Abstract
Water pollution can be monitored through the use of indicator species, including Brachionus calyciflorus. To do this, it is necessary to understand the species’ population ecology. Four surveys of zooplankton were conducted in May, August, and December 2018 and February 2019 in the Pearl River Delta, China, to examine the population characteristics of B. calyciflorus. The temporal and spatial distribution of abundance, biomass, dominance, and occurrence frequency were compared with those from 2012 to investigate the relationship between changes in the population of B. calyciflorus and environmental factors. The average abundance, dominance, and occurrence of B. calyciflorus in this survey were significantly higher than those of 2012 in all seasons. Principal component analysis showed that environmental factors such as the temperature, transparency, total nitrogen, and total phosphorus of water had a major impact on the abundance of B. calyciflorus. There was a significant positive correlation with transparency, total nitrogen, and total phosphorus of water, and a very significant positive correlation with water temperature. Overall, these results demonstrated that the distribution characteristics of B. calyciflorus can reflect pollution in water bodies and can be used to evaluate water quality. These research results provide a reference for evaluating China’s river health and can help to manage water quality in the Pearl River Delta.
1. Introduction
The Pearl River Delta was the pioneering area for China’s reform and opening up after 1978, and it has become one of the most important drivers of economic growth in China. It has also played a leading role in coordinating economic development with environmental protection. In recent years, the Pearl River Basin has experienced rapid economic and social development as well as accelerated urbanization and industrialization. These changes have been accompanied by substantial discharges of domestic sewage and industrial wastewater into the rivers. As a result, the Pearl River Delta typifies waterways that are subject to extremely frequent and severe anthropogenic disturbance [1]. The river network exhibits serious water pollution, the ecological environment has degraded, and biodiversity has declined sharply [2,3].
Rivers are important natural ecosystems and provide a variety of ecological services for people. Population growth and rapid economic development have severely affected the ecological environment of rivers [4], and managing river ecosystem health has become a major concern worldwide. To consider all the possible negative effects comprehensively and carefully, it is necessary to monitor and evaluate the river water environment in a timely manner to adapt or improve restoration and treatment measures/methods.
Rotifers are an important part of the zooplankton community and a key node in the micro-food web of river ecosystems [5]. Rotifers are small, reproduce quickly, and are sensitive to changes in water quality. Thus, investigating changes in the composition and abundance of rotifer communities can shed light on changes in the water quality and nutritional status of water bodies to help assess water quality [6,7,8,9]. Brachionus calyciflorus, which belongs to the phylum Rotifera, the class Monogononta, the order Ploima, the family Brachionidae, and the genus Brachionus, is the most common freshwater zooplankton [10]. The Environmental Issues Committee of the Ecological Society of Japan, in their report (1987), specified B. calyciflorus as a pollution indicator of water bodies at the α stage. Many researchers have also used Brachionus as an indicator species for the eutrophication of water bodies [7,11].
Brachionus calyciflorus is the dominant species of rotifer in the river network of the Pearl River Delta. Endogenous factors that affect the population of B. calyciflorus (e.g., genetic structure) have been an increasing focus in recent years [12,13,14,15,16]. However, the population characteristics of B. calyciflorus in the Pearl River Delta and their application for water quality assessment remain unreported. Therefore, studying the status and evolution of the B. calyciflorus community is important for biodiversity research, ecosystem monitoring, and water quality assessment in this river network. In this study, B. calyciflorus in the river network of the Pearl River Delta was sampled over a one-year period to examine the seasonal changes in community characteristics and their relationship with environmental factors. The survey data were also compared with data from 2012 for further analysis, and a preliminary investigation was made into the use of the population distribution characteristics of B. calyciflorus as an indicator of water environment conditions.
2. Materials and Methods
2.1. Overview of Survey Area
The Pearl River Delta is the largest alluvial plain in the southern subtropics of China. It is located at 22°02′–23°18′ N and 112°35′–113°57′ E and has an area of 4.16 × 104 km2. It is composed of alluvial plains in the lower reaches of the Xi, Bei, and Dong Rivers as well as estuary deltas [17]. It has a river network of 9750 km2, including more than 100 waterways with a total length of about 1700 km. With many interwoven waterways forming a river network of 0.8 km km−2 in density, it is one of the most complex estuary deltas in the world. The runoff from the Pearl River Delta flows into the South China Sea through eight ports.
The Pearl River Delta is located in the south subtropical monsoon climate zone, with an abundant rainfall of 1600–2300 mm annually. The total average runoff is 336 × 109 m3 per year [17]. The per capita water resources are much higher than the national average for China. Owing to the influence of the monsoon climate, about 80% of the precipitation occurs in the flood season, and the temporal and spatial distribution of water resources is extremely skewed [18,19].
2.2. Survey Locations
Water samples were taken at 13 sites within the river network in the Pearl River Delta during the surveys. The sampled sites included Qingqi, Zuotan, Waihai, Xinwei, Xiaolan, Xiaotang, Beijiao, Lanhe, Hengli, Chencun, Pearl River Bridge, Lianhuashan, and Shiqiao (Figure 1). Samples were taken during the wet season in May and August 2018, and the dry season in December 2018 and February 2019.
Figure 1.
Map of sampling sites.
2.3. Methods
Zooplankton samples were collected and analyzed (both qualitatively and quantitatively) according to Zhang and Huang [20]. The individuals of B. calyciflorus in the samples were counted under a stereo microscope to measure the abundance (unit: ind./L).
The following methods for measuring the biomass of protozoa and rotifers were used. At peak population times, water samples were collected with a net, and individual samples were extracted with a straw of appropriate diameter under a dissecting mirror and placed on a filter membrane. The amount of water was minimized. The filter membrane containing protozoa or rotifers was put in a constant temperature drying oven. After 24 h of drying, the zooplankton on the filter membrane were picked out one by one with a dissecting needle, placed on a weighed platinum sheet, and quickly weighed on an electronic balance to obtain the average weight of each protozoa or rotifer.
The following methods were used for measuring the biomass of crustaceans. Individuals of the same length were placed on a thin glass slide and water was removed by absorption with filter paper until the glass slide was free of moisture, at which time the wet weight of B. calyciflorus was quickly measured. The glass slides with the individuals were then dried in an oven at about 60 °C for 24 h and the dry weight of B. calyciflorus was measured. Generally, 30 individuals were measured for each length group. For the small length groups, more than 100 measurements were made [20].
Water chemistry indicators (e.g., pH and dissolved oxygen) were measured on site with a portable water quality analyzer (6920-0, YSI, USA) during the collection of zooplankton samples. Water transparency was measured using a Secchi disk. Nutrients (e.g., total nitrogen, total phosphorus, and ammonia nitrogen) were measured in the laboratory using water sampled and fixated on site. The chlorophyll a content was determined by the N,N-dimethylformamide (DMF) method.
2.4. Data Processing
The dominance of B. calyciflorus was calculated as follows:
where fi is the occurrence of B. calyciflorus at each site, mi is the abundance of B. calyciflorus, and M is the total abundance [21].
Y = fi·mi/M
The temporal and spatial distribution characteristics were analyzed with Origin 9.0. The relationship between the abundance of B. calyciflorus and environmental factors was analyzed with Canoco 4.5.
Ordination analysis was carried out as follows. The species abundance environment data were analyzed by detrended correspondence analysis (DCA), and a suitable ordination method was selected according to the gradient length of the DCA ordination axis. Generally, when the gradient length of the sorting axis is less than 3, a linear model should be used; when the gradient length is greater than 4, a unimodal model should be used; and when the gradient length is between 3 and 4, both models are suitable. Before ranking, all environmental factors were screened by redundancy analysis. If the expansion factor of an environmental variable was more than 10, this indicated that it had multicollinearity with other environmental variables and made little contribution to the model [22].
In principal components analysis (PCA), the eigenvalue is an index to measure the importance of the ordination axis. According to the eigenvalues of each ordination axis, we can calculate the variance of abundance data and the relationship between abundance and the environment [23].
In the PCA ordination chart, environmental factors are represented by arrows. The length of the arrow represents the degree of correlation between an environmental factor and species distribution. The longer the line, the greater the correlation. The quadrant of the arrow represents a positive or negative correlation between environmental factors and the ordination axis. The angle between the arrow line and the ordination axis represents the degree of correlation between an environmental factor and the ordination axis; the smaller the angle, the higher the correlation. The angle between two arrows represents the correlation between the two environmental factors; the smaller the angle, the greater the correlation [24]. In the PCA, both water environmental parameters and zooplankton relative abundance were converted by log [LG (x + 1)].
3. Results and Analysis
3.1. Seasonal Variation of the Main Environmental Factors
The salinity in autumn was higher than in the other three seasons. The seasonal variation in the total phosphorus content showed spring (0.11 mg/L) < summer (0.12 mg/L) < autumn (0.20 mg/L) < winter (0.22 mg/L). The total nitrogen content was highest in winter (3.5 mg/L), followed by autumn (2.6 mg/L). The chlorophyll a content was highest in spring (21.8 μg/L) and lowest in summer (15.2 μg/L) (Figure 2).
Figure 2.
Seasonal variation of the main environmental factors in the Pearl River Delta. The units are: temperature, °C; salinity, ‰; total phosphorus, mg/L; total nitrogen, mg/L; chlorophyll a content, μg/L.
3.2. Seasonal Changes in Ecological Characteristics
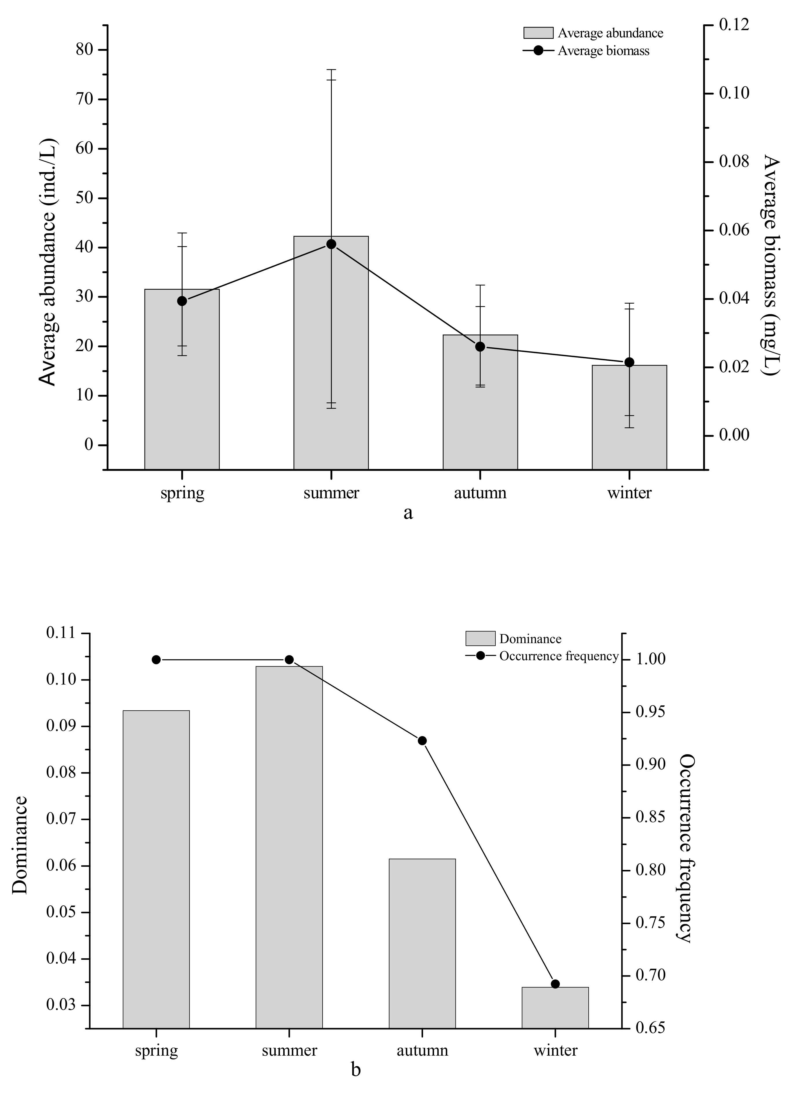
There was some variation in the seasonal abundance of B. calyciflorus, in the order of summer (42 ind./L) > spring (32 ind./L) > autumn (22 ind./L) > winter (16 ind./L) (Figure 3a). The biomass of B. calyciflorus followed the same order: summer (0.056 mg/L) > spring (0.039 mg/L) > autumn > winter. The dominance of B. calyciflorus showed the same trend as abundance (Figure 3b). As the major dominant rotifer species in the waters of the Pearl River Delta, B. calyciflorus was very dominant in summer (Y = 0.10) and spring (Y = 0.09), and also dominant in autumn and winter (both Y ≥ 0.02). The occurrence of B. calyciflorus reached 100% in both spring and summer, 92% in autumn, and 69% in winter (Figure 3).
Figure 3.
Seasonal variation of the ecological characteristics of Brachionus calyciflorus in the Pearl River Delta. (a) Average abundance and average biomass; (b) average dominance and average occurrence.
3.3. Spatial Distribution of Ecological Characteristics
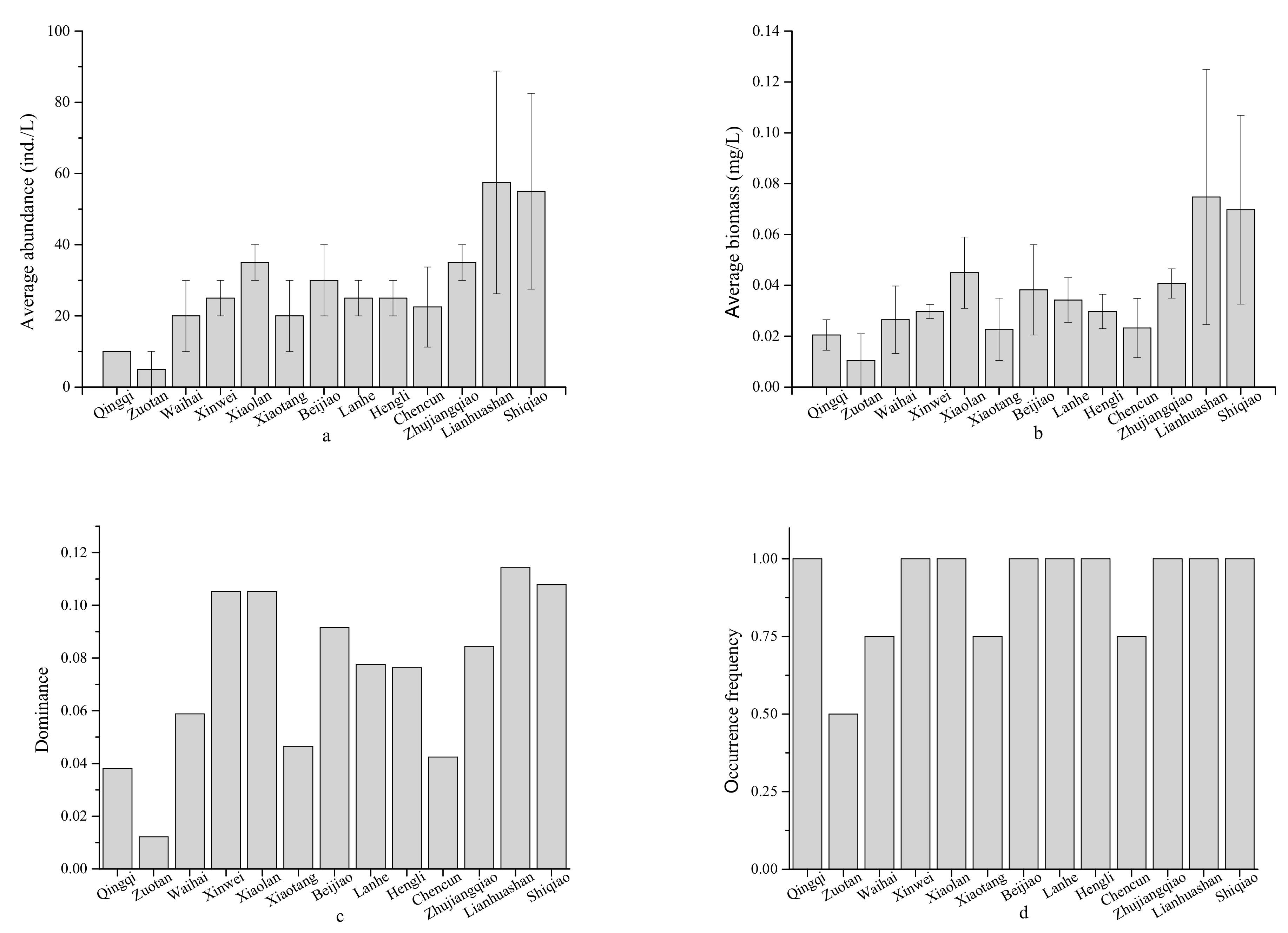
Brachionus calyciflorus had lower abundance, biomass, dominance, and occurrence at Qingqi and Zuotan than at the other sites (Figure 4a). The average abundance of B. calyciflorus was highest at Lianhuashan (38 ind./L), followed by Xiaolan and Pearl River Bridge (both 35 ind./L), and lowest at Qingqi and Zuotan (both 13 ind./L).
Figure 4.
Spatial distribution of the ecological characteristics of Brachionus calyciflorus. (a) Average abundance; (b) average biomass; (c) average dominance; (d) average occurrence.
3.4. Inter-Annual Variation of Ecological Characteristics
The peak abundance of B. calyciflorus occurred in winter in 2012 but in summer in 2018–2019 (Table 1). The average abundance of other seasons in the current survey was notably higher than that of 2012 except winter, and the annual abundance was higher than that of 2012. The average biomass of B. calyciflorus was in the order of summer > spring > autumn > winter in this survey but was winter > autumn > summer > spring in 2012. The dominance and occurrence of B. calyciflorus were significantly higher in spring, summer, and autumn in the current survey than in 2012.
Table 1.
Comparison of the ecological characteristics of Brachionus calyciflorus in 2012 and in 2018–2019.
Compared with the data from the same area of water in the same period of 2012, the salinity and chlorophyll a content showed a downward trend during the survey period of 2018–2019, while the water temperature, total phosphorus content, and total nitrogen content showed an upward trend (Table 2).
Table 2.
Comparison of water environmental factors in 2012 and in 2018–2019.
3.5. The Contribution of B. calyciflorus to the Total Abundance and Total Biomass of Rotifers
The annual abundance of B. calyciflorus accounted for 7.8% of the total abundance of rotifers, which was not significantly lower than that of Polyarthra trigla (8.3%). The contribution of B. calyciflorus to the total abundance of rotifers was largest (10%) in summer and smallest (5%) in winter (Figure 5a). The contribution of B. calyciflorus to the total biomass of rotifers was in the order of summer > spring > autumn > winter. Spatially, the contribution from B. calyciflorus to the total abundance and total biomass of rotifers was greatest at Lianhuashan (11% and 12%, respectively), followed by Shiqiao (11% and 11%, respectively), and smallest at Zuotan (2% and 4%, respectively) (Figure 5c,d).
Figure 5.
Contribution from Brachionus calyciflorus to the total abundance and total biomass of rotifers. (a) Seasonal breakdown of abundance; (b) seasonal breakdown of biomass; (c) contribution to total abundance at different sites; (d) contribution to total biomass at different sites.
3.6. The Influence of Environmental Factors on the Abundance of B. calyciflorus
Environmental factors were selected using the variance expansion factor. To avoid errors caused by highly correlated environmental variables, those with an expansion factor greater than 10 were removed. Seven environmental factors, including pH, transparency, dissolved oxygen, total nitrogen, total phosphorus, ammonia nitrogen, and chlorine a, were manually selected for analysis (Figure 6). The abundance of B. calyciflorus in the waters of the Pearl River Delta was strongly influenced by water temperature, transparency, total nitrogen, and total phosphorus (Figure 6). Specifically, the abundance of B. calyciflorus exhibited a significant positive correlation with transparency, total nitrogen, and total phosphorus, and a very significant positive correlation with water temperature.
Figure 6.
Two-dimensional descending graph of the abundance of Brachionus calyciflorus and environmental factors.
The first two axes of the PCA two-dimensional ranking accounted for 88% and 99% (cumulative contribution) of the species variability, respectively. That is, the first two ranking axes could be considered as the main component axis and contained 88% and 99% of the information from environmental factors. Therefore, the PCA two-dimensional descending graph could be used to study the relationship between the abundance of B. calyciflorus and environmental factors.
The eigenvalues of the first and second ordination axes were 0.850 and 0.383, respectively, which explained 62.8% of the cumulative variance between the abundance of B. calyciflorus and environmental factors. The correlation coefficients between the ranking axis and environmental factors from the PCA are shown in Table 3, along with the principal component axes.
Table 3.
Correlation coefficients for environmental factors with the main principal component axes of the abundance of Brachionus calyciflorus.
The correlation between environmental factors and the abundance of B. calyciflorus showed that total phosphorus and total nitrogen were significantly positively correlated with the first ordination axis, AX1, while temperature and transparency were significantly positively correlated with the second ordination axis, AX2.
4. Discussion
4.1. Population Distribution of B. calyciflorus
The current results showed that the population of B. calyciflorus in the river network of the Pearl River Delta had significant seasonal changes, showing a trend of summer > spring > autumn > winter. The B. calyciflorus population was highest in summer when the water temperature was high and lowest in winter when the water temperature was low, which is consistent with May and Wen et al. [25,26]. Carlin and Herzig pointed out that different species of rotifers may have different temperature adaptability. When the water temperature reaches the optimal temperature for a certain rotifer species, its population experiences the largest growth rate [27,28]. This gives rise to the seasonal succession phenomenon of rotifers of different genera or even different species of the same genus. For example, the population density of Polyarthra dolichoptera, Polyarthra remata and Polyarthra vulgaris peaked at the beginning of the year (cold), the end of summer to autumn (warm), and autumn and winter (intermediate), respectively [27].
The significant positive correlation between the abundance of B. calyciflorus and water transparency can be explained by the direct effect of light because rotifers are zooplankton with eyespots that are connected to the brain by nerves and that contain red pigment [29]. Wang and Li proved that light had a significant effect on the population growth of B. calyciflorus. High transparency is conducive also to the reproduction of algae, which supplements rotifer prey, and thus promotes the growth of rotifers [30].
The observed increase in the abundance and biomass of B. calyciflorus from southwest to northeast was related to the trophic gradient of the region and was also reported by other studies [11,31,32,33,34]. The survey sites in the northeast of the Pearl River Delta river network were closer to Guangzhou and other cities that provided high nutrient inputs, while in the southeast, the water in the river mouth was refreshed by each tide. Higher nutrient availability, in particular the total nitrogen and total phosphorus content, has a significant correlation with rotifer population density [35,36]. Thus, the seasonal succession of the rotifer community and its density may also be related to the nutritional status of the water body [36,37,38].
4.2. Indications of the Water Environment
Rotifers of the Brachionus genus mainly eat algae and organic particles. They are tolerant of sewage and are, thus, indicators of sewage. They are highly resilient and adapt to harsh environments with marked spatiotemporal changes [39]. In recent years, the eutrophication of the Pearl River Delta has been deteriorating year by year due to urban sewage, livestock breeding, and agricultural irrigation. The fact that B. calyciflorus, as the second most dominant species of rotifers in the Pearl River Delta, can be used as a pollution indicator is consistent with the assessment of abiotic environmental factors. The distribution characteristics of B. calyciflorus reflect the pollution of water bodies and can be readily used to evaluate the quality of water environments.
5. Conclusions
The average abundance, dominance, and occurrence of B. calyciflorus in this survey were significantly higher than those of 2012 for all seasons. The PCA showed that environmental factors such as the temperature, transparency, total nitrogen, and total phosphorus of water had a major impact on the abundance of B. calyciflorus in the surveyed area. Specifically, the abundance of B. calyciflorus showed a significant positive correlation with the transparency, total nitrogen, and total phosphorus of water, and a very significant positive correlation with water temperature. Overall, these results demonstrated that the distribution characteristics of B. calyciflorus reflect the pollution of water bodies and can be used to evaluate the quality of aquatic environments. We can assess the changes in the community structure of rotifers and even zooplankton through long-term monitoring of the population characteristics of B. calyciflorus, as the second most dominant species of rotifers in the Pearl River Delta. This species can also provide data support for the later ecological restoration of the river. Government departments may adopt optimal management measures to eliminate or reduce the factors affecting river health as much as possible and to improve the health of the river waters of the Pearl River Delta. This would further improve the ecosystem service function of the waters for human society in the Pearl River Delta, China.
Author Contributions
Conceptualization, Y.G. and Z.L.; methodology, Z.L.; software, C.W.; validation, Y.G., Z.L. and C.W.; formal analysis, H.L.; investigation, Y.M.; resources, H.L.; data curation, H.L.; writing—original draft preparation, Y.G.; writing—review and editing, Y.G.; visualization, C.W.; supervision, Y.G.; project administration, Y.G.; funding acquisition, Y.G. All authors have read and agreed to the published version of the manuscript.
Funding
This work was supported by the Natural Science Foundation of Guangdong Province (2018A030313848) and the National Key R&D Program of China (2018YFD0900802).
Institutional Review Board Statement
Not applicable.
Informed Consent Statement
Not applicable.
Data Availability Statement
The data presented in this study are available in [Population Characteristics of Brachionus calyciflorus and Their Potential Application for Evaluating River Health in the Pearl River Delta, China].
Acknowledgments
We thank Leonie Seabrook from Liwen Bianji, for editing the English text of a draft of this manuscript.
Conflicts of Interest
The authors declare that they have no conflict of interest.
References
- Han, L.; Gao, Z.Q.; Bai, J.H.; Wen, X.J.; Zhang, G.L.; Wang, W. PAHs in surface wetland soils of the Pearl River Delta affected by urbanization: Levels, sources, and toxic risks. J. Agro-Environ. Sci. 2019, 38, 609–617. (In Chinese) [Google Scholar]
- Fu, J.; Mai, B.; Sheng, G.; Zhang, G.; Wang, X.; Peng, P.; Xiao, X.; Ran, R.; Cheng, F.; Peng, X.; et al. Persistent organic pollutants in environment of the Pearl River Delta, China: An overview. Chemosphere 2003, 5, 1411–1422. [Google Scholar] [CrossRef]
- Deng, P.Y.; Chen, G.Z.; Sun, H.Y. Degradation of the coastal wetlands in Guangdong Province and counter measures. Trop. Geogr. 2004, 24, 159–162. (In Chinese) [Google Scholar]
- Ji, X.Y.; Cui, G.B. Summary of river health restoration methods. J. China Three Gorges Univ. (Nat. Sci.) 2008, 30, 38–43. (In Chinese) [Google Scholar]
- Arndt, H. Rotifers as predators on components of the microbial web (bacteria, heterotrophic flagellates, ciliates)? a review. Hydrobiologia 1993, 255, 231–246. [Google Scholar] [CrossRef]
- Janakiraman, A.; Naveed, M.S.; Altaff, K. Impact of domestic sewage pollution on rotifer abundance in Adyar estuary. Int. J. Environ. Sci. 2012, 3, 689–696. [Google Scholar]
- Sládeček, V. Rotifers as indicators of water quality. Hydrobiology 1983, 100, 169–201. [Google Scholar] [CrossRef]
- Wang, Q.; Yang, Y.F. Primary study on rotifer community structure in the Guangzhou segment of the river pearl. Acta Hydrobiol. Sin. 2007, 31, 233–239. (In Chinese) [Google Scholar]
- Gutkowska, A.; Paturej, E.; Kowalska, E. Rotifer trophic state indices as ecosystem indicators in brackish coastal waters. Oceanologia 2013, 55, 887–899. [Google Scholar] [CrossRef]
- Han, Y.J. Effects of Temperature on the Expression Characteristics of Related Genes in Rotifer Brachionus Calyciflorus during Senescence; Nanjing Normal University: Nanjing, China, 2019. (In Chinese) [Google Scholar]
- Mäemets, A. Rotifers as indicators of lake types in Estonia. Hydrobiology 1983, 104, 357–361. [Google Scholar] [CrossRef]
- Zha, C.-W.; Xi, Y.-L.; Huang, L.; Zhao, L.-L. Effect of Sublethal Exposure to Chlordecone on Life History Characteristics of Freshwater Rotifer Brachionus calyciflorus Pallas. Bull. Environ. Contam. Toxicol. 2007, 78, 79–83. [Google Scholar] [CrossRef] [PubMed]
- Liu, S.G. The Mechanism Study on Fluctuation of Brachionus Calyciflorus Population in Lake Jinghu during Seasonal Alteration Period; Anhui Normal University: Anuhi, China, 2007. (In Chinese) [Google Scholar]
- Jiang, D.H. Seasonal Variation of Population Structure of Brachionus calyciflorus (Rotifera) in Lake Jinghu; Anhui Normal University: Anuhi, China, 2007. (In Chinese) [Google Scholar]
- Tian, B.J. Effects of Several Environmental Factors on Population Growth of Brachionus calyciflorus and In Vitro Digestion; Chongqing Normal University: Chongqing, China, 2009. (In Chinese) [Google Scholar]
- Hu, K. The Temporal and Spatial Differentiation of the Ecological Characteristics of Brachionus calyciflorus Population; Anhui Normal University: Anhui, China, 2010. (In Chinese) [Google Scholar]
- Zhou, Y.; Liu, J.; Wu, R.H. Analysis on water environmental problems and their causes in pearl river delta. Yunnan Geogr. Environ. Res. 2003, 15, 47–53. (In Chinese) [Google Scholar]
- Peng, J.; Wang, H.; Xu, T.B. On economic development and evolution of aquatic environment of Pearl River delta. J. Econ. Water Resour. 2005, 23, 5–7. (In Chinese) [Google Scholar]
- Huang, Y.; Zhang, D.; Yang, Y.; Zeng, X.; Ran, Y. Distribution and partitioning of polybrominated diphenyl ethers in sediments from the Pearl River Delta and Guiyu, South China. Environ. Pollut. 2018, 235, 104–112. [Google Scholar] [CrossRef] [PubMed]
- Zhang, Z.S.; Huang, X.F. Studying Methods on Freshwater Plankton; Beijing Science Press: Beijing, China, 1995. (In Chinese) [Google Scholar]
- Xu, Z.L.; Wang, Y.L.; Chen, Y.Q.; Shen, H.T. An ecological study on zooplankton in maximum turbid zone of estuarine area of Changjiang (Yangtze) River. J. Fish. Sci. China 1995, 2, 39–48. (In Chinese) [Google Scholar]
- O’Brien, R.M. A Caution Regarding Rules of Thumb for Variance Inflation Factors. Qual. Quant. 2007, 41, 673–690. [Google Scholar] [CrossRef]
- Ter Braak, C.J.F.; Smilauer, P. CANOCO Reference Manual and CANODRAW for Windows User’s Guide: Software for Canonical Community Ordination (Version 4.5); Microcomputer Power: Ithaca, NY, USA, 2002; pp. 265–268. [Google Scholar]
- Zhang, J.T. Quantitative Ecology; Beijing Science Press: Beijing, China, 2004. (In Chinese) [Google Scholar]
- May, L. Rotifer occurance in relation to water temperature in Loch Leven, Scotland. Hydrobiologia 1983, 104, 311–315. [Google Scholar] [CrossRef]
- Wen, L.X.; Xi, Y.L.; Zhang, L.; Lu, X.J. Analysis of community structure of rotifer and ecological assessment of water quality in lake Jinghu, Wuhu city. Acta Hydrobiol. Sin. 2006, 30, 115–152. (In Chinese) [Google Scholar]
- Carlin, B. Die planktonrotatorien des motalastrom. zur taxonomie der planktonrotatorien. Medd. Lunds Univ. Limnol. Inst. 1943, 5, 256. [Google Scholar]
- Herzig, A. The analysis of planktonic rotifer populations: A plea for long-term investigations. Hydrobiologia. 1987, 147, 163–180. [Google Scholar] [CrossRef]
- Wang, J.J. Rotifera Sinicarum Aquae Dulcis; Beijing Science Press: Beijing, China, 1961. (In Chinese) [Google Scholar]
- Wang, J.Q.; Li, D.S. Effects of ecological factors on the population dynamics of Brachiorus calyciflorus–The effect of light. Trans. Oceanol. Limnol. 1997, 4, 23–27. (In Chinese) [Google Scholar]
- Ejsmint-Karabin, J. Rotifer occurance in relation to age, depth and trophic state of quarry lakes. Hydrobiologia 1995, 313, 21–28. [Google Scholar] [CrossRef]
- Duggan, I.; Green, J.; Shiel, R. Distribution of rotifers in North Island, New Zealand, and their potential use as bioindicators of lake trophic state. Hydrobiology 2001, 446, 155–164. [Google Scholar] [CrossRef]
- Duggan, I.C.; Green, J.D.; Shiel, R.J. Distribution of rotifer assemblages in North Island, New Zealand, lakes: Relationships to environmental and historical factors. Freshw. Biol. 2002, 47, 195–206. [Google Scholar] [CrossRef]
- Yoshida, T.; Urabe, J.; Elser, J. Assessment of “top-down” and “bottom-up” forces as determinants of rotifer distribution among lakes in Ontario, Canada. Ecol. Res. 2003, 18, 639–650. [Google Scholar] [CrossRef]
- Stemberger, R.S. The influence of mixing on rotifer assemblages of Michigan lakes. Hydrobiology 1995, 297, 149–161. [Google Scholar] [CrossRef]
- Devetter, M. Influence of environmental factors on the rotifer assemblage in an artificial lake. Hydrobiology 1998, 387, 171–178. [Google Scholar] [CrossRef]
- Bērziņš, B.; Pejler, B. Rotifer occurrence and trophic degree. Hydrobiology 1989, 182, 171–180. [Google Scholar] [CrossRef]
- Arora, J.; Mehra, N.K. Seasonal dynamics of rotifers in relation to physical and chemical conditions of the river Yamuna (Delhi), India. Hydrobiology 2003, 491, 101–109. [Google Scholar] [CrossRef]
- Sousa, W.; Attayde, J.L.; Rocha, E.D.S.; Eskinazi-Sant’Anna, E.M. The response of zooplankton assemblages to variations in the water quality of four man-made lakes in semi-arid northeastern Brazil. J. Plankton Res. 2008, 30, 699–708. [Google Scholar] [CrossRef]
Publisher’s Note: MDPI stays neutral with regard to jurisdictional claims in published maps and institutional affiliations. |
© 2021 by the authors. Licensee MDPI, Basel, Switzerland. This article is an open access article distributed under the terms and conditions of the Creative Commons Attribution (CC BY) license (http://creativecommons.org/licenses/by/4.0/).





