Application of the RSPARROW Modeling Tool to Estimate Total Nitrogen Sources to Streams and Evaluate Source Reduction Management Scenarios in the Grande River Basin, Brazil
Abstract
1. Introduction
2. Materials and Methods
2.1. Site Description
2.2. RSPARROW Model Description
2.2.1. Model Description and Estimation
2.2.2. Evaluations of Nitrogen Management Scenarios
2.3. Data Sources
2.3.1. Stream Reach Network
2.3.2. Calibration Data and Load Estimation
2.3.3. Explanatory Data
Sources and Landscape Transport Characteristics
In-Stream and Reservoir Transport
3. Results and Discussion
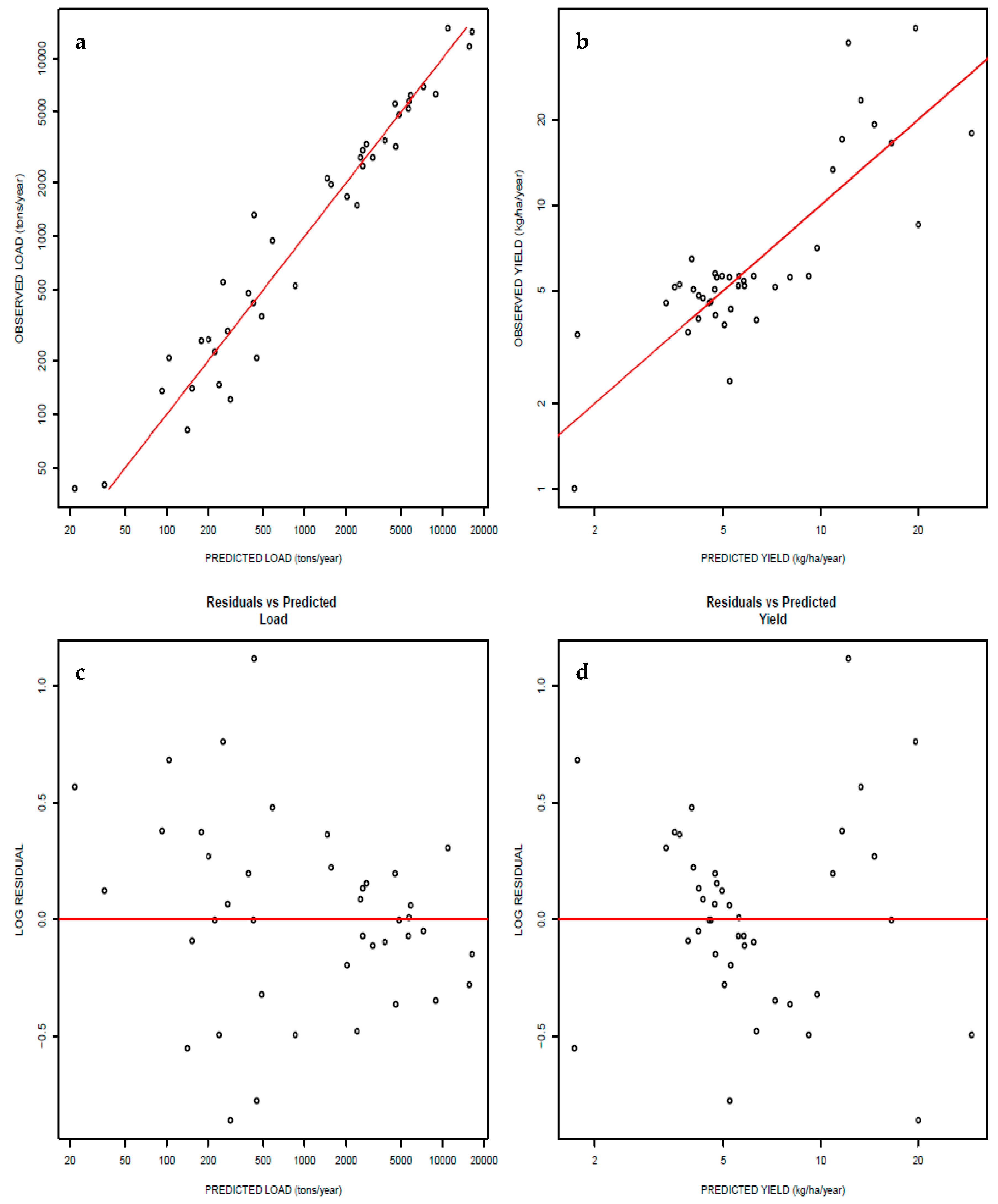
3.1. Model Assessment
3.2. TN Loads and Yields to Streams
3.3. Wastewater Treatment Plant Source Reduction Scenarios
3.4. Model Limitations and Future Applications
4. Conclusions
Author Contributions
Funding
Acknowledgments
Conflicts of Interest
References
- Archfield, S.; Clark, M.P.; Arheimer, B.; Hay, L.E.; McMillan, H.; Kiang, J.E.; Seibert, J.; Hakala, K.; Bock, A.; Wagener, T.; et al. Accelerating advances in continental domain hydrologic modeling. Water Resour. Res. 2015, 51, 10078–10091. [Google Scholar] [CrossRef]
- Miller, M.P.; Capel, P.D.; García, A.M.; Ator, S.W. Response of nitrogen loading to the Chesapeake Bay to source reduction and land use change scenarios: A SPARROW-informed analysis. J. Am. Water Resour. Assoc. 2019, 56, 100–112. [Google Scholar] [CrossRef]
- Arheimer, B.; Pimentel, R.; Isberg, K.; Crochemore, L.; Andersson, J.C.M.; Hasan, A.; Pineda, L. Global catchment modelling using World-Wide HYPE (WWH), open data, and stepwise parameter estimation. Hydrol. Earth Syst. Sci. 2020, 24, 535–559. [Google Scholar] [CrossRef]
- Harrison, J.A.; Bouwman, A.F.; Mayorga, E.; Seitzinger, S. Magnitudes and sources of dissolved inorganic phosphorus inputs to surface fresh waters and the coastal zone: A new global model. Glob. Biogeochem. Cycles 2010, 24, GB1003. [Google Scholar] [CrossRef]
- Bock, A.R.; Haay, L.E.; McCabe, G.J.; Markstrom, S.L.; Atkinson, R.D. Parameter regionalization of a monthly water balance model for the conterminous United States. Hydrol. Earth Syst. Sci. 2016, 20, 2861–2876. [Google Scholar] [CrossRef]
- Abbaspour, K.C.; Rouholahnejad, E.; Vaghefi, S.; Srinivasan, R.; Yang, H.; Klove, B. A continental-scale hydrology and water quality model for Europe: Calibration and uncertainty of a high-resolution large-scale SWAT model. J. Hydrol. 2015, 524, 733–752. [Google Scholar] [CrossRef]
- Alexander, R.B.; Schwarz, G.E.; Boyer, E.W. Advances in quantifying streamflow variability across continental scales: 1. Identifying natural and anthropogenic controlling factors in the USA using a spatially explicit modeling method. Water Resour. Res. 2019, 55, 10893–10917. [Google Scholar] [CrossRef]
- Smith, R.A.; Schwarz, G.E.; Alexander, R.B. Regional interpretation of water-quality monitoring data. Water Resour. Res. 1997, 33, 2781–2798. [Google Scholar] [CrossRef]
- Hoos, A.B.; Wang, S.H.; Schwarz, G.E. Adapting a regional water-quality model for local application: A case study for Tennessee, USA. Environ. Model. Softw. 2019, 115, 187–199. [Google Scholar] [CrossRef]
- Alexander, R.B.; Smith, R.A.; Schwarz, G.E.; Boyer, E.W.; Nolan, J.V.; Brakebill, J.W. Differences in phosphorus and nitrogen delivery to the Gulf of Mexico from the Mississippi River Basin. Environ. Sci. Technol. 2008, 42, 822–830. [Google Scholar] [CrossRef]
- Schwarz, G.E.; Hoos, A.B.; Alexander, R.B.; Smith, R.A. The SPARROW surface water-quality model: Theory, application, and user documentation. In U.S. Geological Survey Techniques and Methods Report; Book 6, Section B; U.S. Geological Survey: Reston, VA, USA, 2006; Chapter 3. Available online: https://pubs.usgs.gov/tm/2006/tm6b3/ (accessed on 1 July 2020).
- Hrachowitz, M.; Savenije, H.H.G.; Blöschl, G.; McDonnell, J.J.; Sivapalan, M.; Pomeroy, J.W.; Arheimer, B.; Blume, T.; Clark, M.P.; Ehret, U.; et al. A decade of Predictions in Ungauged Basins (PUB)—A review. Hydrol. Sci. J. 2013, 58, 1198–1255. [Google Scholar] [CrossRef]
- McDonnell, J.J.; Sivapalan, M.; Vache, K.; Dunn, S.; Grant, G.; Haggerty, R.; Hinz, C.; Hooper, R.; Kirchner, J.; Roderick, M.L.; et al. Moving beyond heterogeneity and process complexity: A new vision for watershed hydrology. Water Resour. Res. 2007, 43, W07301. [Google Scholar] [CrossRef]
- Ward, A.S.; Packman, A.I. Advancing our predictive understanding of river corridor exchange. WIREs Water 2018, 6, e1327. [Google Scholar] [CrossRef]
- Schmadel, N.M.; Harvey, J.W.; Schwarz, G.E.; Alexander, R.B.; Gomez-Velez, J.D.; Scott, D.; Ator, S.W. Small ponds in headwater catchments are a dominant influence on regional nutrient and sediment budgets. Geophys. Res. Lett. 2019, 46, 9669–9677. [Google Scholar] [CrossRef]
- Wagener, T.; Boyle, D.P.; Lees, M.J.; Wheater, H.S.; Gupta, H.V.; Sorooshian, S. A framework for development and application of hydrological models. Hydrol. Earth Syst. Sci. 2001, 5, 13–26. [Google Scholar] [CrossRef]
- Alexander, R.B.; Smith, R.A.; Schwarz, G.E. Effect of stream channel size on the delivery of nitrogen to the Gulf of Mexico. Nature 2000, 403, 758–761. Available online: https://water.usgs.gov/nawqa/sparrow/nature/nature.html (accessed on 16 June 2020). [CrossRef]
- Schmadel, N.M.; Harvey, J.W.; Alexander, R.B.; Schwarz, G.E.; Moore, R.B.; Eng, K.; Gomez-Velez, J.D.; Boyer, E.W.; Scott, D. Thresholds of lake and reservoir connectivity in river networks control nitrogen removal. Nat. Commun. 2018, 9, 2779. [Google Scholar] [CrossRef]
- Garcia, A.M.; Alexander, R.B.; Arnold, J.G.; Norfleet, L.; White, M.J.; Robertson, D.M.; Schwarz, G. Regional effects of agricultural conservation practices on nutrient transport in the Upper Mississippi River Basin. Environ. Sci. Technol. 2016, 50, 6991–7000. [Google Scholar] [CrossRef]
- Robertson, D.M.; Saad, D.A. Nutrient inputs to the Laurentian Great Lakes by source and watershed estimated using SPARROW watershed models. J. Am. Water Resour. Assoc. 2011, 47, 1011–1033. [Google Scholar] [CrossRef] [PubMed]
- Preston, S.D.; Alexander, R.B.; Wolock, D.M. Sparrow modeling to understand water-quality conditions in major regions of the United States: A featured collection introduction. J. Am. Water Resour. Assoc. 2011, 47, 887–890. Available online: http://onlinelibrary.wiley.com/doi/10.1111/j.1752-1688.2011.00585.x/abstract (accessed on 16 June 2020). [CrossRef]
- Alexander, R.B.; Elliott, S.; Shankar, U.; McBride, G.B. Estimating the sources of nutrients in the Waikato River Basin, New Zealand. Water Resour. Res. 2002, 38, 1268–1290. Available online: https://agupubs.onlinelibrary.wiley.com/doi/full/10.1029/2001WR000878 (accessed on 23 May 2020). [CrossRef]
- Elliott, A.H.; Alexander, R.B.; Schwarz, G.E.; Shankar, U.; Sukias, J.P.S.; McBride, G.B. Estimation of nutrient sources and transport for New Zealand using the hybrid physical-statistical model SPARROW. J. Hydrol. 2005, 44, 1–27. Available online: https://water.usgs.gov/nawqa/sparrow/intro/ElliottetalNZJHSPARROW.pdf (accessed on 3 August 2020).
- Duan, W.L.; He, B.; Takara, K.; Luo, P.P.; Nover, D.; Hu, M.C. Modeling suspended sediment sources and transport in the Ishikari River basin, Japan, using SPARROW. Hydrol. Earth Syst. Sci. 2015, 19, 1293–1306. [Google Scholar] [CrossRef]
- Robertson, D.M.; Saad, D.A.; Benoyl, G.A.; Vour, I.; Schwarz, G.E.; Laitta, M.T. Phosphorus and nitrogen transport in the binational great lakes basin estimated using SPARROW watershed models. J. Am. Water Resour. Assoc. 2019, 55, 1401–1424. [Google Scholar] [CrossRef]
- Benoy, G.A.; Jenkinson, R.W.; Robertson, D.M.; Saad, D.A. Nutrient delivery to Lake Winnipeg from the Red—Assiniboine River Basin—A binational application of the SPARROW model. Can. Water Resour. J. Rev. Can. Ressour. Hydr. 2016, 41, 429–447. [Google Scholar] [CrossRef]
- Harris, S.; Elliott, S.; McBride, G.; Shankar, U.; Quinn, J.; Wheeler, D.; Wedderburn, L.; Hewitt, A.; Gibb, R.; Parfitt, R.; et al. Integrated assessment of the environmental, economic and social impacts of land use change using a GIS format–The CLUES model. In Proceedings of the New Zealand Agricultural and Resource Economics Society Conference, Nelson, New Zealand, 27–28 August 2009. [Google Scholar] [CrossRef]
- International Joint Commission. International Watersheds Initiative (SPARROW). Available online: https://ijc.org/en/what/iwi/sparrow (accessed on 26 September 2020).
- Conley, D.J.; Paerl, H.W.; Howarth, R.W.; Boesch, D.F.; Seitzinger, S.P.; Havens, K.E.; Lancelot, C.; Likens, G.E. Controlling eutrophication: Nitrogen and phosphorus. Science 2009, 323, 1014–1015. [Google Scholar] [CrossRef] [PubMed]
- Elser, J.J.; Bracken, M.E.S.; Cleland, E.E.; Gruner, D.S.; Harpole, W.S.; Hillebrand, H.; Ngai, J.T.; Seabloom, E.W.; Shurin, J.B.; Smith, J.E. Global analysis of nitrogen and phosphorus limitation of primary producers in freshwater, marine and terrestrial ecosystems. Ecol. Lett. 2007, 10. [Google Scholar] [CrossRef]
- Vitousek, P.M.; Aber, J.D.; Howarth, R.W.; Likens, G.E.; Matson, P.A.; Schindler, D.W.; Schleisinger, W.H.; Tilman, D.G. Human alteration of the global nitrogen cycle: Sources and consequences. Ecol. Appl. 1997, 7, 737–750. [Google Scholar] [CrossRef]
- Galloway, J.N.; Aber, J.D.; Erisman, J.W.; Seitzinger, S.P.; Howarth, R.W.; Cowling, E.B.; Cosby, B.J. The nitrogen cascade. BioScience 2003, 53, 341–356. [Google Scholar] [CrossRef]
- Galloway, J.N.; Townsend, A.R.; Erisman, J.W.; Bekunda, M.; Cai, Z.; Frency, J.R.; Martinelli, L.A.; Seitzinger, S.P.; Sutton, M.A. Transformation of the nitrogen cycle: Recent trends, questions, and potential solution. Science 2008, 320, 889–892. [Google Scholar] [CrossRef]
- Alexander, R.B.; Gorman Sanisaca, L. RSPARROW: An R System for SPARROW Modeling (Software Release); U.S. Geological Survey: Reston, VA, USA, 2019. [CrossRef]
- Agência Nacional das Águas. Plano Integrado de Recursos Hídricos da Bacia Hidrográfica do Rio Grande—PIRH-Grande: Resumo Executive; ANA: Brasília, Brazil, 2018. Available online: http://biblioteca.ana.gov.br/index.asp?codigo_sophia=74232 (accessed on 8 September 2020)ISBN 9788582100547.
- Preston, S.D.; Alexander, R.B.; Woodside, M.D.; Hamilton, P.A. Sparrow Modeling--Enhancing Understanding of the Nation’s Water Quality; U.S. Geological Survey Fact Sheet 2009-3019; U.S. Geological Survey: Reston, VA, USA, 2011. Available online: https://pubs.usgs.gov/fs/2009/3019/ (accessed on 24 May 2020).
- Ator, S.W. Spatially referenced models of streamflow and nitrogen, phosphorus, and suspended-sediment loads in streams of the Northeastern United States. USGS Sci. Investig. Rep. 2019, 5118, 1–57. [Google Scholar] [CrossRef]
- Hoos, S.B.; Roland, V.L., II. Spatially referenced models of streamflow and nitrogen, phosphorus, and suspended-sediment loads in streams of the Southeastern United States. USGS Sci. Investig. Rep. 2019, 5135, 1–91. [Google Scholar] [CrossRef]
- Robertson, D.M.; Saad, D.A. Spatially reference models of streamflow and nitrogen, phosphorus, and suspended-sediment loads in streams of the Midwestern United States. USGS Sci. Investig. Rep. 2019, 5114, 1–74. [Google Scholar] [CrossRef]
- Wise, D.R. Spatially reference models of streamflow and nitrogen, phosphorus, and suspended-sediment loads in streams of the Pacific region of the United States. USGS Sci. Investig. Rep. 2019, 5112, 1–64. [Google Scholar] [CrossRef]
- Wise, D.R.; Anning, D.W.; Miller, O.L. Spatially reference models of streamflow and nitrogen, phosphorus, and suspended-sediment loads in streams of the southwestern United States. USGS Sci. Investig. Rep. 2019, 5106, 1–66. [Google Scholar] [CrossRef]
- Brasil—Brazilian Army—BDGEx. Banco de Dados Geográfico Do Exército Brasileiro. Rio de Janeiro. 2020. Available online: https://bdgex.eb.mil.br/mediador/ (accessed on 10 June 2020).
- NASA Jet Propulsion Laboratory—JPL. Shuttle Radar Topography Mission. 2020. Available online: https://www2.jpl.nasa.gov/srtm/ (accessed on 10 June 2020).
- PgHydro. PostgreSQL/PostGIS extension for Water Resources Decision Making. Brazil, Brasília. 2020. Available online: http://www.pghydro.org (accessed on 10 June 2020).
- Lorenz, D.; Runkel, R.; DeCicco, L. LOADEST: River Load Estimation; U.S. Geological Survey: Mounds View, MN, USA, 2015. Available online: https://github.com/USGS-R/rloadest (accessed on 4 April 2020).
- Runkel, R.L.; Crawford, C.G.; Cohn, T.A. Load estimation (LOADEST): A FORTRAN program for estimating constituent loads in streams and rivers. In Techniques and Methods; Book 4; U.S. Geological Survey: Reston, VA, USA, 2004; Chapter A5; pp. 1–75. [Google Scholar] [CrossRef]
- Cohn, T.A.; Caulder, D.L.; Gilroy, E.J.; Zynjuk, L.D.; Summers, R.M. The validity of a simple statistical model for estimating fluvial constituent loads: An empirical study involving nutrient loads entering Chesapeake Bay. Water Resour. Res. 1992, 28, 2353–2362. [Google Scholar] [CrossRef]
- Lee, C.J.; Hirsch, R.M.; Schwarz, G.E.; Holtschlag, D.J.; Preston, S.D.; Crawford, C.G.; Vecchia, A.V. An evaluation of methods for estimating decadal stream loads. J. Hydrol. 2016, 542, 185–203. [Google Scholar] [CrossRef]
- Appling, A.P.; Leaon, M.G.; McDowell, W.H. Reducing bias and quantifying uncertainty in watershed flux estimates: The R package loadflex. Ecosphere 2015, 6, 1–25. [Google Scholar] [CrossRef]
- Brasil—Instituto Brasileiro de Geografia e Estatística—IBGE (2010). Censo Demográfico 2010. Brazil, Rio de Janeiro. Available online: https://censo2010.ibge.gov.br/resultados.html (accessed on 2 June 2020).
- Fick, S.E.; Hijmans, R.J. WorldClim 2: New 1km spatial resolution climate surfaces for global land areas. Int. J. Clim. 2017, 37, 4302–4315. [Google Scholar] [CrossRef]
- Agência Nacional das Águas. Secretaria Nacional de Saneamento Ambiental. Atlas Esgotos: Despoluição de Bacias Hidrográficas; ANA: Brasília, Brazil, 2017. Available online: http://biblioteca.ana.gov.br/index.asp?codigo_sophia=72208 (accessed on 2 June 2020)ISBN 9788582100509.
- Jobson, H.E. Predicting travel time and dispersion in rivers and streams. J. Hydraul. Eng. 1997, 123, 971–978. [Google Scholar] [CrossRef]
- Miller, M.P. RSPARROW Modeling Tool Used to Estimate Total Nitrogen Sources to Streams and Evaluate Source Reduction Management Scenarios in the Rio Grande Basin, Brazil. 2020. Available online: https://code.usgs.gov/water/stats/rsparrow (accessed on 14 October 2020). [CrossRef]
- Cirmo, C.P.; McDonnel, J.J. Linking the hydrologic and biogeochemical controls of nitrogen transport in near-stream zones of temperate-forested catchments: A review. J. Hydrol. 1997, 199, 88–120. [Google Scholar] [CrossRef]
- Sobota, D.J.; Harrison, J.A.; Dahlgren, R.A. Influences of climate, hydrology, and land use input and export of nitrogen in California watersheds. Biogeochemistry 2009, 94, 43–62. [Google Scholar] [CrossRef]
- Bernal, S.; von Schiller, D.; Sabater, F.; Marti, E. Hydrological extremes modulate nutrient dynamics in mediterranean climate streams across different spatial scales. Hydrobiologia 2013, 719, 31–42. [Google Scholar] [CrossRef]
- Outram, F.N.; Cooper, R.J.; Sunnenberg, G.; Hiscock, K.M.; Lovett, A.A. Antecedent conditions, hydrological connectivity and anthropogenic inputs: Factors affecting nitrate and phosphorus transfers to agricultural headwater streams. Sci. Total. Environ. 2016, 545, 184–199. [Google Scholar] [CrossRef] [PubMed]
- Ator, S.W.; Brakebill, J.W.; Blomquist, J.D. Sources, fate, and transport of nitrogen and phosphorus in the Chesapeake Bay watershed: An empirical model. USGS Sci. Investig. Rep. 2011, 5167, 1–27. Available online: https://pubs.usgs.gov/sir/2011/5167/ (accessed on 3 September 2020).
- McMahon, G.; Alexander, R.B.; Qian, S. Support of TMDL programs using spatially referenced regression models. ASCE J. Water Resour. Plan. Manag. 2003, 129, 315–329. [Google Scholar] [CrossRef]
- Moore, R.B.; Johnston, C.M.; Robinson, K.W.; Deacon, J.R. Estimation of total nitrogen and phosphorus in New England streams using spatially referenced regression models. USGS Sci. Investig. Rep. 2004, 5012, 1–50. Available online: http://pubs.usgs.gov/sir/2004/5012 (accessed on 24 August 2020).
- Robertson, D.M.; Schwarz, G.E.; Saad, D.A.; Alexander, R.B. Incorporating uncertainty into the ranking of SPARROW model nutrient yields from Mississippi/Atchafalaya River Basin watersheds. J. Am. Water Resour. Assoc. 2009, 45, 534–549. [Google Scholar] [CrossRef]
- Booth, N.L.; Everman, E.J.; Kuo, I.L.; Sprague, L.; Murphy, L. A web-based decision support system for assessing regional water-quality conditions and management actions. J. Am. Water Resour. Assoc. 2011, 47, 1136–1150. [Google Scholar] [CrossRef]





| Variable | Dataset Used | Parameter Tested |
|---|---|---|
| Land cover | Integrate Water Resources Plan of the Grande River Basin [35] | Percent of catchment area composed of urban areas |
| Percent of catchment area composed of sugarcane crops | ||
| Percent of catchment area composed of soybeans/corn crops | ||
| Percent of catchment area composed of forestry | ||
| Percent of catchment area composed of pasture | ||
| Percent of catchment area composed of orange crops | ||
| Percent of catchment area composed of coffee | ||
| Percent of catchment area composed of other crops | ||
| Percent of catchment area composed of central pivots | ||
| Percent of catchment area composed of open waters | ||
| Percent of catchment area composed of Cerrado (tropical savanna) | ||
| Percent of catchment area composed of Atlantic Forest | ||
| Population | Census sector [50] | inhabitants of the basin area |
| Temperature | WorldClim2 [51] | Mean annual temperature (mm/year) |
| Precipitation | WorldClim2 [51] | Mean total annual precipitation (°C) |
| Point sources | Estimated with basis on the Sewage Atlas [52] | TN load (tons/year) |
| Model Parameters | Coefficient Units a | Coefficient | Standard Error | p-Value | VIF |
|---|---|---|---|---|---|
| Pasture | ton/km2 | 0.54 | 0.20 | <0.01 | 1.75 |
| Urban | ton/km2 | 10.5 | 2.92 | <0.01 | 1.70 |
| Sugar Cane | ton/km2 | 0.58 | 0.27 | 0.04 | 1.95 |
| Wastewater Treatment Plants | D | 1.15 | 0.41 | <0.01 | 1.88 |
| In-Stream Loss | d−1 | 0.08 | 0.05 | 0.13 | 3.34 |
| Conditioned Model Fit (N = 41; RMSE = 0.43; Yield R2 = 0.68; Percent Bias = −3.94) | |||||
| Un-Conditioned Model Fit (N = 41; RMSE = 0.48; Yield R2 = 0.60; Percent Bias = −6.80) | |||||
| Source | Area of Watershed (km2) a | Mass Delivered to Outlet (Tons) | Share of Total Load (%) |
|---|---|---|---|
| Combined Pardo-Sapucaí Basins | |||
| Pasture | 901 (2.1) | 2237 | 11 |
| Urban | 9735 (23) | 5549 | 28 |
| Sugar Cane | 15,432 (36) | 6398 | 32 |
| Wastewater Treatment | NA | 5966 | 30 |
| Pardo River sub-basin | |||
| Pasture | 1750 ± 1366 | 9.5 ± 6.8 | |
| Urban | 4000 ± 2950 | 21.6 ± 14.9 | |
| Sugar Cane | 5350 ± 3499 | 27.9 ± 18.7 | |
| Wastewater Treatment | 5130 ± 3379 | 27.2 ± 17.3 | |
| Sapucaí River sub-basin | |||
| Pasture | 205 ± 139 | 5.8 ± 4.1 | |
| Urban | 675 ± 488 | 19.3 ± 14.1 | |
| Sugar Cane | 1136 ± 740 | 32.1 ± 21.3 | |
| Wastewater Treatment | 1008 ± 675 | 29.0 ± 18.7 | |
Publisher’s Note: MDPI stays neutral with regard to jurisdictional claims in published maps and institutional affiliations. |
© 2020 by the authors. Licensee MDPI, Basel, Switzerland. This article is an open access article distributed under the terms and conditions of the Creative Commons Attribution (CC BY) license (http://creativecommons.org/licenses/by/4.0/).
Share and Cite
Miller, M.P.; de Souza, M.L.; Alexander, R.B.; Sanisaca, L.G.; Teixeira, A.d.A.; Appling, A.P. Application of the RSPARROW Modeling Tool to Estimate Total Nitrogen Sources to Streams and Evaluate Source Reduction Management Scenarios in the Grande River Basin, Brazil. Water 2020, 12, 2911. https://doi.org/10.3390/w12102911
Miller MP, de Souza ML, Alexander RB, Sanisaca LG, Teixeira AdA, Appling AP. Application of the RSPARROW Modeling Tool to Estimate Total Nitrogen Sources to Streams and Evaluate Source Reduction Management Scenarios in the Grande River Basin, Brazil. Water. 2020; 12(10):2911. https://doi.org/10.3390/w12102911
Chicago/Turabian StyleMiller, Matthew P., Marcelo L. de Souza, Richard B. Alexander, Lillian G. Sanisaca, Alexandre de Amorim Teixeira, and Alison P. Appling. 2020. "Application of the RSPARROW Modeling Tool to Estimate Total Nitrogen Sources to Streams and Evaluate Source Reduction Management Scenarios in the Grande River Basin, Brazil" Water 12, no. 10: 2911. https://doi.org/10.3390/w12102911
APA StyleMiller, M. P., de Souza, M. L., Alexander, R. B., Sanisaca, L. G., Teixeira, A. d. A., & Appling, A. P. (2020). Application of the RSPARROW Modeling Tool to Estimate Total Nitrogen Sources to Streams and Evaluate Source Reduction Management Scenarios in the Grande River Basin, Brazil. Water, 12(10), 2911. https://doi.org/10.3390/w12102911

