An Uncertainty Investigation of RCM Downscaling Ratios in Nonstationary Extreme Rainfall IDF Curves
Abstract
1. Introduction
2. Study Area and Data
3. Methodology
4. Results and Discussion
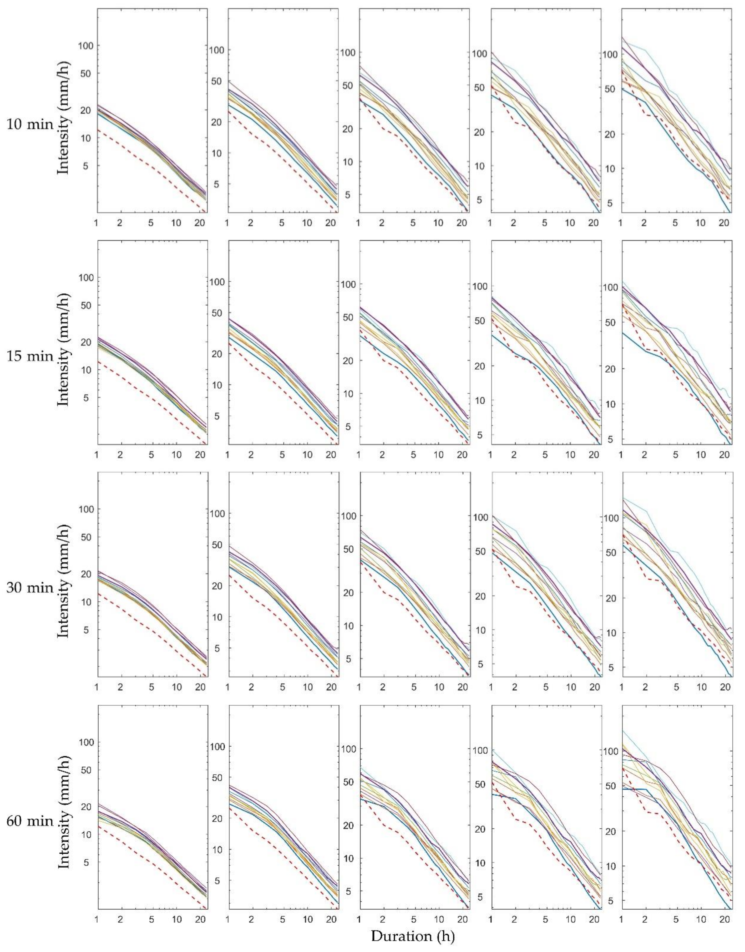
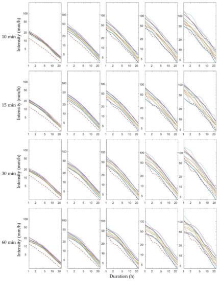
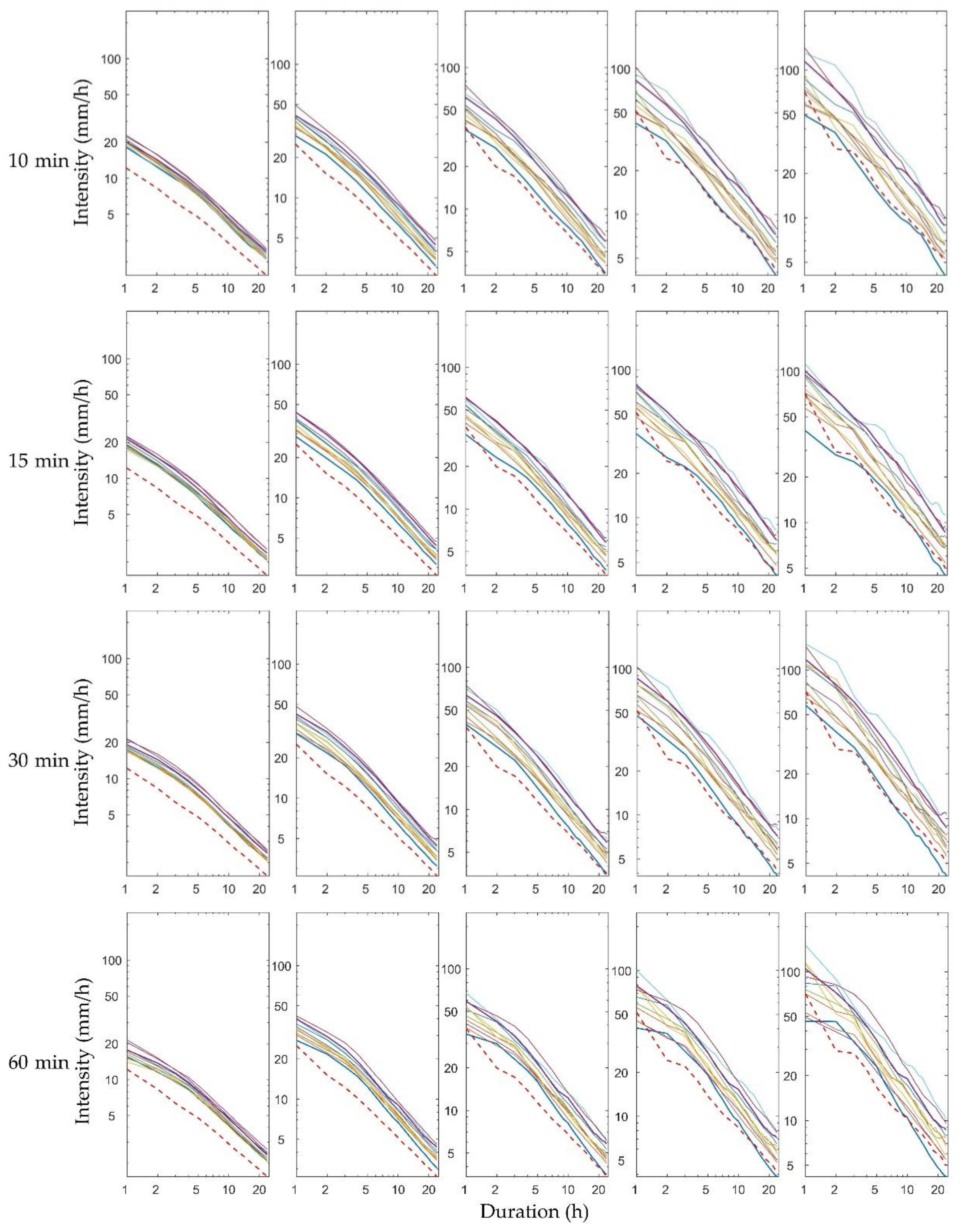
4.1. IDF Curves for Future Climate
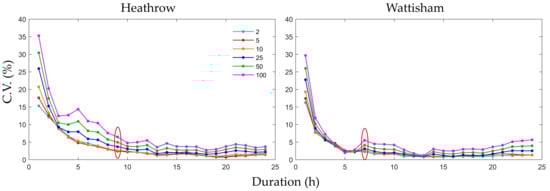
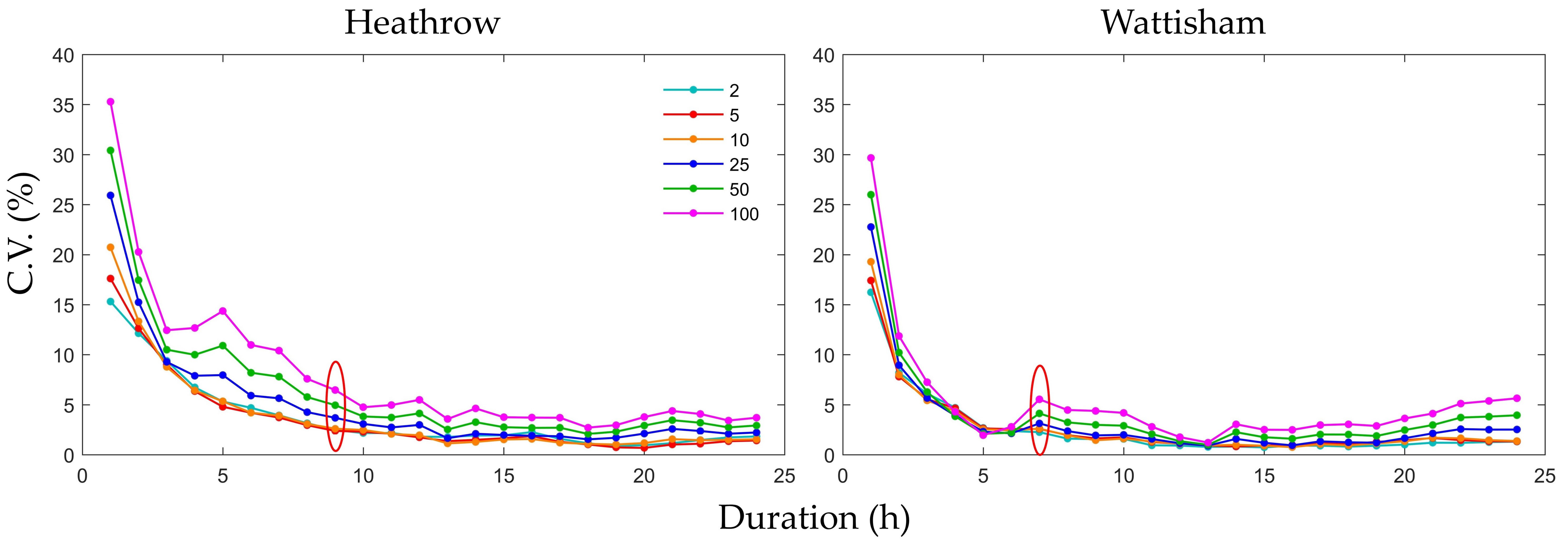
4.2. Uncertainty of IDF Curves Due to Downscaling Ratios
4.3. IDF Curves for Different RCM Ensemble Members
5. Conclusions
Acknowledgments
Author Contributions
Conflicts of Interest
References
- Cheng, L.; AghaKouchak, A. Nonstationary precipitation intensity-duration-frequency curves for infrastructure design in a changing climate. Sci. Rep. 2014, 4, 7093. [Google Scholar] [CrossRef] [PubMed]
- Pui, A.; Sharma, A.; Mehrotra, R.; Sivakumar, B.; Jeremiah, E. A comparison of alternatives for daily to sub-daily rainfall disaggregation. J. Hydrol. 2012, 470–471, 138–157. [Google Scholar] [CrossRef]
- Sarhadi, A.; Soulis, E.D. Time-varying extreme rainfall intensity-duration-frequency curves in a changing climate. Geophys. Res. Lett. 2017, 44. [Google Scholar] [CrossRef]
- Chen, Y.R.; Chu, P.S. Trends in precipitation extremes and return levels in the Hawaiian islands under a changing climate. Int. J. Climatol. 2014, 34, 3913–3925. [Google Scholar] [CrossRef]
- Madsen, H.; Lawrence, D.; Lang, M.; Martinkova, M.; Kjeldsen, T. Review of trend analysis and climate change projections of extreme precipitation and floods in Europe. J. Hydrol. 2014, 519, 3634–3650. [Google Scholar] [CrossRef]
- Wang, W.; Zhou, W.; Fong, S.K.; Leong, K.C.; Tang, I.M.; Chang, S.W.; Leong, W.K. Extreme rainfall and summer heat waves in Macau based on statistical theory of extreme values. Clim. Res. 2015, 66, 91–101. [Google Scholar] [CrossRef]
- Koutsoyiannis, D.; Kozonis, D.; Manetas, A. A mathematical framework for studying rainfall intensity-duration-frequency relationships. J. Hydrol. 1998, 206, 118–135. [Google Scholar] [CrossRef]
- Mirhosseini, G.; Srivastava, P.; Stefanova, L. The impact of climate change on rainfall intensity–duration–frequency (IDF) curves in Alabama. Reg. Environ. Chang. 2013, 13, 25–33. [Google Scholar] [CrossRef]
- Panthou, G.; Vischel, T.; Lebel, T.; Blanchet, J.; Quantin, G.; Ali, A. Extreme rainfall in west Africa: A regional modeling. Water Resour. Res. 2012, 48, 682–688. [Google Scholar] [CrossRef]
- Lehmann, E.A.; Phatak, A.; Stephenson, A.; Lau, R. Spatial modelling framework for the characterisation of rainfall extremes at different durations and under climate change. Environmetrics 2016, 27, 239–251. [Google Scholar] [CrossRef]
- Yilmaz, A.G.; Perera, B.J.C. Extreme rainfall nonstationarity investigation and intensity–frequency–duration relationship. J. Hydrol. Eng. 2014, 19, 1160–1172. [Google Scholar] [CrossRef]
- Agilan, V.; Umamahesh, N.V. Is the covariate based non-stationary rainfall IDF curve capable of encompassing future rainfall changes? J. Hydrol. 2016, 541, 1441–1455. [Google Scholar] [CrossRef]
- Lima, C.H.R.; Kwon, H.-H.; Kim, J.-Y. A bayesian β distribution model for estimating rainfall IDF curves in a changing climate. J. Hydrol. 2016, 540, 744–756. [Google Scholar] [CrossRef]
- Srivastav, R.K.; Schardong, A.; Simonovic, S.P. Equidistance quantile matching method for updating IDF curves under climate change. Water Resour. Manag. 2014, 28, 2539–2562. [Google Scholar] [CrossRef]
- Fadhel, S.; Rico-Ramirez, M.A.; Han, D. Uncertainty of intensity–duration–frequency (IDF) curves due to varied climate baseline periods. J. Hydrol. 2017, 547, 600–612. [Google Scholar] [CrossRef]
- Willems, P.; Arnbjerg-Nielsen, K.; Olsson, J.; Nguyen, V.T.V. Climate change impact assessment on urban rainfall extremes and urban drainage: Methods and shortcomings. Atmos. Res. 2012, 103, 106–118. [Google Scholar] [CrossRef]
- Nazemi, A.-R.; Elshorbagy, A.; Pingale, S. Uncertainties in the estimation of future annual extreme daily rainfall for the city of Saskatoon under climate change effects. In Proceedings of the 20th Canadian Hydrotechnical Conference, Ottawa, ON, Canada, 14–17 June 2011. [Google Scholar]
- Kim, K.B.; Kwon, H.-H.; Han, D. Bias correction methods for regional climate model simulations considering the distributional parametric uncertainty underlying the observations. J. Hydrol. 2015, 530, 568–579. [Google Scholar] [CrossRef]
- Chandra, R.; Saha, U.; Mujumdar, P.P. Model and parameter uncertainty in IDF relationships under climate change. Adv. Water Resour. 2015, 79, 127–139. [Google Scholar] [CrossRef]
- Chen, J.; Brissette, F.P.; Leconte, R. Uncertainty of downscaling method in quantifying the impact of climate change on hydrology. J. Hydrol. 2011, 401, 190–202. [Google Scholar] [CrossRef]
- Gobiet, A.; Kotlarski, S.; Beniston, M.; Heinrich, G.; Rajczak, J.; Stoffel, M. 21st century climate change in the European alps—A review. Sci. Total Environ. 2014, 493, 1138–1151. [Google Scholar] [CrossRef] [PubMed]
- Chan, S.C.; Kendon, E.J.; Fowler, H.J.; Blenkinsop, S.; Roberts, N.M. Projected increases in summer and winter UK sub-daily precipitation extremes from high-resolution regional climate models. Environ. Res. Lett. 2014, 9, 084019. [Google Scholar] [CrossRef]
- Ekström, M.; Fowler, H.J.; Kilsby, C.G.; Jones, P.D. New estimates of future changes in extreme rainfall across the UK using regional climate model integrations. 2. Future estimates and use in impact studies. J. Hydrol. 2005, 300, 234–251. [Google Scholar] [CrossRef]
- Met Office; NCAS British Atmospheric Data Centre. MIDAS UK Hourly Rainfall Data. 2006. Available online: http://catalogue.ceda.ac.uk/uuid/bbd6916225e7475514e17fdbf11141c1 (accessed on 11 November 2017).
- Met Office; NCAS British Atmospheric Data Centre. MIDAS UK Daily Temperature Data. 2006. Available online: http://catalogue.ceda.ac.uk/uuid/1bb479d3b1e38c339adb9c82c15579d8 (accessed on 11 November 2017).
- Coles, S.; Bawa, J.; Trenner, L.; Dorazio, P. An Introduction to Statistical Modeling of Extreme Values; Springer: London, UK, 2001; Volume 208. [Google Scholar]
- Hadley Centre for Climate Prediction and Research; NCAS British Atmospheric Data Centre. UKCP09: Met Office HadRM3-PPE UK Model Runs. 2014. Available online: http://catalogue.ceda.ac.uk/uuid/465ecd8a305ffb9df2bd8b54cada669f (accessed on 5 November 2017).
- Dai, Q.; Han, D.; Rico-Ramirez, M.; Srivastava, P.K. Multivariate distributed ensemble generator: A new scheme for ensemble radar precipitation estimation over temperate maritime climate. J. Hydrol. 2014, 511, 17–27. [Google Scholar] [CrossRef]
- Dai, Q.; Han, D.; Rico-Ramirez, M.A.; Zhuo, L.; Nanding, N.; Islam, T. Radar rainfall uncertainty modelling influenced by wind. Hydrol. Process. 2015, 29, 1704–1716. [Google Scholar] [CrossRef]
- Yang, W.; Andréasson, J.; Phil Graham, L.; Olsson, J.; Rosberg, J.; Wetterhall, F. Distribution-based scaling to improve usability of regional climate model projections for hydrological climate change impacts studies. Hydrol. Res. 2010, 41, 211. [Google Scholar] [CrossRef]
- Olsson, T.; Jakkila, J.; Veijalainen, N.; Backman, L.; Kaurola, J.; Vehviläinen, B. Impacts of climate change on temperature, precipitation and hydrology in Finland—Studies using bias corrected regional climate model data. Hydrol. Earth Syst. Sci. 2015, 19, 3217–3238. [Google Scholar] [CrossRef]
- Husak, G.J.; Michaelsen, J.; Funk, C. Use of the gamma distribution to represent monthly rainfall in Africa for drought monitoring applications. Int. J. Climatol. 2007, 27, 935–944. [Google Scholar] [CrossRef]
- Piani, C.; Haerter, J.O.; Coppola, E. Statistical bias correction for daily precipitation in regional climate models over Europe. Theor. Appl. Climatol. 2009, 99, 187–192. [Google Scholar] [CrossRef]
- Sharma, A.; Mehrotra, R.; Li, J.; Jha, S. A programming tool for nonparametric system prediction using partial informational correlation and partial weights. Environ. Model. Softw. 2016, 83, 271–275. [Google Scholar] [CrossRef]
- Sharma, A.; Mehrotra, R. An information theoretic alternative to model a natural system using observational information alone. Water Resour. Res. 2014, 50, 650–660. [Google Scholar] [CrossRef]
- Mehrotra, R.; Westra, S.; Sharma, A.; Srikanthan, R. Continuous rainfall simulation: 2. A regionalized daily rainfall generation approach. Water Resour. Res. 2012, 48. [Google Scholar] [CrossRef]
- Westra, S.; Mehrotra, R.; Sharma, A.; Srikanthan, R. Continuous rainfall simulation: 1. A regionalized subdaily disaggregation approach. Water Resour. Res. 2012, 48. [Google Scholar] [CrossRef]
- Sharif, M.; Burn, D.H. Improved k-nearest neighbor weather generating model. J. Hydrol. Eng. 2007, 12, 42–51. [Google Scholar] [CrossRef]














| Station | Duration (h) | ||||
|---|---|---|---|---|---|
| 1 | 2 | 6 | 12 | 24 | |
| Heathrow | 15.09 (8.68) | 19.09 (9.30) | 28.89 (12.65) | 34.85 (15.94) | 41.95 (18.64) |
| Wattisham | 19.21 (12.51) | 24.96 (14.27) | 33.40 (16.10) | 41.24 (19.78) | 50.81 23.48 |
| Shawbury | 17.92 (9.77) | 23.01 (11.25) | 31.91 (14.21) | 39.55 (17.54) | 50.70 (24.16) |
| Hurn | 22.61 (11.40) | 28.13 (13.90) | 40.37 (16.82) | 51.64 22.74 | 66.01 (35.08) |
| No. | Dataset | Purpose | Time Period |
|---|---|---|---|
| 1 | Observed temperature data | Bias correction for RCM temperature data; Downscaling of RCM precipitation | 1960–2016 |
| 2 | Observed precipitation data | Bias correction for RCM precipitation data; Obtain historical IDF curves; Downscaling of RCM precipitation | 1960–2016 |
| 3 | RCM temperature data (simulated) | Bias correction for RCM temperature data; Downscaling of RCM precipitation | 1960–2016 |
| 4 | RCM temperature data (predicted) | Downscaling of RCM precipitation | 2040–2096 |
| 5 | RCM precipitation data (simulated) | Bias correction for RCM precipitation data; Downscaling of RCM precipitation | 1960–2016 |
| 6 | RCM precipitation data (predicted) | Downscaling of RCM precipitation; Obtain future IDF curves | 2040–2096 |
| 7 | Radar data | Downscaling of RCM precipitation | 2004–2016 |
| RP (Years) | Statistics | 1 h | 3 h | 6 h | 12 h | 24 h |
|---|---|---|---|---|---|---|
| Mean (mm/h) | 18.50 | 10.33 | 6.29 | 3.55 | 2.12 | |
| 2 | SD (mm/h) | 2.83 | 0.97 | 0.30 | 0.06 | 0.04 |
| C.V. (%) | 15.31 | 9.40 | 4.69 | 1.81 | 1.83 | |
| Mean | 31.83 | 17.36 | 10.08 | 5.57 | 3.11 | |
| 10 | SD | 6.60 | 1.52 | 0.42 | 0.11 | 0.05 |
| C.V. | 20.73 | 8.78 | 4.20 | 1.95 | 1.55 | |
| Mean | 48.26 | 25.09 | 13.87 | 7.50 | 3.90 | |
| 50 | SD | 14.68 | 2.63 | 1.14 | 0.31 | 0.11 |
| C.V. | 30.42 | 10.50 | 8.20 | 4.14 | 2.92 |
| RP (Years) | Statistics | 1 h | 3 h | 6 h | 12 h | 24 h |
|---|---|---|---|---|---|---|
| Mean (mm/h) | 14.92 | 8.59 | 5.30 | 3.06 | 1.75 | |
| 2 | SD (mm/h) | 2.42 | 0.52 | 0.13 | 0.03 | 0.02 |
| C.V. (%) | 16.24 | 6.11 | 2.37 | 0.92 | 1.31 | |
| Mean | 27.80 | 15.77 | 9.60 | 5.33 | 2.96 | |
| 10 | SD | 5.36 | 0.86 | 0.23 | 0.06 | 0.04 |
| C.V. | 19.30 | 5.43 | 2.44 | 1.11 | 1.37 | |
| Mean | 47.24 | 25.91 | 15.62 | 8.25 | 4.51 | |
| 50 | SD | 12.28 | 1.63 | 0.34 | 0.11 | 0.18 |
| C.V. | 26.00 | 6.27 | 2.20 | 1.35 | 3.94 |
| RCM | 2 Years | 10 Years | 100 Years | ||||||
|---|---|---|---|---|---|---|---|---|---|
| 1 h | 6 h | 24 h | 1 h | 6 h | 24 h | 1 h | 6 h | 24 h | |
| Q9 | 19.00 | 6.50 | 2.12 | 44.56 | 13.62 | 4.23 | 148.75 | 37.94 | 10.26 |
| Q11 | 23.58 | 7.73 | 2.51 | 50.53 | 15.03 | 4.76 | 128.37 | 32.51 | 10.11 |
| Q16 | 21.34 | 7.21 | 2.40 | 46.40 | 14.03 | 4.42 | 123.08 | 30.32 | 8.64 |
| Q13 | 20.98 | 6.97 | 2.35 | 41.65 | 12.96 | 4.06 | 100.89 | 27.84 | 7.82 |
| Q3 | 18.49 | 6.36 | 2.08 | 36.46 | 11.32 | 3.57 | 102.53 | 22.45 | 6.88 |
| Qk | 18.30 | 6.30 | 2.08 | 37.28 | 11.31 | 3.59 | 98.27 | 22.38 | 7.08 |
| Q4 | 18.85 | 6.60 | 2.17 | 37.51 | 11.32 | 3.56 | 97.53 | 21.08 | 6.14 |
| Q8 | 19.43 | 6.56 | 2.20 | 38.43 | 11.57 | 3.75 | 88.77 | 22.00 | 6.72 |
| Q6 | 23.95 | 7.82 | 2.57 | 42.12 | 12.79 | 4.07 | 75.59 | 20.53 | 6.37 |
| Q14 | 19.75 | 6.63 | 2.21 | 34.36 | 11.05 | 3.46 | 66.76 | 19.51 | 5.46 |
| Q0 | 18.50 | 6.29 | 2.12 | 31.83 | 10.08 | 3.11 | 57.10 | 15.64 | 4.22 |
| RCM | 2 Years | 10 Years | 100 Years | ||||||
|---|---|---|---|---|---|---|---|---|---|
| 1 h | 6 h | 24 h | 1 h | 6 h | 24 h | 1 h | 6 h | 24 h | |
| Q9 | 19.57 | 2.88 | 1.79 | 19.62 | 3.30 | 1.22 | 22.62 | 8.53 | 6.61 |
| Q11 | 19.47 | 4.43 | 1.61 | 21.55 | 2.53 | 2.66 | 26.12 | 12.38 | 5.72 |
| Q16 | 19.65 | 2.34 | 1.39 | 22.61 | 4.27 | 0.96 | 26.25 | 10.08 | 1.48 |
| Q13 | 18.12 | 3.32 | 1.38 | 18.48 | 2.65 | 0.81 | 19.97 | 3.26 | 3.72 |
| Q3 | 14.27 | 2.36 | 1.08 | 25.08 | 3.86 | 1.39 | 76.74 | 9.25 | 3.60 |
| Qk | 19.94 | 3.09 | 1.23 | 19.87 | 4.23 | 1.62 | 24.44 | 8.42 | 5.82 |
| Q4 | 16.82 | 4.03 | 1.44 | 11.44 | 3.38 | 2.18 | 18.60 | 16.49 | 6.43 |
| Q8 | 15.17 | 3.86 | 2.69 | 15.07 | 3.59 | 1.69 | 18.54 | 12.06 | 7.78 |
| Q6 | 18.00 | 3.24 | 1.38 | 19.67 | 2.60 | 3.76 | 25.33 | 9.02 | 11.26 |
| Q14 | 15.88 | 1.97 | 0.50 | 18.50 | 2.45 | 0.90 | 28.97 | 7.36 | 2.11 |
| Q0 | 15.31 | 4.69 | 1.83 | 20.73 | 4.20 | 1.55 | 35.27 | 10.97 | 3.70 |
© 2018 by the authors. Licensee MDPI, Basel, Switzerland. This article is an open access article distributed under the terms and conditions of the Creative Commons Attribution (CC BY) license (http://creativecommons.org/licenses/by/4.0/).
Share and Cite
Yang, Q.; Dai, Q.; Han, D.; Zhu, X.; Zhang, S. An Uncertainty Investigation of RCM Downscaling Ratios in Nonstationary Extreme Rainfall IDF Curves. Atmosphere 2018, 9, 151. https://doi.org/10.3390/atmos9040151
Yang Q, Dai Q, Han D, Zhu X, Zhang S. An Uncertainty Investigation of RCM Downscaling Ratios in Nonstationary Extreme Rainfall IDF Curves. Atmosphere. 2018; 9(4):151. https://doi.org/10.3390/atmos9040151
Chicago/Turabian StyleYang, Qiqi, Qiang Dai, Dawei Han, Xuehong Zhu, and Shuliang Zhang. 2018. "An Uncertainty Investigation of RCM Downscaling Ratios in Nonstationary Extreme Rainfall IDF Curves" Atmosphere 9, no. 4: 151. https://doi.org/10.3390/atmos9040151
APA StyleYang, Q., Dai, Q., Han, D., Zhu, X., & Zhang, S. (2018). An Uncertainty Investigation of RCM Downscaling Ratios in Nonstationary Extreme Rainfall IDF Curves. Atmosphere, 9(4), 151. https://doi.org/10.3390/atmos9040151

