The Impact of Submerged Breakwaters on Sediment Distribution along Marsh Boundaries
Abstract
1. Introduction
2. Materials and Methods
Model Description
3. Results
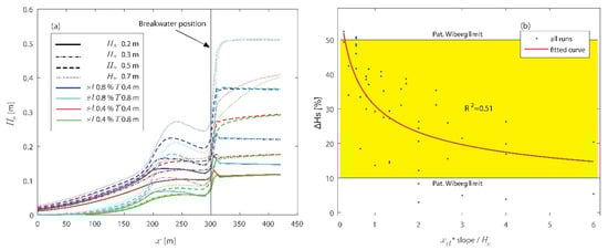
3.1. Hydrodynamic Results
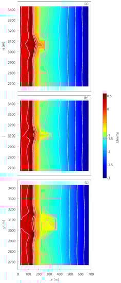
3.2. Morphodynamic Results
4. Discussion
5. Conclusions
Supplementary Materials
Author Contributions
Funding
Acknowledgments
Conflicts of Interest
References
- Kay, R.; Alder, J. Coastal Planning and Management, 2nd ed.; Taylor & Francis: New York, NY, USA, 2005. [Google Scholar]
- Post, J.C.; Lundin, C.G. Guidelines for Integrated Coastal Zone Management; The World Bank: Washington, DC, USA, 1996. [Google Scholar]
- Creel, L. Ripple Effects: Population and Coastal Regions; Population Reference Bureau: Washington, DC, USA, 2003; pp. 1–7. [Google Scholar]
- Board, O.C.; National Research Council. Mitigating Shore Erosion along Sheltered Coasts; National Academic Press: Washington, DC, USA, 2007. [Google Scholar]
- Pilkey, O.H.; Wright, W. Seawalls versus Beaches. J. Coast. Res. 1988, 4, 41–64. [Google Scholar]
- Douglass, S.L.; Pickel, B.H. The tide doesn’t go out anymore-the effect of bulkheads on urban shorelines. Shore Beach 1999, 67, 19–25. [Google Scholar]
- Kennish, M.J. Environmental threats and environmental future of estuaries. Environ. Conserv. 2002, 29, 78–107. [Google Scholar] [CrossRef]
- Airoldi, L. An ecological perspective on the deployment and design of low-crested and other hard coastal defence structures. Coast. Eng. 2005, 52, 1073–1087. [Google Scholar] [CrossRef]
- Borsje, B.W.; van Wesenbeeck, B.K.; Dekker, F.; Paalvast, P.; Bouma, T.J.; van Katwijk, M.M.; de Vries, M.B. How ecological engineering can serve in coastal protection. Ecol. Eng. 2011, 37, 113–122. [Google Scholar] [CrossRef]
- Broome, S.W.; Rogers, S.M., Jr.; Seneca, E.D. Shoreline Erosion Control Using Marsh Vegetation and Low-Cost Structures. 2015. Available online: https://tamug-ir.tdl.org/bitstream/handle/1969.3/28985/Broome-Rogers-Seneca-shoreline-erosion-control[1].pdf?sequence=1 (accessed on 2 April 2020).
- Allen, J.R.; Pye, K. Saltmarshes: Morphodynamics, Conservation and Engineering Significance; Cambridge University Press: Cambridge, UK, 1992. [Google Scholar]
- Boorman, L.A.; Garbutt, A.; Barratt, D. The Role of Vegetation in Determining Patterns of the Accretion of Salt Marsh Sediment; Special Publications; Geological Society: London, UK, 1998; Volume 139, pp. 389–399. [Google Scholar]
- Boorman, L.A. Salt marshes–present functioning and future change. Mangroves Salt Marshes 1999, 3, 227–241. [Google Scholar] [CrossRef]
- Scyphers, S.B.; Powers, S.P.; Heck, K.L. Ecological value of submerged breakwaters for habitat enhancement on a residential scale. Environ. Manag. 2015, 55, 383–391. [Google Scholar] [CrossRef]
- Wiberg, P.L.; Taube, S.R.; Ferguson, A.E.; Kremer, M.R.; Reidenbach, M.A. Wave attenuation by oyster reefs in shallow coastal bays. Estuaries Coasts 2019, 42, 331–347. [Google Scholar] [CrossRef]
- Chowdhury, M.S.N.; Walles, B.; Sharifuzzaman, S.M.; Hossain, M.S.; Ysebaert, T.; Smaal, A.C. Oyster breakwater reefs promote adjacent mudflat stability and salt marsh growth in a monsoon dominated subtropical coast. Sci. Rep. 2019, 9, 8549. [Google Scholar] [CrossRef]
- Moschella, P.S.; Abbiati, M.; Åberg, P.; Airoldi, L.; Anderson, J.M.; Bacchiocchi, F.; Granhag, L. Low-crested coastal defence structures as artificial habitats for marine life: Using ecological criteria in design. Coast. Eng. 2005, 52, 1053–1071. [Google Scholar] [CrossRef]
- Palinkas, C.M.; Barth, N.; Koch, E.W.; Shafer, D.J. The influence of breakwaters on nearshore sedimentation patterns in Chesapeake Bay, USA. J. Coast. Res. 2016, 32, 788–799. [Google Scholar] [CrossRef]
- Faraci, C.; Scandura, P.; Foti, E. Bottom profile evolution of a perched nourished beach. J. Waterw. Port Coast. Ocean Eng. 2014, 140, 04014021. [Google Scholar] [CrossRef]
- Faraci, C. Experimental investigation of the hydro-morphodynamic performances of a geocontainer submerged reef. J. Waterw. Port Coast. Ocean Eng. 2018, 144, 04017045. [Google Scholar] [CrossRef]
- Sumer, B.M.; Fredsøe, J.; Lamberti, A.; Zanuttigh, B.; Dixen, M.; Gislason, K.; Di Penta, A.F. Local scour at roundhead and along the trunk of low crested structures. Coast. Eng. 2005, 52, 995–1025. [Google Scholar] [CrossRef]
- Bricker-Urso, S.; Nixon, S.W.; Cochran, J.K.; Hirschberg, D.J.; Hunt, C. Accretion rates and sediment accumulation in Rhode Island salt marshes. Estuaries 1989, 12, 300–317. [Google Scholar] [CrossRef]
- Schuerch, M.; Spencer, T.; Temmerman, S.; Kirwan, M.L.; Wolff, C.; Lincke, D.; McOwen, C.J.; Pickering, M.D.; Reef, R.; Vafeidis, A.T.; et al. Future response of global coastal wetlands to sea-level rise. Nature 2018, 561, 231–234. [Google Scholar] [CrossRef] [PubMed]
- Hashim, A.M.; Catherine, S.M.P. Effectiveness of mangrove forests in surface wave attenuation: A review. Res. J. Appl. Sci. Eng. Technol. 2013, 5, 4483–4488. [Google Scholar] [CrossRef]
- Cadwalladr, D.A.; Owen, M.; Morley, J.V.; Cook, R.S. Wigeon (Anas penelope L.) conservation and salting pasture management at Bridgwater Bay National Nature Reserve, Somerset. J. Appl. Ecol. 1972, 9, 417–425. [Google Scholar] [CrossRef]
- Burger, J.; Howe, M.A.; Hahn, D.C.; Chase, J. Effects of tide cycles on habitat selection and habitat partitioning by migrating shorebirds. Auk 1977, 94, 743–758. [Google Scholar] [CrossRef]
- Daiber, F.C. Salt marsh animals: Distributions related to tidal flooding, salinity and vegetation. In Ecosystems of the World; Elsevier: Amsterdam, The Netherlands, 1977. [Google Scholar]
- Nardin, W.; Fagherazzi, S. The effect of wind waves on the development of river mouth bars. Geophys. Res. Lett. 2012, 39. [Google Scholar] [CrossRef]
- Nardin, W.; Larsen, L.; Fagherazzi, S.; Wiberg, P. Tradeoffs among hydrodynamics, sediment fluxes and vegetation community in the Virginia Coast Reserve, USA. Estuar. Coast. Shelf Sci. 2018, 210, 98–108. [Google Scholar] [CrossRef]
- Leonardi, N.; Sun, T.; Fagherazzi, S. Modeling tidal bedding in distributary-mouth bars. J. Sediment. Res. 2014, 84, 499–512. [Google Scholar] [CrossRef]
- Lera, S.; Nardin, W.; Sanford, L.; Palinkas, C.; Guercio, R. The impact of submersed aquatic vegetation on the development of river mouth bars. Earth Surf. Process. Landf. 2019, 44, 1494–1506. [Google Scholar] [CrossRef]
- Cooper, A.H.; Mulligan, R.P. Application of a spectral wave model to assess breakwater configurations at a small craft harbour on Lake Ontario. J. Mar. Sci. Eng. 2016, 4, 46. [Google Scholar] [CrossRef]
- Roelvink, J.A.; Van Banning, G.K.F.M. Design and development of DELFT3D and application to coastal morphodynamics. Oceanogr. Lit. Rev. 1995, 11, 925. [Google Scholar]
- Lesser, G.R.; Roelvink, J.V.; Van Kester, J.A.T.M.; Stelling, G.S. Development and validation of a three-dimensional morphological model. Coast. Eng. 2004, 51, 883–915. [Google Scholar] [CrossRef]
- Hasselmann, K.; Barnett, T.P.; Bouws, E.; Carlson, H.; Cartwright, D.E.; Enke, K.; Ewing, J.A.; Gienapp, H.; Hasselmann, D.E.; Kruseman, P.; et al. Measurements of wind-wave growth and swell decay during the Joint North Sea Wave Project (JONSWAP). Ergänzungsheft 1973, 12, 95. [Google Scholar]
- Battjes, J.A.; Janssen, J.P.F.M. Energy loss and set-up due to breaking of random waves. Coast. Eng. 1978, 1978, 569–587. [Google Scholar]
- Rodi, W.; Scheuerer, G. Scrutinizing the k-epsilon-model under adverse pressure gradient conditions. In 4th Symposium on Turbulent Shear Flows; Springer: Berlin/Heidelberg, Germany, 1984; pp. 2–8. [Google Scholar]
- Lévêque, E.; Toschi, F.; Shao, L.; Bertoglio, J.P. Shear-improved Smagorinsky model for large-eddy simulation of wall-bounded turbulent flows. J. Fluid Mech. 2007, 570, 491–502. [Google Scholar] [CrossRef]
- Partheniades, E. Erosion and deposition of cohesive soils. J. Hydraul. Div. 1965, 91, 105–139. [Google Scholar]
- Van Rijn, L.C. Principles of Sediment Transport in Rivers, Estuaries and Coastal Seas; Aqua Publications: Amsterdam, The Netherlands, 1993; Volume 1006, pp. 11–13. [Google Scholar]
- Russ, E.R.; Palinkas, C.M. Seasonal-scale and decadal-scale sediment-vegetation interactions on the subaqueous Susquehanna River delta, upper Chesapeake Bay. Estuaries Coasts 2018, 41, 2092–2104. [Google Scholar] [CrossRef]
- Berlamont, J.; Ockenden, M.; Toorman, E.; Winterwerp, J. The characterisation of cohesive sediment properties. Coast. Eng. 1993, 21, 105–128. [Google Scholar] [CrossRef]
- Edmonds, D.A.; Slingerland, R.L. Significant effect of sediment cohesion on delta morphology. Nat. Geosci. 2010, 3, 105–109. [Google Scholar] [CrossRef]
- Nardin, W.; Edmonds, D.A.; Fagherazzi, S. Influence of vegetation on spatial patterns of sediment deposition in deltaic islands during flood. Adv. Water Resour. 2016, 93, 236–248. [Google Scholar] [CrossRef]
- Sumer, B.M.; Fredsøe, J. Experimental study of 2D scour and its protection at a rubble-mound breakwater. Coast. Eng. 2000, 40, 59–87. [Google Scholar] [CrossRef]
- Birben, A.R.; Özölçer, İ.H.; Karasu, S.; Kömürcü, M.İ. Investigation of the effects of offshore breakwater parameters on sediment accumulation. Ocean Eng. 2007, 34, 284–302. [Google Scholar] [CrossRef]
- Tonelli, M.; Fagherazzi, S.; Petti, M. Modeling wave impact on salt marsh boundaries. J. Geophys. Res. Oceans 2010, 115. [Google Scholar] [CrossRef]
- Castagno, K.A.; Jiménez-Robles, A.M.; Donnelly, J.P.; Wiberg, P.L.; Fenster, M.S.; Fagherazzi, S. Intense storms increase the stability of tidal bays. Geophys. Res. Lett. 2018, 45, 5491–5500. [Google Scholar] [CrossRef]
- Sutton-Grier, A.E.; Wowk, K.; Bamford, H. Future of our coasts: The potential for natural and hybrid infrastructure to enhance the resilience of our coastal communities, economies and ecosystems. Environ. Sci. Policy 2015, 51, 137–148. [Google Scholar] [CrossRef]
- Fleming, C.S.; Dillard, M.K.; Regan, S.D.; Gorstein, M.; Messick, E.; Blair, A. A coastal community vulnerability assessment for the Choptank Habitat Focus Area. NOAA Tech. Memo. NOS NCCOS 2017, 225, 92. [Google Scholar]
- Ridge, J.T.; Rodriguez, A.B.; Fodrie, F.J. Evidence of exceptional oyster-reef resilience to fluctuations in sea level. Ecol. Evolut. 2017, 7, 10409–10420. [Google Scholar] [CrossRef] [PubMed]
- Rodriguez, A.B.; Fodrie, F.J.; Ridge, J.T.; Lindquist, N.L.; Theuerkauf, E.J.; Coleman, S.E.; Grabowski, J.H.; Brodeur, M.C.; Gittman, R.K.; Keller, D.A.; et al. Oyster reefs can outpace sea-level rise. Nat. Clim. Chang. 2014, 4, 493–497. [Google Scholar] [CrossRef]
- Hanson, H.; Kraus, N.C. Shoreline response to a single transmissive detached breakwater. Coast. Eng. 1990, 1991, 2034–2046. [Google Scholar]
- De Vincenzo, A.; Covelli, C.; Molino, A.J.; Pannone, M.; Ciccaglione, M.; Molino, B. Long-Term Management Policies of Reservoirs: Possible Re-Use of Dredged Sediments for Coastal Nourishment. Water 2019, 11, 15. [Google Scholar] [CrossRef]












| Hs (m) | xd (m) | sl (%) |
|---|---|---|
| 0.2 0.3 0.5 0.7 | 50 100 150 | 0.4 0.8 |
| D50 (µm) | T (m) | C (Kg/m3) |
| 100 150 | ±0.2 ±0.4 | 0.2 0.4 |
| C | Mass concentration of sediment fraction, kg/m3 | θ | Wave direction |
| Cx | Propagation velocity in the x-space, m/s | S | Source/sink term for the action Balance equation |
| Cy | Propagation velocity in the y-space, m/s | Sx | Total sediment transport in the x direction, m2/s |
| Cσ | Propagation velocity in the σ –space, m/s | Sy | Total sediment transport in the y direction, m2/s |
| Cθ | Propagation velocity in the θ –space, m/s | sl | Basin slope, % |
| D | Diffusion coefficient | τ | Fluid shear stress tensor |
| D50 | Median diameter, µm | t | Time, s |
| ɛpor | Bed porosity | Td | Deposition or erosion rate, m/s |
| g | Gravity acceleration, m/s2 | T | Tidal conditions, m |
| Hs | Wave height, m | V | Velocity field, m/s |
| N | Density spectrum | x | Longitudinal direction, m |
| p | Fluid pressure, N/m2 | xd | Breakwater distance from the coast |
| R | Source/sink term for the advection-diffusion equation | y | Transversal direction, m |
| ρ | Fluid density, kg/m3 | z | Elevation, m |
| σ | Frequency | zb | Bed level, m |
© 2020 by the authors. Licensee MDPI, Basel, Switzerland. This article is an open access article distributed under the terms and conditions of the Creative Commons Attribution (CC BY) license (http://creativecommons.org/licenses/by/4.0/).
Share and Cite
Vona, I.; Gray, M.W.; Nardin, W. The Impact of Submerged Breakwaters on Sediment Distribution along Marsh Boundaries. Water 2020, 12, 1016. https://doi.org/10.3390/w12041016
Vona I, Gray MW, Nardin W. The Impact of Submerged Breakwaters on Sediment Distribution along Marsh Boundaries. Water. 2020; 12(4):1016. https://doi.org/10.3390/w12041016
Chicago/Turabian StyleVona, Iacopo, Matthew W. Gray, and William Nardin. 2020. "The Impact of Submerged Breakwaters on Sediment Distribution along Marsh Boundaries" Water 12, no. 4: 1016. https://doi.org/10.3390/w12041016
APA StyleVona, I., Gray, M. W., & Nardin, W. (2020). The Impact of Submerged Breakwaters on Sediment Distribution along Marsh Boundaries. Water, 12(4), 1016. https://doi.org/10.3390/w12041016
