The Impact of Methane Seepage on the Pore-Water Geochemistry across the East Siberian Arctic Shelf
Abstract
1. Introduction
2. Materials and Methods
Sampling and Analytical Methods
3. Results and Discussion
3.1. Major Element Geochemistry
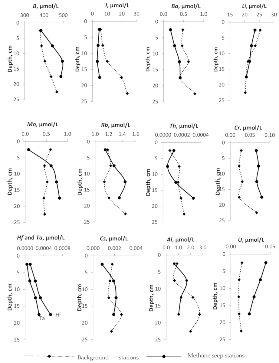
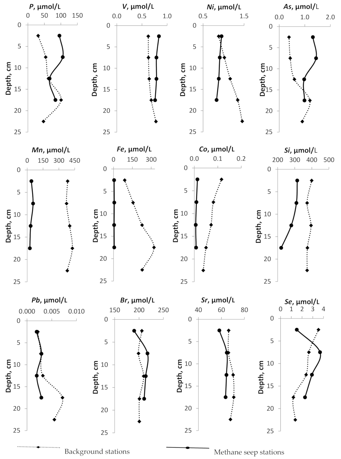
3.2. Trace Elemants Geochemistry
4. Conclusions
Author Contributions
Funding
Acknowledgments
Conflicts of Interest
References
- Shakhova, N.; Semiletov, I.; Leifer, I.; Salyuk, A.; Rekant, P.; Kosmach, D. Geochemical and geophysical evidence of methane release over the East Siberian Arctic Shelf. J. Geophys. Res. Ocean. 2010, 115. [Google Scholar] [CrossRef]
- Shakhova, N.; Nicolsky, D.; Semiletov, I.P. Current state of subsea permafrost on the East Siberian Shelf: Tests of modeling results based on field observations. Dokl. Earth Sci. 2009, 429, 1518–1521. [Google Scholar] [CrossRef]
- Shakhova, N.; Semiletov, I.; Salyuk, A.; Yusupov, V.; Kosmach, D.; Gustafsson, Ö. Extensive methane venting to the atmosphere from sediments of the East Siberian Arctic Shelf. Science 2010, 327, 1246–1250. [Google Scholar] [CrossRef]
- Shakhova, N.; Semiletov, I.; Leifer, I.; Sergienko, V.; Salyuk, A.; Kosmach, D.; Chernykh, D.; Stubbs, C.; Nicolsky, D.; Tumskoy, V.; et al. Ebullition and storm-induced methane release from the East Siberian Arctic Shelf. Nat. Geosci. 2014, 7, 64–70. [Google Scholar] [CrossRef]
- Shakhova, N.; Semiletov, I.; Sergienko, V.; Lobkovsky, L.; Yusupov, V.; Salyuk, A.; Salomatin, A.; Chernykh, D.; Kosmach, D.; Panteleev, G.; et al. The East Siberian Arctic Shelf: Towards further assessment of permafrost-related methane fluxes and role of sea ice. Philos. Trans. R. Soc. A Math. Phys. Eng. Sci. 2015, 373, 20140451. [Google Scholar] [CrossRef]
- Campbell, K.A.; Francis, D.A.; Collins, M.; Gregory, M.R.; Nelson, C.S.; Greinert, J.; Aharon, P. Hydrocarbon seep-carbonates of a Miocene forearc (East Coast Basin), North Island, New Zealand. Sediment. Geol. 2008, 204, 83–105. [Google Scholar] [CrossRef]
- Li, N.; Yang, X.; Peng, J.; Zhou, Q.; Chen, D. Paleo-cold seep activity in the southern South China Sea: Evidence from the geochemical and geophysical records of sediments. J. Asian Earth Sci. 2018, 168, 106–111. [Google Scholar] [CrossRef]
- Aharon, P.; Fu, B. Microbial sulfate reduction rates and sulfur and oxygen isotope fractionations at oil and gas seeps in deepwater Gulf of Mexico. Geochim. Cosmochim. Acta 2000, 64, 233–246. [Google Scholar] [CrossRef]
- Aharon, P.; Fu, B. Sulfur and oxygen isotopes of coeval sulfate-sulfide in pore fluids of cold seep sediments with sharp redox gradients. Chem. Geol. 2003, 195, 201–218. [Google Scholar] [CrossRef]
- Peckmann, J.; Thiel, V. Carbon cycling at ancient methane-seeps. Chem. Geol. 2004, 205, 443–467. [Google Scholar] [CrossRef]
- Algeo, T.J.; Tribovillard, N. Environmental analysis of paleoceanographic systems based on molybdenum-uranium covariation. Chem. Geol. 2009, 268, 211–225. [Google Scholar] [CrossRef]
- Tribovillard, N.; Algeo, T.J.; Baudin, F.; Riboulleau, A. Analysis of marine environmental conditions based onmolybdenum-uranium covariation-Applications to Mesozoic paleoceanography. Chem. Geol. 2012, 324–325, 46–58. [Google Scholar] [CrossRef]
- Hu, Y.; Feng, D.; Liang, Q.; Xia, Z.; Chen, L.; Chen, D. Impact of anaerobic oxidation of methane on the geochemical cycle of redox-sensitive elements at cold-seep sites of the northern South China Sea. Deep. Res. Part II Top. Stud. Oceanogr. 2015, 122, 84–94. [Google Scholar] [CrossRef]
- Feng, D.; Chen, D. Authigenic carbonates from an active cold seep of the northern South China Sea: New insights into fluid sources and past seepage activity. Deep. Res. Part II Top. Stud. Oceanogr. 2015, 122, 74–83. [Google Scholar] [CrossRef]
- Vanneste, H.; James, R.H.; Kelly-Gerreyn, B.A.; Mills, R.A. Authigenic barite records of methane seepage at the carlos ribeiro mud volcano (gulf of cadiz). Chem. Geol. 2013, 354, 42–54. [Google Scholar] [CrossRef]
- Nöthen, K.; Kasten, S. Reconstructing changes in seep activity by means of pore water and solid phase Sr/Ca and Mg/Ca ratios in pockmark sediments of the Northern Congo Fan. Mar. Geol. 2011, 287, 1–13. [Google Scholar] [CrossRef]
- Bayon, G.; Pierre, C.; Etoubleau, J.; Voisset, M.; Cauquil, E.; Marsset, T.; Sultan, N.; Le Drezen, E.; Fouquet, Y. Sr/Ca and Mg/Ca ratios in Niger Delta sediments: Implications for authigenic carbonate genesis in cold seep environments. Mar. Geol. 2007, 241, 93–109. [Google Scholar] [CrossRef]
- Haley, B.A.; Klinkhammer, G.P.; McManus, J. Rare earth elements in pore waters of marine sediments. Geochim. Cosmochim. Acta 2004, 68, 1265–1279. [Google Scholar] [CrossRef]
- Hansen, H.P.; Koroleff, F. Determination of nutrients. In Methods of Seawater Analysis: Third, Completely Revised and Extended Edition; Wiley Blackwell: Hoboken, NJ, USA, 2007; pp. 159–228. ISBN 9783527613984. [Google Scholar]
- Murphy, J.; Riley, J.P. A modified single solution method for the determination of phosphate in natural waters. Anal. Chim. Acta 1962, 27, 31–36. [Google Scholar] [CrossRef]
- Reeburgh, W.S. Oceanic Methane Biogeochemistry. Chem. Rev. 2007, 107, 486–513. [Google Scholar] [CrossRef]
- Boetius, A.; Ravenschlag, K.; Schubert, C.J.; Rickert, D.; Widdel, F.; Gleseke, A.; Amann, R.; Jørgensen, B.B.; Witte, U.; Pfannkuche, O. A marine microbial consortium apparently mediating anaerobic oxidation methane. Nature 2000, 407, 623–626. [Google Scholar] [CrossRef]
- Berner, R.A. Early Diagenesis: A Theoretical Approach; Princeton University Press: Princeton, NJ, USA, 1980. [Google Scholar]
- Schulz, H.D.; Dahmke, A.; Schinzel, U.; Wallmann, K.; Zabel, M. Early diagenetic processes, fluxes, and reaction rates in sediments of the South Atlantic. Geochim. Cosmochim. Acta 1994, 58, 2041–2060. [Google Scholar] [CrossRef]
- Regnier, P.; Dale, A.W.; Arndt, S.; LaRowe, D.E.; Mogollón, J.; Van Cappellen, P. Quantitative analysis of anaerobic oxidation of methane (AOM) in marine sediments: A modeling perspective. Earth-Sci. Rev. 2011, 106, 105–130. [Google Scholar] [CrossRef]
- Steeb, P.; Krause, S.; Linke, P.; Hensen, C.; Dale, A.W.; Nuzzo, M.; Treude, T. Efficiency and adaptability of the benthic methane filter at Quepos Slide cold seeps, offshore of Costa Rica. Biogeosciences 2015, 12, 6687–6706. [Google Scholar] [CrossRef]
- Martens, C.S.; Berner, R.A. Methane production in the interstitial waters of sulfate-depleted marine sediments. Science 1974, 185, 1167–1169. [Google Scholar] [CrossRef]
- Pierre, C. Origin of the authigenic gypsum and pyrite from active methane seeps of the southwest African Margin. Chem. Geol. 2017, 449, 158–164. [Google Scholar] [CrossRef]
- Lein, A.Y.; Ivanov, M.V. Biogeochemical Methane Cycle in the Ocean; Nauka: Moscow, Russia, 2009; p. 464. [Google Scholar]
- Helz, G.R.; Miller, C.V.; Charnock, J.M.; Mosselmans, J.F.W.; Pattrick, R.A.D.; Garner, C.D.; Vaughan, D.J. Mechanism of molybdenum removal from the sea and its concentration in black shales: EXAFS evidence. Geochim. Cosmochim. Acta 1996, 60, 3631–3642. [Google Scholar] [CrossRef]
- Helz, G.R.; Bura-Nakić, E.; Mikac, N.; Ciglenečki, I. New model for molybdenum behavior in euxinic waters. Chem. Geol. 2011, 284, 323–332. [Google Scholar] [CrossRef]
- Zheng, Y.; Anderson, R.F.; Van Geen, A.; Kuwabara, J. Authigenic molybdenum formation in marine sediments: A link to pore water sulfide in the Santa Barbara Basin. Geochim. Cosmochim. Acta 2000, 64, 4165–4178. [Google Scholar] [CrossRef]
- Tribovillard, N.; Algeo, T.J.; Lyons, T.; Riboulleau, A. Trace metals as paleoredox and paleoproductivity proxies: An update. Chem. Geol. 2006, 232, 12–32. [Google Scholar] [CrossRef]
- Scholz, F.; Hensen, C.; Noffke, A.; Rohde, A.; Liebetrau, V.; Wallmann, K. Early diagenesis of redox-sensitive trace metals in the Peru upwelling area-response to ENSO-related oxygen fluctuations in the water column. Geochim. Cosmochim. Acta 2011, 75, 7257–7276. [Google Scholar] [CrossRef]







| No | Longitude (E) | Latitude (N) | Water Depth (m) | Seafloor Temperature (Last Sampler) | Core Length (m) | Amount of Pore-Water Samples | Specific Conditions |
|---|---|---|---|---|---|---|---|
| 6491 | 73.11 | 130.34 | 26 | −0.3 | 0.25 | 8 | Background |
| 6473 | 74.90 | 160.94 | 45 | −1.5 | 0.13 | 7 | Background |
| 6482 | 74.94 | 160.53 | 44 | 1.5 | 0.23 | 8 | Background |
| 6492 | 73.09 | 130.28 | 22 | 0.23 | 0.19 | 9 | Methane Seep |
| 6519 | 76.89 | 129.13 | 65 | −1.1 | 0.17 | 4 | Methane Seep |
| 6521 | 76.89 | 127.81 | 68 | −1.1 | 0.19 | 7 | Methane Seep |
| Background Station | Methane Seep Station | |||||
|---|---|---|---|---|---|---|
| Shelf (Laptev Sea) | Shelf (East Siberian Sea) | Shelf (Laptev Sea) | Continental Slope (Laptev Sea) | |||
| 6491 | 6473 | 6482 | 6492 | 6519 | 6521 | |
| Alkalinity | 0.08–0.13 0.01 | - | 0.05–0.07 0.06 | 2.1–2.6 2.3 | - | - |
| SO42− | 24.0–31.6 29.3 | 23.9–28.0 25.8 | 23.2–28.0 26.0 | 4.4–14.9 8.8 | 31.8–38.6 36.4 | 23.0–36.7 32.2 |
| Cl− | 504.0–588.9 557.6 | 518.0–577.4 548.2 | 499.0–556.4 523.0 | 478.1–519.0 499.1 | 541.0–554.0 547.4 | 487.3–533.5 507.9 |
| Ca2+ | 6.3–7.3 6.8 | 6.0–8.7 7.5 | 7.5–8.7 7.9 | 5.0–5.4 5.2 | 7.1–10.2 8.6 | 7.2–7.7 7.2 |
| Mg2+ | 32.1–39.3 36.9 | 32.0–44.5 38.9 | 39.4–77.4 53.6 | 24.6–29.4 26.7 | 46.1–55.4 51.4 | 40.8–46.1 43.5 |
| Na+ | 468.0–558.0 523.0 | 466.0–514.0 499.1 | 413.0–472.3 443.4 | 433.0–469.0 447.1 | 482.9–493.6 489.3 | 442.0–485.0 460.9 |
| K+ | 8.7–9.0 8.8 | 8.9–12.4 10.7 | 10.3–11.6 11.1 | 7.7–9.1 8.2 | 13.6–14.5 14.0 | 11.7–14.3 12.8 |
| Salinity * | 33,449.5–38338.4 36,314.0 | 33,448.6–36945.8 35,245.5 | 32,377.4–35142.6 33,455.4 | 29,401.9–31523.3 30,160.4 | 35,907.3–37105.0 36,456.6 | 31,921.6–35569.5 33,701.6 |
| Background | Seep | |||||
|---|---|---|---|---|---|---|
| Shelf (Laptev Sea) | Shelf (East Siberian Sea) | Shelf (Laptev Sea) | Continental Slope (Laptev Sea) | |||
| 6491 | 6473 | 6482 | 6492 | 6519 | 6521 | |
| Li | 15.8–33.3 19.9 | 18.0–49.5 25.6 | 20.2–27.0 23.1 | 12.4–15.5 13.8 | 25.9–33.1 29.1 | 20.8–42.1 27 |
| Be | 0.1–0.1 0.1 | n.d. | 0.1–0.1 0.1 | n.d. | 0.1–0.1 0.1 | 0.1–0.1 0.1 |
| B | 315.3–408.9 348.2 | 313.1–453.1 391.9 | 424.7–518.4 474.7 | 346.8–519.4 421.5 | 462.1–647.6 564 | 368–501.9 450.8 |
| Al | 0–2.8 0.9 | 0.5–2.7 1.5 | 0.7–5.9 2.1 | 0.6–2.4 1.1 | 0.6–1.4 1.0 | 0.4–4.1 1.4 |
| Si | 222.6–328.1 257.4 | 397.2–552.0 487.1 | 373.7–463.4 424.9 | 267.9–327.0 291.5 | 232.9–331.9 277.7 | 100.5–406.3 261.4 |
| P | 12.5–99.9 40.1 | 38.3–113.4 63.2 | 14.7–112.5 59.8 | 96.5–175.1 138.4 | 17.4–18.6 17.9 | 28.7–96.8 51.5 |
| Sc | 0.002–0.03 0.01 | 0.002–0.03 0.01 | 0.002–0.015 0.01 | 0.01–0.03 0.01 | 0.001–0.001 0.001 | 0.003–0.01 0.02 |
| Ti | 0.04–0.1 0.09 | 0.04–0.1 0.07 | 0.05–0.1 0.1 | 0.01–0.03 0.01 | 0.03–0.1 0.1 | 0.02–0.1 0.1 |
| V | 0.65–0.8 0.7 | 0.55–0.7 0.6 | 0.6–0.8 0.6 | 0.7–0.9 0.8 | 0.7–0.9 0.8 | 0.7–0.8 0.8 |
| Cr | 0.01–0.7 0.04 | 0.02–0.04 0.03 | 0–0.04 0.02 | 0.08–0.15 0.1 | 0.04–0.08 0.05 | 0.02–0.07 0.04 |
| Mn | 143.7–261.9 180.1 | 531.1–638.8 553.1 | 344.9–533.8 458.3 | 22.8–33.2 28.8 | 43.9–121.3 65.9 | 6.8–59.5 31.5 |
| Fe | 228.1–705.7 369.9 | 9.1–79.1 28.5 | 7.3–143.5 94.5 | 3.2–6.0 4.4 | 4.9–7.3 6.2 | 3.8–8.4 5.8 |
| Co | 0.04–0.14 0.11 | 0.04–0.11 0.07 | 0.02–0.15 0.06 | 0.007–0.02 0.01 | 0.004–0.02 0.01 | 0.0004–0.006 0.002 |
| Ni | 0.08–1.7 1.2 | 0.5–1.4 0.9 | 0.4–1.9 1.1 | 0.3–0.9 0.7 | 0.9–1.4 1.2 | 0.7–1.3 0.9 |
| Cu | 0–0.2 0.1 | 0.02–0.2 0.1 | 0.01–0.4 0.1 | 0.001–0.03 0.01 | 0.01–0.13 0.06 | 0.01–0.09 0.04 |
| Zn | 0–0.1 0.04 | 0.1–1.2 0.4 | 0.1–0.7 0.3 | 0.01–0.1 0.06 | 0.07–0.6 0.3 | 0.06–0.3 0.2 |
| Ga | 0.003–0.004 0.007 | 0.009–0.01 0.01 | 0.005–0.01 0.01 | 0.001–0.008 0.004 | 0.0004–0.007 0.004 | 0.001–0.003 0.002 |
| As | 0.4–0.6 0.5 | 0.4–0.6 0.5 | 0.3–1.2 0.8 | 1.1–3.1 2.1 | 0.2–0.9 0.4 | 0.2–0.9 0.5 |
| Se | 0.7–4.6 2.8 | 0.2–3.9 2.7 | 0.5–2.3 1.5 | 1.1–2.7 2.2 | 2.1–4.7 3.3 | 1.4–4.9 3.0 |
| Br | 173.9–186.5 181.1 | 191.1–239.0 217.0 | 205.7–219.7 214.9 | 157.5–178.6 166.6 | 244.9–285.3 265.9 | 217.3–237.4 228.0 |
| Rb | 0.9–1.0 1.0 | 0.4–1.7 1.2 | 1.1–1.7 1.2 | 0.9–1.0 1.0 | 1.7–1.8 1.7 | 1.2–2.0 1.5 |
| Sr | 62.1–70.0 65.8 | 55.7–78.7 67.0 | 66.8–73.7 70.6 | 44.2–50.2 46.9 | 75.6–87.1 80.1 | 69.4–76.4 72.3 |
| Y | 0.0008–0.004 0.002 | 0.0004–0.0008 0.0005 | 0.0002–0.001 0.0008 | 0.0002–0.002 0.0008 | 0.0006–0.001 0.0009 | 0.0002–0.001 0.0007 |
| Zr | 0.004–0.02 0.01 | 0.0003–0.02 0.0009 | 0.0008–0.02 0.001 | 0.02–0.04 0.03 | 0.001–0.006 0.003 | 0.001–0.01 0.004 |
| Nb | 0.0004–0.0009 0.0006 | 0.0003–0.001 0.0008 | 0.0002–0.001 0.0006 | 0.0001–0.004 0.002 | 0.001–0.001 0.001 | 0.0002–0.002 0.001 |
| Mo | 0.4–0.8 0.6 | 0.4–0.9 0.6 | 0.2–0.7 0.4 | 0.06–0.56 0.25 | 0.15–1.8 0.7 | 0.09–12.5 2.6 |
| Ru | 0.001–0.0014 0.0012 | 0.0008–0.001 0.0009 | 0.001–0.003 0.002 | 0.0007–0.002 0.001 | 0.0008–0.002 0.001 | 0.0007–0.001 0.001 |
| Rh | 0.005–0.0014 0.001 | 0–0.001 0.0006 | 0.0006–0.0007 0.006 | 0.001–0.002 0.001 | 0.0008 −0.002 0.001 | 0.0004–0.002 0.001 |
| Pd | 0.0003–0.002 0.001 | 0–0.001 0.0006 | 0.0006–0.0007 0.0006 | 0.0005–0.003 0.002 | 0.0005–0.0015 0.0001 | 0.00005–0.0009 0.0006 |
| Ag | 0.0005–0.009 0.0006 | 0.0009–0.002 0.001 | 0.0005–0.0005 0.0005 | n.d. | 0.0005–0.0005 0.0005 | 0.003–0.003 0.003 |
| Cd | 0.0003–0.015 0.004 | 0.0006–0.009 0.0025 | 0.003–0.003 0.003 | 0.001–0.03 0.006 | 0.002–0.007 0.004 | 0.002–0.009 0.005 |
| In | 0.0001–0.0002 0.0002 | 0.0001–0.0002 0.0002 | 0.0001–0.0002 0.0002 | 0.0001–0.0002 0.0001 | 0.0003–0.0003 0.0003 | n.d. |
| Sn | 0.0006–0.003 0.001 | 0.002–0.006 0.004 | 0.001–0.003 0.002 | 0.001–0.006 0.002 | 0.0002–0.004 0.002 | 0.0005–0.004 0.001 |
| Sb | 0.001–0.004 0.003 | 0.0004–0.013 0.008 | 0.002–0.016 0.005 | 0.005–0.004 0.003 | 0.005–0.01 0.008 | 0.003–0.02 0.0008 |
| I | 8.9–37.8 16.3 | 1.9–5.5 4.4 | 3.9–18.5 11.6 | 4.4–7.7 5.9 | 0.4–3.3 1.9 | 0.6–8.3 3.2 |
| Cs | 0.001–0.005 0.001 | 0.001–0.003 0.002 | 0.001–0.003 0.002 | 0.000–0.001 0.0005 | 0.002–0.003 0.0025 | 0.001–0.003 0.002 |
| Ba | 0.2–0.3 0.3 | 0.5–1.3 0.8 | 0.4–1.3 0.6 | 0.1–0.3 0.4 | 0.3–0.6 0.4 | 0.2–0.7 0.4 |
| La | 0.0001–0.0008 0.0004 | 0.00005–0.0004 0.0002 | 0.0001–0.0003 0.0002 | 0.0002–0.0004 0.0003 | 0.0001–0.0004 0.0003 | 0.0002–0.0002 0.0002 |
| Ce | 0.0003–0.0016 0.0008 | 0.0001–0.0005 0.0001 | 0.0001–0.0004 0.0003 | 0.0002–0.0008 0.0004 | n.d. | 0.0001–0.0002 0.0001 |
| Pr | 0.0001–0.0004 0.0002 | 0.0001–0.0002 0.0001 | n.d. | 0.00004–0.0002 0.0001 | n.d. | 0.0001–0.0002 0.0001 |
| Nd | 0.0008–0.003 0.001 | n.d. | n.d. | 0.0005–0.0006 0.0005 | n.d. | n.d. |
| Eu | 0.0001–0.0001 0.0001 | 0.0001–0.0002 0.0002 | n.d. | 0.0001–0.0001 0.0001 | 0.0001–0.0001 0.0001 | 0.0001–0.0001 0.0001 |
| Tb | 0.0001–0.0001 0.0001 | 0.0001–0.0001 0.0001 | n.d. | 0.0001–0.0001 0.0001 | n.d. | 0.0001–0.0001 0.0001 |
| Ho | 0.00002–0.00005 0.00004 | 0.0001–0.0001 0.0001 | 0.0001–0.0001 0.0001 | 0.0001–0.0001 0.0001 | n.d. | 0.0001–0.0002 0.0001 |
| Tm | n.d. | n.d. | 0.0001–0.0001 0.0001 | 0.00003–0.00003 0.00003 | 0.00003–0.00003 0.00003 | 0.00003–0.0001 0.0001 |
| Lu | n.d. | n.d. | n.d. | 0.0001–0.0002 0.0001 | n.d. | 0.0001–0.0001 0.0001 |
| Hf | n.d. | n.d. | n.d. | 0.0001–0.0005 0.0003 | n.d. | n.d. |
| Ta | 0.0002–0.0005 0.0004 | 0.00002–0.0002 0.0002 | 0.0001–0.0001 0.0001 | 0.00004–0.0002 0.0001 | n.d. | 0.0003–0.0004 0.0003 |
| W | 0.0002–0.0025 0.001 | 0.007–0.017 0.012 | 0.002–0.012 0.007 | 0.004–0.011 0.007 | 0.002–0.005 0.003 | 0.003–0.008 0.005 |
| Au | 0.0001–0.0006 0.0003 | 0.0001–0.0004 0.0002 | 0.0001–0.0006 0.0003 | 0.00002–0.0005 0.0002 | 0.0001–0.0003 0.0002 | 0.0003–0.0004 0.0003 |
| Hg | 0.0006–0.004 0.002 | 0.0005–0.0005 0.0005 | 0.0001–0.0001 0.0001 | 0.001–0.006 0.004 | 0.002–0.002 0.002 | 0.0001–0.002 0.001 |
| Tl | 0.0002–0.0002 0.0002 | 0.0003–0.0007 0.0006 | 0.0001–0.0001 0.0001 | 0.0001–0.0006 0.0003 | n.d. | n.d. |
| Pb | 0.0008–0.005 0.003 | 0.0009–0.004 0.003 | 0.002–0.007 0.005 | 0.0002–0.005 0.003 | 0.001–0.003 0.002 | 0.001–0.004 0.003 |
| Bi | n.d. | 0.0001–0.0004 0.0002 | n.d. | n.d. | 0.0001 | 0.0001–0.0002 0.0001 |
| Th | 0.00001–0.0002 0.0001 | 0.00001–0.0002 0.0001 | 0.0001–0.0002 0.0002 | 0.00001–0.0002 0.0001 | 0.0001–0.0006 0.0003 | 0.00005–0.0002 0.0001 |
| U | 0.003–0.018 0.013 | 0.004–0.016 0.01 | 0.0012–0.023 0.009 | 0.01–0.07 0.02 | 0.02–0.04 0.03 | 0.007–0.12 0.04 |
Publisher’s Note: MDPI stays neutral with regard to jurisdictional claims in published maps and institutional affiliations. |
© 2021 by the authors. Licensee MDPI, Basel, Switzerland. This article is an open access article distributed under the terms and conditions of the Creative Commons Attribution (CC BY) license (http://creativecommons.org/licenses/by/4.0/).
Share and Cite
Guseva, N.; Moiseeva, Y.; Purgina, D.; Gershelis, E.; Yakushev, E.; Semiletov, I. The Impact of Methane Seepage on the Pore-Water Geochemistry across the East Siberian Arctic Shelf. Water 2021, 13, 397. https://doi.org/10.3390/w13040397
Guseva N, Moiseeva Y, Purgina D, Gershelis E, Yakushev E, Semiletov I. The Impact of Methane Seepage on the Pore-Water Geochemistry across the East Siberian Arctic Shelf. Water. 2021; 13(4):397. https://doi.org/10.3390/w13040397
Chicago/Turabian StyleGuseva, Natalia, Yulia Moiseeva, Darya Purgina, Elena Gershelis, Evgeniy Yakushev, and Igor Semiletov. 2021. "The Impact of Methane Seepage on the Pore-Water Geochemistry across the East Siberian Arctic Shelf" Water 13, no. 4: 397. https://doi.org/10.3390/w13040397
APA StyleGuseva, N., Moiseeva, Y., Purgina, D., Gershelis, E., Yakushev, E., & Semiletov, I. (2021). The Impact of Methane Seepage on the Pore-Water Geochemistry across the East Siberian Arctic Shelf. Water, 13(4), 397. https://doi.org/10.3390/w13040397

