Comparing Evapotranspiration Estimates from the GEOframe-Prospero Model with Penman–Monteith and Priestley-Taylor Approaches under Different Climate Conditions
Abstract
1. Introduction
2. Methodology
2.1. Case Studies
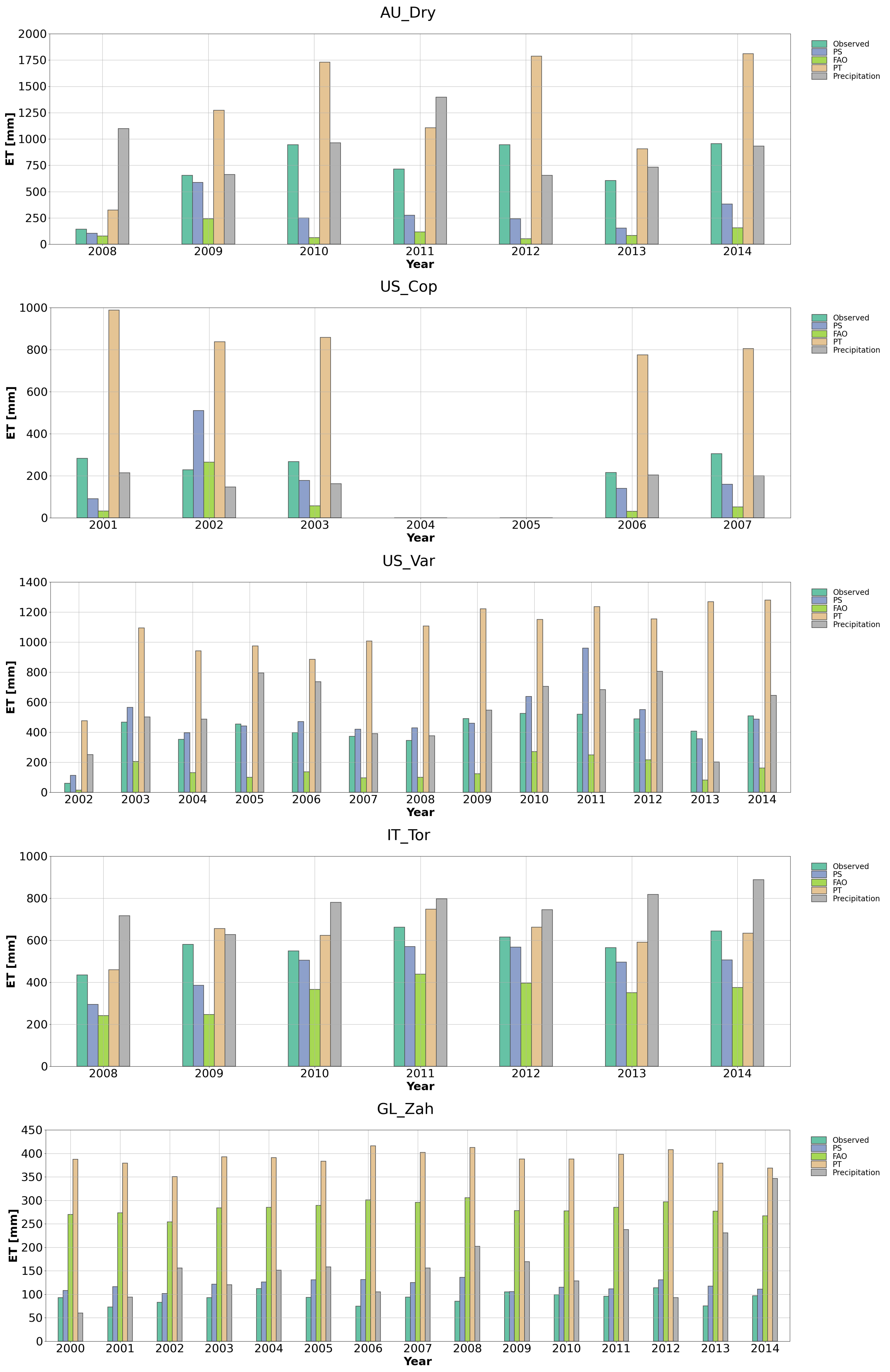
- AU-Dry (10.18140/FLX/1440197) in Northern Territory of Australia;
- US-Cop (10.18140/FLX/1440100) in Utah, United States;
- US-Var (10.18140/FLX/1440094) in California, United States;
- IT-Tor (10.18140/FLX/1440237) in Aosta Valley, Italy;
- GL-ZaH (10.18140/FLX/1440224) in Sermersooq, Greenland.
2.2. GEOframe Modelling System
- Geomorphic and DEM analyses;
- Spatial extrapolation/interpolation of meteorological variables;
- Estimation of the radiation budget;
- Estimation of ET;
- Estimation of runoff production;
- Simulation of infiltration;
- Channel routing;
- Travel time analysis;
- Calibration algorithms.
2.3. The Prospero Model
- R is the net shortwave radiation [W m]
- E is ET [W m]
- H is the thermal energy transport [W m]
- G is the ground heat flux [W m]
- R is the upwelling longwave radiation [W m]
- R is the downwelling longwave radiation [W m]
- is the side of the surface exchanging sensible heat (1 for soil, 2 for leaves) [-],
- is the side of the surface exchanging latent heat (1 for amphistomatous leaves) [-],
- is the area exchanging fluxes (radiation, sensible and latent heat) [m m],
- is the equilibrium leaf temperature [K].
2.4. Classical ET Model Descriptions
2.5. Calibration and Validation
3. Results and Discussion
4. Conclusions
Author Contributions
Funding
Institutional Review Board Statement
Informed Consent Statement
Data Availability Statement
Acknowledgments
Conflicts of Interest
Appendix A. Code Availability
Appendix B. Indices of Goodness of Fit
- Root-Mean-Square ErrorThe Root-Mean-Square Error (RMSE) is given bywhere M and S represent the measured and simulated time-series, respectively, and N is the number of components in the series.
- Mean Absolute Errorwhere M and S represent the measured and simulated time-series, respectively, and N is the number of components in the series.
- Coefficient of determinationwhere M and S represent the measured and simulated time-series, respectively, N is the number of components in the series and is the mean of measured values.
- Index of agreement
Appendix C. Prospero Stress Functions
- −
- is a dimensionless T reduction factor dependent on available soil water [0–1];
- −
- root zone depletion [mm];
- −
- TAW total available soil water in the root zone [mm];
- −
- p fraction of TAW that a crop can extract from the root zone without suffering water stress [-];
- −
- the water content at field capacity [mm];
- −
- the water content at wilting point [mm];
- −
- the measured water content [mm];
- −
- Zr the rooting depth [m].
- −
- is the temperature at maximum conductance [C];
- −
- and the lower and upper temperature of the range for which a positive stomatal conductance is predicted [C].
- −
- and are the slope and shape parameters of the stress function and are set equal to 0.005 and 0.85 [-].
References
- Bowen, I.S. The ratio of heat losses by conduction and by evaporation from any water surface. Phys. Rev. 1926, 27, 779. [Google Scholar] [CrossRef]
- Penman, H.L. Natural evaporation from open water, bare soil and grass. Proc. R. Soc. Lond. Ser. A. Math. Phys. Sci. 1948, 193, 120–145. [Google Scholar]
- Monteith, J.L. Evaporation and environment. Symposia of the Society for Experimental Biology; Cambridge University Press (CUP): Cambridge, UK, 1965; Volume 19, pp. 205–234. [Google Scholar]
- Priestley, C.H.B.; Taylor, R. On the assessment of surface heat flux and evaporation using large-scale parameters. Mon. Weather Rev. 1972, 100, 81–92. [Google Scholar] [CrossRef]
- Morton, F.I. Operational estimates of areal evapotranspiration and their significance to the science and practice of hydrology. J. Hydrol. 1983, 66, 1–76. [Google Scholar] [CrossRef]
- Famiglietti, J.; Wood, E.F. Multiscale modeling of spatially variable water and energy balance processes. Water Resour. Res. 1994, 30, 3061–3078. [Google Scholar] [CrossRef]
- Su, Z.; Jacobs, C. ENVISAT: Actual Evaporation; Beleidscommissie Remote Sensing (BCRS): Delft, The Netherlands, 2001. [Google Scholar]
- Brutsaert, W. Evaporation into the Atmosphere: Theory, History and Applications; Springer Science & Business Media: Berlin/Heidelberg, Germany, 2013; Volume 1. [Google Scholar]
- Mobilia, M.; Longobardi, A.; Sartor, J.F. Including a-priori assessment of actual evapotranspiration for green roof daily scale hydrological modelling. Water 2017, 9, 72. [Google Scholar] [CrossRef]
- Mobilia, M.; Longobardi, A. Model details, parametrization, and accuracy in daily scale green roof hydrological conceptual simulation. Atmosphere 2020, 11, 575. [Google Scholar] [CrossRef]
- Kool, D.; Agam, N.; Lazarovitch, N.; Heitman, J.L.; Sauer, T.J.; Ben-gal, A. A review of approaches for evapotranspiration partitioning. Agric. For. Meteorol. 2014, 184, 56–70. [Google Scholar] [CrossRef]
- Wang, K.; Dickinson, R.E. A review of global terrestrial evapotranspiration: Observation, modeling, climatology, and climatic variability. Rev. Geophys. 2012, 50. [Google Scholar] [CrossRef]
- Mastrotheodoros, T.; Pappas, C.; Molnar, P.; Burlando, P.; Manoli, G.; Parajka, J.; Rigon, R.; Szeles, B.; Bottazzi, M.; Hadjidoukas, P.; et al. More green and less blue water in the Alps during warmer summers. Nat. Clim. Chang. 2020, 10, 155–161. [Google Scholar] [CrossRef]
- Mitchell, P.J.; Veneklaas, E.J.; Lambers, H.; Burgess, S.S. Using multiple trait associations to define hydraulic functional types in plant communities of south-western Australia. Oecologia 2008, 158, 385–397. [Google Scholar] [CrossRef] [PubMed]
- Brodribb, T.J.; Holbrook, N.M.; Zwieniecki, M.A.; Palma, B. Leaf hydraulic capacity in ferns, conifers and angiosperms: Impacts on photosynthetic maxima. New Phytol. 2005, 165, 839–846. [Google Scholar] [CrossRef] [PubMed]
- Fatichi, S.; Pappas, C.; Ivanov, V.Y. Modeling plant–water interactions: An ecohydrological overview from the cell to the global scale. Wiley Interdiscip. Rev. Water 2016, 3, 327–368. [Google Scholar] [CrossRef]
- Hölttä, T.; Mencuccini, M.; Nikinmaa, E. Linking phloem function to structure: Analysis with a coupled xylem–phloem transport model. J. Theor. Biol. 2009, 259, 325–337. [Google Scholar] [CrossRef]
- Nikinmaa, E.; Sievänen, R.; Hölttä, T. Dynamics of leaf gas exchange, xylem and phloem transport, water potential and carbohydrate concentration in a realistic 3-D model tree crown. Ann. Bot. 2014, 114, 653–666. [Google Scholar] [CrossRef] [PubMed]
- Mackay, D.S.; Roberts, D.E.; Ewers, B.E.; Sperry, J.S.; McDowell, N.G.; Pockman, W.T. Interdependence of chronic hydraulic dysfunction and canopy processes can improve integrated models of tree response to drought. Water Resour. Res. 2015, 51, 6156–6176. [Google Scholar] [CrossRef]
- Stroock, A.D.; Pagay, V.V.; Zwieniecki, M.A.; Michele Holbrook, N. The physicochemical hydrodynamics of vascular plants. Annu. Rev. Fluid Mech. 2014, 46, 615–642. [Google Scholar] [CrossRef]
- Berger, M.; Moreno, J.; Johannessen, J.A.; Levelt, P.F.; Hanssen, R.F. ESA’s sentinel missions in support of Earth system science. Remote Sens. Environ. 2012, 120, 84–90. [Google Scholar] [CrossRef]
- Carter, C.; Liang, S. Comprehensive evaluation of empirical algorithms for estimating land surface evapotranspiration. Agric. For. Meteorol. 2018, 256–257, 334–345. [Google Scholar] [CrossRef]
- Demirel, M.C.; Mai, J.; Mendiguren, G.; Koch, J.; Samaniego, L.; Stisen, S. Combining satellite data and appropriate objective functions for improved spatial pattern performance of a distributed hydrologic model. Hydrol. Earth Syst. Sci. 2018, 22, 1299–1315. [Google Scholar] [CrossRef]
- Prentice, I.C.; Liang, X.; Medlyn, B.E.; Wang, Y.P. Reliable, robust and realistic: The three R’s of next-generation land-surface modelling. Atmos. Chem. Phys. 2015, 15, 5987–6005. [Google Scholar] [CrossRef]
- Bertoldi, G.; Albertson, J.; Kustas, W.; Li, F.; Anderson, M. On the opposing roles of air temperature and wind speed variability in flux estimation from remotely sensed land surface states. Water Resour. Res. 2007, 43. [Google Scholar] [CrossRef]
- Siqueira, M.; Katul, G.; Porporato, A. Soil moisture feedbacks on convection triggers: The role of soil–plant hydrodynamics. J. Hydrometeorol. 2009, 10, 96–112. [Google Scholar] [CrossRef]
- Manoli, G.; Bonetti, S.; Domec, J.C.; Putti, M.; Katul, G.; Marani, M. Tree root systems competing for soil moisture in a 3D soil–plant model. Adv. Water Resour. 2014, 66, 32–42. [Google Scholar] [CrossRef]
- Jung, M.; Reichstein, M.; Ciais, P.; Seneviratne, S.I.; Sheffield, J.; Goulden, M.L.; Bonan, G.; Cescatti, A.; Chen, J.; De Jeu, R.; et al. Recent decline in the global land evapotranspiration trend due to limited moisture supply. Nature 2010, 467, 951–954. [Google Scholar] [CrossRef] [PubMed]
- Pappas, C.; Fatichi, S.; Burlando, P. Modeling terrestrial carbon and water dynamics across climatic gradients: Does plant trait diversity matter? New Phytol. 2016, 209, 137–151. [Google Scholar] [CrossRef]
- Mammoliti, E.; Fronzi, D.; Mancini, A.; Valigi, D.; Tazioli, A. WaterbalANce, a WebApp for Thornthwaite–Mather Water Balance Computation: Comparison of Applications in Two European Watersheds. Hydrology 2021, 8, 34. [Google Scholar] [CrossRef]
- David, O.; Ascough, J.; Lloyd, W.; Green, T.; Rojas, K.; Leavesley, G.; Ahuja, L. A software engineering perspective on environmental modeling framework design: The Object Modeling System. Environ. Model. Softw. 2013, 39, 201–213. [Google Scholar] [CrossRef]
- Allen, R.G.; Pereira, L.S.; Raes, D.; Smith, M. Crop evapotranspiration-Guidelines for computing crop water requirements-FAO Irrigation and drainage paper 56. FAO Rome 1998, 300, D05109. [Google Scholar]
- Schymanski, S.J.; Or, D. Leaf-scale experiments reveal an important omission in the Penman-Monteith equation. Hydrol. Earth Syst. Sci. 2017, 21, 685–706. [Google Scholar] [CrossRef]
- Formetta, G.; Antonello, A.; Franceschi, S.; David, O.; Rigon, R. Hydrological modelling with components: A GIS-based open-source framework. Environ. Model. Softw. 2014, 55, 190–200. [Google Scholar] [CrossRef]
- Bancheri, M.; Rigon, R.; Manfreda, S. The GEOframe-NewAge Modelling System Applied in a Data Scarce Environment. Water 2020, 12, 86. [Google Scholar] [CrossRef]
- Woodward, F.I.; Lomas, M.R.; Kelly, C.K. Global climate and the distribution of plant biomes. Philos. Trans. R. Soc. Lond. Ser. B Biol. Sci. 2004, 359, 1465–1476. [Google Scholar] [CrossRef] [PubMed]
- Mobilia, M.; Longobardi, A. Prediction of Potential and Actual Evapotranspiration Fluxes Using Six Meteorological Data-Based Approaches for a Range of Climate and Land Cover Types. ISPRS Int. J. Geo-Inf. 2021, 10, 192. [Google Scholar] [CrossRef]
- Köppen, W. Die Wärmezonen der Erde, nach der Dauer der heissen, gemässigten und kalten Zeit und nach der Wirkung der Wärme auf die organische Welt betrachtet. Meteorol. Z. 1884, 1, 5–226. [Google Scholar]
- Cernusak, L.A.; Hutley, L.B.; Beringer, J.; Holtum, J.A.; Turner, B.L. Photosynthetic physiology of eucalypts along a sub-continental rainfall gradient in northern Australia. Agric. For. Meteorol. 2011, 151, 1462–1470. [Google Scholar] [CrossRef]
- Beringer, J.; Hutley, L.B.; McHugh, I.; Arndt, S.K.; Campbell, D.; Cleugh, H.A.; Cleverly, J.; Resco de Dios, V.; Eamus, D.; Evans, B.; et al. An introduction to the Australian and New Zealand flux tower network–OzFlux. Biogeosciences 2016, 13, 5895–5916. [Google Scholar] [CrossRef]
- Beringer, J.; Hutley, L. FLUXNET2015 AU-Dry Dry River, Dataset, 2008–2014. Data Retrieved from FLUXNET. 2014. Available online: https://doi.org/10.18140/FLX/1440197 (accessed on 27 April 2021).
- Belnap, J.; Reynolds, R.L.; Reheis, M.C.; Phillips, S.L.; Urban, F.E.; Goldstein, H.L. Sediment losses and gains across a gradient of livestock grazing and plant invasion in a cool, semi-arid grassland, Colorado Plateau, USA. Aeolian Res. 2009, 1, 27–43. [Google Scholar] [CrossRef]
- Kannenberg, S.A.; Bowling, D.R.; Anderegg, W.R. Hot moments in ecosystem fluxes: High GPP anomalies exert outsized influence on the carbon cycle and are differentially driven by moisture availability across biomes. Environ. Res. Lett. 2020, 15, 054004. [Google Scholar] [CrossRef]
- Bowling, D. FLUXNET2015 US-Cop Corral Pocket, Dataset, 2001–2017. Data Retrieved from FLUXNET. 2017. Available online: https://doi.org/10.18140/FLX/1440100 (accessed on 27 April 2021).
- Ryu, Y.; Baldocchi, D.D.; Ma, S.; Hehn, T. Interannual variability of evapotranspiration and energy exchange over an annual grassland in California. J. Geophys. Res. Atmos. 2008, 113. [Google Scholar] [CrossRef]
- Ma, S.; Xu, L.; Verfaillie, J.; Baldocchi, D. FLUXNET2015 US-Var Vaira Ranch Ione, Dataset, 2000–2014. Data Retrieved from FLUXNET. 2014. Available online: https://https://doi.org/10.18140/FLX/1440094 (accessed on 27 April 2021).
- Galvagno, M.; Wohlfahrt, G.; Cremonese, E.; Rossini, M.; Colombo, R.; Filippa, G.; Julitta, T.; Manca, G.; Siniscalco, C.; Di Cella, U.M.; et al. Phenology and carbon dioxide source/sink strength of a subalpine grassland in response to an exceptionally short snow season. Environ. Res. Lett. 2013, 8, 025008. [Google Scholar] [CrossRef]
- Cremonese, E.; Galvagno, M.; Morra di Cella, U.; Migliavacca, M. FLUXNET2015 IT-Tor Torgnon, Dataset, 2008–2014. Data Retrieved from FLUXNET. 2014. Available online: https://doi.org/10.18140/FLX/1440237 (accessed on 27 April 2021).
- Lund, M.; Falk, J.M.; Friborg, T.; Mbufong, H.N.; Sigsgaard, C.; Soegaard, H.; Tamstorf, M.P. Trends in CO2 exchange in a high Arctic tundra heath, 2000–2010. J. Geophys. Res. Biogeosci. 2012, 117. [Google Scholar] [CrossRef]
- Lund, M.; Jackowicz-Korczyński, M.; Abermann, J. FLUXNET2015 GL-ZaH Zackenberg Heath, Dataset, 2000–2014. Data Retrieved from FLUXNET. 2014. Available online: https://doi.org/10.18140/FLX/1440224 (accessed on 27 April 2021).
- Tabari, H.; Talaee, P.H.; Nadoushani, S.M.; Willems, P.; Marchetto, A. A survey of temperature and precipitation based aridity indices in Iran. Quat. Int. 2014, 345, 158–166. [Google Scholar] [CrossRef]
- Argent, R.M. An overview of model integration for environmental applications—components, frameworks and semantics. Environ. Model. Softw. 2004, 19, 219–234. [Google Scholar] [CrossRef]
- Abera, W.; Formetta, G.; Borga, M.; Rigon, R. Estimating the water budget components and their variability in a pre-alpine basin with JGrass-NewAGE. Adv. Water Resour. 2017, 104, 37–54. [Google Scholar] [CrossRef]
- Abera, W.; Formetta, G.; Brocca, L.; Rigon, R. Modeling the water budget of the Upper Blue Nile basin using the JGrass-NewAge model system and satellite data. Hydrol. Earth Syst. Sci. 2017, 21, 3145–3165. [Google Scholar] [CrossRef]
- Rigon, R.; Ghesla, E.; Tiso, C.; Cozzini, A. The HORTON Machine: A System for DEM Analysis The Reference Manual; Università degli Studi di Trento: Trento, Italy, 2006. [Google Scholar]
- Bancheri, M.; Serafin, F.; Bottazzi, M.; Abera, W.; Formetta, G.; Rigon, R. The design, deployment, and testing of kriging models in GEOframe with SIK-0.9. 8. Geosci. Model Dev. 2018, 11, 2189–2207. [Google Scholar] [CrossRef]
- Formetta, G.; Rigon, R.; Chávez, J.; David, O. Modeling shortwave solar radiation using the JGrass-NewAge system. Geosci. Model Dev. 2013, 6, 915–928. [Google Scholar] [CrossRef]
- Formetta, G.; Bancheri, M.; David, O.; Rigon, R. Performance of site-specific parameterizations of longwave radiation. Hydrol. Earth Syst. Sci. 2016, 20, 4641–4654. [Google Scholar] [CrossRef]
- Formetta, G.; Kampf, S.K.; David, O.; Rigon, R. Snow water equivalent modeling components in NewAge-JGrass. Geosci. Model Dev. 2014, 7, 725–736. [Google Scholar] [CrossRef]
- Rigon, R.; Bancheri, M.; Green, T.R. Age-ranked hydrological budgets and a travel time description of catchment hydrology. Hydrol. Earth Syst. Sci. 2016, 20, 4929. [Google Scholar] [CrossRef]
- Rigon, R.; Bancheri, M.; Formetta, G.; de Lavenne, A. The geomorphological unit hydrograph from a historical-critical perspective. Earth Surf. Process. Landf. 2016, 41, 27–37. [Google Scholar] [CrossRef]
- Tubini, N.; Rigon, R. Implementing the Water, HEat and Transport model in GEOframe (WHETGEO): Algorithms, informatics, design patterns, open science features and 1D deployment. 2021; in preparation for GMD. [Google Scholar]
- Hay, L.E.; Umemoto, M. Multiple-Objective Stepwise Calibration Using Luca; US Geological Survey: Reston, VA, USA, 2007. [Google Scholar]
- Kennedy, J.; Eberhart, R. Particle swarm optimization. In Proceedings of the ICNN’95-International Conference on Neural Networks, Perth, WA, Australia, 27 November–1 December 1995; Volume 4, pp. 1942–1948. [Google Scholar]
- Serafin, F. Enabling Modeling Framework with Surrogate Modeling Capabilities and Complex Networks. Ph.D. Thesis, University of Trento, Trento, Italy, 2019. [Google Scholar]
- Bancheri, M.; Serafin, F.; Formetta, G.; Rigon, R.; David, O. JGrass-NewAge hydrological system: An open-source platform for the replicability of science. In Proceedings of the EGU General Assembly, Wien, Austria, 23–28 April 2017; p. 17109. [Google Scholar]
- Noe, S.M.; Giersch, C. A simple dynamic model of photosynthesis in oak leaves: Coupling leaf conductance and photosynthetic carbon fixation by a variable intracellular CO2 pool. Funct. Plant Biol. 2004, 31, 1195–1204. [Google Scholar] [CrossRef] [PubMed]
- Dai, Y.; Dickinson, R.E.; Wang, Y.P. A two-big-leaf model for canopy temperature, photosynthesis, and stomatal conductance. J. Clim. 2004, 17, 2281–2299. [Google Scholar] [CrossRef]
- Ryu, Y.; Baldocchi, D.D.; Kobayashi, H.; Van Ingen, C.; Li, J.; Black, T.A.; Beringer, J.; Van Gorsel, E.; Knohl, A.; Law, B.E.; et al. Integration of MODIS land and atmosphere products with a coupled-process model to estimate gross primary productivity and evapotranspiration from 1 km to global scales. Glob. Biogeochem. Cycles 2011, 25. [Google Scholar] [CrossRef]
- Wang, Y.P.; Leuning, R. A two-leaf model for canopy conductance, photosynthesis and partitioning of available energy I: Model description and comparison with a multi-layered model. Agric. For. Meteorol. 1998, 91, 89–111. [Google Scholar] [CrossRef]
- Luo, X.; Chen, J.M.; Liu, J.; Black, T.A.; Croft, H.; Staebler, R.; He, L.; Arain, M.A.; Chen, B.; Mo, G.; et al. Comparison of big-leaf, two-big-leaf, and two-leaf upscaling schemes for evapotranspiration estimation using coupled carbon-water modeling. J. Geophys. Res. Biogeosci. 2018, 123, 207–225. [Google Scholar] [CrossRef]
- De Pury, D.; Farquhar, G. Simple scaling of photosynthesis from leaves to canopies without the errors of big-leaf models. Plant Cell Environ. 1997, 20, 537–557. [Google Scholar] [CrossRef]
- Macfarlane, C.; White, D.; Adams, M. The apparent feed-forward response to vapour pressure deficit of stomata in droughted, field-grown Eucalyptus globulus Labill. Plant Cell Environ. 2004, 27, 1268–1280. [Google Scholar] [CrossRef]
- Bottazzi, M. Transpiration Theory and the Prospero Component of GEOframe; University of Trento: Trento, Italy, 2020. [Google Scholar]
- Mobilia, M.; Schmidt, M.; Longobardi, A. Modelling Actual Evapotranspiration Seasonal Variability by Meteorological Data-Based Models. Hydrology 2020, 7, 50. [Google Scholar] [CrossRef]
- Mobilia, M.; Longobardi, A. Evaluation of meteorological data-based models for potential and actual evapotranspiration losses using flux measurements. In Proceedings of the International Conference on Computational Science and Its Applications, Cagliari, Italy, 1–4 July 2020; pp. 3–18. [Google Scholar]
- Jarvis, P. The interpretation of the variations in leaf water potential and stomatal conductance found in canopies in the field. Philos. Trans. R. Soc. Lond. B Biol. Sci. 1976, 273, 593–610. [Google Scholar]
- Flint, A.L.; Childs, S.W. Use of the Priestley-Taylor evaporation equation for soil water limited conditions in a small forest clearcut. Agric. For. Meteorol. 1991, 56, 247–260. [Google Scholar] [CrossRef]
- Cristea, N.C.; Kampf, S.K.; Burges, S.J. Revised coefficients for Priestley-Taylor and Makkink-Hansen equations for estimating daily reference evapotranspiration. J. Hydrol. Eng. 2013, 18, 1289–1300. [Google Scholar] [CrossRef]
- Patil, N.G.; Singh, S.K. Pedotransfer Functions for Estimating Soil Hydraulic Properties: A Review. Pedosphere 2016, 26, 417–430. [Google Scholar] [CrossRef]
- Allen, R.G. A Penman for all seasons. J. Irrig. Drain. Eng. 1986, 112, 348–368. [Google Scholar] [CrossRef]





| Site ID | Site Name | Latitude | Longitude | Climate | (Regime) | Elevation (m) | P (mm) | T (°C) | Prevailing Grassland Species | FLUXNET DOI: |
|---|---|---|---|---|---|---|---|---|---|---|
| AU-Dry | Dry River | −15.2588 | 132.3706 | Aw | 25.7 (S-H) | 180 | 956 | 27.22 | Eucalyptus and latifolia | 10.18140/FLX/1440197 |
| US-Cop | Corral Pocket | 38.09 | −109.39 | BSk | 10.6 (S-A) | 1520 | 234 | 11.98 | Hilaria jamesii and Stipa hymenoides | 10.18140/FLX/1440100 |
| US-Var | Vaira Ranch | 38.41329 | −120.951 | Csa | 21.0 (M) | 129 | 550 | 16.10 | Purple false brome and smooth cat’s ear | 10.18140/FLX/1440094 |
| IT-Tor | Torgnon | 45.84444 | 7.57806 | Dfc | 82.2 (E-H) | 2160 | 1237 | 5.04 | Nardus stricta L.and Festuca nigrescens All. | 10.18140/FLX/1440237 |
| GL-ZaH | Zackenberg Heath | 74.47328 | −20.5503 | ET | 99.0 (E-H) | 38 | 801 | −1.91 | Cassiope tetragona and Dryas integrifolia | 10.18140/FLX/1440224 |
| Site ID | Flux Data Range | Calibration Period | Validation Period | Calibrated Parameters |
|---|---|---|---|---|
| AU-Dry | 2008–2014 | 1st January 2012–31st December 2014 | 1st January 2008–31st December 2011 | PS: VPD, T, T, T, , , , |
| US-Cop | 2001–2007 | 1st January 2006–31st December 2007 | 1st January 2001–31st December 2005 | |
| US-Var | 2000–2014 | 18th February 2007–31st December 2014 | 4th July 2002–26th December 2006 | FAO: , |
| IT-Tor | 2008–2014 | 1st January 2011–31st December 2014 | 1st January 2008– 31st December 2010 | PT: |
| GL-Zah | 2000–2014 | 18th December 2000–31st December 2004 | 1st January 2005– 31st December 2004 |
| AU-Dry | US-Cop | US-Var | IT-Tor | GL-Zah | |||||||
|---|---|---|---|---|---|---|---|---|---|---|---|
| Param | Cal. | Param | Cal. | Param | Cal. | Param | Cal. | Param | Cal. | Range | |
| Penman-Monteith FAO | |||||||||||
| 0.12 | 0.060 | 0.12 | 0.083 | 0.12 | 0.057 | 0.12 | 0.055 | 0.12 | 0.119 | 0.04–0.15 | |
| 0.27 | 0.180 | 0.27 | 0.239 | 0.27 | 0.160 | 0.27 | 0.181 | 0.27 | 0.27 | 0.16–0.40 | |
| Priestley-Taylor | |||||||||||
| 1.26 | 0.70 | 1.26 | 0.70 | 1.26 | 0.70 | 1.26 | 0.96 | 1.26 | 0.70 | 0.7–1.8 | |
| Prospero | |||||||||||
| 0.12 | 0.04 | 0.12 | 0.122 | 0.12 | 0.040 | 0.12 | 0.055 | 0.12 | 0.051 | 0.04–0.15 | |
| 0.27 | 0.316 | 0.27 | 0.238 | 0.27 | 0.399 | 0.27 | 0.203 | 0.27 | 0.166 | 0.16–0.40 | |
| VPD | 5.0 | 5.61 | 5.0 | 3.07 | 5.0 | 5.0 | 5.0 | 5.0 | 5.0 | 6.90 | 2.0–8.0 |
| 0.005 | 0.007 | 0.005 | 0.006 | 0.005 | 0.005 | 0.005 | 0.003 | 0.005 | 0.005 | 0.003–0.007 | |
| 0.85 | 0.847 | 0.85 | 0.770 | 0.85 | 0.850 | 0.85 | 0.854 | 0.85 | 0.890 | 0.7–0.9 | |
| 0.0 | 4.2 | 0.0 | −2.4 | 0.0 | 0.0 | 0.0 | -2.93 | 0.0 | −4.3 | −5.0–5.0 | |
| 25.0 | 18.8 | 25.0 | 19.6 | 25.0 | 25.0 | 25.0 | 13.81 | 25.0 | 12.3 | 12.0–25.0 | |
| 50.0 | 31.9 | 50.0 | 40.7 | 50.0 | 50.0 | 50.0 | 33.11 | 50.0 | 41.9 | 25.0–50.0 | |
| Index | RMSE [mm h] | MAE [mm h] | R [-] | D [-] | ||||||||
|---|---|---|---|---|---|---|---|---|---|---|---|---|
| Model | PS | FAO | PT | PS | FAO | PT | PS | FAO | PT | PS | FAO | PT |
| AU-Dry | 0.15 | 0.17 | 0.22 | 0.08 | 0.10 | 0.12 | 0.6 | 0.4 | 0.8 | 0.7 | 0.6 | 0.8 |
| AU-Dry (C) | 0.12 | 0.15 | 0.11 | 0.07 | 0.09 | 0.06 | 0.8 | 0.6 | 0.8 | 0.9 | 0.7 | 0.9 |
| US-Cop | 0.07 | 0.06 | 0.20 | 0.03 | 0.03 | 0.10 | 0.3 | 0.2 | 0.6 | 0.5 | 0.5 | 0.4 |
| US-Cop (C) | 0.08 | 0.07 | 0.11 | 0.03 | 0.03 | 0.06 | 0.3 | 0.4 | 0.6 | 0.5 | 0.6 | 0.6 |
| US-Var | 0.08 | 0.10 | 0.25 | 0.04 | 0.05 | 0.15 | 0.8 | 0.7 | 0.5 | 0.9 | 0.7 | 0.6 |
| US-Var (C) | 0.08 | 0.08 | 0.15 | 0.04 | 0.04 | 0.09 | 0.8 | 0.8 | 0.5 | 0.9 | 0.9 | 0.7 |
| IT-Tor | 0.07 | 0.07 | 0.07 | 0.03 | 0.03 | 0.04 | 0.87 | 0.89 | 0.93 | 0.92 | 0.89 | 0.95 |
| IT-Tor (C) | 0.06 | 0.06 | 0.05 | 0.03 | 0.03 | 0.03 | 0.91 | 0.92 | 0.93 | 0.95 | 0.92 | 0.96 |
| GL-ZaH | 0.03 | 0.06 | 0.11 | 0.02 | 0.04 | 0.07 | 0.48 | 0.72 | 0.69 | 0.67 | 0.69 | 0.49 |
| GL-ZaH (C) | 0.03 | 0.06 | 0.05 | 0.02 | 0.04 | 0.03 | 0.52 | 0.70 | 0.67 | 0.71 | 0.66 | 0.69 |
| Soil Moisture | AU-Dry | US-Cop | US-Var | IT-Tor | GL-ZaH |
|---|---|---|---|---|---|
| Min | 0.03 | 0.03 | 0.00 | 0.11 | 0.32 |
| Mean | 0.07 | 0.10 | 0.12 | 0.26 | 0.38 |
| Max | 0.31 | 0.17 | 0.51 | 0.69 | 0.52 |
| 25% | 0.04 | 0.07 | 0.04 | 0.22 | 0.35 |
| 50% | 0.04 | 0.11 | 0.09 | 0.26 | 0.36 |
| 75% | 0.08 | 0.13 | 0.21 | 0.30 | 0.40 |
| Index | RMSE [mm] | MAE [mm] | R[-] | D [-] | ||||||||
|---|---|---|---|---|---|---|---|---|---|---|---|---|
| Model | PS | FAO | PT | PS | FAO | PT | PS | FAO | PT | PS | FAO | PT |
| AU-Dry | 1.9 | 2.2 | 2.3 | 1.4 | 1.8 | 1.8 | 0.51 | 0.36 | 0.74 | 0.65 | 0.51 | 0.73 |
| AU-Dry (C) | 2.1 | 2.3 | 2.1 | 1.4 | 1.7 | 1.4 | 0.40 | 0.34 | 0.28 | 0.62 | 0.54 | 0.58 |
| US-Cop | 0.85 | 0.82 | 2.19 | 0.49 | 0.58 | 1.4 | 0.18 | -0.02 | 0.50 | 0.40 | 0.34 | 0.39 |
| US-Cop (C) | 0.93 | 0.82 | 0.99 | 0.57 | 0.59 | 0.63 | 0.09 | 0.17 | 0.35 | 0.36 | 0.47 | 0.56 |
| US-Var | 0.98 | 1.28 | 2.57 | 0.63 | 0.80 | 1.83 | 0.73 | 0.60 | 0.22 | 0.85 | 0.65 | 0.47 |
| US-Var (C) | 1.22 | 1.26 | 1.57 | 0.78 | 0.80 | 1.15 | 0.55 | 0.52 | 0.19 | 0.74 | 0.68 | 0.54 |
| IT-Tor | 0.86 | 1.07 | 0.79 | 0.57 | 0.71 | 0.52 | 0.86 | 0.88 | 0.92 | 0.91 | 0.84 | 0.95 |
| IT-Tor (C) | 1.51 | 1.59 | 1.52 | 0.86 | 0.97 | 0.86 | 0.60 | 0.62 | 0.62 | 0.76 | 0.70 | 0.76 |
| GL-ZaH | 0.41 | 0.78 | 1.30 | 0.29 | 0.53 | 0.82 | 0.49 | 0.76 | 0.74 | 0.66 | 0.68 | 0.54 |
| GL-ZaH (C) | 0.45 | 0.73 | 0.59 | 0.27 | 0.44 | 0.3 | 0.39 | 0.53 | 0.53 | 0.63 | 0.63 | 0.68 |
Publisher’s Note: MDPI stays neutral with regard to jurisdictional claims in published maps and institutional affiliations. |
© 2021 by the authors. Licensee MDPI, Basel, Switzerland. This article is an open access article distributed under the terms and conditions of the Creative Commons Attribution (CC BY) license (https://creativecommons.org/licenses/by/4.0/).
Share and Cite
Bottazzi, M.; Bancheri, M.; Mobilia, M.; Bertoldi, G.; Longobardi, A.; Rigon, R. Comparing Evapotranspiration Estimates from the GEOframe-Prospero Model with Penman–Monteith and Priestley-Taylor Approaches under Different Climate Conditions. Water 2021, 13, 1221. https://doi.org/10.3390/w13091221
Bottazzi M, Bancheri M, Mobilia M, Bertoldi G, Longobardi A, Rigon R. Comparing Evapotranspiration Estimates from the GEOframe-Prospero Model with Penman–Monteith and Priestley-Taylor Approaches under Different Climate Conditions. Water. 2021; 13(9):1221. https://doi.org/10.3390/w13091221
Chicago/Turabian StyleBottazzi, Michele, Marialaura Bancheri, Mirka Mobilia, Giacomo Bertoldi, Antonia Longobardi, and Riccardo Rigon. 2021. "Comparing Evapotranspiration Estimates from the GEOframe-Prospero Model with Penman–Monteith and Priestley-Taylor Approaches under Different Climate Conditions" Water 13, no. 9: 1221. https://doi.org/10.3390/w13091221
APA StyleBottazzi, M., Bancheri, M., Mobilia, M., Bertoldi, G., Longobardi, A., & Rigon, R. (2021). Comparing Evapotranspiration Estimates from the GEOframe-Prospero Model with Penman–Monteith and Priestley-Taylor Approaches under Different Climate Conditions. Water, 13(9), 1221. https://doi.org/10.3390/w13091221

