Exploring Proper Spacing Threshold of Non-Submerged Spur Dikes with Ipsilateral Layout
Abstract
1. Introduction
2. Materials and Methods
2.1. Analyzing Models
2.2. Dimensional Analysis
2.3. Verification and Simulation Conditions
3. Results and Discussions
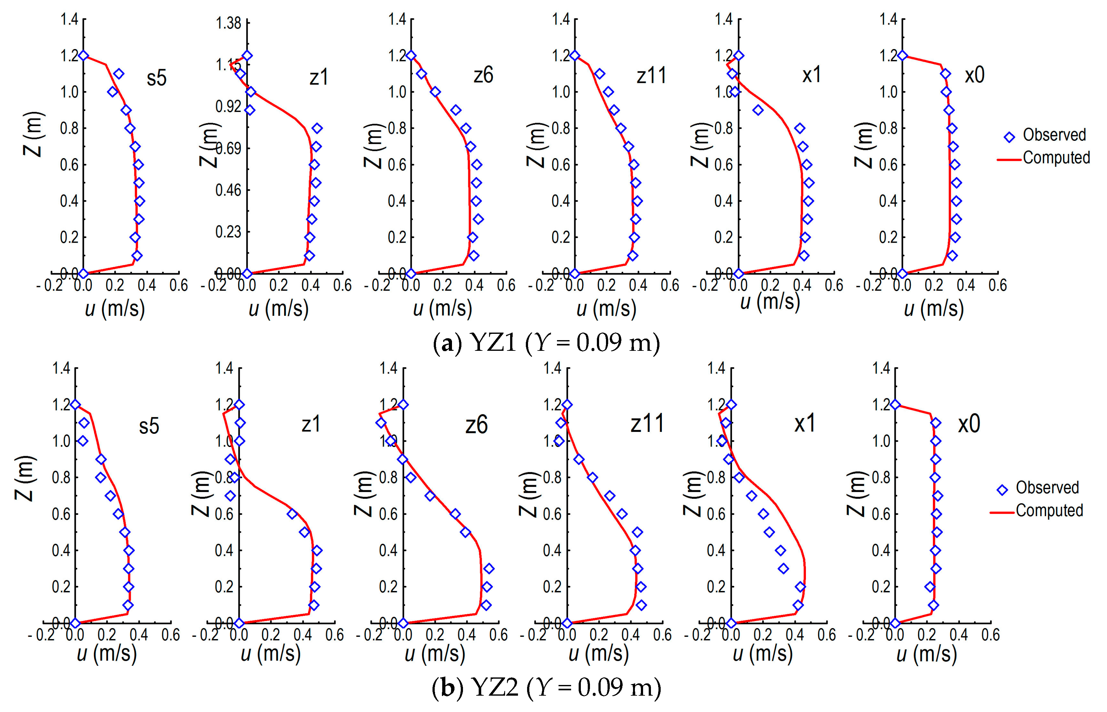
3.1. Verification of Numerical Model
3.2. Identification of Spacing Threshold
3.3. Relations of Sc/b – Fr, B/b and B/h
3.4. Empirical Formula of Spacing Threshold
4. Conclusions
- (a)
- The similarity of the average velocity along the water depth nearby the tips of twin spur dikes was determined by the spacing threshold, i.e., the minimum spacing where the of twin spur dikes were approximately coincident. This criterion is also suitable for the case of non-submerged twin spur dikes with equal skew angle and ipsilateral layout in straight prism channel.
- (b)
- For straight rectangular channel, the influencing factors of the relative spacing threshold Sc/b of non-submerged twin spur dikes with ipsilateral and orthogonal layout include Fr, B/b and B/h. Among these three factors, Fr presented the least impact on the scale of Sc/b.
- (c)
- Under fixed Fr and B/h, Sc/b increased first and then decreased slightly as B/b increased. The relation of Sc/b–B/b was approximately described by the convex quadratic function. Similarly, with fixed Fr and B/b, Sc/b slightly increased first and then decreased sharply as B/h increased. The pattern of Sc/b–B/h could be approximated by the convex quadratic function too.
- (d)
- A generalized, normalized empirical formula of spacing threshold was obtained in this study, which presented applicable only to non-submerged twin spur dikes with ipsilateral and orthogonal layout in straight rectangular channel due to generalization and simplification of the flow for non-submerged twin spur dikes employed. The formula presented good, reliable accuracy with wider recovery range concurrently, i.e., Sc = 24b–130b.
Author Contributions
Funding
Acknowledgments
Conflicts of Interest
Nomenclature
| Fr | Froude number |
| B/b | relative dike length |
| B/h | section width-depth ratio |
| Sc/b | relative spacing threshold |
| U | mean velocity of approaching flow |
| k | turbulent kinetic energy |
| ε | turbulent dissipation rate |
| s | dike spacing |
| RL | length of backflow zone |
| RW | width of backflow zone |
| X-axis | direction along the main flow |
| Y-axis | direction along the water depth |
| Z-axis | direction parallel to the spur dike length |
| V | magnitude velocity |
| Sc | spacing threshold |
| b | dike length |
| B | channel width |
| Q | flow rate of approaching flow |
| h | water depth |
| ρ | density of water |
| g | acceleration of gravity |
| RE | relative error |
| u | velocity component in X direction |
| v | velocity component in X direction |
| w | velocity component in X direction |
| average of V along water depth | |
| nearby the tip of spur dike | |
| relevant difference changes of between twin spur dikes |
References
- Pinter, N.; Jemberie, A.; Remo, J.; Heine, R.; Ickes, B. Cumulative impacts of river engineering, Mississippi and lower Missouri Rivers. River Res. Appl. 2010, 26, 546–571. [Google Scholar] [CrossRef]
- Cao, X.; Gu, Z. Three classification criteria and their comparison impact scale between double non-submerged spur dikes. J. Zhejiang Univ. Eng. Sci. 2015, 49, 200–207. [Google Scholar] [CrossRef]
- James, R. Defining and measuring river health. Freshw. Biol. 1999, 41, 221–234. [Google Scholar] [CrossRef]
- He, Y.; Li, Y.; Wu, D.; Deng, J. Flow and sediment process versus river health. J. Hydraul. Eng. 2006, 37, 1354–1359. [Google Scholar] [CrossRef]
- Richard, H.; Martin, C. What is river health? Freshw. Biol. 1999, 41, 197–209. [Google Scholar] [CrossRef]
- Wohl, E. Identifying and mitigating dam-induced declines in river health: Three case studies from the western United States. Int. J. Sediment Res. 2012, 27, 271–287. [Google Scholar] [CrossRef]
- Ohmoto, T.; Hirakawa, R.; Koreeda, N. Effects of water surface oscillation on turbulent flow in an open channel with a series of spur dikes. Hydraul. Meas. Exp. Methods 2002, 2002, 1–10. [Google Scholar] [CrossRef]
- Ying, Q.; Jiao, Z. Hydraulics of Spur Dike; Ocean Press: Beijing, China, 2004. [Google Scholar]
- Kuhnle, R.; Jia, Y.; Alonso, C. Measured and simulated flow near a submerged spur dike. J. Hydraul. Eng. 2008, 134, 916–924. [Google Scholar] [CrossRef]
- Duan, J.; He, L.; Fu, X.; Wang, Q. Mean flow and turbulence around experimental spur dike. Adv. Water Resour. 2009, 32, 1717–1725. [Google Scholar] [CrossRef]
- Acharya, A.; Duan, J. Three dimensional simulation of flow field around series of spur dikes. In Proceedings of the World Environmental and Water Resources Congress 2011: Bearing Knowledge for Sustainability, Palm Springs, CA, USA, 22–26 May 2011; pp. 2085–2094. [Google Scholar] [CrossRef]
- Zhang, X.; Wang, P.; Yang, C. Experimental study on flow turbulence distribution around a spur dike with different structure. Procedia Eng. 2012, 28, 772–775. [Google Scholar] [CrossRef][Green Version]
- Zhang, H.; Nakagawa, H. Scour around spur dyke: Recent advances and future researches. Disaster Prev. Res. Inst. Ann. 2008, 51, 633–652. [Google Scholar]
- Acharya, A.; Acharya, A.; Duan, J. Three dimensional simulation of flow field around series of spur dikes. Int. Refereed J. Eng. Sci. 2013, 2, 36–57. [Google Scholar]
- Tang, X.; Ding, X.; Chen, Z. Large eddy simulations of three-dimensional flows around a spur dike. Tsinghua Sci. Technol. 2006, 11, 117–123. [Google Scholar] [CrossRef]
- Azinfar, H. Flow Resistance and Associated Backwater Effect Due to Spur Dikes in Open Channels. Ph.D. Thesis, University of Saskatchewan, Saskatoon, SK, Canada, 2010. Available online: http://ecommons.usask.ca/bitstream/handle/10388/etd-03012010-130940/HosseinAzinfarPHDThesis.pdf (accessed on 25 July 2015).
- Cao, X.; Gu, Z.; Tang, H. Study on spacing threshold of nonsubmerged spur dikes with alternate layout. J. Appl. Math. 2013, 1–8. [Google Scholar] [CrossRef]
- Mayerle, R.; Wang, S.; Toro, F. Verification of a three-dimensional numerical model simulation of the flow in the vicinity of spur dikes. J. Hydraul. Res. 1995, 33, 243–256. [Google Scholar] [CrossRef]
- Cui, Z.; Zhang, X. Flow simulation of spur dike using 3-D turbulent model. Eng. J. Wuhan Univ. 2006, 39, 15–20. [Google Scholar] [CrossRef]
- Cui, Z.; Zhang, X. Flow and sediment simulation around spur dike with free surface using 3-D turbulent model. J. Hydrodyn. 2006, 18, 237–244. [Google Scholar] [CrossRef]
- Chen, Z.; Hei, P.; Ding, X. Division and flow scale investigation of circulation zone around spur dike. Adv. Water Sci. 2008, 19, 613–617. [Google Scholar] [CrossRef]
- Azinfar, H.; Kells, J. Backwater prediction due to the blockage caused by a single, submerged spur dike in an open channel. J. Hydraul. Eng. 2008, 134, 1153–1157. [Google Scholar] [CrossRef]
- Azinfar, H.; Kells, J. Flow resistance due to a single spur dike in an open channel. J. Hydraul. Res. 2009, 47, 755–763. [Google Scholar] [CrossRef]
- Tominaga, A.; Matsumoto, D. Diverse Riverbed Figuration by Using Skew Spur-Dike Groups. In Proceedings and Monographs in Engineering, Water and Earth Sciences, Proceedings of the International Conference on Fluvial Hydraulics, Lisbon, Portugal, 6–8 September 2006; Taylor & Francis: London, UK, 2006; pp. 683–691. Available online: http://apps.webofknowledge.com/full_record.do?product=WOS&search_mode=GeneralSearch&qid=1&SID=N2iurXVlKjBqvw2ejd5&page=1&doc=1 (accessed on 25 July 2015).
- Gao, X.; Liu, H.; Hua, G.; Wang, Z. Rational spacing characters of double permeable spur. J. Shihezi Univ. Nat. Sci. 2010, 28, 614–617. [Google Scholar] [CrossRef]
- Li, Z.; Liao, X. The cumulative impact of river construction projects on flood control. J. Hydro-Sci. Eng. 2011, 121–125. [Google Scholar] [CrossRef]
- Molls, T.; Chaudhry, M.; Khan, K. Numerical simulation of two-dimensional flow near a spur-dike. Adv. Water Resour. 1995, 18, 227–236. [Google Scholar] [CrossRef]
- Fluent Inc. FLUENT 6.3 User’s Guide. 2006. Available online: https://www.sharcnet.ca/Software/Fluent6/pdf/ug/flug.pdf (accessed on 25 July 2015).
- Karvinen, A.; Ahlstedt, H. Comparison of turbulence models in case of three-dimensional diffuser. In Proceedings of the Open Source CFD International Conference, Berlin, Germany, 4–5 December 2008; p. 17. Available online: http://powerlab.fsb.hr/ped/kturbo/openfoam/Berlin2008/PosterSession/OSCIC-08_KarvinenAku.pdf (accessed on 25 July 2015).
- Buckingham, E. On physically similar systems; illustrations of the use of dimensional equations. Phys. Rev. 1914, 4, 345–376. [Google Scholar] [CrossRef]
- Gu, Z. Generalized genetic algorithms and its application to identifying flow parameters. Syst. Eng.-Theory Prac. 2006, 26, 133–137. [Google Scholar] [CrossRef]
- Ying, Q. Flow pattern near the submerged spur dike. J. Hohai Univ. Nat. Sci. 1995, 4, 62–68. [Google Scholar] [CrossRef]












| No. | Q (m3/s) | b (m) | h (m) | s (m) |
|---|---|---|---|---|
| YZ1 | 0.0485 | 0.2 | 0.15 | 4.8 |
| YZ2 | 0.0416 | 0.4 | 0.15 | 4.8 |
| YZ3 | 0.0618 | 0.3 | 0.3 | 4.8 |
| No. | B (m) | b (m) | h (m) | Q (m3/s) | Fr | B/h | B/b |
|---|---|---|---|---|---|---|---|
| Case 1 (c1) | 1.2 | 0.2 | 0.2 | 0.0336 | 0.1 | 6 | 6 |
| Case 2 (c2) | 1.2 | 0.2 | 0.2 | 0.0672 | 0.2 | 6 | 6 |
| Case 3 (c3) | 1.2 | 0.2 | 0.2 | 0.1008 | 0.3 | 6 | 6 |
| Case 4 (c4) | 1.2 | 0.2 | 0.2 | 0.168 | 0.5 | 6 | 6 |
| Case 5 (c5) | 1.2 | 0.2 | 0.2 | 0.2352 | 0.7 | 6 | 6 |
| Case 6 (c6) | 1.2 | 0.5 | 0.2 | 0.0672 | 0.2 | 6 | 2.4 |
| Case 7 (c7) | 1.2 | 0.4 | 0.2 | 0.0672 | 0.2 | 6 | 3 |
| Case 8 (c8) | 1.2 | 0.3 | 0.2 | 0.0672 | 0.2 | 6 | 4 |
| Case 2 (c2) | 1.2 | 0.2 | 0.2 | 0.0672 | 0.2 | 6 | 6 |
| Case 9 (c9) | 1.2 | 0.1 | 0.2 | 0.0672 | 0.2 | 6 | 12 |
| Case 10 (c10) | 0.6 | 0.1 | 0.3 | 0.0618 | 0.2 | 2 | 6 |
| Case 11 (c11) | 1.2 | 0.2 | 0.3 | 0.1235 | 0.2 | 4 | 6 |
| Case 2 (c2) | 1.2 | 0.2 | 0.2 | 0.0672 | 0.2 | 6 | 6 |
| Case 12 (c12) | 1.8 | 0.3 | 0.2 | 0.1009 | 0.2 | 9 | 6 |
| Case 13 (c13) | 2.4 | 0.4 | 0.2 | 0.1345 | 0.2 | 12 | 6 |
| No. | Length of Backflow Zone RL (m) | Width of Backflow Zone RW (m) | ||||
|---|---|---|---|---|---|---|
| Flume Test | CFD | RE (%) | Flume Test | CFD | RE (%) | |
| YZ1 | 1.76 | 1.7052 | 3.11 | 0.3127 | 0.302 | 3.42 |
| YZ2 | / | / | / | 0.5596 | 0.5847 | 4.49 |
| YZ3 | 2.4 | 2.508 | 4.5 | 0.4297 | 0.4442 | 3.37 |
| No. | Length of Backflow Zone RL (m) | Width of Backflow Zone RW (m) | ||||
|---|---|---|---|---|---|---|
| Flume Test | CFD | RE (%) | Flume Test | CFD | RE (%) | |
| YZ1 | 1.21 | 1.1886 | 1.78 | 0.245 | 0.2416 | 1.39 |
| YZ2 | 2.0 | 1.9414 | 2.93 | 0.44 | 0.4511 | 2.52 |
| YZ3 | 1.8 | 1.7502 | 2.77 | 0.35 | 0.339 | 3.14 |
| c1 | c2 | c3 | c4 | c5 | c6 | c7 | c8 | c9 | c10 | c11 | c12 | c13 | |
|---|---|---|---|---|---|---|---|---|---|---|---|---|---|
| Sc (m) | 20.919 | 20.798 | 20.838 | 21.621 | 22.938 | 25.539 | 24.355 | 24.298 | 10.704 | 9.550 | 21.972 | 26.323 | 27.610 |
© 2020 by the authors. Licensee MDPI, Basel, Switzerland. This article is an open access article distributed under the terms and conditions of the Creative Commons Attribution (CC BY) license (http://creativecommons.org/licenses/by/4.0/).
Share and Cite
Gu, Z.; Cao, X.; Gu, Q.; Lu, W.-Z. Exploring Proper Spacing Threshold of Non-Submerged Spur Dikes with Ipsilateral Layout. Water 2020, 12, 172. https://doi.org/10.3390/w12010172
Gu Z, Cao X, Gu Q, Lu W-Z. Exploring Proper Spacing Threshold of Non-Submerged Spur Dikes with Ipsilateral Layout. Water. 2020; 12(1):172. https://doi.org/10.3390/w12010172
Chicago/Turabian StyleGu, Zhenghua, Xiaomeng Cao, Qiaoya Gu, and Wei-Zhen Lu. 2020. "Exploring Proper Spacing Threshold of Non-Submerged Spur Dikes with Ipsilateral Layout" Water 12, no. 1: 172. https://doi.org/10.3390/w12010172
APA StyleGu, Z., Cao, X., Gu, Q., & Lu, W.-Z. (2020). Exploring Proper Spacing Threshold of Non-Submerged Spur Dikes with Ipsilateral Layout. Water, 12(1), 172. https://doi.org/10.3390/w12010172

