The Spatial and Temporal Variation of Temperature in the Qinghai-Xizang (Tibetan) Plateau during 1971–2015
Abstract
1. Introduction
2. Data and Methods
2.1. Data
2.2. Methods
3. Results
3.1. The Spatial and Temporal Variation of Temperature
3.1.1. The Mean Temperature
3.1.2. The Maximum Temperature
3.1.3. The Minimum Temperature
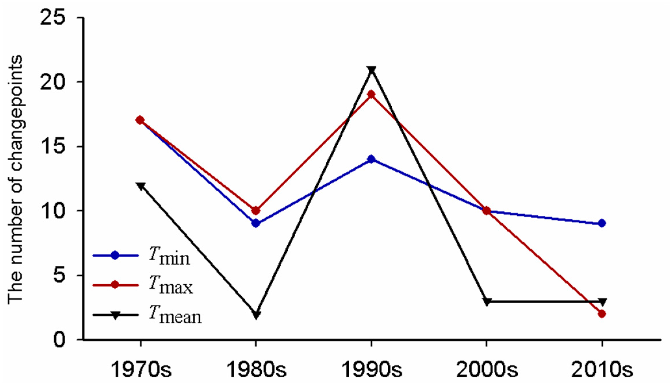
3.2. The Temporal Variation Characteristics of Warming Trends
4. Discussion and Conclusions
Acknowledgments
Author Contributions
Conflicts of Interest
Appendix A
| Station Number | ID | Station Name | Latitude (N) | Longitude (E) | Elevation (m) | First Year |
|---|---|---|---|---|---|---|
| 1 | 51705 | Wuqia | 39°43′ | 75°15′ | 2175.7 | 1955 |
| 2 | 51804 | Tashikuergan | 37°46′ | 75°14′ | 3090.1 | 1957 |
| 3 | 51886 | Mangya | 38°15′ | 90°51′ | 2944.8 | 1958 |
| 4 | 52602 | Lenghu | 38°45′ | 93°20′ | 2770 | 1956 |
| 5 | 52633 | Tuole | 38°48′ | 98°25′ | 3367 | 1956 |
| 6 | 52645 | Yeniugou | 38°25′ | 99°35′ | 3320 | 1959 |
| 7 | 52657 | Qilian | 38°11′ | 100°15′ | 2787.4 | 1956 |
| 8 | 52707 | Xiaozaohuo | 36°48′ | 93°41′ | 2767 | 1960 |
| 9 | 52713 | Dachaidan | 37°51′ | 95°22′ | 3173.2 | 1956 |
| 10 | 52737 | Delingha | 37°22′ | 97°22′ | 2981.5 | 1955 |
| 11 | 52754 | Gangcha | 37°20′ | 100°08′ | 3301.5 | 1957 |
| 12 | 52765 | Menyuan | 37°23′ | 101°37′ | 2850 | 1956 |
| 13 | 52787 | Wushaoling | 37°12′ | 102°52′ | 3045.1 | 1951 |
| 14 | 52818 | Geermu | 36°25′ | 94°54′ | 2807.6 | 1955 |
| 15 | 52825 | Nuomuhong | 36°26′ | 96°25′ | 2790.4 | 1956 |
| 16 | 52836 | Dulan | 36°18′ | 98°06′ | 3191.1 | 1954 |
| 17 | 52856 | Qiabuqia | 36°16′ | 100°37′ | 2835 | 1953 |
| 18 | 52866 | Xining | 36°43′ | 101°45′ | 2295.2 | 1954 |
| 19 | 52868 | Guizhou | 36°02′ | 101°26′ | 2237.1 | 1956 |
| 20 | 52908 | Wudaoliang | 35°13′ | 93°05′ | 4612.2 | 1956 |
| 21 | 52943 | Xinghai | 35°35′ | 99°59′ | 3323.2 | 1960 |
| 22 | 55228 | Shiquanhe | 32°30′ | 80°05′ | 4278.6 | 1961 |
| 23 | 55279 | Bange | 31°23′ | 90°01′ | 4700 | 1956 |
| 24 | 55294 | Anduo | 32°21′ | 91°06′ | 4800 | 1965 |
| 25 | 55299 | Naqu | 31°29′ | 92°04′ | 4507 | 1954 |
| 26 | 55472 | Shenzha | 30°57′ | 88°38′ | 4672 | 1960 |
| 27 | 55493 | Dangxiong | 30°29′ | 91°06′ | 4200 | 1962 |
| 28 | 55578 | Rikaze | 29°15′ | 88°53′ | 3836 | 1955 |
| 29 | 55591 | Lhasa | 29°40′ | 91°08′ | 3648.9 | 1955 |
| 30 | 55598 | Zedang | 29°15′ | 91°46′ | 3551.7 | 1956 |
| 31 | 55655 | Nielaer | 28°11′ | 85°58′ | 3810 | 1966 |
| 32 | 55664 | Dingri | 28°38′ | 87°05′ | 4300 | 1959 |
| 33 | 55680 | Jiangzi | 28°55′ | 89°36′ | 4040 | 1956 |
| 34 | 55690 | Cuona | 27°59′ | 91°57′ | 4280.3 | 1967 |
| 35 | 55696 | Longzi | 28°25′ | 92°28′ | 3860 | 1959 |
| 36 | 55773 | Pali | 27°44′ | 89°05′ | 4300 | 1956 |
| 37 | 56004 | Tuotuohe | 34°13′ | 92°26′ | 4533.1 | 1956 |
| 38 | 56018 | Zaduo | 32°54′ | 95°18′ | 4066.4 | 1956 |
| 39 | 56021 | Qumalai | 34°8′ | 95°47′ | 4175 | 1956 |
| 40 | 56029 | Yushu | 33°1′ | 97°01′ | 3681.2 | 1951 |
| 41 | 56033 | Maduo | 34°55′ | 98°13′ | 4272.3 | 1953 |
| 42 | 56034 | Qingshuihe | 33°48′ | 97°08′ | 4415.4 | 1956 |
| 43 | 56038 | Shiqu | 32°59′ | 98°06′ | 4200 | 1960 |
| 44 | 56046 | Dari | 33°45′ | 99°39′ | 3967.5 | 1956 |
| 45 | 56065 | Henan | 34°44′ | 101°36′ | 3500 | 1959 |
| 46 | 56067 | Jiuzhi | 33°26′ | 101°29′ | 3628.5 | 1958 |
| 47 | 56074 | Maqu | 34°0′ | 102°05′ | 3471.4 | 1967 |
| 48 | 56079 | Ruoergai | 33°35′ | 102°58′ | 3439.6 | 1957 |
| 49 | 56080 | Hezuo | 35°00′ | 102°54′ | 2910 | 1957 |
| 50 | 56093 | Minxian | 34°26′ | 104°01′ | 2315 | 1951 |
| 51 | 56106 | Suoxian | 31°53′ | 93°47′ | 4022.8 | 1956 |
| 52 | 56116 | Dingqing | 31°25′ | 95°36′ | 3873.1 | 1954 |
| 53 | 56125 | Nangqian | 32°12′ | 96°29′ | 3643.7 | 1956 |
| 54 | 56137 | Changdu | 31°09′ | 97°10′ | 3306 | 1954 |
| 55 | 56144 | Dege | 31°48′ | 98°35′ | 3184 | 1956 |
| 56 | 56146 | Ganzi | 31°37′ | 100°00′ | 3393.5 | 1951 |
| 57 | 56151 | Banma | 32°56′ | 100°45′ | 3530 | 1960 |
| 58 | 56152 | Seda | 32°17′ | 100°20′ | 3893.9 | 1961 |
| 59 | 56167 | Daofu | 30°59′ | 101°07′ | 2957.2 | 1957 |
| 60 | 56172 | Maerkang | 31°54′ | 102°14′ | 2664.4 | 1953 |
| 61 | 56173 | Hongyuan | 32°48′ | 102°33′ | 3491.6 | 1960 |
| 62 | 56178 | Xiaojin | 31°00′ | 102°21′ | 2369.2 | 1951 |
| 63 | 56182 | Songpan | 32°39′ | 103°34′ | 2850.7 | 1951 |
| 64 | 56202 | Jiali | 30°40′ | 93°17′ | 4488.8 | 1954 |
| 65 | 56227 | Bomi | 29°52′ | 95°46′ | 2736 | 1955 |
| 66 | 56247 | Batang | 30°00′ | 99°06′ | 2589.2 | 1952 |
| 67 | 56251 | Xinlong | 30°56′ | 100°19′ | 3000 | 1959 |
| 68 | 56257 | Litang | 30°00′ | 100°16′ | 3948.9 | 1952 |
| 69 | 56312 | Linzhi | 29°40′ | 94°20′ | 2991.8 | 1954 |
| 70 | 56357 | Daocheng | 29°03′ | 100°18′ | 3727.7 | 1957 |
| 71 | 56374 | Kangding | 30°03′ | 101°58′ | 2615.7 | 1951 |
| 72 | 56385 | Emeishan | 29°31′ | 103°20′ | 3047.4 | 1951 |
| 73 | 56434 | Chayu | 28°39′ | 97°28′ | 2327.6 | 1969 |
| 74 | 56444 | Deqin | 28°29′ | 98°55′ | 3319 | 1953 |
| 75 | 56459 | Muli | 27°56′ | 101°16′ | 2426.5 | 1959 |
| 76 | 56462 | Jiulong | 29°00′ | 101°30′ | 2987.3 | 1952 |
| 77 | 56479 | Zhaojue | 28°00′ | 102°51′ | 2132.4 | 1956 |
| 78 | 56543 | Zhongdian | 27°50′ | 99°42′ | 3276.7 | 1958 |
| 79 | 56548 | Weixi | 27°10′ | 99°17′ | 2326.1 | 1954 |
| 80 | 56565 | Yanyuan | 27°26′ | 101°31′ | 2545 | 1956 |
| 81 | 56651 | Lijiang | 26°52′ | 100°13′ | 2392.4 | 1951 |
| 82 | 56684 | Huize | 26°25′ | 103°17′ | 2110.5 | 1952 |
| 83 | 56691 | Weining | 26°52′ | 104°17′ | 2237.5 | 1951 |
| 84 | 55585 | Nimu * | 29°26′ | 90°10′ | 3809.4 | 1973 |
| 85 | 55248 | Gaize * | 32°09′ | 84°25′ | 4414.9 | 1973 |
| 86 | 55437 | Pulan * | 30°17′ | 81°15′ | 4900 | 1973 |
| 87 | 55569 | Lazi * | 29°05′ | 87°36′ | 4000 | 1977 |
| 88 | 56331 | Zuogong * | 29°40′ | 97°50′ | 3780 | 1978 |
References
- Intergovernmental Panel on Climate Change (IPCC). Climate Change 2013: The Physical Science Basis: Summary for Policymakers; Cambridge University Press: Cambridge, UK, 2013; pp. 1–30. [Google Scholar]
- Gregory, J.M.; Oerlemans, J. Simulated future sea-level rise due to glacier melt based on regionally and seasonally resolved temperature changes. Nature 1998, 391, 474–476. [Google Scholar] [CrossRef]
- Yao, T.; Wang, Y.; Liu, S.; Pu, J.; Shen, Y.; Lu, A. Recent glacial retreat in High Asia in China and its impact on water resource in Northwest China. Sci. China Earth Sci. 2004, 47, 1065–1075. [Google Scholar] [CrossRef]
- Roudier, P.; Andersson, J.C.M.; Donnelly, C.; Feyen, L.; Greuell, W.; Ludwig, F. Projections of future floods and hydrological droughts in Europe under a +2 °C global warming. Clim. Chang. 2016, 135, 341–355. [Google Scholar] [CrossRef]
- Ren, G.; Ding, Y.; Tang, G. An overview of Mainland China temperature change research. J. Meteorol. Res. 2017, 31, 3–16. [Google Scholar] [CrossRef]
- Xiao, B.; Ma, Y.; Zhao, T.; Yan, S. Long-term t rends in extreme Temperature over China Mainland based on homogenized dataset. Meteorol. Mon. 2016, 42, 339–346. [Google Scholar]
- Zhou, Y.; Ren, G. Variation characteristics of extreme temperature indices in mainland China during 1956–2008. Clim. Environ. Res. 2010, 15, 405–417. [Google Scholar]
- Wang, D.; You, Q.; Jiang, Z.; Wu, W.; Jiao, Y. Analysis of extreme temperature changes in China based on the homogeneity-adjusted data. Plateau Meteorol. 2016, 35, 1352–1363. [Google Scholar]
- Li, Q.; Yang, S.; Xu, W.; Wang, X.L.; Jones, P.; Parker, D.; Zhou, L.; Feng, Y.; Gao, Y. China experiencing the recent warming hiatus. Geophys. Res. Lett. 2015, 42, 889–898. [Google Scholar] [CrossRef]
- Beniston, M.; Rebetez, M. Regional behavior of minimum temperatures in Switzerland for the period 1979–1993. Theor. Appl. Climatol. 1996, 53, 231–243. [Google Scholar] [CrossRef]
- Giorgi, F.; Hurrell, J.W.; Marinucci, M.R.; Beniston, M. Elevation dependency of the surface climate change signal: A model study. J. Clim. 2010, 10, 288–296. [Google Scholar] [CrossRef]
- Fyfe, J.C.; Flato, G.M. Enhanced climate change and its detection over the Rocky Mountains. J. Clim. 2011, 12, 230–243. [Google Scholar] [CrossRef]
- Yan, L.; Liu, X. Has climatic warming over the Tibetan Plateau paused or continued in recent years. J. Earth Ocean Atmos. Sci. 2014, 1, 13–28. [Google Scholar]
- Mountain Research Initiative EDW Working Group; Pepin, N.; Bradley, R.S.; Diaz, H.F.; Baraer, M.; Caceres, E.B.; Forsythe, N.; Fowler, H.; Greenwood, G.; Hashmi, M.Z.; et al. Elevation-dependent warming in mountain regions of the world. Nat. Clim. Chang. 2015, 5, 424–430. [Google Scholar]
- Jiang, D.; Ding, Z.; Drange, H.; Gao, Y. Sensitivity of East Asian climate to the progressive uplift and expansion of the Tibetan plateau under the Mid-Pliocene boundary conditions. Adv. Atmos. Sci. 2008, 25, 709–722. [Google Scholar] [CrossRef]
- Wu, G.; Liu, Y.; He, B.; Bao, Q.; Duan, A.; Jin, F.F. Thermal controls on the Asian summer monsoon. Sci. Rep. 2011, 2, 404. [Google Scholar] [CrossRef] [PubMed]
- Yao, T.; Thompson, L.; Yang, W.; Yu, W.; Gao, Y.; Guo, X.; Yang, X.; Duan, K.; Zhao, H.; Xu, B.; et al. Different glacier status with atmospheric circulations in Tibetan Plateau and surroundings. Nat. Clim. Chang. 2012, 2, 663–667. [Google Scholar] [CrossRef]
- Cai, Y.; Li, D.; Tang, M.; Bai, C. Decadal temperature changes over Qinghai-Xizang Plateau in recent 50 years. Plateau Meteorol. 2003, 22, 464–470. [Google Scholar]
- Liu, X.; Chen, B. Climatic warming in the Tibetan Plateau during recent decades. Int. J. Climatol. 2000, 20, 1729–1742. [Google Scholar] [CrossRef]
- Li, L.; Zhu, X.; Qin, N.; Wang, Z.; Wang, Q.; Zhou, L. Study on temperature variations and its anomaly patterns over Qinghai-Xizang Plateau. Plateau Meteorol. 2003, 22, 524–530. [Google Scholar]
- Wang, X.; Pang, G.; Yang, M.; Zhao, G. Evaluation of climate on the Tibetan Plateau using ERA-interim reanalysis and gridded observations during the period 1979–2012. Quat. Int. 2017, 444, 76–86. [Google Scholar] [CrossRef]
- Guo, D.; Wang, H. The significant climate warming in the Northern Tibetan Plateau and its possible causes. Int. J. Climatol. 2012, 32, 1775–1781. [Google Scholar] [CrossRef]
- Xu, Y.; Knudby, A.; Ho, H.C.; Shen, Y.; Liu, Y.H. Warming over the Tibetan Plateau in the last 55 years based on area-weighted average temperature. Reg. Environ. Chang. 2017, 1–9. [Google Scholar] [CrossRef]
- Zheng, R.; Li, D.; Jiang, Y. New Characteristics of temperature change over Qinghai-Xizang Plateau on the background of global warming. Plateau Meteorol. 2015, 34, 1531–1539. [Google Scholar]
- Liu, X.; Yin, Z.Y.; Shao, X.; Qin, N. Temporal trends and variability of daily maximum and minimum, extreme temperature events, and growing season length over the Eastern and Central Tibetan Plateau during 1961–2003. J. Geophys. Res. Atmos. 2006, 111, 4617–4632. [Google Scholar] [CrossRef]
- Szentimrey, T. The Manual of Multiple Analysis of Series for Homogenization (MASH), Hungarian Meteorological Service, Budapest, Hungary. 2008. Available online: http://www.met.hu/pages/seminars/seeera/index.html (accessed on 5 November 2017).
- Wang, X.L. Accounting for autocorrelation in detecting mean-shifts in climate data series using the penalized maximal tor F test. J. Appl. Meteorol. Climatol. 2008, 47, 2423–2444. [Google Scholar] [CrossRef]
- Wang, X.L. Penalized maximal F-test for detecting undocumented mean-shifts without trend change. J. Atmos. Ocean. Technol. 2008, 25, 368–384. [Google Scholar] [CrossRef]
- Menne, M.J.; Williams, J.R.; Claude, N. Homogenization of temperature series via pairwise comparisons. J. Clim. 2009, 22, 1700–1717. [Google Scholar] [CrossRef]
- Zhang, Y.; Li, B.; Zheng, D. A discussion on the boundary and area of the Tibetan Plateau in China. Geogr. Res. 2002, 21, 1–8. [Google Scholar]
- Zhang, X.; Aguilar, E.; Sensoy, S.; Melkonyan, H.; Tagiyeva, U.; Ahmed, N.; Kutaladze, N.; Rahimzadeh, F.; Taghipour, A.; Hantosh, T.H.; et al. Trends in Middle East climate extreme indices from 1950 to 2003. J. Geophys. Res. Atmos. 2005, 110, 3159–3172. [Google Scholar] [CrossRef]
- You, Q.; Kang, S.; Aguilar, E.; Yan, Y. Changes in daily climate extremes in the Eastern and Central Tibetan Plateau during 1961–2005. J. Geophys. Res. Atmos. 2008, 113, 1639–1647. [Google Scholar] [CrossRef]
- Cao, L.; Ju, X.; Liu, X. Penalized maximal f test for the homogeneity study of the annual mean wind speed over China. Meteorol. Mon. 2010, 36, 52–56. [Google Scholar]
- Wang, X.L. Comments on “Detection of undocumented changepoints: A revision of the two-phase regression model”. J. Clim. 2003, 16, 3383–3385. [Google Scholar] [CrossRef]
- Cao, L.; Yan, Z.W. Progress in research on homogenization of climate data. Adv. Clim. Chang. Res. 2012, 3, 59–67. [Google Scholar]
- Wan, G.; Yang, M.; Liu, Z.; Wang, X.; Liang, X. The precipitation variations in the Qinghai-Xizang (Tibetan) Plateau during 1961–2015. Atmosphere 2017, 8, 80. [Google Scholar] [CrossRef]
- Cao, L.; Yan, Z.; Zhao, P.; Zhu, Y.; Yu, Y.; Tang, G.L.; Jones, P. Climatic warming in China during 1901–2015 based on an extended dataset of instrumental temperature records. Environ. Res. Lett. 2017, 12, 064005. [Google Scholar] [CrossRef]
- You, Y.; Xu, H.; Wan, Y.; Wang, X. Detecting and analysis on average temperature data homogeneity of Sichuan. Plateau Mt. Meteorol. Res. 2009, 29, 45–48. [Google Scholar]
- Zhu, X.; Li, L.; Li, Q.; Wang, Z.; Wang, Q.; Shi, X. Homogeneity of historical climate data based on relocation data in Qinghai Province. J. Qinghai Meteorol. 2010, 2, 6–9. [Google Scholar]
- Mann, H.B. Non-parametric Tests against Trend. Econometrica 1945, 13, 245–259. [Google Scholar] [CrossRef]
- Kendall, M.G. Rank-Correlation Measures; Charles Griffin: London, UK, 1975; p. 202. [Google Scholar]
- Duan, A.; Xiao, Z. Does the climate warming hiatus exist over the Tibetan Plateau? Sci. Rep. 2015, 5, 13711. [Google Scholar] [CrossRef] [PubMed]
- Wang, X.; Pang, G.; Yang, M. Precipitation over the Tibetan Plateau during recent decades: A review based on observations and simulations. Int. J. Climatol. 2017. [Google Scholar] [CrossRef]
- Cui, X.; Graf, H.F. Recent land cover changes on the Tibetan Plateau: A review. Clim. Chang. 2009, 94, 47–61. [Google Scholar] [CrossRef]
- Wang, X.; Yang, M.; Liang, X.; Pang, G.; Wan, G.; Chen, X.; Luo, X. The dramatic climate warming in the Qaidam Basin, Northeastern Tibetan Plateau, during 1961–2010. Int. J. Climatol. 2014, 34, 1524–1537. [Google Scholar] [CrossRef]






| ID | Station Name | (°C decade−1) | Relocation Year | Changepoint Year |
|---|---|---|---|---|
| 56065 | Henan | 0.621 | 1981 | 1981 |
| 56459 | Muli | 0.588 | 1990 | 1990 |
| 51886 | Mangya | 0.507 | 1987 | 1987 |
| Temperature | Periods | Spring | Summer | Autumn | Winter | Annual |
|---|---|---|---|---|---|---|
| Tmean | 1971–1997 | 0.10 | 0.26 * | 0.28 | 0.21 | 0.16 * |
| 1980–1997 | 0.23 | 0.29 | 0.28 | 0.02 | 0.14 | |
| 1998–2015 | 0.26 | 0.21 | 0.13 | −0.05 | 0.30 * | |
| 1971–2015 | 0.27 * | 0.29 * | 0.34 * | 0.36 * | 0.30 * | |
| Tmax | 1971–1997 | −0.05 | 0.21 | 0.27 | 0.10 | 0.06 |
| 1980–1997 | 0.07 | 0.31 | 0.09 | −0.13 | 0.00 | |
| 1998–2015 | 0.15 | 0.28 | 0.08 | −0.22 | 0.21 | |
| 1971–2015 | 0.19 * | 0.21 * | 0.32 * | 0.33 * | 0.27 * | |
| Tmin | 1971–1997 | 0.32 * | 0.29 * | 0.29 | 0.34 * | 0.28 * |
| 1980–1997 | 0.41 * | 0.17 | 0.31 | 0.17 | 0.25 * | |
| 1998–2015 | 0.45 * | 0.25 | 0.22 | 0.13 | 0.29 * | |
| 1971–2015 | 0.36 * | 0.42 * | 0.40 * | 0.43 * | 0.39 * |
© 2017 by the authors. Licensee MDPI, Basel, Switzerland. This article is an open access article distributed under the terms and conditions of the Creative Commons Attribution (CC BY) license (http://creativecommons.org/licenses/by/4.0/).
Share and Cite
Liu, Z.; Yang, M.; Wan, G.; Wang, X. The Spatial and Temporal Variation of Temperature in the Qinghai-Xizang (Tibetan) Plateau during 1971–2015. Atmosphere 2017, 8, 214. https://doi.org/10.3390/atmos8110214
Liu Z, Yang M, Wan G, Wang X. The Spatial and Temporal Variation of Temperature in the Qinghai-Xizang (Tibetan) Plateau during 1971–2015. Atmosphere. 2017; 8(11):214. https://doi.org/10.3390/atmos8110214
Chicago/Turabian StyleLiu, Zhaochen, Meixue Yang, Guoning Wan, and Xuejia Wang. 2017. "The Spatial and Temporal Variation of Temperature in the Qinghai-Xizang (Tibetan) Plateau during 1971–2015" Atmosphere 8, no. 11: 214. https://doi.org/10.3390/atmos8110214
APA StyleLiu, Z., Yang, M., Wan, G., & Wang, X. (2017). The Spatial and Temporal Variation of Temperature in the Qinghai-Xizang (Tibetan) Plateau during 1971–2015. Atmosphere, 8(11), 214. https://doi.org/10.3390/atmos8110214

