Geomechanical Constraints on Hydro-Seismicity: Tidal Forcing and Reservoir Operation
Abstract
1. Introduction
2. Mathematical Model
2.1. Flow Equation: Single-Phase Darcy Flux
2.2. Simplified Linear Formulation of Poroelasticity
3. Model Setup
3.1. Model Implementation
3.2. Tidal Oscillation Model Set-Up
3.3. Reservoir Oscillation Model Set-Up
4. Results and Discussion
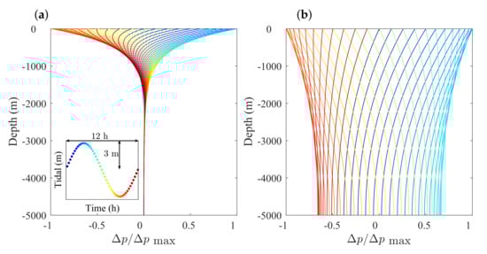
4.1. Tidal Oscillation
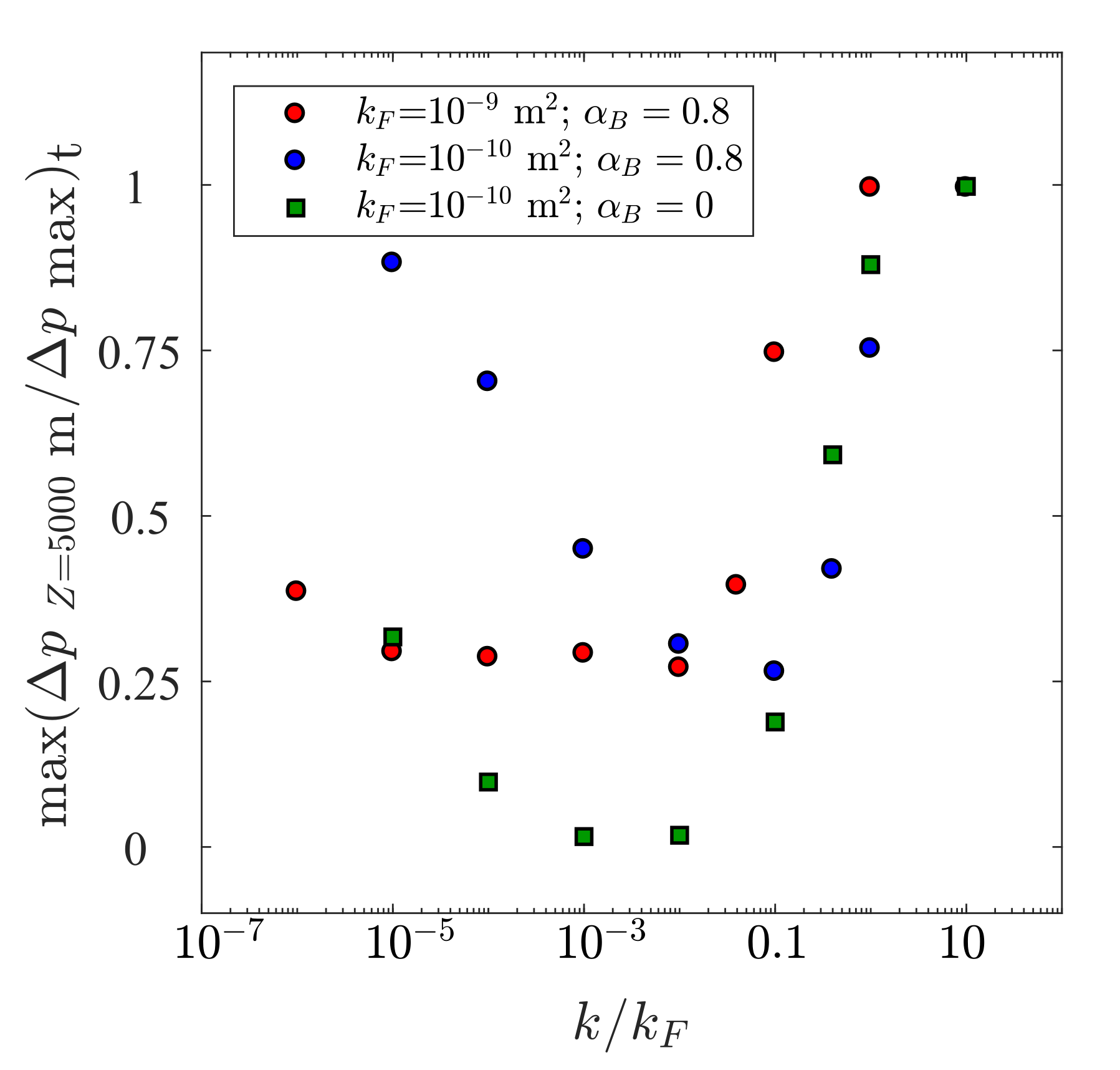
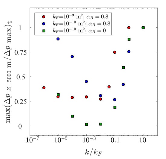
4.1.1. The Effect of the Fault Permeability
4.1.2. The Poroelastic Coupling
4.1.3. The Role of the Host Rock Permeability
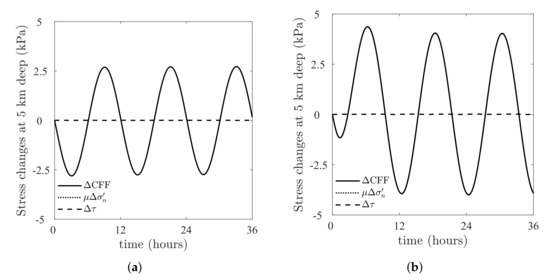
4.2. Reservoir Oscillation
5. Conclusions
Author Contributions
Funding
Conflicts of Interest
References
- Foulger, G.R.; Wilson, M.P.; Gluyas, J.G.; Julian, B.R.; Davies, R.J. Global review of human-induced earthquakes. Earth Sci. Rev. 2018, 178, 438–514. [Google Scholar] [CrossRef]
- National Research Council. Induced Seismicity Potential in Energy Technologies; The National Academies Press: Washington, DC, USA, 2013. [Google Scholar]
- Ellsworth, W.L. Injection-Induced Earthquakes. Science 2013, 341, 1225942. [Google Scholar] [CrossRef] [PubMed]
- Hubbert, M.K.; Rubey, W.W. Role of fluid pressure in mechanics of overthrust faulting I. Mechanics of fluid-filled porous solids and its application to overthrust faulting. Geol. Soc. Am. Bull. 1959, 70, 115–166. [Google Scholar]
- Raleigh, C.; Healy, J.; Bredehoeft, J. An experiment in earthquake control at Rangely, Colorado. Science 1976, 191, 1230–1237. [Google Scholar] [CrossRef] [PubMed]
- Sibson, R.H. A note on fault reactivation. J. Struct. Geol. 1985, 7, 751–754. [Google Scholar] [CrossRef]
- Simpson, D.; Leith, W.; Scholz, C. Two types of reservoir-induced seismicity. Bull. Seismol. Soc. Am. 1988, 78, 2025–2040. [Google Scholar]
- Horton, S. Disposal of hydrofracking waste fluid by injection into subsurface aquifers triggers earthquake swarm in central Arkansas with potential for damaging earthquake. Seismol. Res. Lett. 2012, 83, 250–260. [Google Scholar] [CrossRef]
- Keranen, K.M.; Savage, H.M.; Abers, G.A.; Cochran, E.S. Potentially induced earthquakes in Oklahoma, USA: Links between wastewater injection and the 2011 Mw 5.7 earthquake sequence. Geology 2013, 41, 699–702. [Google Scholar] [CrossRef]
- Keranen, K.M.; Weingarten, M.; Abers, G.A.; Bekins, B.A.; Ge, S. Sharp increase in central Oklahoma seismicity since 2008 induced by massive wastewater injection. Science 2014, 345, 448–451. [Google Scholar] [CrossRef]
- Weingarten, M.; Ge, S.; Godt, J.W.; Bekins, B.A.; Rubinstein, J.L. High-rate injection is associated with the increase in US mid-continent seismicity. Science 2015, 348, 1336–1340. [Google Scholar] [CrossRef]
- Shirzaei, M.; Ellsworth, W.L.; Tiampo, K.F.; González, P.J.; Manga, M. Surface uplift and time-dependent seismic hazard due to fluid injection in eastern Texas. Science 2016, 353, 1416–1419. [Google Scholar] [CrossRef] [PubMed]
- Majer, E.L.; Baria, R.; Stark, M.; Oates, S.; Bommer, J.; Smith, B.; Asanuma, H. Induced seismicity associated with enhanced geothermal systems. Geothermics 2007, 36, 185–222. [Google Scholar] [CrossRef]
- Brodsky, E.; Lajoie, L. Anthropogenic Seismicity Rates and Operational Parameters at the Salton Sea Geothermal Field. Science 2013, 341, 543–546. [Google Scholar] [CrossRef] [PubMed]
- Andrés, S.; Santillán, D.; Mosquera, J.C.; Cueto-Felgueroso, L. Thermo-Poroelastic Analysis of Induced Seismicity at the Basel Enhanced Geothermal System. Sustainability 2019, 11, 6904. [Google Scholar]
- Zoback, M.D.; Gorelick, S.M. Earthquake triggering and large-scale geologic storage of carbon dioxide. Proc. Natl. Acad. Sci. USA 2012, 109, 10164–10168. [Google Scholar] [CrossRef]
- Juanes, R.; Hager, B.H.; Herzog, H.J. No geologic evidence that seismicity causes fault leakage that would render large-scale carbon capture and storage unsuccessful. Proc. Natl. Acad. Sci. USA 2012, 109, E3623. [Google Scholar] [CrossRef]
- Vilarrasa, V.; Carrera, J. Geologic carbon storage is unlikely to trigger large earthquakes and reactivate faults through which CO2 could leak. Proc. Natl. Acad. Sci. USA 2015, 112, 5938–5943. [Google Scholar] [CrossRef]
- White, J.A.; Foxall, W. Assessing induced seismicity risk at CO2 storage projects: Recent progress and remaining challenges. Int. J. Greenhouse Gas Control 2016, 49, 413–424. [Google Scholar] [CrossRef]
- Clarke, H.; Eisner, L.; Styles, P.; Turner, P. Felt seismicity associated with shale gas hydraulic fracturing: The first documented example in Europe. Geophys. Res. Lett. 2014, 41, 8308–8314. [Google Scholar] [CrossRef]
- Bao, X.; Eaton, D. Fault activation by hydraulic fracturing in western Canada. Science 2016, 354, 1406–1409. [Google Scholar] [CrossRef]
- Deng, K.; Liu, Y.; Harrington, R.M. Poroelastic stress triggering of the December 2013 Crooked Lake, Alberta, induced seismicity sequence. Geophys. Res. Lett. 2016, 43, 8482–8491. [Google Scholar] [CrossRef]
- Kodaira, S.; Iidaka, T.; Kato, A.; Park, J.O.; Iwasaki, T.; Kaneda, Y. High pore fluid pressure may cause silent slip in the Nankai Trough. Science 2004, 304, 1295–1298. [Google Scholar] [CrossRef] [PubMed]
- Becken, M.; Ritter, O.; Bedrosian, P.A.; Weckmann, U. Correlation between deep fluids, tremor and creep along the central San Andreas fault. Nature 2011, 480, 87. [Google Scholar] [CrossRef] [PubMed]
- Nur, A.; Booker, J. Aftershocks Caused by Pore Fluid flow? Science 1972, 175, 885–887. [Google Scholar] [CrossRef]
- Miller, S.A.; Collettini, C.; Chiaraluce, L.; Cocco, M.; Barchi, M.; Kaus, B.J. Aftershocks driven by a high-pressure CO2 source at depth. Nature 2004, 427, 724. [Google Scholar] [CrossRef] [PubMed]
- Healy, J.; Rubey, W.; Griggs, D.; Raleigh, C. The Denver earthquakes. Science 1968, 161, 1301–1310. [Google Scholar] [CrossRef] [PubMed]
- Cueto-Felgueroso, L.; Santillán, D.; Mosquera, J.C. Stick-slip dynamics of flow-induced seismicity on rate and state faults. Geophys. Res. Lett. 2017, 44, 4098–4106. [Google Scholar] [CrossRef]
- Cueto-Felgueroso, L.; Vila, C.; Santillan, D.; Mosquera, J.C. Numerical modeling of injection–induced earthquakes using laboratory–derived friction laws. Water Resour. Res. 2018, 54, 1–27. [Google Scholar] [CrossRef]
- Andrés, S.; Santillán, D.; Mosquera, J.C.; Cueto-Felgueroso, L. Delayed weakening and reactivation of rate-and-state faults driven by pressure changes due to fluid injection. J. Geophys. Res. Solid Earth 2019, 124, 11917–11937. [Google Scholar] [CrossRef]
- Scholz, C.H. Earthquakes and friction laws. Nature 1998, 391, 37–42. [Google Scholar] [CrossRef]
- Pampillón, P.; Santillán, D.; Mosquera, J.C.; Cueto-Felgueroso, L. Dynamic and Quasi–Dynamic Modeling of Injection–Induced Earthquakes in Poroelastic Media. J. Geophys. Res. Solid Earth 2018, 123, 5730–5759. [Google Scholar] [CrossRef]
- Hainzl, S.; Kraft, T.; Wassermann, J.; Igel, H.; Schmedes, E. Evidence for rainfall-triggered earthquake activity. Geophys. Res. Lett. 2006, 33. [Google Scholar] [CrossRef]
- Hainzl, S.; Aggarwal, S.; Khan, P.; Rastogi, B. Monsoon-induced earthquake activity in Talala, Gujarat, India. Geophys. J. Int. 2015, 200, 627–637. [Google Scholar] [CrossRef]
- Saar, M.O.; Manga, M. Seismicity induced by seasonal groundwater recharge at Mt. Hood, Oregon. Earth Planet. Sci. Lett. 2003, 214, 605–618. [Google Scholar] [CrossRef]
- D’Agostino, N.; Silverii, F.; Amoroso, O.; Convertito, V.; Fiorillo, F.; Ventafridda, G.; Zollo, A. Crustal Deformation and Seismicity Modulated by Groundwater Recharge of Karst Aquifers. Geophys. Res. Lett. 2018, 45, 12253–12262. [Google Scholar] [CrossRef]
- Bollinger, L.; Nicolas, M.; Marin, S. Hydrological triggering of the seismicity around a salt diapir in Castellane, France. Earth Planet. Sci. Lett. 2010, 290, 20–29. [Google Scholar] [CrossRef]
- Bella, F.; Biagi, P.; Caputo, M.; Cozzi, E.; Monica, G.; Ermini, A.; Plastino, W.; Sgrigna, V. Aquifer-induced Seismicity in the Central Apennines (Italy). Pure Appl. Geophys. 1998, 153, 179–194. [Google Scholar] [CrossRef]
- Heinicke, J.; Woith, H.; Alexandrakis, C.; Buske, S.; Telesca, L. Can hydroseismicity explain recurring earthquake swarms in NW-Bohemia? Geophys. J. Int. 2018, 212, 211–228. [Google Scholar] [CrossRef]
- Talwani, P. On the nature of reservoir-induced seismicity. Pure Appl. Geophys. 1997, 150, 473–492. [Google Scholar] [CrossRef]
- Klose, C. Mechanical and statistical evidence of the causality of human-made mass shifts on the Earth’s upper crust and the occurrence of earthquakes. J. Seismol. 2013, 17, 109–135. [Google Scholar] [CrossRef]
- Gupta, H. A review of recent studies of triggered earthquakes by artificial water reservoirs with special emphasis on earthquakes in Koyna, India. Earth Sci. Rev. 2002, 58, 279–310. [Google Scholar] [CrossRef]
- Nascimento, A.; Lunn, R.; Cowie, P. Numerical modelling of pore-pressure diffusion in a reservoir-induced seismicity site in northeast Brazil. Geophys. J. Int. 2005, 160, 249–262. [Google Scholar] [CrossRef]
- Delorey, A.A.; van der Elst, N.J.; Johnson, P.A. Tidal triggering of earthquakes suggests poroelastic behavior on the San Andreas Fault. Earth Planet. Sci. Lett. 2017, 460, 164–170. [Google Scholar] [CrossRef]
- Thomas, A.; Burgmann, R.; Shelly, D.; Beeler, N.; Rudolph, M. Tidal triggering of low frequency earthquakes near Parkfield, California: Implications for fault mechanics within the brittle-ductile transition. J. Geophys. Res. Solid Earth 2012, 117, B05301. [Google Scholar] [CrossRef]
- Thomas, A.; Nadeau, R.; Burgmann, R. Tremor-tide correlations and near-lithostatic pore pressure on the deep San Andreas fault. Nature 2009, 462, 1048–1051. [Google Scholar] [CrossRef]
- Hainzl, S.; Ben-Zion, Y.; Cattania, C.; Wassermann, J. Testing atmospheric and tidal earthquake triggering at Mt. Hochstaufen, Germany. J. Geophys. Res. Solid Earth 2013, 118, 5442–5452. [Google Scholar] [CrossRef]
- El-Hariri, M.; Abercrombie, R.; Rowe, C.; do Nascimento, A. The role of fluids in triggering earthquakes: observations from reservoir induced seismicity in Brazil. Geophys. J. Int. 2010, 181, 1566–1574. [Google Scholar] [CrossRef]
- Bell, M.; Nur, A. Strength changes due to reservoir-induced pore pressure and stresses and application to Lake Oroville. J. Geophys. Res. Solid Earth 1978, 83, 4469–4483. [Google Scholar] [CrossRef]
- Simpson, D. Triggered Earthquakes. Annu. Rev. Earth Planet. Sci. 1986, 14, 21–42. [Google Scholar] [CrossRef]
- Roeloffs, E. Fault stability changes induced beneath a reservoir with cyclic variations in water level. J. Geophys. Res. Solid Earth 1988, 93, 2107–2124. [Google Scholar] [CrossRef]
- Zoback, M.; Hickman, S. In situ study of the physical mechanisms controlling induced seismicity at Monticello Reservoir, South Carolina. J. Geophys. Res. Solid Earth 1982, 87, 6959–6974. [Google Scholar] [CrossRef]
- Fletcher, J. A comparison between the tectonic stress measured in situ and stress parameters from induced seismicity at Monticello Reservoir, South Carolina. J. Geophys. Res. Solid Earth 1982, 87, 6931–6944. [Google Scholar] [CrossRef]
- Matcharashvili, T.; Chelidze, T.; Peinke, J. Increase of order in seismic processes around large reservoir induced by water level periodic variation. Nonlinear Dyn. 2008, 51, 399–407. [Google Scholar] [CrossRef]
- Peinke, J.; Matcharashvili, T.; Chelidze, T.; Gogiashvili, J.; Nawroth, A.; Lursmanashvili, O.; Javakhishvili, Z. Influence of periodic variations in water level on regional seismic activity around a large reservoir: Field data and laboratory model. Phys. Earth Planet. Inter. 2006, 156, 130–142. [Google Scholar] [CrossRef]
- Gupta, H.K. 50 years of 10 December 1967 M 6.3 Koyna earthquake. J. Geol. Soc. India 2017, 90, 641–644. [Google Scholar] [CrossRef]
- Narain, H.; Gupta, H. Koyna earthquake. Nature 1968, 217, 1138–1139. [Google Scholar] [CrossRef]
- Santillan, D.; Mosquera, J.; Cueto-Felgueroso, L. Phase-field model for brittle fracture. Validation with experimental results and extension to dam engineering problems. Eng. Fract. Mech. 2017, 178, 109–125. [Google Scholar] [CrossRef]
- Ge, S.; Liu, M.; Lu, N.; Godt, J.; Luo, G. Did the Zipingpu Reservoir trigger the 2008 Wenchuan earthquake? Geophys. Res. Lett. 2009, 36, L20315. [Google Scholar] [CrossRef]
- Deng, K.; Zhou, S.; Wang, R.; Robinson, R.; Zhao, C.; Cheng, W. Evidence that the 2008 Mw 7.9 Wenchuan Earthquake Could Not Have Been Induced by the Zipingpu Reservoir. Bull. Seismol. Soc. Am. 2010, 100, 2805–2814. [Google Scholar] [CrossRef]
- Segall, P. Earthquakes triggered by fluid extraction. Geology 1989, 17, 942–946. [Google Scholar] [CrossRef]
- González, P.J.; Tiampo, K.F.; Palano, M.; Cannavó, F.; Fernández, J. The 2011 Lorca earthquake slip distribution controlled by groundwater crustal unloading. Nat. Geosci. 2012, 5, 821. [Google Scholar] [CrossRef]
- Avouac, J. Human-induced shaking. Nat. Geosci. 2012, 5, 763–764. [Google Scholar] [CrossRef]
- López-Comino, J.A.; Mancilla, F.; Morales, J.; Stich, D. Rupture directivity of the 2011, Mw 5.2 Lorca earthquake (Spain). Geophys. Res. Lett. 2012, 39, L03301. [Google Scholar] [CrossRef]
- Kundu, B.; Vissa, N.; Gahalaut, V. Influence of anthropogenic groundwater unloading in Indo-Gangetic plains on the 25 April 2015 Mw 7.8 Gorkha, Nepal earthquake. Geophys. Res. Lett. 2015, 42, 10607–10613. [Google Scholar] [CrossRef]
- Amos, C.; Audet, P.; Hammond, W.; Bürgmann, R.; Johanson, I.; Blewitt, G. Uplift and seismicity driven by groundwater depletion in central California. Nature 2014, 509, 483. [Google Scholar] [CrossRef] [PubMed]
- Biot, M.A. General theory of three-dimensional consolidation. J. Appl. Phys. 1941, 12, 155–164. [Google Scholar] [CrossRef]
- Cheng, A.H. Poroelasticity; Springer International Publishing: Cham, Switzerland, 2016. [Google Scholar]
- Wang, H.F. Theory of Linear Poroelasticity with Applications to Geomechanics and Hydrogeology; Princeton University Press: Princeton, NJ, USA, 2000. [Google Scholar]
- Rice, J.R.; Cleary, M.P. Some Basic Stress Diffusion Solutions for Fluid-Saturated Elastic Porous Media With Compressible Constituents. Rev. Geophys. Space Phys. 1976, 14, 227–241. [Google Scholar] [CrossRef]
- Segall, P. Earthquake and Volcano Deformation; Princeton University Press: Princeton, NJ, USA, 2010. [Google Scholar]
- Merxhani, A. An introduction to linear poroelasticity. arXiv 2016, arXiv:physics.geo-ph/1607.04274. [Google Scholar]
- Coussy, O. Poromechanics; Wiley: New York, NY, USA, 2004. [Google Scholar]
- Verruijt, A. Theory and Problems of Poroelasticity; Delft University of Technology: Delft, The Netherlands, 2016. [Google Scholar]
- Ghanimi, M.A.; Leroy, Y.; Kamp, A. Stress-sensitive permeability: Application to fault integrity during gas production. Transp. Porous Media 2017, 118, 345–371. [Google Scholar] [CrossRef]
- Talwani, P.; Chen, L.; Gahalaut, K. Seismogenic permeability, ks. J. Geophys. Res. Solid Earth 2007, 112. [Google Scholar] [CrossRef]














| Parameter | Value | Unit | Description |
|---|---|---|---|
| L | 5 | km | Domain side |
| W | 10 | m | Fault width |
| A | 3 | m | Tidal amplitude |
| T | 12 | h | Tidal period |
| 1000 | kg/m | Density of the fluid | |
| 0.001 | Pa·s | Dynamic viscosity of the fluid | |
| 4·10 | Pa | Compressibility of the fluid | |
| k | 10 | m | Intrinsic rock permeability |
| 10–5·10 | m | Intrinsic fault permeability | |
| 0.1 | – | Porosity |
| Parameter | Value | Unit | Description |
|---|---|---|---|
| L | 5 | km | Domain side |
| W | 10 | m | Fault width |
| A | 3 | m | Tidal amplitude |
| T | 12 | h | Tidal period |
| 0.25 | – | Poisson ratio of the rock | |
| 2500 | kg/m | Dry density of the solid grains of rock | |
| 2350 | kg/m | Bulk density of the saturated rock | |
| 1000 | kg/m | Density of the fluid | |
| 0.001 | Pa·s | Dynamic viscosity of the fluid | |
| 4·10 | Pa | Compressibility of the fluid | |
| 0.1 | – | Porosity |
| Parameter | Value | Unit | Description |
|---|---|---|---|
| L | 20 | km | Domain side |
| W | 100 | m | Fault width |
| E | 40 | GPa | Young modulus of the rock |
| 10 | GPa | Young modulus of the fault | |
| 0.25 | – | Poisson ratio of the rock | |
| 2500 | kg/m | Dry density of the solid grains of rock | |
| 2350 | kg/m | Bulk density of the saturated rock | |
| 1000 | kg/m | Density of the fluid | |
| 0.001 | Pa·s | Dynamic viscosity of the fluid | |
| 4·10 | Pa | Compressibility of the fluid | |
| k | 10 | m | Intrinsic rock permeability |
| 10, 10, 10 | m | Intrinsic fault permeability | |
| 0.1 | – | Porosity | |
| 0.95 | – | Biot coefficient |
© 2020 by the authors. Licensee MDPI, Basel, Switzerland. This article is an open access article distributed under the terms and conditions of the Creative Commons Attribution (CC BY) license (http://creativecommons.org/licenses/by/4.0/).
Share and Cite
Pampillón, P.; Santillán, D.; Mosquera, J.C.; Cueto-Felgueroso, L. Geomechanical Constraints on Hydro-Seismicity: Tidal Forcing and Reservoir Operation. Water 2020, 12, 2724. https://doi.org/10.3390/w12102724
Pampillón P, Santillán D, Mosquera JC, Cueto-Felgueroso L. Geomechanical Constraints on Hydro-Seismicity: Tidal Forcing and Reservoir Operation. Water. 2020; 12(10):2724. https://doi.org/10.3390/w12102724
Chicago/Turabian StylePampillón, Pedro, David Santillán, Juan Carlos Mosquera, and Luis Cueto-Felgueroso. 2020. "Geomechanical Constraints on Hydro-Seismicity: Tidal Forcing and Reservoir Operation" Water 12, no. 10: 2724. https://doi.org/10.3390/w12102724
APA StylePampillón, P., Santillán, D., Mosquera, J. C., & Cueto-Felgueroso, L. (2020). Geomechanical Constraints on Hydro-Seismicity: Tidal Forcing and Reservoir Operation. Water, 12(10), 2724. https://doi.org/10.3390/w12102724

