A Parametric Approach for Determining Fishway Attraction Flow at Hydropower Dams
Abstract
1. Introduction
2. Design Approach
2.1. Boundary Conditions in a Turbine Tailrace
2.2. Design Criteria
- The attraction discharge should be sufficiently large to prevent the intrusion of turbulent structures associated with turbine operation into the fishway entrance bay. A sufficiently large attraction discharge creates an uninterrupted directional signal that guides fishes towards the entrance and reduces the presence of constantly changing flow vectors which may disorient or hinder the movement of fish towards the fishway entrance, particularly at high discharges [10,23,24].
- 4.
- A migration corridor for fish approaching the HPP should be located laterally to the turbulent zone (see entrance bay in Figure 2).
- 5.
- Minimum time-averaged water velocities of the attraction flow, , must (a) significantly exceed the rheotaxis threshold to give a clear signal to migratory fish [8,25] and (b) not exceed design water velocities of the fishway. For our approach, we assume to be 0.8 m/s. The attraction velocity considers design recommendations for entrance velocities of fishways [10,16,26] and investigations on flow perception of fish and their swimming behavior and performance [27,28,29].
- 6.
- Water velocities of the attraction flow must be comprised solely of positive flow vectors to not distract fish [7].
- 7.
2.3. Length of Turbulent Zone
2.4. Propagation Length of Attraction Flow
2.4.1. Turbulent Rectangular Surface Jet
2.4.2. Correction for Ambient Flow
2.4.3. Correction for Slot Geometry and Lateral Wall
2.5. Determination of Width of Entrance Slot and Attraction Discharge
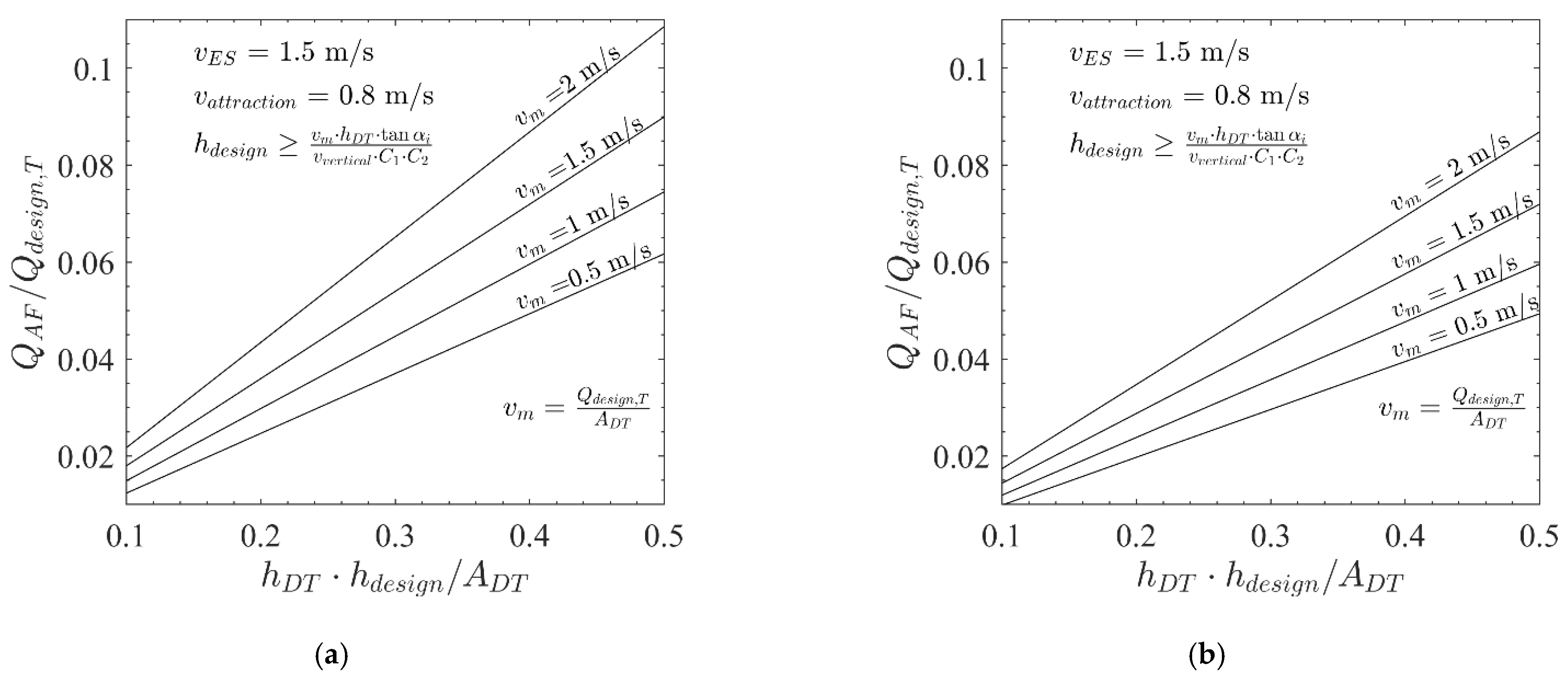
3. Results
3.1. Attraction Discharge
3.2. Case Study
- One percent and 1.5% as lower and upper estimates, respectively, of the design discharge of the entire HPP as proposed for French rivers [14].
- Five percent of the design discharge of the turbine adjacent to the fishway as proposed for German Waterways [17].
- Five percent of the maximum HPP discharge proposed for rivers in the UK [16].
4. Discussion
4.1. Design Approach
4.2. Validation
4.3. Significance in the Context of Planning
5. Conclusions
Author Contributions
Funding
Institutional Review Board Statement
Informed Consent Statement
Data Availability Statement
Acknowledgments
Conflicts of Interest
Appendix A


Appendix B

References
- European Union. Directive 2000/60/EG of the European Parliament and of the Council-Framework for Community Action in the Field of Water Policy: Directive 2000/60/EG-Water Framework Directive; European Union: Brussels, Belgium, 2000. [Google Scholar]
- Larinier, M. Fishways-General considerations. Bull. Fr. Pêche Piscic. 2002, 364, 21–27. [Google Scholar] [CrossRef]
- Venus, T.E.; Smialek, N.; Pander, J.; Harby, A.; Geist, J. Evaluating Cost Trade-Offs between Hydropower and Fish Passage Mitigation. Sustainability 2020, 12, 8520. [Google Scholar] [CrossRef]
- Williams, J.G.; Armstrong, G.S.; Katopodis, C.; Larinier, M.; Travade, F. Thinking like a fish: A key ingredient for development of effective fish passage facilities at river obstructions. River Res. Appl. 2012, 28, 407–417. [Google Scholar] [CrossRef]
- Enders, E.C.; Boisclair, D.; Roy, A.G. The effect of turbulence on the cost of swimming for juvenile Atlantic salmon (Salmo salar). Can. J. Fish. Aquat. Sci. 2003, 60, 1149–1160. [Google Scholar] [CrossRef]
- Čada, G.; Carlson, T.; Ferguson, J.; Richmond, M.; Sale, M. Exploring the Role of Shear Stress and Severe Turbulence in Downstream Fish Passage. In Hydro’s Future: Technology Markets and Policy, Proceedings of the Waterpower Conference 1999, Las Vegas, NV, USA, 6–9 July 1999; Brookshier, P.A., Ed.; American Society of Civil Engineers: Reston, VA, USA, 1999; pp. 1–9. ISBN 978-0-7844-0440-9. [Google Scholar]
- Liao, J.C. A review of fish swimming mechanics and behaviour in altered flows. Philos. Trans. R. Soc. B Biol. Sci. 2007, 362, 1973–1993. [Google Scholar] [CrossRef] [PubMed]
- Pavlov, D.; Lupandin, A.; Skorobogatov, M. The Effects of Flow Turbulence on the Behavior and Distribution of Fish. J. Ichthyol. 2000, 40, 232–261. [Google Scholar]
- Gisen, D.C.; Weichert, R.B.; Nestler, J.M. Optimizing attraction flow for upstream fish passage at a hydropower dam employing 3D Detached-Eddy Simulation. Ecol. Eng. 2017, 100, 344–353. [Google Scholar] [CrossRef]
- DWA-Regelwerk. Merkblatt DWA-M 509: Fischaufstiegsanlagen und fischpassierbare Bauwerke—Gestaltung, Bemessung, Qualitätssicherung; DWA-Regelwerk: Hennef, Germany, 2014. [Google Scholar]
- Kopecki, I.; Tuhtan, J.A.; Schneider, M.; Ortlepp, J.; Thonhauser, S.; Schletterer, M. Assessing Fishway Attraction Flows Using an Ethohydraulic Approach. In Proceedings of the 3rd IAHR Europe Congress, Porto, Portugal, 14–15 April 2014; ISBN 978-989-96479-2-3. [Google Scholar]
- Visser, K.P.; Ruys, B.; Viaene, P.; Creëlle, S.; Mulder, T.D. Assessment of the attraction flow in a fish passage. In Proceedings of the 5th IAHR International Junior Researcher and Engineer Workshop on Hydraulic Structures, Spa, Belgium, 28–30 August 2015. [Google Scholar]
- Musall, M.; Oberle, P.; Nestmann, F.; Fust, A. 3-D-Strömungssimulation zur Bewertung der Leitströmung eines Umgehungsgerinnes am Hochrheinkraftwerk Ryburg-Schwörstadt. WasserWirtschaft 2008, 98, 37–42. [Google Scholar] [CrossRef]
- Larinier, M. Location of fishways. Bull. Fr. Pêche Piscic. 2002, 364, 39–53. [Google Scholar] [CrossRef]
- National Marine Fisheries Service (NMFS). Anadromous Salmonid Passage Facility Design; NMFS, Northwest Region: Portland, OR, USA, 2011.
- Armstrong, G.S.; Aprahamian, M.W.; Fewings, G.A.; Gough, P.J.; Reader, N.A.; Varallo, P.V. Environment Agency Fish Pass Manual: Guidance Notes on the Legislation, Selection and Approval of Fish Passes in England and Wales; Document-GEHO 0910 BTBP-E-E; Environment Agency: Bristol, UK, 2010.
- Weichert, R.; Kampke, W.; Deutsch, L.; Scholten, M. Zur Frage der Dotationswassermenge von Fischaufstiegsanlagen an großen Fließgewässern. WasserWirtschaft 2013, 33–38. [Google Scholar] [CrossRef]
- Grünzner, M.; Haimerl, G. Numerical Simulation of Downstream Attraction Flow at Danube Weir Donauwörth. In Proceedings of the 9th International Symposium on Ecohydraulics, Vienna, Austria, 17–22 September 2012. [Google Scholar]
- Sakamoto, M.; Müller, A.; Andolfatto, L.; Hashii, T.; Yamaishi, K.; Avellan, F. Experimental investigation and numerical simulation of flow in the draft tube elbow of a Francis turbine over its entire operating range. IOP Conf. Ser. Earth Environ. Sci. 2019, 240, 72009. [Google Scholar] [CrossRef]
- Cook, C.B.; Richmond, M.C.; Serkowski, J.A. Observations of velocity conditions near a hydroelectric turbine draft tube exit using ADCP measurements. Flow Meas. Instrum. 2007, 18, 148–155. [Google Scholar] [CrossRef]
- Avellan, F. Flow Investigation in a Francis Draft Tube: The Flindt Project. In Proceedings of the 20th IAHR Symposium on Hydraulic Machinery and Systems, Charlotte, NC, USA, 6–9 August 2000; pp. 1–18. [Google Scholar]
- Deniz, S.; Bosshard, M.; Speerli, J.; Volkart, P. Saugrohre bei Flusskraftwerken; VAW-Mitteilung No. 106; Vischer, D., Ed.; Laboratory of Hydraulics, Hydrology and Glaciology, ETH Zürich: Zürich, Switzerland, 1990. [Google Scholar]
- Odeh, M.; Noreika, J.F.; Haro, A.; Maynard, A.; Castro-Santos, T.; Čada, G.F. Evaluation of the Effects of Turbulence on the Behavior of Migratory Fish; Final Report 2002; BPA Report DOE/BP-00000022-1; Bonneville Power Administration: Portland, OR, USA, 2002.
- Silva, A.T.; Katopodis, C.; Santos, J.M.; Ferreira, M.T.; Pinheiro, A.N. Cyprinid swimming behaviour in response to turbulent flow. Ecol. Eng. 2012, 44, 314–328. [Google Scholar] [CrossRef]
- Adam, B.; Schwevers, U. Das Verhalten von Fischen in Fischaufstiegsanlagen. Osterr. Fisch. 1997, 50, 82–97. [Google Scholar]
- U.S. Fish and Wildlife Service (USFWS). Fish Passage Engineering Design Criteria; USFWS, Northeast Region R5, USFWS: Hadley, MA, USA, 2019.
- Bak-Coleman, J.; Court, A.; Paley, D.A.; Coombs, S. The spatiotemporal dynamics of rheotactic behavior depends on flow speed and available sensory information. J. Exp. Biol. 2013, 216, 4011–4024. [Google Scholar] [CrossRef] [PubMed]
- Castro-Santos, T.; Sanz-Ronda, F.J.; Ruiz-Legazpi, J.; Jonsson, B. Breaking the speed limit—Comparative sprinting performance of brook trout (Salvelinus fontinalis) and brown trout (Salmo trutta). Can. J. Fish. Aquat. Sci. 2013, 70, 280–293. [Google Scholar] [CrossRef]
- Ebel, G. Modellierung der Schwimmfähigkeit europäischer Fischarten—Zielgrößen für die hydraulische Bemessung von Fischschutzsystemen. Wasserwirtschaft 2014, 104, 40–47. [Google Scholar] [CrossRef]
- Enders, E.C.; Boisclair, D.; Roy, A.G. A model of total swimming costs in turbulent flow for juvenile Atlantic salmon (Salmo salar). Can. J. Fish. Aquat. Sci. 2005, 62, 1079–1089. [Google Scholar] [CrossRef]
- Tritico, H.M.; Cotel, A.J. The effects of turbulent eddies on the stability and critical swimming speed of creek chub (Semotilus atromaculatus). J. Exp. Biol. 2010, 213, 2284–2293. [Google Scholar] [CrossRef]
- Kraatz, W. Ausbreitungs-und Mischvorgänge in Strömungen. Ph.D. Thesis, Technische Universität Dresden, Dresden, Germany, 1975. [Google Scholar]
- Seo, I.W.; Kwon, S.J. Experimental Investigation of Three-Dimensional Nonbuoyant Rectangular Jets. J. Eng. Mech. 2005, 131, 733–746. [Google Scholar] [CrossRef]
- Sforza, P.M.; Steiger, M.H.; Trentacoste, N. Studies on three-dimensional viscous jets. AIAA J. 1966, 4, 800–806. [Google Scholar] [CrossRef]
- Krothapalli, A.; Baganoff, D.; Karamcheti, K. On the mixing of a rectangular jet. J. Fluid Mech. 1981, 107, 201–220. [Google Scholar] [CrossRef]
- Rajaratnam, N. Turbulent Jets; Elsevier Scientific Pub. Co: Amsterdam, The Netherlands, 1976; ISBN 0-444-41372-3. [Google Scholar]
- Walker, D.T. On the origin of the ‘surface current’ in turbulent free-surface flows. J. Fluid Mech. 1997, 339, 275–285. [Google Scholar] [CrossRef]
- Bergmann, L. Numerische Modellierung der Strömung aus dem Einstieg einer Fischaufstiegsanlage mittels OpenFOAM. Master’s Thesis, Karlsruhe Institute of Technology, Karlsruhe, Germany, 2017. [Google Scholar]
- Rajaratnam, N.; Humphries, J.A. Turbulent non-buoyant surface jets. J. Hydraul. Res. 1984, 22, 103–115. [Google Scholar] [CrossRef]
- Giger, M.; Dracos, T.; Jirka, G.H. Entrainment and mixing in plane turbulent jets in shallow water. J. Hydraul. Res. 1991, 29, 615–642. [Google Scholar] [CrossRef]
- Madnia, C.K.; Bernal, L.P. Interaction of a turbulent round jet with the free surface. J. Fluid Mech. 1994, 261, 305–332. [Google Scholar] [CrossRef]
- Gholamreza-Kashi, S.; Martinuzzi, R.J.; Baddour, R.E. Mean Flow Field of a Nonbuoyant Rectangular Surface Jet. J. Hydraul. Eng. 2007, 133, 234–239. [Google Scholar] [CrossRef]
- Demissie, M. Diffusion of Three-Dimensional Slot Jets with Deep and Shallow Submergence. Ph.D. Thesis, University of Illinois at Urbana-Champaign, Champaign, IL, USA, 1980. [Google Scholar]
- Adams, E.W.; Johnston, J.P. Effects of the separating shear layer on the reattachment flow structure part 2: Reattachment length and wall shear stress. Exp. Fluids 1988, 6, 493–499. [Google Scholar] [CrossRef]
- Tihon, J.; Legrand, J.; Legentilhomme, P. Near-wall investigation of backward-facing step flows. Exp. Fluids 2001, 31, 484–493. [Google Scholar] [CrossRef]
- Chen, Y.T.; Nie, J.H.; Armaly, B.F.; Hsieh, H.T. Turbulent separated convection flow adjacent to backward-facing step—Effects of step height. Int. J. Heat Mass Transf. 2006, 49, 3670–3680. [Google Scholar] [CrossRef]
- Prych, E.A. An analysis of a jet into a turbulent ambient fluid. Water Res. 1973, 7, 647–657. [Google Scholar] [CrossRef]
- Khorsandi, B.; Gaskin, S.; Mydlarski, L. Effect of background turbulence on an axisymmetric turbulent jet. J. Fluid Mech. 2013, 736, 250–286. [Google Scholar] [CrossRef]
- Perez Alvarado, A. Effect of Background Turbulence on the Scalar Field of a Turbulent Jet. Ph.D. Thesis, McGill University, Montreal, QC, Canada, 2016. [Google Scholar]
- Mahl, L.; Heneka, P.; Henning, M.; Weichert, R.B. Numerical Study of Three-Dimensional Surface Jets Emerging from a Fishway Slot. Water 2021, submitted. [Google Scholar]
- Heinzelmann, C.; Weichert, R.; Wassermann, S. Hydraulische Untersuchungen zum Bau einer Fischaufstiegsanlage in Lauffen am Neckar. WasserWirtschaft 2013, 103, 26–32. [Google Scholar] [CrossRef]
- Federal Waterways Engineering and Research Institute (BAW). Gutachten über die Bestimmung der FuE-Szenarien für den Leitdurchfluss an der Fischaufstiegsanlage Wallstadt/Main; Report B3953.01.31.10109; BAW: Karlsruhe, Germany, 2020.
- Institute for Water and River Basin Management (IWG). 3D-numerische Modellstudie zur Analyse/Optimierung der Strömungscharakteristik im Mündungsbecken der geplanten Fischwechselanlage Lehmen (Mosel); IWG, Karlsruhe Institute of Technology: Karlsruhe, Germany, 2018. [Google Scholar]
- Lacey, R.J.; Neary, V.S.; Liao, J.C.; Enders, E.C.; Tritico, H.M. The IPOS framework: Linking fish swimming performance in altered flows from laboratory experiments to rivers. Special Issue Paper. River Res. Appl. 2012, 28, 429–443. [Google Scholar] [CrossRef]
- Cotel, A.J.; Webb, P.W. Living in a Turbulent World—A New Conceptual Framework for the Interactions of Fish and Eddies. Integr. Comp. Biol. 2015, 55, 662–672. [Google Scholar] [CrossRef] [PubMed]
- Sagnes, P.; Statzner, B. Hydrodynamic abilities of riverine fish: A functional link between morphology and velocity use. Aquat. Living Resour. 2009, 22, 79–91. [Google Scholar] [CrossRef]
- Fiedler, G.; Mahl, L.; Weichert, R.B. Design of Auxiliary Water Systems for Fishways. In Proceedings of the International Symposium on Hydraulic Structures, Aachen, Germany, 15–18 May 2018. [Google Scholar] [CrossRef]
- Henning, M.; Schütz, C. Design and special constructions of fishway pilot sites on German Federal Waterways. In Proceedings of the 5th International Conference on Engineering & Ecohydrology for Fish Passage, Groningen, The Netherlands, 22–24 June 2015. [Google Scholar]
- Weller, H.G.; Tabor, G.; Jasak, H.; Fureby, C. A tensorial approach to computational continuum mechanics using object-oriented techniques. Comput. Phys. 1998, 12, 620–631. [Google Scholar] [CrossRef]
- Deshpande, S.S.; Anumolu, L.; Trujillo, M.F. Evaluating the performance of the two-phase flow solver interFoam. Comput. Sci. Discov. 2012, 5, 14016. [Google Scholar] [CrossRef]
- Menter, F.R. Two-equation eddy-viscosity turbulence models for engineering applications. AIAA J. 1994, 32, 1598–1605. [Google Scholar] [CrossRef]
- Sokoray-Varga, B.; Weichert, R.; Lehmann, B. Flow investigations for fish pass Lauffen/Neckar in field and laboratory. In Wasserkraft-mehr Wirkungsgrad + mehr Ökologie = mehr Zukunft. 34, Proceedings of the Dresdner Wasserbaukolloquium 2011: Wasserkraft: Mehr Wirkungsgrad + mehr Ökologie = mehr Zukunft, Dresden, Germany, 10–11 March 2011; Stamm, J., Graw, K.U., Eds.; Selbstverlag der Technischen Universität Dresden: Dresden, Germany, 2011; pp. 87–94. ISBN 3867801983. [Google Scholar]
- Federal Waterways Engineering and Research Institute (BAW). Gutachten über den Leitabfluss der geplanten Fischaufstiegsanlage am Kraftwerk Kochendorf/Neckar; Report A395 301 10096; BAW: Karlsruhe, Germany, 2013. (In German)









| Water Body | Dam | No. of Turbines | Design Discharge (m3/s) | Draft Tube Area (m2) | Water Depth (m) | Turbine Type | Estimated Length of Turbulent Zone (m) |
|---|---|---|---|---|---|---|---|
| Moselle | Lehmen | 4 | 400 | 63.0 | 8.46 | HMT | 20 |
| Müden | 4 | 400 | 63.0 | 8.38 | HMT | 20 | |
| Fankel | 4 | 400 | 63.2 | 8.51 | HMT | 18 | |
| St. Aldegund | 4 | 400 | 64.6 | 8.55 | HMT | 18 | |
| Main | Eddersheim | 3 | 180 | 71.2 | 7.22 | VMT | 13 |
| Kleinostheim | 2 | 204 | 55.6 | 7.20 | VMT | 20 | |
| Obernau | 2 | 175 | 66.0 | 6.10 | VMT | 14 | |
| Wallstadt | 2 | 150 | 61.4 | 6.07 | VMT | 14 | |
| Freudenberg | 2 | 145 | 66.2 | 6.48 | VMT | 17 | |
| Neckar | Gundelsheim | 1 | 80 | 73.3 | 6.35 | VMT | 12 |
| Kochendorf | 3 | 94 | 24.3 | 5.35 | VMT | 14 | |
| Horkheim | 2 | 75 | 27.4 | 4.56 | VMT | 12 | |
| Lauffen | 2 | 80 | 24.6 | 4.43 | VMT | 12 |
| Parameters | Units | Lauffen (Neckar) | Kochendorf (Neckar) | Lehmen (Moselle) | Wallstadt (Main) |
|---|---|---|---|---|---|
| Tailwater level | m NHN 1 | 161.62 | 142.97 | 65.12 | 112.66 |
| Tailwater level | m NHN | 161.99 | 143.3 | 66.36 | 112.90 |
| Tailwater level | m NHN | 162.64 | 143.64 | 67.62 | 113.58 |
| Bottom draft tube | m NHN | 157.68 | 138.00 | 57.9 | 106.80 |
| Bottom entrance slot | m NHN | 160.42 | 141.87 | 63.92 | 111.46 |
| HPP discharge | m3/s | 80 | 100 | 400 | 135 |
| Number of turbines | - | 2 | 3 | 4 | 2 |
| Draft tube area | m2 | 29.75 | 32 | 63 | 61.38 |
| Turbine type | - | vertical | vertical | horizontal | vertical |
| Velocity at entrance slot | m/s | 1.53 | 1.53 | 1.53 | 1.61 |
| Dam | Parameter | Units | Parametric Approach | Detailed Approach | Simple [14] | Simple [17] | Simple [16] |
|---|---|---|---|---|---|---|---|
| m | 10 | ||||||
| [51] | Slot width | m | 0.68 | 0.70 | |||
| m3/s | 1.2 | 1.1 | |||||
| m3/s | 1.5 | 1.5 | |||||
| m3/s | 2.1 | 2.1 | 0.8 (1.2) | 2.0 | 4.0 | ||
| Kochendorf | m | 10 | |||||
| [9] | Slot width | m | 0.58 | 0.50 | |||
| m3/s | 0.9 | 0.8 | |||||
| m3/s | 1.2 | ||||||
| m3/s | 1.4 | 1.35 | 1.0 (1.5) | 1.7 | 5.0 | ||
| Lehmen | m | 19 | |||||
| [53] | Slot width | m | 1.42 | 1.7 | |||
| m3/s | 2.4 | 3.05 | |||||
| m3/s | 4.9 | ||||||
| m3/s | 7.4 | 4.0 (6.0) | 5.0 | 20.0 | |||
| Wallstadt | m | 12 | |||||
| [52] | Slot width | m | 0.63 | 0.60 | |||
| m3/s | 1.1 | 1.1 | |||||
| m3/s | 1.4 | ||||||
| m3/s | 2.0 | 1.9 | 1.4 (2.1) | 3.4 | 7.0 |
Publisher’s Note: MDPI stays neutral with regard to jurisdictional claims in published maps and institutional affiliations. |
© 2021 by the authors. Licensee MDPI, Basel, Switzerland. This article is an open access article distributed under the terms and conditions of the Creative Commons Attribution (CC BY) license (http://creativecommons.org/licenses/by/4.0/).
Share and Cite
Heneka, P.; Zinkhahn, M.; Schütz, C.; Weichert, R.B. A Parametric Approach for Determining Fishway Attraction Flow at Hydropower Dams. Water 2021, 13, 743. https://doi.org/10.3390/w13050743
Heneka P, Zinkhahn M, Schütz C, Weichert RB. A Parametric Approach for Determining Fishway Attraction Flow at Hydropower Dams. Water. 2021; 13(5):743. https://doi.org/10.3390/w13050743
Chicago/Turabian StyleHeneka, Patrick, Markus Zinkhahn, Cornelia Schütz, and Roman B. Weichert. 2021. "A Parametric Approach for Determining Fishway Attraction Flow at Hydropower Dams" Water 13, no. 5: 743. https://doi.org/10.3390/w13050743
APA StyleHeneka, P., Zinkhahn, M., Schütz, C., & Weichert, R. B. (2021). A Parametric Approach for Determining Fishway Attraction Flow at Hydropower Dams. Water, 13(5), 743. https://doi.org/10.3390/w13050743

