrossRef]
- Chang, H.K.; Chien, W.A. A fuzzy-neural hybrid system of simulating typhoon waves. Coast. Eng. 2006, 53, 737–748. [Google Scholar] [CrossRef]
- Tsai, C.C.; Wei, C.C.; Hou, T.H.; Hsu, T.W. Artificial neural network for forecasting wave heights along a ship’s route during hurricanes. J. Waterw. Port Coast. Ocean. Eng. 2018, 144, 04017042. [Google Scholar] [CrossRef]
- Kim, S.; Pan, S.; Mase, H. Artificial neural network-based storm surge forecast model: Practical application to Sakai Minato, Japan. Appl. Ocean. Res. 2019, 91, 101871. [Google Scholar] [CrossRef]
- Phadke, A.C.; Martino, C.D.; Cheung, K.F.; Houston, S.H. Modeling of tropical cyclone winds and waves for emergency management. Ocean. Eng. 2003, 30, 553–578. [Google Scholar] [CrossRef]
- Houston, S.H.; Powell, M.D. Observed and modeled wind and water-level response from tropical storm Marco (1990). Weather Forecast. 1994, 9, 427–439. [Google Scholar] [CrossRef][Green Version]
- Houston, S.H.; Shaffer, W.A.; Powell, M.D.; Chen, J. Comparisons of HRD and SLOSH surface wind fields in hurricanes: Implications for storm surge modeling. Weather Forecast. 1999, 14, 671–686. [Google Scholar] [CrossRef]
- Holland, G.J. An analytic model of the wind and pressure profiles in hurricanes. Mon. Weather Rev. 1980, 108, 1212–1218. [Google Scholar] [CrossRef]
- DeMaria, M.; Aberson, S.; Ooyama, K.V.; Load, S.J. A nested spectral model for hurricane track forecasting. Mon. Weather Rev. 1992, 120, 1628–1643. [Google Scholar] [CrossRef][Green Version]
- Myers, V.A. Maximum hurricane winds. Bull. Am. Meteorol. Soc. 1957, 38, 227–228. [Google Scholar]
- Schloemer, R.W. Analysis and synthesis of hurricane wind patterns over Lake Okechobee, Florida. In Hydromet Report, NO. 31; Govt Print Office: Washington, DC, USA, 1954; p. 49. [Google Scholar]
- Emanuel, K. Tropical Cyclone Energetics and Structure. In Atmospheric Turbulence and Mesoscale Meteorology; Fedorovich, E., Rotunno, R., Stevens, B., Eds.; Cambridge University Press: Cambridge, UK, 2004; p. 280. [Google Scholar]
- Jelesnianski, C.P. A numerical calculation of storm tides induced by a tropical storm impinging on a continental shelf. Mon. Weather Rev. 1965, 93, 343–358. [Google Scholar] [CrossRef]
- Jelesnianski, C.P.; Chen, J.; Shaffer, W.A. SLOSH: Sea, Lake, and Overland Surges from Hurricanes; NOAA Technical Report NWS 48; National Oceanic and Atmospheric Administration, U.S. Department of Commerce: Silver Spring, MD, USA, 1992; pp. 1–71.
- Knaff, J.A.; Sampson, C.R.; DeMaria, M.; Marchock, T.P.; Gross, J.M.; McAdie, C.J. Statistical tropical cyclone wind radii prediction using climatology and persistence. Weather Forecast. 2007, 22, 781–791. [Google Scholar] [CrossRef]
- Chen, W.B.; Liu, W.C.; Hsu, M.H. Predicting typhoon-induced storm surge tide with a two-dimensional hydrodynamic model and artificial neural network model. Nat. Hazards Earth Syst. Sci. 2012, 12, 3799–3809. [Google Scholar] [CrossRef]
- Wijnands, J.S.; Qian, G.; Kuleshov, Y. Spline-based modelling of near-surface wind speeds in tropical cyclones. Appl. Math. Model 2016, 40, 8685–8707. [Google Scholar] [CrossRef]
- Olfatech, M.; Callaghan, D.P.; Nielsen, P.; Baldock, T.E. Tropical cyclone wind field asymmetry-development and evaluation of a new parametric model. J. Geophys. Res. 2017, 122, 458–469. [Google Scholar] [CrossRef]
- Lin, N.; Chavas, D. On hurricane parametric wind and applications in storm surge modeling. J. Geophys. Res. 2012, 117, D09120. [Google Scholar] [CrossRef]
- Sztobryn, M. Forecast of storm surge by means of artificial neural network. J. Sea Res. 2003, 49, 317–322. [Google Scholar] [CrossRef]
- Lee, T.L. Back-propagation neural network for the prediction on the short-term storm surge in Taichung harbor, Taiwan. Eng. Appl. Artif. Intell. 2008, 21, 63–72. [Google Scholar] [CrossRef]
- Lee, T.L. Predictions of typhoon storm surge in Taiwan using artificial neural networks. Adv. Eng. Softw. 2009, 40, 1200–1206. [Google Scholar] [CrossRef]
- Tseng, C.M.; Jan, C.D.; Wang, J.S.; Wang, C.M. Application of artificial neural networks in typhoon surge forecasting. Ocean. Eng. 2007, 34, 1757–1768. [Google Scholar] [CrossRef]
- Benitez, J.M.; Castro, J.L.; Requena, I. Are artificial neural networks black boxes? IEEE Trans. Neural Netw. 1997, 8, 1156–1164. [Google Scholar] [CrossRef]
- Zhang, Q.; Yang, Y.; Liu, Y.; Wu, Y.N.; Zhu, S.C. Unsupervised learning of neural networks to explain neural networks. arXiv 2018, arXiv:1805.07468. [Google Scholar]
- Kim, S.; Matsumi, Y.; Pan, S.; Mase, H. A real-time forecast model using artificial neural network for after runner storm surges on the Tottori coast, Japan. Ocean Eng. 2016, 122, 44–53. [Google Scholar] [CrossRef]
- Young, C.C.; Liu, W.C.; Wu, M.C. A physically based and machine learning hybrid approach for accurate rainfall-runoff modeling during extreme typhoon events. Appl. Soft Comput. 2017, 53, 205–216. [Google Scholar] [CrossRef]
- Young, C.C.; Liu, W.C. Prediction and modelling of rainfall–runoff during typhoon events using a physically-based and artificial neural network hybrid model. Hydrol. Sci. J. 2015, 60, 2102–2116. [Google Scholar] [CrossRef]
- Pawlowicz, R.; Beardsley, B.; Lentz, S. Classical tidal harmonic analysis including error estimates in MATLAB using T_TIDE. Comput. Geosci. 2002, 28, 929–937. [Google Scholar] [CrossRef]
- Welander, P. Numerical predictions of storm surges. Adv. Geophys. 1961, 8, 315–379. [Google Scholar]
- Depperman, C.E. Notes on the origin and structure of Phillipine typhoons. Bull. Am. Meteorol. Soc. 1947, 28, 399–404. [Google Scholar] [CrossRef]
- Rankine, W.J.M. A Manual of Applied Physics; Charles Griffin & Co.: London, UK, 1882. [Google Scholar]
- Rihel, H. Some relationships between wind and thermal structure of steady state hurricanes. J. Atmos. Sci. 1963, 20, 276–287. [Google Scholar] [CrossRef]
- Emanuel, K.A. An air-sea interaction theory for tropical cyclones. Part I: Steady-State Maintenance. J. Atmos. Sci. 1986, 43, 585–605. [Google Scholar] [CrossRef]
- Holland, G.J.; Belanger, J.I.; Fritz, A. A Revised Model for Radial Profiles of Hurricane Winds. Mon. Weather Rev. 2010, 138, 4393–4401. [Google Scholar] [CrossRef]
- Levinson, D.H.; Vickery, P.J.; Resio, D.T. A review of the climatological characteristics of landfalling Gulf hurricanes for wind, wave, and surge hazard estimation. Ocean Eng. 2010, 37, 13–25. [Google Scholar] [CrossRef]
- Young, I.; Sobey, R. The Numerical Prediction of Tropical Cyclone Wind-Waves; Department of Civil & Systems Engineering, James Cook University of North Queensland: Townsville, Australia, 1981. [Google Scholar]
- Chavas, D.R.; Emanuel, K.A. A QuikSCAT climatology of tropical cyclone size. Geophys. Res. Lett. 2010, 37, 10–13. [Google Scholar] [CrossRef]
- Emanuel, K.; Ravela, S. Synthetic Storm Simulation for Wind Risk Assessment. In Storm Surge Barriers to Protect New York City Against the Deluge, 1st ed.; American Society of Civil Engineers: Reston, VA, USA, 2012; pp. 15–36. [Google Scholar]
- Emanuel, K.; Ravela, S.; Vivant, E.; Risi, C. A statistical deterministic approach to hurricane risk assessment. Bull. Am. Meteorol. Soc. 2006, 87, 299–314. [Google Scholar] [CrossRef]
- Emanuel, K.; Rotunno, R. Self-Stratification of Tropical Cyclone Outflow. Part I: Implications for Storm Structure. J. Atmos. Sci. 2011, 68, 2236–2249. [Google Scholar] [CrossRef]
- Hagan, M.T.; Menhaj, M. Training feedforward networks with the Marquardt algorithm. IEEE Trans. Neural Netw. 1994, 5, 989–993. [Google Scholar] [CrossRef]
- Huang, Y.H.; Wu, C.C.; Wang, Y. The influence of island topography on typhoon track deflection. Mon. Weather Rev. 2011, 139, 1708–1727. [Google Scholar] [CrossRef]














| Name | Year | Track | Pc (hPa), | Vc (m/s), | R7 (km) | Max. S (cm) |
|---|---|---|---|---|---|---|
| Haitang * | 2005 | 3 | 912 | 55 | 280 | 103 |
| Talim | 3 | 920 | 53 | 250 | 144 | |
| Longwang | 3 | 925 | 51 | 200 | 44 | |
| Bilis | 2006 | 2 | 978 | 25 | 300 | 41 |
| Kaemi | 3 | 960 | 38 | 200 | 15 | |
| Sepat | 2007 | 3 | 920 | 53 | 250 | 20 |
| Krosa | 2 | 925 | 51 | 300 | 183 | |
| Kalmaegi | 2008 | 2 | 970 | 33 | 120 | 23 |
| Fungwong | 3 | 948 | 43 | 220 | 43 | |
| Sinlaku | 2 | 925 | 53 | 280 | 53 | |
| Morakot * | 2009 | 3 | 955 | 40 | 250 | 71 |
| Saola | 2012 | 2 | 960 | 38 | 220 | 39 |
| Soulik | 2013 | 2 | 925 | 51 | 280 | 160 |
| Matmo | 2014 | 3 | 960 | 38 | 200 | 11 |
| Type | Input Parameters |
|---|---|
| SPV | S(t), ∆Pc(t), Vc (t), θR (t) |
| SPVLRF | S(t), L(t), ∆Pc(t), Vc (t), θR (t), R7(t), UF(t), θF(t) |
| Parametric cyclone models | S(t), ∆Pp(t), Vp (t), θP * (t) |
| Lead Time (h) | |||||||||||||||
|---|---|---|---|---|---|---|---|---|---|---|---|---|---|---|---|
| 1 | 2 | 4 | 6 | 8 | |||||||||||
| RMSE | CC | CE | RMSE | CC | CE | RMSE | CC | CE | RMSE | CC | CE | RMSE | CC | CE | |
| SLPVRF | 5.57 | 0.990 | 0.980 | 7.81 | 0.981 | 0.962 | 11.64 | 0.959 | 0.916 | 14.69 | 0.933 | 0.869 | 15.47 | 0.927 | 0.857 |
| SPV | 7.67 | 0.982 | 0.963 | 8.83 | 0.975 | 0.951 | 13.30 | 0.944 | 0.891 | 17.22 | 0.909 | 0.820 | 24.85 | 0.802 | 0.630 |
| MH | 7.01 | 0.984 | 0.969 | 7.27 | 0.983 | 0.967 | 12.80 | 0.951 | 0.907 | 14.63 | 0.941 | 0.870 | 15.03 | 0.943 | 0.865 |
| MR | 6.35 | 0.987 | 0.974 | 7.75 | 0.981 | 0.962 | 10.75 | 0.963 | 0.929 | 12.68 | 0.961 | 0.902 | 14.82 | 0.949 | 0.867 |
| SH | 7.04 | 0.985 | 0.968 | 8.20 | 0.978 | 0.957 | 11.25 | 0.962 | 0.924 | 12.50 | 0.967 | 0.904 | 15.30 | 0.963 | 0.860 |
| EM04 | 6.38 | 0.987 | 0.974 | 9.12 | 0.974 | 0.947 | 11.18 | 0.962 | 0.922 | 11.90 | 0.958 | 0.894 | 13.78 | 0.941 | 0.844 |
| EM11 | 7.06 | 0.984 | 0.968 | 9.10 | 0.974 | 0.948 | 11.00 | 0.966 | 0.925 | 13.62 | 0.965 | 0.887 | 16.33 | 0.960 | 0.840 |
| YSB | 6.59 | 0.986 | 0.972 | 6.78 | 0.986 | 0.972 | 13.30 | 0.944 | 0.890 | 15.56 | 0.934 | 0.852 | 16.50 | 0.938 | 0.836 |
| Lead Time (h) | |||||||||||||||
|---|---|---|---|---|---|---|---|---|---|---|---|---|---|---|---|
| 1 | 2 | 4 | 6 | 8 | |||||||||||
| RMSE | CC | CE | RMSE | CC | CE | RMSE | CC | CE | RMSE | CC | CE | RMSE | CC | CE | |
| SLPVRF | 8.07 | 0.964 | 0.924 | 11.54 | 0.937 | 0.846 | 16.47 | 0.852 | 0.690 | 18.31 | 0.834 | 0.624 | 19.74 | 0.847 | 0.570 |
| SPV | 8.30 | 0.959 | 0.919 | 9.75 | 0.946 | 0.890 | 13.60 | 0.911 | 0.789 | 14.64 | 0.880 | 0.760 | 15.81 | 0.850 | 0.725 |
| MH | 8.42 | 0.962 | 0.917 | 9.80 | 0.949 | 0.889 | 13.70 | 0.894 | 0.786 | 15.88 | 0.852 | 0.718 | 16.35 | 0.848 | 0.706 |
| MR | 8.30 | 0.963 | 0.918 | 9.06 | 0.956 | 0.905 | 13.75 | 0.891 | 0.784 | 15.40 | 0.865 | 0.734 | 16.40 | 0.850 | 0.704 |
| SH | 8.67 | 0.955 | 0.911 | 10.24 | 0.945 | 0..878 | 13.90 | 0.893 | 0.779 | 15.93 | 0.865 | 0.715 | 16.64 | 0.851 | 0.695 |
| EM04 | 8.35 | 0.960 | 0.918 | 9.20 | 0.952 | 0.902 | 13.75 | 0.887 | 0.784 | 15.05 | 0.870 | 0.738 | 15.73 | 0.863 | 0.734 |
| EM11 | 8.47 | 0.961 | 0.916 | 10.59 | 0.940 | 0.870 | 13.81 | 0.895 | 0.782 | 15.98 | 0.847 | 0.714 | 16.12 | 0.847 | 0.714 |
| YSB | 8.03 | 0.964 | 0.924 | 9.59 | 0.949 | 0.893 | 14.69 | 0.878 | 0.753 | 16.66 | 0.850 | 0.690 | 17.25 | 0.837 | 0.672 |
| RMSE (cm) | ||||||||||
|---|---|---|---|---|---|---|---|---|---|---|
| Training Cases | Validation Cases | |||||||||
| Lead Time (h) | 1 | 2 | 4 | 6 | 8 | 1 | 2 | 4 | 6 | 8 |
| SLPVRF | 4.02 | 6.24 | 8.12 | 8.72 | 11.18 | 7.76 | 9.01 | 13.32 | 16.09 | 16.50 |
| SPV | 4.57 | 6.86 | 8.66 | 9.66 | 11.95 | 7.24 | 11.42 | 15.19 | 17.35 | 17.40 |
| MH | 4.41 | 6.28 | 9.48 | 10.76 | 11.22 | 7.97 | 9.61 | 13.62 | 15.31 | 15.70 |
| MR | 4.35 | 6.61 | 9.67 | 11.18 | 11.78 | 7.28 | 9.05 | 12.56 | 13.63 | 15.01 |
| SH | 4.34 | 6.56 | 9.60 | 10.3 | 11.31 | 7.41 | 9.06 | 13.64 | 16.72 | 16.75 |
| EM04 | 4.28 | 6.82 | 9.74 | 10.55 | 11.27 | 7.23 | 8.89 | 12.91 | 16.36 | 16.48 |
| EM11 | 4.41 | 6.96 | 9.30 | 11.16 | 11.63 | 7.42 | 9.72 | 14.71 | 15.41 | 16.36 |
| YSB | 4.47 | 6.29 | 8.99 | 11.4 | 11.67 | 7.10 | 10.02 | 13.68 | 15.63 | 16.90 |
Publisher’s Note: MDPI stays neutral with regard to jurisdictional claims in published maps and institutional affiliations. |
© 2022 by the authors. Licensee MDPI, Basel, Switzerland. This article is an open access article distributed under the terms and conditions of the Creative Commons Attribution (CC BY) license (https://creativecommons.org/licenses/by/4.0/).
Share and Cite
Chao, W.-T.; Young, C.-C. Accurate Storm Surge Prediction with a Parametric Cyclone and Neural Network Hybrid Model. Water 2022, 14, 96. https://doi.org/10.3390/w14010096
Chao W-T, Young C-C. Accurate Storm Surge Prediction with a Parametric Cyclone and Neural Network Hybrid Model. Water. 2022; 14(1):96. https://doi.org/10.3390/w14010096
Chicago/Turabian StyleChao, Wei-Ting, and Chih-Chieh Young. 2022. "Accurate Storm Surge Prediction with a Parametric Cyclone and Neural Network Hybrid Model" Water 14, no. 1: 96. https://doi.org/10.3390/w14010096
APA StyleChao, W.-T., & Young, C.-C. (2022). Accurate Storm Surge Prediction with a Parametric Cyclone and Neural Network Hybrid Model. Water, 14(1), 96. https://doi.org/10.3390/w14010096
