Isolation of Fungal Strains from Municipal Wastewater for the Removal of Pharmaceutical Substances
Abstract
1. Introduction
2. Materials and Methods
2.1. Fungi, Pharmaceuticals Substances and Wastewater
2.2. Isolation and Selection of Fungi from Municipal Wastewater
2.3. Removal of Pharmaceutical Substances in Synthetic and Municipal Wastewater Media
2.4. Biosorption Test
2.5. Analytical Procedure of Enzyme Activity and HPLC
2.6. Identification of Fungal Isolates
3. Results and Discussion
3.1. Isolation of Fungal Strains
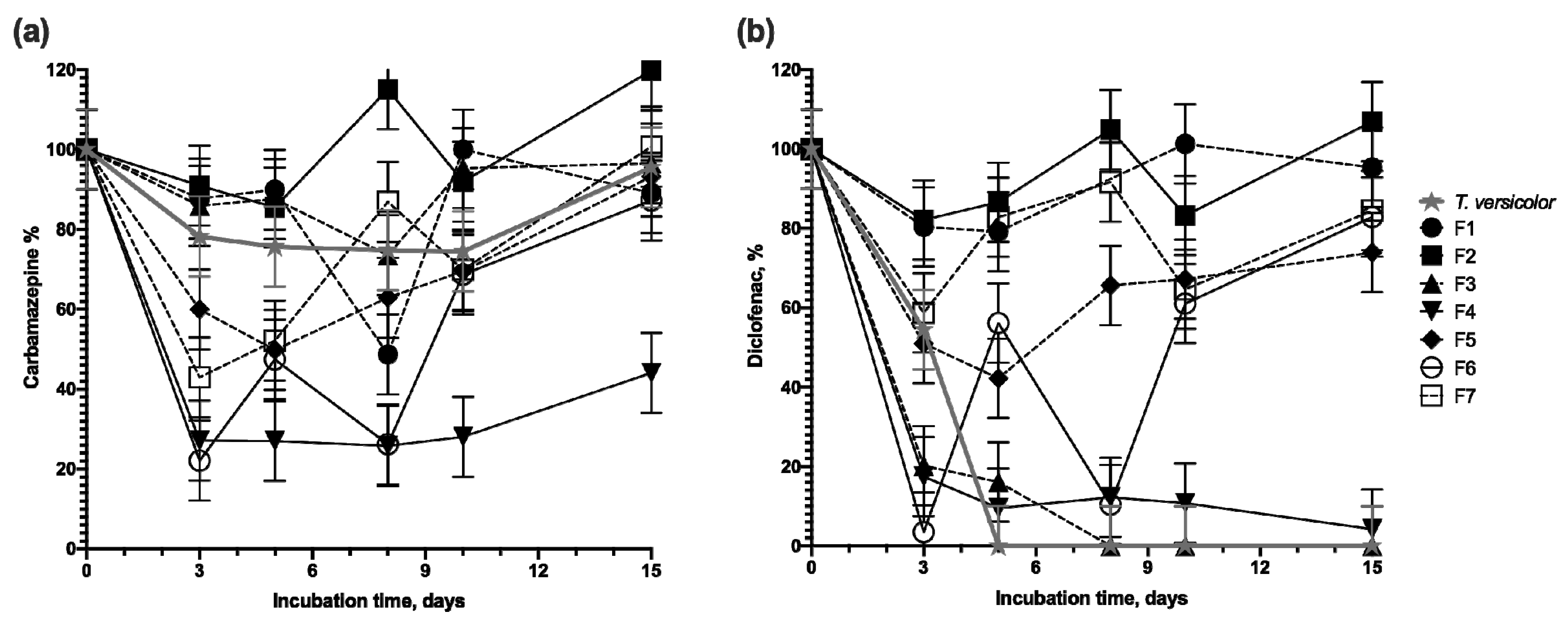
3.2. Removal of Pharmaceuticals by Fungal Isolates in Synthetic Wastewater Media
3.3. pH Effect on Removal Efficiency
3.4. Removal of Pharmaceuticals by Fungal Isolates in Municipal Wastewater
4. Conclusions
Author Contributions
Funding
Acknowledgments
Conflicts of Interest
References
- Mir-Tutusaus, J.A.; Parladé, E.; Lorca, M.; Villagrasa, M.; Barceló, D.; Rodriguez-Mozaz, S.; Martinez-Alonso, M.; Gaju, N.; Caminal, G.; Sarrà, M. Pharmaceuticals removal and microbial community assessment in a continuous fungal treatment of non-sterile real hospital wastewater after a coagulation-flocculation pretreatment. Water Res. 2017, 116, 65–75. [Google Scholar] [CrossRef]
- Fatta-Kassinos, D.; Meric, S.; Nikolaou, A. Pharmaceutical residues in environmental waters and wastewater: Current state of knowledge and future research. Anal. Bioanal. Chem. 2011, 399, 251–275. [Google Scholar] [CrossRef]
- Khetan, S.K.; Collins, T.J. Human pharmaceuticals in the aquatic environment a review. Environ. Technol. 2007, 22, 1383–1394. [Google Scholar]
- Ternes, T.A.; Stüber, J.; Herrmann, N.; McDowell, D.; Ried, A.; Kampmann, M.; Teiser, B. Ozonation: A tool for removal of pharmaceuticals, contrast media and musk fragrances from wastewater? Water Res. 2003, 37, 1976–1982. [Google Scholar] [CrossRef]
- Jones, O.A.H.; Voulvoulis, N.; Lester, J.N. Human pharmaceuticals in wastewater treatment processes. Crit. Rev. Environ. Sci. Technol. 2005, 35, 401–427. [Google Scholar] [CrossRef]
- Grover, D.P.; Zhou, J.L.; Frickers, P.E.; Readman, J.W. Improved removal of estrogenic and pharmaceutical compounds in sewage effluent by full scale granular activated carbon: Impact on receiving river water. J. Hazard. Mater. 2011, 185, 1005–1011. [Google Scholar] [CrossRef] [PubMed]
- Mir-Tutusaus, J.A.; Baccar, R.; Caminal, G.; Sarrà, M. Can white-rot fungi be a real wastewater treatment alternative for organic micropollutants removal? A review. Water Res. 2018, 138, 137–151. [Google Scholar] [CrossRef] [PubMed]
- Olicon-Hernandez, D.; Gonzalez-Lopez, J.; Aranda, E. Overview on the biochemical potential of filamentous fungi to degrade pharmaceutical compounds. Front. Microbiol. 2017, 8, 1–17. [Google Scholar] [CrossRef] [PubMed]
- Lucas, D.; Castellet-Rovira, F.; Villagrasa, M.; Badia-Fabregat, M.; Barcelo, D.; Vicent, T.; Caminal, G.; Sarra, M.; Rodriguez-Mozaz, S. The role of sorption processes in the removal of pharmaceuticals by fungal treatment of wastewater. Sci. Total Environ. 2018, 610, 1147–1153. [Google Scholar] [CrossRef]
- Marco-Urrea, E.; Pérez-Trujillo, M.; Cruz-Morató, C.; Caminal, G.; Vicent, T. White-rot fungus-mediated degradation of the analgesic ketoprofen and identification of intermediates by HPLC-DAD-MS and NMR. Chemosphere 2010, 78, 474–481. [Google Scholar] [CrossRef]
- Stenholm, Å.; Hedeland, M.; Arvidsson, T.; Pettersson, C.E. Removal of diclofenac from a non-sterile aqueous system using Trametes versicolor with an emphasis on adsorption and biodegradation mechanisms. Environ. Technol. 2018, 3330, 1–13. [Google Scholar] [CrossRef]
- Sankaran, S.; Khanal, S.K.; Jasti, N.; Jin, B.; Pometto, A.L.; Van Leeuwen, J.H. Use of filamentous fungi for wastewater treatment and production of high value fungal byproducts: A review. Crit. Rev. Environ. Sci. Technol. 2010, 40, 400–449. [Google Scholar] [CrossRef]
- Guest, R.K.; Smith, D.W. Isolation and screening of fungi to determine potential for ammonia nitrogen treatment in wastewater. J. Environ. Eng. Sci. 2007, 10, 209–217. [Google Scholar] [CrossRef]
- Silva, A.; Matos-Delerue, C.; Figueiredo, A.; Freitas, M.A. The use of algae and fungi for removal of pharmaceuticals by bioremediation and biosorption processes: A review. Water 2019, 11, 1555. [Google Scholar] [CrossRef]
- Mir-Tutusaus, J.; Caminal, G.; Sarra, M. Influence of process variables in a continuous treatment of non-sterile hospital wastewater by Trametes versicolor and novel method for inoculum production. J. Environ. Manag. 2018, 212, 415–423. [Google Scholar] [CrossRef]
- Andersson, S.; Nilsson, M.; Dalhammar, G.; Kuttuva, G. Assessment of carrier materials for biofilm formation and denitrification. Vatten 2008, 64, 201–207. [Google Scholar]
- Bernats, M.; Juhna, T. Removal of phenols-like substances in pharmaceutical wastewater with fungal bioreactors by adding Trametes versicolor. Water Sci. Technol. 2018, 78, 743–750. [Google Scholar] [CrossRef]
- UNESCO, HELCOM. Pharmaceuticals in the aquatic environment of the Baltic Sea region—A status report. In UNESCO Emerging Pollutants in Water Series 1; UNESCO Publishing: Paris, France, 2017; ISBN 978-92-3-100213-7. [Google Scholar]
- Tavares, A.P.M.; Coelho, M.A.Z.; Agapito, M.S.M.; Coutinho, J.A.P.; Xavier, A.M.R.B. Optimization and modeling of laccase production by Trametes versicolor in a bioreactor using statistical experimental design. Appl. Biochem. Biotechnol. 2006, 134, 233–248. [Google Scholar] [CrossRef]
- Gao, D.; Du, L.; Yang, J.; Wu, W.M.; Liang, H. A critical review of the application of white rot fungus to environmental pollution control. Crit. Rev. Biotechnol. 2010, 30, 70–77. [Google Scholar] [CrossRef]
- Lucas, D.; Barcelo, D.; Rodriguez-Mozaz, S. Removal of pharmaceuticals from wastewater by fungal treatment and reduction of hazard quotients. Sci. Total Environ. 2016, 571, 909–915. [Google Scholar] [CrossRef]
- Gao, X.; Gao, Q.; Bao, J. Tolerance response and metabolism of acetic acid by biodetoxification fungus Amorphotheca resinae ZN1. J. Biotechnol. 2018, 275, 31–39. [Google Scholar] [CrossRef]
- Vylkova, S. Environmental pH modulation by pathogenic fungi as a strategy to conquer the host. PLoS Pathog. 2017, 13, 1–6. [Google Scholar] [CrossRef]
- Aracagök, Y.D.; Göker, H.; Cihangir, N. Biodegradation of diclofenac with fungal strains. Arch. Environ. Prot. 2018, 44, 55–62. [Google Scholar]
- Harms, H.; Schlosser, D.; Wick, L.Y. Untapped potential: exploiting fungi in bioremediation of hazardous chemicals. Nat. Rev. Microbiol. 2011, 9, 177–192. [Google Scholar] [CrossRef]






© 2020 by the authors. Licensee MDPI, Basel, Switzerland. This article is an open access article distributed under the terms and conditions of the Creative Commons Attribution (CC BY) license (http://creativecommons.org/licenses/by/4.0/).
Share and Cite
Dalecka, B.; Oskarsson, C.; Juhna, T.; Kuttava Rajarao, G. Isolation of Fungal Strains from Municipal Wastewater for the Removal of Pharmaceutical Substances. Water 2020, 12, 524. https://doi.org/10.3390/w12020524
Dalecka B, Oskarsson C, Juhna T, Kuttava Rajarao G. Isolation of Fungal Strains from Municipal Wastewater for the Removal of Pharmaceutical Substances. Water. 2020; 12(2):524. https://doi.org/10.3390/w12020524
Chicago/Turabian StyleDalecka, Brigita, Caroline Oskarsson, Talis Juhna, and Gunaratna Kuttava Rajarao. 2020. "Isolation of Fungal Strains from Municipal Wastewater for the Removal of Pharmaceutical Substances" Water 12, no. 2: 524. https://doi.org/10.3390/w12020524
APA StyleDalecka, B., Oskarsson, C., Juhna, T., & Kuttava Rajarao, G. (2020). Isolation of Fungal Strains from Municipal Wastewater for the Removal of Pharmaceutical Substances. Water, 12(2), 524. https://doi.org/10.3390/w12020524

