Life Cycle Assessment of the Mesophilic, Thermophilic, and Temperature-Phased Anaerobic Digestion of Sewage Sludge
Abstract
:1. Introduction
2. Materials and Methods
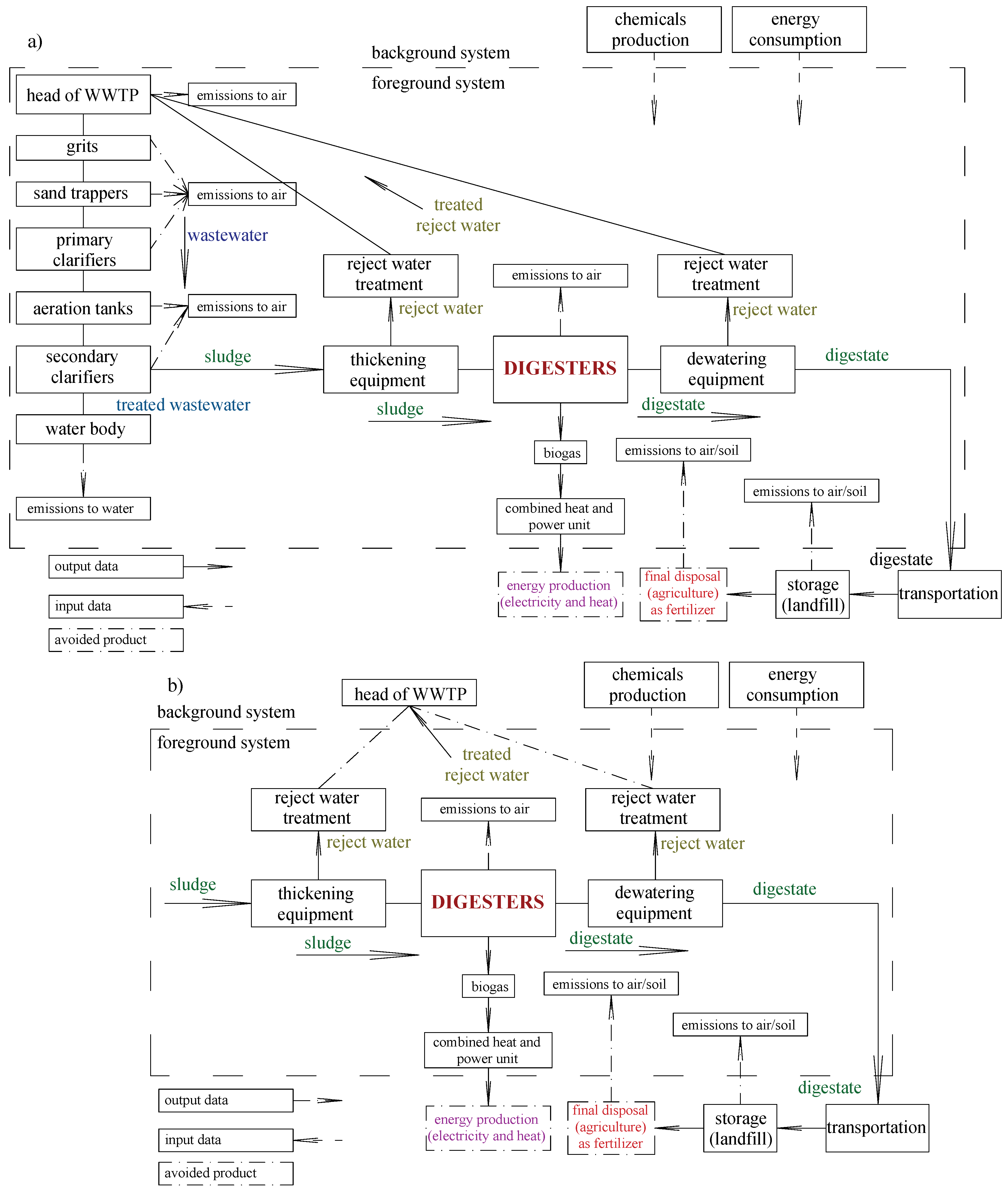
2.1. Anaerobic Digestion Systems
2.2. Life Cycle Assessment
2.2.1. Goal and Scope Definition
2.2.2. Inventory Analysis
2.2.3. Impact Assessment
2.2.4. Sensitivity Analysis
3. Results and Discussion
3.1. Life Cycle Assessment
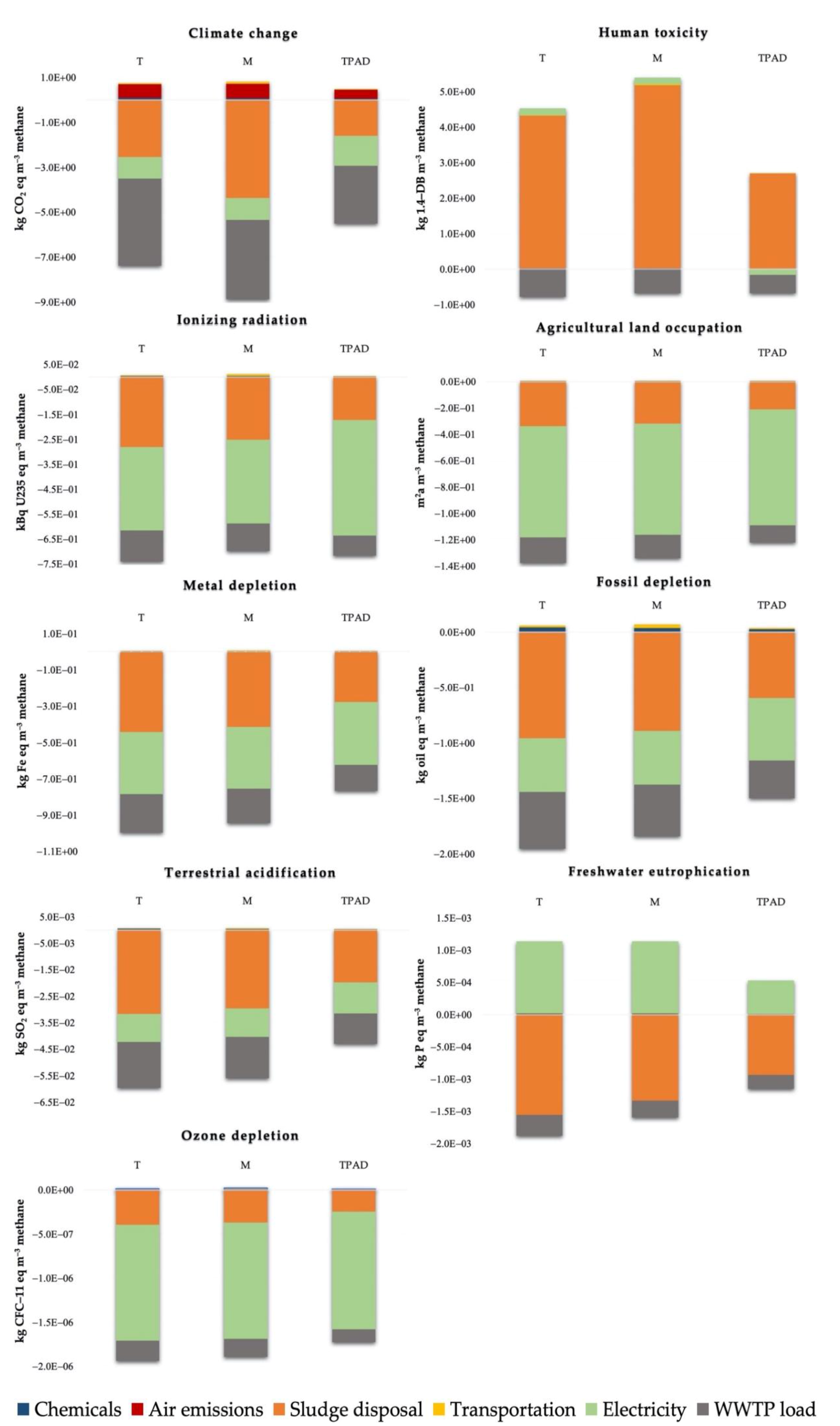
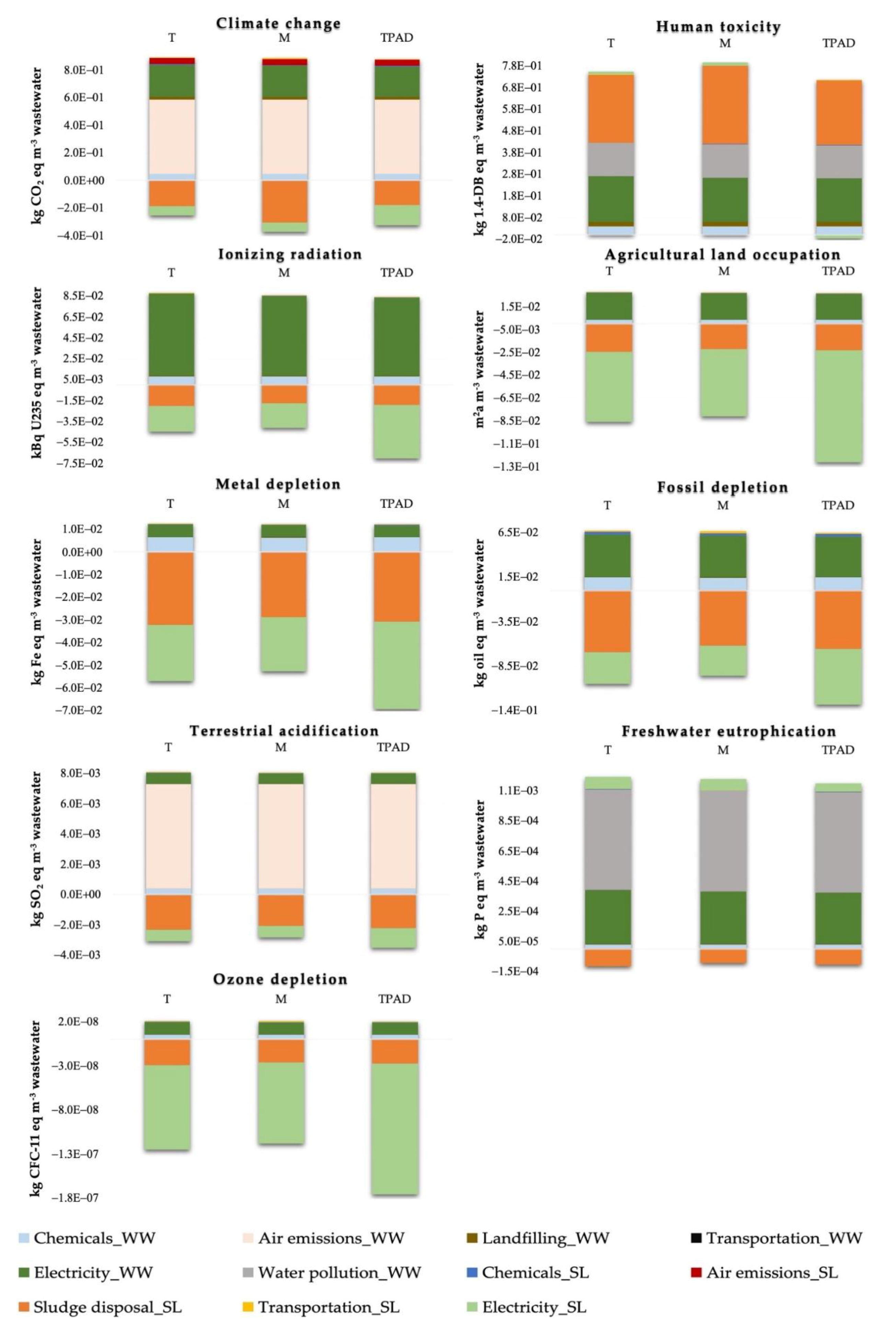
3.1.1. WWTP-LCA with Mesophilic, Thermophilic, or Temperature-Phased Anaerobic Digestion
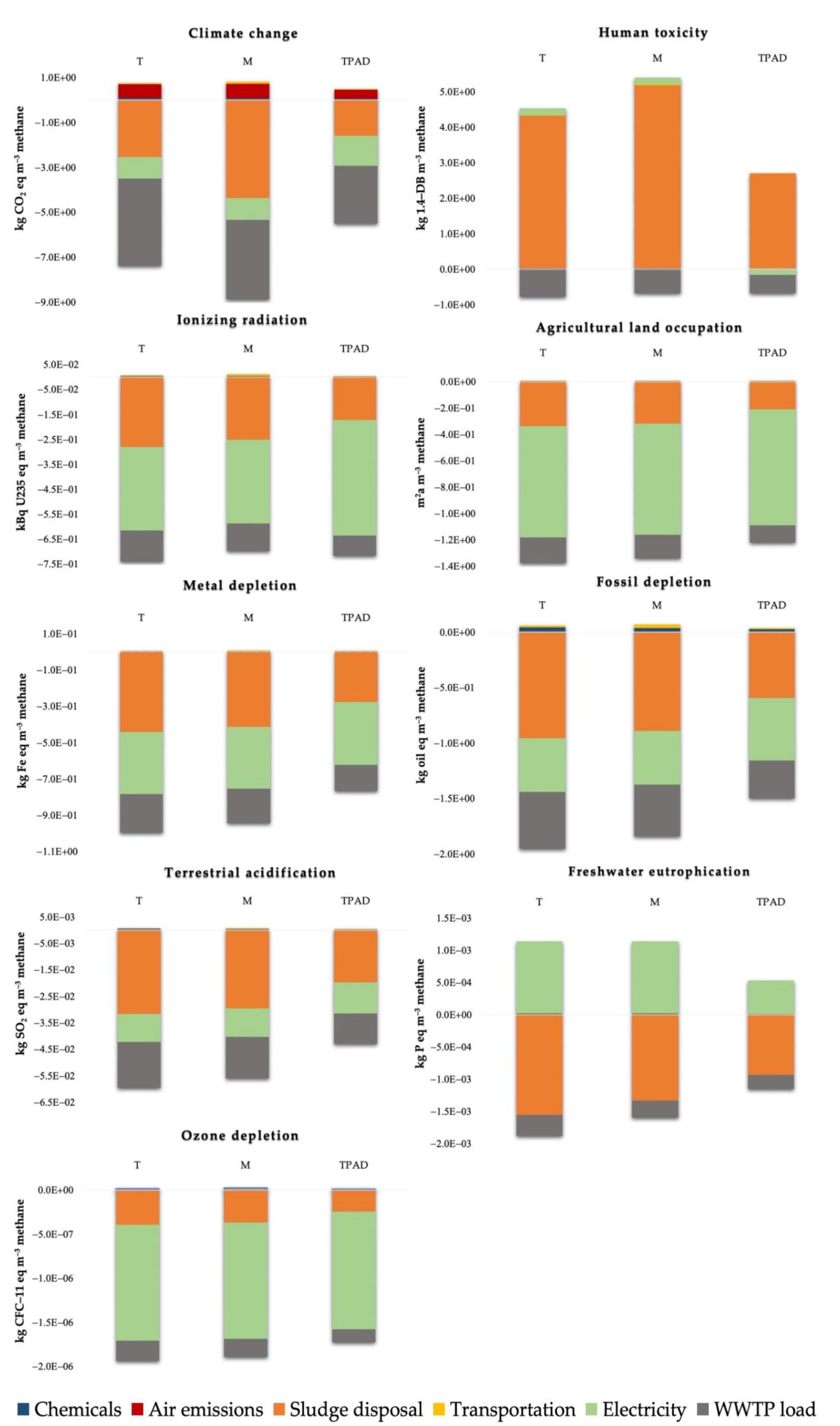
3.1.2. SL-LCA with Mesophilic, Thermophilic, or Temperature-Phased Anaerobic Digestion
3.2. Sensitivity Analysis
4. Conclusions
Author Contributions
Funding
Acknowledgments
Conflicts of Interest
Abbreviations
| AD | anaerobic digestion |
| COD | chemical oxygen demand |
| HRT | hydraulic retention time |
| LCA | life cycle assessment |
| M | mesophilic |
| OLR | organic loading rate |
| SL | sludge treatment line |
| SL-LCA | LCA performed within the boundaries of the sludge line |
| T | thermophilic |
| TPAD | temperature-phased anaerobic digestion |
| TS | total solids |
| V | reactor working volume |
| VS | volatile solids |
| WAS | waste activated sludge |
| WW | wastewater treatment line |
| WWTP | wastewater treatment plant |
| WWTP-LCA | LCA performed within the boundaries of the whole wastewater treatment plant |
References
- Leite, W.R.M.; Gottardo, M.; Pavan, P.; Filho, P.B.; Bolzonella, D. Performance and energy aspects of single and two phase thermophilic anaerobic digestion of waste activated sludge. Renew. Energy 2016, 86, 1324–1331. [Google Scholar] [CrossRef]
- Yang, P.; Li, D.; Zhang, W.; Wang, N.; Yang, Z.; Wang, D.; Ma, T. Flocculation-dewatering behavior of waste activated sludge particles under chemical conditioning with inorganic polymer flocculant: Effects of typical sludge properties. Chemosphere 2019, 218, 930–940. [Google Scholar] [CrossRef]
- Wei, H.; Gao, B.; Ren, J.; Li, A.; Yang, H. Coagulation/flocculation in dewatering of sludge: A review. Water Res. 2018, 143, 608–631. [Google Scholar] [CrossRef]
- Lamnatou, C.; Nicolaï, R.; Chemisana, D.; Cristofari, C.; Cancellieri, D. Biogas production by means of an anaerobic-digestion plant in France: LCA of greenhouse-gas emissions and other environmental indicators. Sci. Total. Environ. 2019, 670, 1226–1239. [Google Scholar] [CrossRef]
- Rajendran, K.; Murthy, G.S. Techno-economic and life cycle assessments of anaerobic digestion—A review. Biocatal. Agric. Biotechnol. 2019, 20, 101207. [Google Scholar] [CrossRef]
- Wainaina, S.; Awasthi, M.K.; Sarsaiya, S.; Chen, H.; Singh, E.; Kumar, A.; Ravindran, B.; Awasthi, S.K.; Liu, T.; Duan, Y.; et al. Resource recovery and circular economy from organic solid waste using aerobic and anaerobic digestion technologies. Bioresour. Technol. 2020, 301, 122778. [Google Scholar] [CrossRef]
- Zhang, J.; Liu, J.; Wang, Y.; Yu, D.; Sui, Q.; Wang, R.; Chen, M.; Tong, J.; Wei, Y. Profiles and drivers of antibiotic resistance genes distribution in one-stage and two-stage sludge anaerobic digestion based on microwave-H2O2 pretreatment. Bioresour. Technol. 2017, 241, 573–581. [Google Scholar] [CrossRef] [PubMed]
- Wei, W.; Wu, L.; Liu, X.; Chen, Z.; Hao, Q.; Wang, D.; Liu, Y.; Peng, L.; Ni, B.-J. How does synthetic musks affect methane production from the anaerobic digestion of waste activated sludge? Sci. Total. Environ. 2020, 713, 136594. [Google Scholar] [CrossRef] [PubMed]
- Hao, X.; Wang, X.; Liu, R.; Li, S.; Van Loosdrecht, M.C.; Jiang, H. Environmental impacts of resource recovery from wastewater treatment plants. Water Res. 2019, 160, 268–277. [Google Scholar] [CrossRef]
- Meena, R.A.A.; Kannah, R.Y.; Sindhu, J.; Ragavi, J.; Kumar, G.; Gunasekaran, M.; Banu, J.R. Trends and resource recovery in biological wastewater treatment system. Bioresour. Technol. Rep. 2019, 7, 100235. [Google Scholar] [CrossRef]
- Mesjasz-Lech, A. Reverse logistics of municipal solid waste—Towards zero waste cities. Transp. Res. Procedia 2019, 39, 320–332. [Google Scholar] [CrossRef]
- Ye, Y.; Ngo, H.H.; Guo, W.; Liu, Y.; Li, J.; Liu, Y.; Zhang, X.; Jia, H. Insight into chemical phosphate recovery from municipal wastewater. Sci. Total Environ. 2017, 576, 159–171. [Google Scholar] [CrossRef] [PubMed]
- Pradel, M.; Aissani, L. Environmental impacts of phosphorus recovery from a “product” Life Cycle Assessment perspective: Allocating burdens of wastewater treatment in the production of sludge-based phosphate fertilizers. Sci. Total Environ. 2019, 656, 55–69. [Google Scholar] [CrossRef] [PubMed]
- Cordell, D.; Rosemarin, A.; Schröder, J.; Smit, A. Towards global phosphorus security: A systems framework for phosphorus recovery and reuse options. Chemosphere 2011, 84, 747–758. [Google Scholar] [CrossRef] [PubMed]
- Khan, E.U.; Nordberg, Å. Membrane distillation process for concentration of nutrients and water recovery from digestate reject water. Sep. Purif. Technol. 2018, 206, 90–98. [Google Scholar] [CrossRef]
- De Vrieze, J.; Smet, D.; Klok, J.; Colsen, J.; Angenent, L.T.; Vlaeminck, S. Thermophilic sludge digestion improves energy balance and nutrient recovery potential in full-scale municipal wastewater treatment plants. Bioresour. Technol. 2016, 218, 1237–1245. [Google Scholar] [CrossRef]
- Ruffino, B.; Cerutti, A.; Campo, G.; Scibilia, G.; Lorenzi, E.; Zanetti, M. Thermophilic vs. mesophilic anaerobic digestion of waste activated sludge: Modelling and energy balance for its applicability at a full scale WWTP. Renew. Energy 2020, 156, 235–248. [Google Scholar] [CrossRef]
- Lin, R.; Cheng, J.; Ding, L.; Murphy, J.D. Improved efficiency of anaerobic digestion through direct interspecies electron transfer at mesophilic and thermophilic temperature ranges. Chem. Eng. J. 2018, 350, 681–691. [Google Scholar] [CrossRef]
- Micolucci, F.; Gottardo, M.; Valentino, F.; Cavinato, C.; Bolzonella, D. Pilot scale comparison of single and double-stage thermophilic anaerobic digestion of food waste. J. Clean. Prod. 2018, 171, 1376–1385. [Google Scholar] [CrossRef]
- Cao, Z.; Hülsemann, B.; Wüst, D.; Illi, L.; Oechsner, H.; Kruse, A. Valorization of maize silage digestate from two-stage anaerobic digestion by hydrothermal carbonization. Energy Convers. Manag. 2020, 222, 113218. [Google Scholar] [CrossRef]
- Srisowmeya, G.; Chakravarthy, M.; Devi, G.N. Critical considerations in two-stage anaerobic digestion of food waste—A review. Renew. Sustain. Energy Rev. 2020, 119, 109587. [Google Scholar] [CrossRef]
- Zhang, K.; Gu, J.; Wang, X.; Yin, Y.; Zhang, X.; Zhang, R.; Tuo, X.; Zhang, L. Variations in the denitrifying microbial community and functional genes during mesophilic and thermophilic anaerobic digestion of cattle manure. Sci. Total Environ. 2018, 634, 501–508. [Google Scholar] [CrossRef] [PubMed]
- Kim, M.; Ahn, Y.-H.; Speece, R. Comparative process stability and efficiency of anaerobic digestion; mesophilic vs. thermophilic. Water Res. 2002, 36, 4369–4385. [Google Scholar] [CrossRef]
- Song, Y.-C.; Kwon, S.-J.; Woo, J.-H. Mesophilic and thermophilic temperature co-phase anaerobic digestion compared with single-stage mesophilic- and thermophilic digestion of sewage sludge. Water Res. 2004, 38, 1653–1662. [Google Scholar] [CrossRef]
- Fernández-Rodríguez, J.; Pérez, M.; Romero, L.I. Semicontinuous Temperature-Phased Anaerobic Digestion (TPAD) of Organic Fraction of Municipal Solid Waste (OFMSW). Comparison with single-stage processes. Chem. Eng. J. 2016, 285, 409–416. [Google Scholar] [CrossRef]
- Yu, Q.; Li, H.; Deng, Z.; Liao, X.; Liu, S.; Liu, J. Comparative assessment on two full-scale food waste treatment plants with different anaerobic digestion processes. J. Clean. Prod. 2020, 263, 121625. [Google Scholar] [CrossRef]
- Sills, D.L.; Van Doren, L.G.; Beal, C.; Raynor, E. The effect of functional unit and co-product handling methods on life cycle assessment of an algal biorefinery. Algal Res. 2020, 46, 101770. [Google Scholar] [CrossRef]
- Li, H.; Jin, C.; Zhang, Z.; O’Hara, I.M.; Mundree, S. Environmental and economic life cycle assessment of energy recovery from sewage sludge through different anaerobic digestion pathways. Energy 2017, 126, 649–657. [Google Scholar] [CrossRef]
- Li, H.; Feng, K. Life cycle assessment of the environmental impacts and energy efficiency of an integration of sludge anaerobic digestion and pyrolysis. J. Clean. Prod. 2018, 195, 476–485. [Google Scholar] [CrossRef]
- Zhang, B.; Su, S.; Zhu, Y.; Li, X. An LCA-based environmental impact assessment model for regulatory planning. Environ. Impact Assess. Rev. 2020, 83, 106406. [Google Scholar] [CrossRef]
- Lanko, I.; Jenicek, P. Anaerobic Sludge Digestion: Single System Versus Two-Stage One; UCT Prague: Dejvice, Czech Republic, 2019; p. 1. [Google Scholar]
- Timonen, K.; Sinkko, T.; Luostarinen, S.; Tampio, E.; Joensuu, K. LCA of anaerobic digestion: Emission allocation for energy and digestate. J. Clean. Prod. 2019, 235, 1567–1579. [Google Scholar] [CrossRef]
- Garfì, M.; Flores, L.; Ferrer, I. Life Cycle Assessment of wastewater treatment systems for small communities: Activated sludge, constructed wetlands and high rate algal ponds. J. Clean. Prod. 2017, 161, 211–219. [Google Scholar] [CrossRef]
- Ferrer, I.; Serrano, E.; Ponsá, S.; Vázquez, F.; Font, X. Enhancement of Thermophilic Anaerobic Sludge Digestion by 70 °C Pre-Treatment: Energy Considerations. J. Residuals Sci. Technol. 2009, 6, 11–18. [Google Scholar]
- Riau, V.; De La Rubia, M.Á; Pérez, M. Temperature-phased anaerobic digestion (TPAD) to obtain class A biosolids: A semi-continuous study. Bioresour. Technol. 2010, 101, 2706–2712. [Google Scholar] [CrossRef] [PubMed]
- Courtens, E.N.P.; Vlaeminck, S.E.; Vilchez-Vargas, R.; Verliefde, A.; Jauregui, R.; Pieper, D.H.; Boon, N. Trade-off between mesophilic and thermophilic denitrification: Rates vs. sludge production, settleability and stability. Water Res. 2014, 63, 234–244. [Google Scholar] [CrossRef]
- Daelman, M.R.; Van Voorthuizen, E.M.; Van Dongen, L.G.J.M.; Volcke, E.I.P.; Van Loosdrecht, M.C.M. Methane and nitrous oxide emissions from municipal wastewater treatment—Results from a long-term study. Water Sci. Technol. 2013, 67, 2350–2355. [Google Scholar] [CrossRef]
- Willén, A.; Rodhe, L.; Pell, M.; Jönsson, H. Nitrous oxide and methane emissions during storage of dewatered digested sewage sludge. J. Environ. Manag. 2016, 184, 560–568. [Google Scholar] [CrossRef]
- GlobalPetrolPrices.com. Available online: https://ru.globalpetrolprices.com/energy_mix.php?countryId=188 (accessed on 9 October 2020).
- Akgul, D.; Cella, M.A.; Eskicioglu, C. Influences of low-energy input microwave and ultrasonic pretreatments on single-stage and temperature-phased anaerobic digestion (TPAD) of municipal wastewater sludge. Energy 2017, 123, 271–282. [Google Scholar] [CrossRef]
- Li, Y.; Han, Y.; Zhang, Y.; Fang, Y.; Li, S.; Li, G.; Luo, W. Factors affecting gaseous emissions, maturity, and energy efficiency in composting of livestock manure digestate. Sci. Total Environ. 2020, 731, 139157. [Google Scholar] [CrossRef]
- Corominas, L.; Foley, J.; Guest, J.S.; Hospido, A.; Larsen, H.F.; Morera, S.; Shaw, A. Life cycle assessment applied to wastewater treatment: State of the art. Water Res. 2013, 47, 5480–5492. [Google Scholar] [CrossRef]
- Massanet-Nicolau, J.; Dinsdale, R.M.; Guwy, A.; Shipley, G. Utilising biohydrogen to increase methane production, energy yields and process efficiency via two stage anaerobic digestion of grass. Bioresour. Technol. 2015, 189, 379–383. [Google Scholar] [CrossRef] [PubMed]
- Dixon, A.; Simon, M.; Burkitt, T. Assessing the environmental impact of two options for small-scale wastewater treatment: Comparing a reedbed and an aerated biological filter using a life cycle approach. Ecol. Eng. 2003, 20, 297–308. [Google Scholar] [CrossRef]
- Bacenetti, J.; Fiala, M. Carbon footprint of electricity from anaerobic digestion plants in Italy. Environ. Eng. Manag. J. 2015, 14, 1495–1502. [Google Scholar] [CrossRef]
- Lizarralde, I.; Fernández-Arévalo, T.; Beltrán, S.; Ayesa, E.; Grau, P. Validation of a multi-phase plant-wide model for the description of the aeration process in a WWTP. Water Res. 2018, 129, 305–318. [Google Scholar] [CrossRef] [PubMed]
- Uggetti, E.; Ferrer, I.; Molist, J.; García, J. Technical, economic and environmental assessment of sludge treatment wetlands. Water Res. 2011, 45, 573–582. [Google Scholar] [CrossRef]
- Quist-Jensen, C.A.; Sørensen, M.J.; Svenstrup, A.; Scarpa, L.; Carlsen, T.S.; Jensen, H.C.; Wybrandt, L.; Christensen, M.L. Membrane crystallization for phosphorus recovery and ammonia stripping from reject water from sludge dewatering process. Desalination 2018, 440, 156–160. [Google Scholar] [CrossRef]




| Process Variable (Units) | Thermophilic | Mesophilic | TPAD | ||
|---|---|---|---|---|---|
| 1st Stage | 2nd Stage | ||||
| Operational conditions | Temperature (°C) | 57 ± 1.5 | 38 ± 1.5 | 57 ± 1.5 | 38 ± 1.5 |
| HRT (days) | 19 | 19 | 2 | 17 | |
| V (L) | 8.45 | 8.45 | 1.0 | 8.45 | |
| OLR (g VS/L·day) | 2.25 | 2.25 | 2.24 | ||
| Biogas production | Methane production rate (L CH4/L·day) | 7.8 ± 0.5 | 7.1 ± 0.6 | 2.5 ± 0.4 | 9.9 ± 0.2 |
| Methane yield (L CH4/g COD) | 0.17 ± 0.02 | 0.16 ± 0.02 | 0.05 ± 0.01 | 0.19 ± 0.02 | |
| Methane content in biogas (% CH4) | 61.7 ± 3.1 | 66.1 ± 1.8 | 58.9 ± 5.3 | 70.9 ± 2.7 | |
| Removal efficiency | TS removal (%) | 20.5 ± 2.4 | 18.5 ± 1.7 | 24.5 ± 2.2 | |
| VS removal (%) | 27.6 ± 1.9 | 26.0 ± 2.6. | 35.5 ± 1.2 | ||
| Effluent characteristics | pH | 7.4 ± 0.06 | 7.5 ± 0.02 | 6.7 ± 0.13 | 7.6 ± 0.02 |
| TS (g/L) | 57.1 ± 2.4 | 58.5 ± 1.7 | 55.3 ± 2.2 | ||
| VS (g/L) | 30.7 ± 1.9 | 31.3 ± 2.6 | 28.6 ± 1.2 | ||
| VS/TS (%) | 53.8 | 53.5 | 51.7 | ||
| COD (g/L) | 43.2 ± 4.8 | 44.6 ± 3.7 | 48.8 ± 5.7 | 42.1 ± 1.2 | |
| Type of Data | WW/SL | Item | Referred to FU | Unit | ||
|---|---|---|---|---|---|---|
| T | M | TPAD | ||||
| Input data | ||||||
| Energy consumption | WW + SL | Total energy consumption | 0.42 | 0.39 | 0.39 | kWh/m3 |
| WW | Only for WW | 0.32 | 0.31 | 0.3 | kWh/m3 | |
| SL | Only for SL | 0.1 | 0.08 | 0.09 | kWh/m3 | |
| Reagents | WW | Phosphorus precipitation agent | 0.07 | 0.07 | 0.03 | kg/m3 |
| Sludge anti-bulking agent | 0.05 | 0.05 | 0.05 | kg/m3 | ||
| SL | Thickening agent | 1.23 × 10−4 | 1.23 × 10−4 | 1.23 × 10−4 | kg/m3 | |
| Anti-foaming agent | 2.63 × 10−4 | 5.27 × 10−4 | 5.27 × 10−4 | kg/m3 | ||
| Dewatering agent | 0.002 | 0.001 | 0.002 | kg/m3 | ||
| Chemo dezodoration agent | 1.0 × 10−5 | 1.0 × 10−5 | 1.0 × 10−5 | kg/m3 | ||
| Bio dezodoration agent | 2.2 × 10−5 | 2.2 × 10−5 | 2.2 × 10−5 | kg/m3 | ||
| Output data | ||||||
| Waste | WW | Sand | 0.02 | 0.02 | 0.02 | kg/m3 |
| Sand | 0.001 | 0.001 | 0.001 | t*km/m3 | ||
| Coarse waste | 0.04 | 0.04 | 0.04 | kg/m3 | ||
| Coarse waste | 0.002 | 0.002 | 0.002 | t*km/m3 | ||
| Wastewater air emissions | CO | 9 | 9 | 9 | g/m3 | |
| SO2 | 0.03 | 0.03 | 0.03 | g/m3 | ||
| Ozone | 0.08 | 0.08 | 0.08 | g/m3 | ||
| N2O | 0.05 | 0.05 | 0.05 | g/m3 | ||
| H2S | 0.0008 | 0.0008 | 0.0008 | g/m3 | ||
| NH3 | 2.8 | 2.8 | 2.8 | g/m3 | ||
| N2O | 1.8 | 1.81 | 1.81 | g/m3 | ||
| CO2 | 81 | 81 | 81 | g/m3 | ||
| N2 | 41 | 41 | 41 | g/m3 | ||
| Wastewater contaminants | COD | 0.04 | 0.04 | 0.04 | kg/m3 | |
| SS | 0.009 | 0.009 | 0.009 | kg/m3 | ||
| TN | 0.02 | 0.02 | 0.02 | kg/m3 | ||
| TP | 6.7 × 10−4 | 6.7 × 10−4 | 6.7 × 10−4 | kg/m3 | ||
| As | 9.6 × 10−6 | 9.6 × 10−6 | 9.6 × 10−6 | kg/m3 | ||
| Pb | 1.5 × 10−5 | 1.5 × 10−5 | 1.5 × 10−5 | kg/m3 | ||
| Cd | 1.2 × 10−6 | 1.2 × 10−6 | 1.2 × 10−6 | kg/m3 | ||
| Cr | 2.2 × 10−6 | 2.2 × 10−6 | 2.2 × 10−6 | kg/m3 | ||
| Cu | 2.9 × 10−5 | 2.9 × 10−5 | 2.9 × 10−5 | kg/m3 | ||
| Ni | 6.9 × 10−6 | 6.9 × 10−6 | 6.9 × 10−6 | kg/m3 | ||
| Zn | 3.2 × 10−5 | 3.2 × 10−5 | 3.2 × 10−5 | kg/m3 | ||
| Hg | 0.2 × 10−7 | 0.2 × 10−7 | 0.2 × 10−7 | kg/m3 | ||
| Digestate contaminants | SL | Dewatered digested sludge (wet) | 0.82 | 0.86 | 0.78 | kg/m3 |
| Dewatered digested sludge (wet) | 0.032 | 0.034 | 0.031 | t*km/m3 | ||
| Avoided products | Electricity | 0.23 | 0.22 | 0.35 | kWh/m3 | |
| Heat | 0.26 | 0.25 | 0.39 | kWh/m3 | ||
| Air emissions | H2S | 2.0 × 10−4 | 2.0 × 10−4 | 2.0 × 10−4 | g/m3 | |
| CH4 | 0.02 | 0.02 | 0.02 | g/m3 | ||
| CO2, biogenic | 28 | 28 | 28 | g/m3 | ||
| CO2, not biogenic | 44 | 44 | 44 | g/m3 | ||
| Type of Data | Item | Referred to FU | Unit | ||
|---|---|---|---|---|---|
| T | M | TPAD | |||
| Input data | |||||
| Energy consumption | AD energy consumption | 1.32 | 1.12 | 0.79 | kWh/m3 |
| Energy consumption for composting | - | 0.2 | - | kWh/m3 | |
| Reagents | Thickening agent | 0.002 | 0.002 | 0.001 | kg/m3 |
| Anti-foaming agent | 0.004 | 0.008 | 0.005 | kg/m3 | |
| Dewatering agent | 0.027 | 0.019 | 0.014 | kg/m3 | |
| Chemo dezodoration agent | 1.3 × 10−4 | 1.4 × 10−4 | 8.7 × 10−5 | kg/m3 | |
| Bio dezodoration agent | 3.0 × 10−4 | 3.1 × 10−4 | 2.0 × 10−4 | kg/m3 | |
| Output data | |||||
| Wastewater | Reject water | 0.26 | 0.26 | 0.17 | m3/m3 |
| Wastes | Dewatered digested sludge (wet) | 11.3 | 12.3 | 7.1 | kgDM/m3 |
| Dewatered digested sludge (wet) | 0.45 | 0.49 | 0.28 | t*km/m3 | |
| Avoided products | Electricity | 3.14 | 3.14 | 3.12 | kWh/m3 |
| Heat | 3.51 | 3.51 | 3.49 | kWh/m3 | |
| Emissions | H2S | 0.003 | 0.003 | 0.002 | kg/m3 |
| CH4 | 0.28 | 0.29 | 0.18 | kg/m3 | |
| CO2, biogenic | 386 | 402 | 253 | kg/m3 | |
| CO2, not biogenic | 607 | 633 | 398 | kg/m3 | |
| Case | WWTP | SL | ||||
|---|---|---|---|---|---|---|
| Impact Category | S Coefficient | +5% | −5% | S Coefficient | +5% | −5% |
| Climate change, kg CO2 eq/FU | −0.309 | 0.543 | 0.561 | 0.321 | −5.108 | −4.938 |
| Human toxicity, kg 1.4-DB eq/FU | 0.431 | 0.711 | 0.679 | 1.325 | 2.162 | 1.880 |
| Ionising radiation, kBq U235 eq/FU | −1.424 | 0.012 | 0.014 | 0.241 | −0.722 | −0.704 |
| Agricultural land occupation, m2a/FU | 0.245 | −0.096 | −0.093 | 0.173 | −1.226 | −1.204 |
| Metal depletion, kg Fe eq/FU | 0.530 | −0.059 | −0.056 | 0.363 | −0.777 | −0.748 |
| Fossil depletion, kg oil eq/FU | 0.980 | −0.068 | −0.061 | 0.415 | −1.495 | −1.431 |
| Terrestrial acidification, kg SO2 eq/FU | −0.478 | 4.41 × 10−3 | 4.64 × 10−3 | 0.467 | −0.044 | −0.042 |
| Freshwater eutrophication, kg 1.4-DB eq/FU | −0.103 | −9.92 × 10−4 | −1.0 × 10−3 | 1.504 | −6.76 × 10−4 | −5.77 × 10−4 |
| Ozone depletion, kg CFC-11 eq/FU | 0.172 | −1.57 × 10−7 | −1.54 × 10−7 | 0.143 | −1.73 × 10−6 | −1.71 × 10−6 |
Publisher’s Note: MDPI stays neutral with regard to jurisdictional claims in published maps and institutional affiliations. |
© 2020 by the authors. Licensee MDPI, Basel, Switzerland. This article is an open access article distributed under the terms and conditions of the Creative Commons Attribution (CC BY) license (http://creativecommons.org/licenses/by/4.0/).
Share and Cite
Lanko, I.; Flores, L.; Garfí, M.; Todt, V.; Posada, J.A.; Jenicek, P.; Ferrer, I. Life Cycle Assessment of the Mesophilic, Thermophilic, and Temperature-Phased Anaerobic Digestion of Sewage Sludge. Water 2020, 12, 3140. https://doi.org/10.3390/w12113140
Lanko I, Flores L, Garfí M, Todt V, Posada JA, Jenicek P, Ferrer I. Life Cycle Assessment of the Mesophilic, Thermophilic, and Temperature-Phased Anaerobic Digestion of Sewage Sludge. Water. 2020; 12(11):3140. https://doi.org/10.3390/w12113140
Chicago/Turabian StyleLanko, Iryna, Laura Flores, Marianna Garfí, Vladimir Todt, John A. Posada, Pavel Jenicek, and Ivet Ferrer. 2020. "Life Cycle Assessment of the Mesophilic, Thermophilic, and Temperature-Phased Anaerobic Digestion of Sewage Sludge" Water 12, no. 11: 3140. https://doi.org/10.3390/w12113140
APA StyleLanko, I., Flores, L., Garfí, M., Todt, V., Posada, J. A., Jenicek, P., & Ferrer, I. (2020). Life Cycle Assessment of the Mesophilic, Thermophilic, and Temperature-Phased Anaerobic Digestion of Sewage Sludge. Water, 12(11), 3140. https://doi.org/10.3390/w12113140

