Validation of MODIS-Aqua Aerosol Products C051 and C006 over the Beijing-Tianjin-Hebei Region
Abstract
1. Introduction
2. Experiments
2.1. Study Area
2.2. AERONET
2.3. MODIS Data
3. Data Processing
4. Results and Discussion
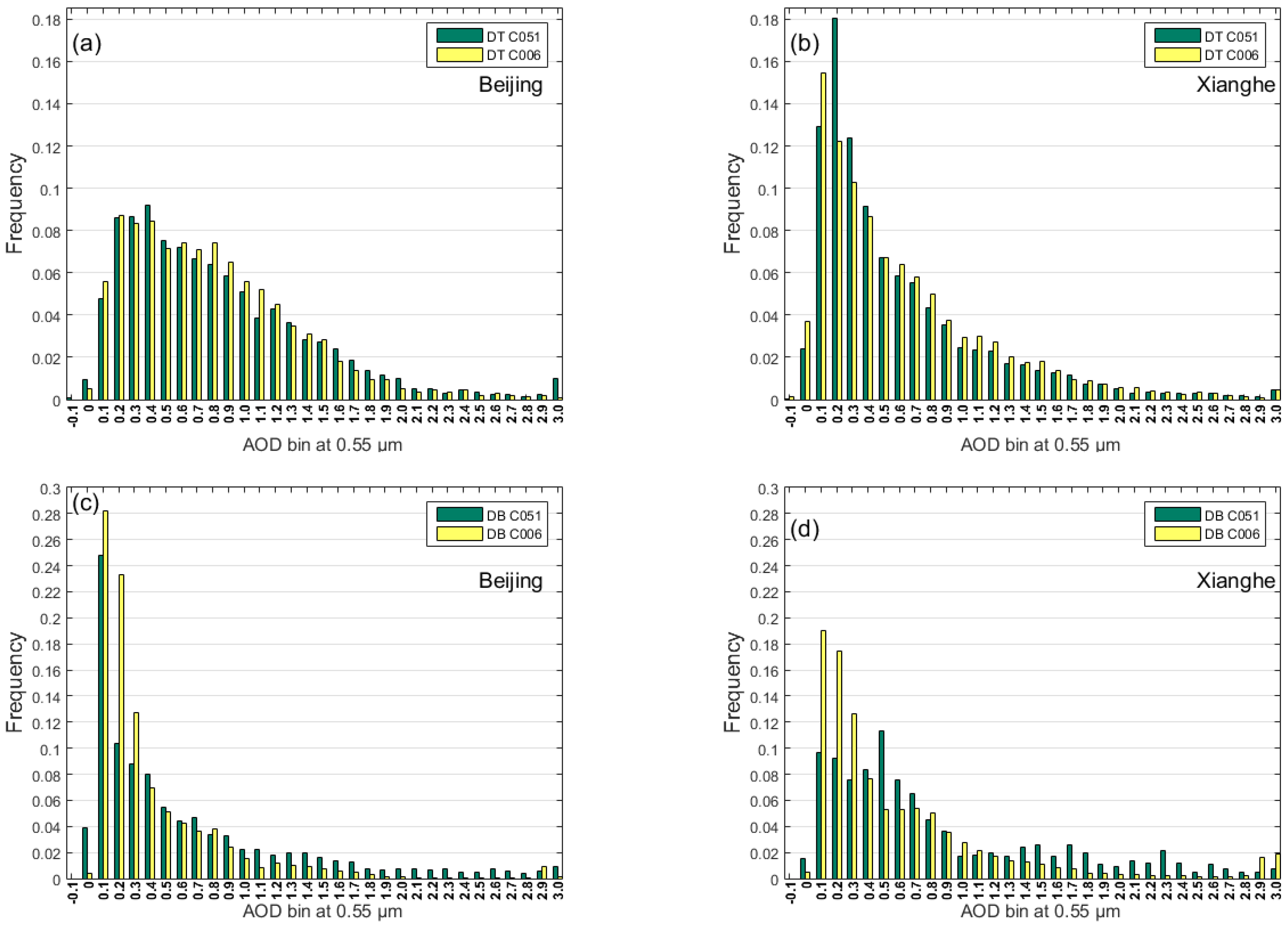
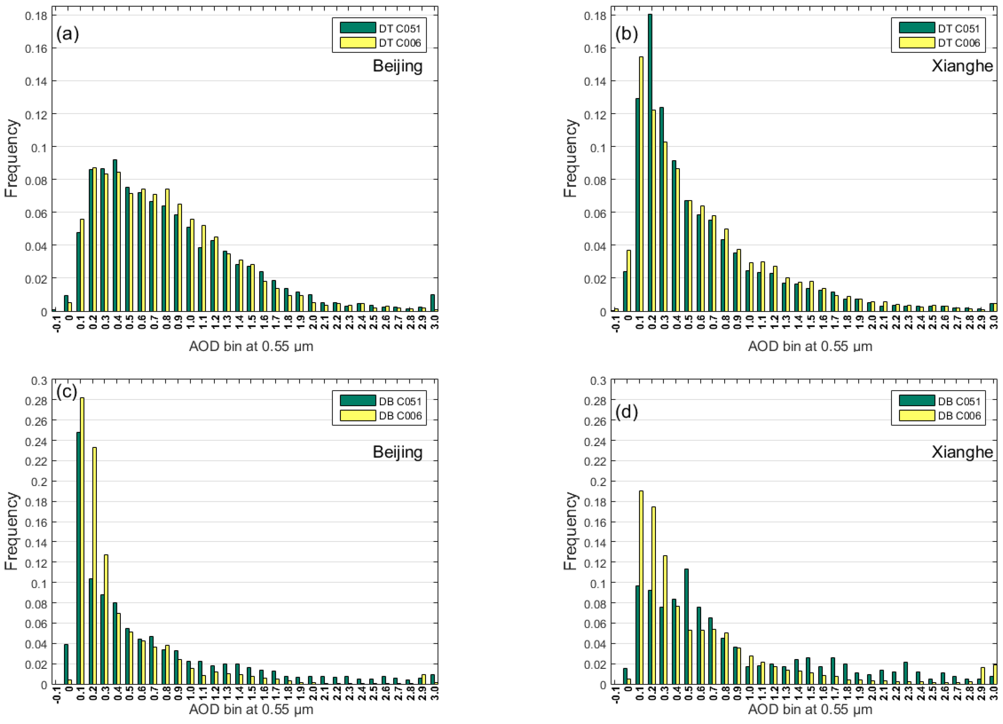
4.1. Evaluation of DT C051 and DT C006 over the Beijing and Xianghe Sites
4.2. Evaluation of DB C051 and DB C006 over the Beijing and Xianghe Sites
4.3. Spatial Variability of MODIS-Aqua DT and DB AOD Retrievals
4.4. Seasonal Spatial Distribution of MODIS DT C051 and DT C006
5. Conclusions
Acknowledgments
Author Contributions
Conflicts of Interest
References
- Kaufman, Y.J.; Tanre, D.; Boucher, O. A satellite view of aerosols in the climate system. Nature 2002, 419, 215–223. [Google Scholar] [CrossRef] [PubMed]
- Koren, I.; Altaratz, O.; Remer, L.A.; Feingold, G.; Martins, J.V.; Heiblum, R.H. Aerosol-induced intensification of rain from the tropics to the mid-latitudes. Nat. Geosci. 2012, 5, 118–122. [Google Scholar] [CrossRef]
- Cheung, H.C.; Wang, T.; Baumann, K.; Guo, H. Influence of regional pollution outflow on the concentrations of fine particulate matter and visibility in the coastal area of southern China. Atmos. Environ. 2005, 39, 6463–6474. [Google Scholar] [CrossRef]
- Pope, C.A.; Dockery, D.W. Health effects of fine particulate air pollution: Lines that connect. J. Air Waste Manag. Assoc. 2006, 56, 709–742. [Google Scholar] [CrossRef] [PubMed]
- Holben, B.N.; Tanre, D.; Smirnov, A.; Eck, T.F.; Slutsker, I.; Abuhassan, N.; Newcomb, W.W.; Schafer, J.S.; Chatenet, B.; Lavenu, F.; et al. An emerging ground-based aerosol climatology: Aerosol optical depth from AERONET. J. Geophys. Res. Atmos. 2001, 106, 12067–12097. [Google Scholar] [CrossRef]
- Curier, R.L.; Veefkind, J.P.; Braak, R.; Veihelmann, B.; Torres, O.; de Leeuw, G. Retrieval of aerosol optical properties from OMI radiances using a multiwavelength algorithm: Application to western Europe. J. Geophys. Res. Atmos. 2008, 113. [Google Scholar] [CrossRef]
- Hauser, A.; Oesch, D.; Foppa, N.; Wunderle, S. NOAA AVHRR derived aerosol optical depth over land. J. Geophys. Res. Atmos. 2005, 110. [Google Scholar] [CrossRef]
- Kittaka, C.; Winker, D.M.; Vaughan, M.A.; Omar, A.; Remer, L.A. Intercomparison of column aerosol optical depths from CALIPSO and MODIS-Aqua. Atmos. Meas. Tech. 2011, 4, 131–141. [Google Scholar] [CrossRef]
- Remer, L.A.; Kaufman, Y.J.; Tanre, D.; Mattoo, S.; Chu, D.A.; Martins, J.V.; Li, R.R.; Ichoku, C.; Levy, R.C.; Kleidman, R.G.; et al. The MODIS aerosol algorithm, products, and validation. J. Atmos. Sci. 2005, 62, 947–973. [Google Scholar] [CrossRef]
- Torres, O.; Bhartia, P.K.; Herman, J.R.; Sinyuk, A.; Ginoux, P.; Holben, B. A long-term record of aerosol optical depth from TOMS observations and comparison to AERONET measurements. J. Atmos. Sci. 2002, 59, 398–413. [Google Scholar] [CrossRef]
- Zhou, C.Y.; Liu, Q.H.; Zhong, B.; Sun, L.; Xin, X.Z. Retrieval of Aerosol Optical Thickness from Hj-1a/B Images Using Structure Function Method. In Proceedings of the 2009 IEEE International Geoscience and Remote Sensing Symposium, Cape Town, South Africa, 12–17 July 2009; pp. 413–416. [Google Scholar]
- Levy, R.C.; Mattoo, S.; Munchak, L.A.; Remer, L.A.; Sayer, A.M.; Patadia, F.; Hsu, N.C. The Collection 6 MODIS aerosol products over land and ocean. Atmos. Meas. Tech. 2013, 6, 2989–3034. [Google Scholar] [CrossRef]
- Kaufman, Y.J.; Tanre, D.; Remer, L.A.; Vermote, E.F.; Chu, A.; Holben, B.N. Operational remote sensing of tropospheric aerosol over land from EOS moderate resolution imaging spectroradiometer. J. Geophys. Res. Atmos. 1997, 102, 17051–17067. [Google Scholar] [CrossRef]
- Holben, B.N.; Eck, T.F.; Slutsker, I.; Tanre, D.; Buis, J.P.; Setzer, A.; Vermote, E.; Reagan, J.A.; Kaufman, Y.J.; Nakajima, T.; et al. AERONET-A federated instrument network and data archive for aerosol characterization. Remote Sens. Environ. 1998, 66, 1–16. [Google Scholar] [CrossRef]
- Levy, R.C.; Remer, L.A.; Kleidman, R.G.; Mattoo, S.; Ichoku, C.; Kahn, R.; Eck, T.F. Global evaluation of the Collection 5 MODIS dark-target aerosol products over land. Atmos. Chem. Phys. 2010, 10, 10399–10420. [Google Scholar] [CrossRef]
- Milinevsky, G.; Danylevsky, V.; Bovchaliuk, V.; Bovchaliuk, A.; Goloub, P.; Dubovik, O.; Kabashnikov, V.; Chaikovsky, A.; Miatselskaya, N.; Mishchenko, M.; et al. Aerosol seasonal variations over urban-industrial regions in Ukraine according to AERONET and POLDER measurements. Atmos. Meas. Tech. 2014, 7, 1459–1474. [Google Scholar] [CrossRef]
- Papadimas, C.D.; Hatzianastassiou, N.; Mihalopoulos, N.; Kanakidou, M.; Katsoulis, B.D.; Vardavas, I. Assessment of the MODIS Collections C005 and C004 aerosol optical depth products over the Mediterranean basin. Atmos. Chem. Phys. 2009, 9, 2987–2999. [Google Scholar] [CrossRef]
- Li, B.; Yuan, H.; Feng, N.; Tao, S. Comparing MODIS and AERONET aerosol optical depth over China. J. Remote Sens. 2009, 30, 6519–6529. [Google Scholar] [CrossRef]
- Floutsi, A.A.; Korras-Carraca, M.B.; Matsoukas, C.; Hatzianastassiou, N.; Biskos, G. Climatology and trends of aerosol optical depth over the Mediterranean basin during the last 12 years (2002–2014) based on Collection 006 MODIS–Aqua data. Sci. Total Environ. 2016, 551, 292–303. [Google Scholar] [CrossRef] [PubMed]
- Bilal, M.; Nichol, J.E.; Nazeer, M. Validation of Aqua-MODIS C051 and C006 Operational Aerosol Products Using AERONET Measurements Over Pakistan. IEEE J. Sel. Top. Appl. Earth Obs. Remote Sens. 2016, 9, 2074–2080. [Google Scholar] [CrossRef]
- Cai, W.; Li, K.; Liao, H.; Wang, H.; Wu, L. Weather conditions conducive to Beijing severe haze more frequent under climate change. Nat. Clim. Chang. 2017, 7, 257. [Google Scholar] [CrossRef]
- Bilal, M.; Nichol, J.E. Evaluation of MODIS aerosol retrieval algorithms over the Beijing-Tianjin-Hebei region during low to very high pollution events. J. Geophys. Res. Atmos. 2015, 120, 7941–7957. [Google Scholar] [CrossRef]
- Chen, W.; Fan, A.; Yan, L. Performance of MODIS C6 Aerosol Product during Frequent Haze-Fog Events: A Case Study of Beijing. Remote Sens. 2017, 9. [Google Scholar] [CrossRef]
- Sun, L.; Li, R.; Tian, X.; Wei, J. Analysis of the Temporal and Spatial Variation of Aerosols in the Beijing-Tianjin-Hebei Region with a 1 km AOD Product. Aerosol Air Qual. Res. 2017, 17, 923–935. [Google Scholar] [CrossRef]
- Bilal, M.; Nichol, J.E.; Chan, P.W. Validation and accuracy assessment of a Simplified Aerosol Retrieval Algorithm (SARA) over Beijing under low and high aerosol loadings and dust storms. Remote Sens. Environ. 2014, 153, 50–60. [Google Scholar] [CrossRef]
- Wei, J.; Sun, L. Comparison and Evaluation of Different MODIS Aerosol Optical Depth Products Over the Beijing-Tianjin-Hebei Region in China. IEEE J. Sel. Top. Appl. Earth Obs. Remote Sens. 2017, 10, 835–844. [Google Scholar] [CrossRef]
- Levy, R.C.; Leptoukh, G.G.; Kahn, R.; Zubko, V.; Gopalan, A.; Remer, L.A. A Critical Look at Deriving Monthly Aerosol Optical Depth from Satellite Data. IEEE Trans. Geosci. Remote 2009, 47, 2942–2956. [Google Scholar] [CrossRef]
- Hsu, N.C.; Tsay, S.C.; King, M.D.; Herman, J.R. Aerosol properties over bright-reflecting source regions. IEEE Trans. Geosci. Remote 2004, 42, 557–569. [Google Scholar] [CrossRef]
- Hsu, N.C.; Jeong, M.J.; Bettenhausen, C.; Sayer, A.M.; Hansell, R.; Seftor, C.S.; Huang, J.; Tsay, S.C. Enhanced Deep Blue aerosol retrieval algorithm: The second generation. J. Geophys. Res. Atmos. 2013, 118, 9296–9315. [Google Scholar] [CrossRef]
- Lyapustin, A.; Wang, Y.; Xiong, X.; Meister, G.; Platnick, S.; Levy, R.; Franz, B.; Korkin, S.; Hilker, T.; Tucker, J.; et al. Scientific impact of MODIS C5 calibration degradation and C6+ improvements. Atmos. Meas. Tech. 2014, 7, 4353–4365. [Google Scholar] [CrossRef]
- Ichoku, C.; Chu, D.A.; Mattoo, S.; Kaufman, Y.J.; Remer, L.A.; Tanre, D.; Slutsker, I.; Holben, B.N. A spatio-temporal approach for global validation and analysis of MODIS aerosol products. Geophys. Res. Lett. 2002, 29. [Google Scholar] [CrossRef]
- Petrenko, M.; Ichoku, C.; Leptoukh, G. Multi-sensor Aerosol Products Sampling System (MAPSS). Atmos. Meas. Tech. 2012, 5, 913–926. [Google Scholar] [CrossRef]
- Mishchenko, M.I.; Cairns, B.; Hansen, J.E.; Travis, L.D.; Burg, R.; Kaufman, Y.J.; Martins, J.V.; Shettle, E.P. Monitoring of aerosol forcing of climate from space: Analysis of measurement requirements. J. Quant. Spectrosc. Radiat. Transf. 2004, 88, 149–161. [Google Scholar] [CrossRef]
- Hansen, J.; Rossow, W.; Carlson, B.; Lacis, A.; Travis, L.; Delgenio, A.; Fung, I.; Cairns, B.; Mishchenko, M.; Sato, M. Low-cost long-term monitoring of global climate forgings and feedbacks. Clim. Chang. 1995, 31, 247–271. [Google Scholar] [CrossRef]
- Tao, M.; Chen, L.; Wang, Z.; Tao, J.; Che, H.; Wang, X.; Wang, Y. Comparison and evaluation of the MODIS Collection 6 aerosol data in China. J. Geophys. Res. Atmos. 2015, 120, 6992–7005. [Google Scholar] [CrossRef]
- Sayer, A.M.; Hsu, N.C.; Bettenhausen, C.; Jeong, M.J. Validation and uncertainty estimates for MODIS Collection 6 “Deep Blue” aerosol data. J. Geophys. Res. Atmos. 2013, 118, 7864–7872. [Google Scholar] [CrossRef]
- He, Q.; Zhang, M.; Huang, B.; Tong, X. MODIS 3 km and 10 km aerosol optical depth for China: Evaluation and comparison. Atmos. Environ. 2017, 153, 150–162. [Google Scholar] [CrossRef]
- Wang, L.; Xin, J.; Li, X.; Wang, Y. The variability of biomass burning and its influence on regional aerosol properties during the wheat harvest season in North China. Atmos. Res. 2015, 157, 153–163. [Google Scholar] [CrossRef]
- Remer, L.A.; Mattoo, S.; Levy, R.C.; Munchak, L.A. MODIS 3 km aerosol product: Algorithm and global perspective. Atmos. Meas. Tech. 2013, 6, 1829–1844. [Google Scholar] [CrossRef]
- Liu, H.; Tang, X.M.; Cao, W.; Xie, Z.Y.; Lei, J.H.; Li, M.; Gao, Y. Spatio-Temporal Variations of Aerosol Optical Depth over Areas Around Beijing in Recent 14 Years. Adv. Mater. Res. 2014, 997, 843–846. [Google Scholar] [CrossRef]
- Twomey, S.; Squires, P. The Influence of Cloud Nucleus Population on the Microstructure and Stability of Convective Clouds. Tellus 1959, 11, 408–411. [Google Scholar] [CrossRef]








| Scientific Data Set (SDS) Name | Long_Name |
|---|---|
| Optical_Depth_Land_And_Ocean | Collection 5: Land QAC = 3; Ocean QAC = 3 (best) |
| Collection 6: Land QAC = 3; Ocean QAC ≥ 1 (average) | |
| Deep_Blue_Aerosol_Optical_Depth_550_Land | Land QAC = 1,2,3 |
| QA Flags | QA Confidence |
|---|---|
| 0 | Bad or No Confidence |
| 1 | Marginal |
| 2 | Good |
| 3 | Very Good |
| Numbers | Time (Year) | ||||||||||
|---|---|---|---|---|---|---|---|---|---|---|---|
| Site | 2006 | 2007 | 2008 | 2009 | 2010 | 2011 | 2012 | 2013 | 2014 | 2015 | Total |
| DTC051-Beijing | 61 | 74 | 24 | 74 | 70 | 36 | 41 | 71 | 61 | 59 | 571 |
| DTC006-Beijing | 51 | 63 | 17 | 67 | 63 | 30 | 37 | 60 | 49 | 56 | 493 |
| DTC051-Xianghe | 108 | 115 | 76 | 118 | 83 | 108 | 100 | 118 | 120 | 66 | 1012 |
| DTC006-Xianghe | 75 | 85 | 52 | 84 | 60 | 67 | 72 | 88 | 96 | 43 | 722 |
| DBC051-Beijing | 78 | 67 | 42 | 61 | 59 | 69 | 58 | 56 | 68 | 56 | 614 |
| DBC006-Beijing | 136 | 132 | 64 | 140 | 133 | 136 | 96 | 128 | 136 | 107 | 1208 |
| DBC051-Xianghe | 24 | 20 | 11 | 16 | 7 | 9 | 10 | 10 | 10 | 10 | 127 |
| DBC006-Xianghe | 140 | 152 | 110 | 142 | 124 | 150 | 128 | 147 | 147 | 88 | 1328 |
| Site | N a | R b | Slope | Intercept | Mean c | St Dev d | RMSE | MAE | RMB | Within EE (%) |
|---|---|---|---|---|---|---|---|---|---|---|
| DT-Beijing collocations (10 km) | ||||||||||
| AERONET | 571 | 0.9310 | 1.2541 | 0.1198 | 0.4626 | 0.4286 | ||||
| DT C051 | 0.6999 | 0.5028 | 0.3025 | 0.2502 | 1.5131 | 24.87 | ||||
| AERONET | 493 | 0.8991 | 1.0913 | 0.1470 | 0.4522 | 0.4387 | ||||
| DT C006 | 0.6405 | 0.4346 | 0.2718 | 0.2174 | 1.4164 | 32.45 | ||||
| DT-Xianghe collocations (10 km) | ||||||||||
| AERONET | 1012 | 0.9607 | 1.2614 | −0.0325 | 0.4479 | 0.4539 | ||||
| DT C051 | 0.5326 | 0.5515 | 0.1906 | 0.1157 | 1.1889 | 68.08 | ||||
| AERONET | 722 | 0.9679 | 1.1544 | −0.0254 | 0.5162 | 0.5071 | ||||
| DT C006 | 0.5705 | 0.5679 | 0.1585 | 0.1000 | 1.1052 | 77.98 | ||||
| DB-Beijing collocations (10 km) | ||||||||||
| AERONET | 614 | 0.8833 | 1.5069 | −0.2371 | 0.5450 | 0.4949 | ||||
| DB C051 | 0.5842 | 0.6626 | 0.3257 | 0.2059 | 1.0719 | 51.47 | ||||
| AERONET | 1208 | 0.9343 | 1.0444 | −0.0297 | 0.4232 | 0.4593 | ||||
| DB C006 | 0.4123 | 0.4510 | 0.1655 | 0.0899 | 0.9741 | 81.95 | ||||
| DB-Xianghe collocations (10 km) | ||||||||||
| AERONET | 127 | 0.8420 | 1.8435 | −0.5015 | 0.7062 | 0.4705 | ||||
| DB C051 | 0.8003 | 0.7347 | 0.4318 | 0.2787 | 1.1333 | 47.24 | ||||
| AERONET | 1328 | 0.9383 | 1.1454 | −0.0267 | 0.5060 | 0.5522 | ||||
| DB C006 | 0.5529 | 0.5964 | 0.2115 | 0.1173 | 1.0926 | 77.64 | ||||
© 2017 by the authors. Licensee MDPI, Basel, Switzerland. This article is an open access article distributed under the terms and conditions of the Creative Commons Attribution (CC BY) license (http://creativecommons.org/licenses/by/4.0/).
Share and Cite
Wang, K.; Sun, X.; Zhou, Y.; Zhang, C. Validation of MODIS-Aqua Aerosol Products C051 and C006 over the Beijing-Tianjin-Hebei Region. Atmosphere 2017, 8, 172. https://doi.org/10.3390/atmos8090172
Wang K, Sun X, Zhou Y, Zhang C. Validation of MODIS-Aqua Aerosol Products C051 and C006 over the Beijing-Tianjin-Hebei Region. Atmosphere. 2017; 8(9):172. https://doi.org/10.3390/atmos8090172
Chicago/Turabian StyleWang, Ke, Xuejin Sun, Yongbo Zhou, and Chuanliang Zhang. 2017. "Validation of MODIS-Aqua Aerosol Products C051 and C006 over the Beijing-Tianjin-Hebei Region" Atmosphere 8, no. 9: 172. https://doi.org/10.3390/atmos8090172
APA StyleWang, K., Sun, X., Zhou, Y., & Zhang, C. (2017). Validation of MODIS-Aqua Aerosol Products C051 and C006 over the Beijing-Tianjin-Hebei Region. Atmosphere, 8(9), 172. https://doi.org/10.3390/atmos8090172
