Atmospheric Deposition History of Trace Metals and Metalloids for the Last 200 Years Recorded by Three Peat Cores in Great Hinggan Mountain, Northeast China
Abstract
:1. Introduction

2. Material and Methods
2.1. Brief Description of Previous Studies
2.2. Peat pH, Grain-Size, TOC and TN
2.3. Determination of Trace Elements
2.4. Calculations of EFs and ARs
| Sample Number | Depth (cm) | As | Ba | Cd | Co | Cr | Cu | Mo (mg∙kg−1) | Ni | Pb * | Sr | Sb | Tl | Zn | 208Pb/206Pb | 206Pb/207Pb |
|---|---|---|---|---|---|---|---|---|---|---|---|---|---|---|---|---|
| MP1-1 | 0.5 | 3.45 ± 0.07 | 146.5 ± 2.12 | 0.35 ± 0.01 | 2 ± 0 | 11.4 ± 0.42 | 7.15 ± 0.07 | 0.75 ± 0.07 | 5.40 ± 0.14 | 61.15 ± 1.06 | 0.45 ± 0.01 | 0.14 ± 0 | 66.40 ± 1.70 | |||
| MP1-5 | 4.5 | 1.95 ± 0.07 | 81.85 ± 0.07 | 0.1 ± 0 | 1 ± 0 | 5.8 ± 0 | 5.4 ± 0.14 | 0.3 ± 0 | 3 ± 0 | 30 ± 0.14 | 0.26 ± 0.04 | 0.07 ± 0 | 58.85 ± 1.63 | 2.1134 ± 0.0.0025 | 1.1639 ± 0 | |
| MP1-10 | 9.5 | 1.8 ± 0 | 73.75 ± 0.07 | 0.16 ± 0.01 | 0.95 ± 0.07 | 6 ± 0.28 | 3.75 ± 0.07 | 0.3 ± 0 | 3.1 ± 0.14 | 28.75 ± 0.49 | 0.21 ± 0.02 | 0.06 ± 0 | 26.9 ± 0.85 | |||
| MP1-21 | 31 | 1.65 ± 0.07 | 110.5 ± 2.12 | 0.1 ± 0 | 1.4 ± 0 | 6.8 ± 0.28 | 5.5 ± 0 | 0.35 ± 0.07 | 4 ± 0.14 | 42.7 ± 0.57 | 0.23 ± 0.01 | 0.06 ± 0 | 33.6 ± 1.84 | |||
| MP1-22 | 33 | 1.55 ± 0.07 | 83.75 ± 2.62 | 0.12 ± 0 | 1.35 ± 0.07 | 5.05 ± 0.78 | 4.9 ± 0.28 | 0.25 ± 0.07 | 3.6 ± 0 | 35.5 ± 0.57 | 0.18 ± 0.01 | 0.04 ± 0 | 32.3 ± 2.83 | 2.1089 ± 0.0027 | 1.1677 ± 0.0037 | |
| MP1-31 | 51 | 8.35 ± 0.64 | 443.5 ± 3.54 | 0.17 ± 0 | 13.75 ± 0.21 | 66.8 ± 1.7 | 23.4 ± 0.14 | 1.55 ± 0.07 | 29.45 ± 0.49 | 153.5 ± 2.12 | 0.71 ± 0.04 | 0.4 ± 0 | 77.05 ± 1.91 | |||
| MP1-35 | 59 | 6.7 ± 0.28 | 415 ± 5.66 | 0.17 ± 0 | 15.05 ± 0.49 | 60.35 ± 0.78 | 24.65 ± 0.35 | 1.5 ± 0 | 30.5 ± 1.56 | 146 ± 2.83 | 0.57 ± 0.01 | 0.36 ± 0.01 | 54.8 ± 0.99 | 2.0784 ± 0.0005 | 1.1912 ± 0.0030 | |
| MP2-4 | 3.5 | 1.65 ± 0.07 | 35.05 ± 0.78 | 0.15 ± 0 | 0.9 ± 0 | 5 ± 0.28 | 3.75 ± 0.35 | 0.3 ± 0 | 2.7 ± 0 | 18.85 ± 0.07 | 0.22 ± 0 | 0.05 ± 0 | 33.6 ± 1.84 | |||
| MP2-13 | 13 | 2.15 ± 0.07 | 65.05 ± 0.92 | 0.14 ± 0 | 1.5 ± 0 | 7.6 ± 0.14 | 5.85 ± 0.07 | 0.3 ± 0 | 4.05 ± 0.07 | 33.7 ± 0.14 | 0.23 ± 0 | 0.09 ± 0 | 32 ± 1.27 | 2.1100 ± 0 | 1.1666 ± 0.0004 | |
| MP2-14 | 15 | 1.95 ± 0.07 | 71.85 ± 1.63 | 0.19 ± 0 | 1.8 ± 0 | 6.8 ± 0.42 | 4.7 ± 0 | 0.3 ± 0 | 4.1 ± 0.14 | 34.95 ± 0.78 | 0.25 ± 0.01 | 0.08 ± 0 | 29.25 ± 0.64 | |||
| MP2-25 | 37 | 1.75 ± 0.07 | 177 ± 1.41 | 0.1 ± 0 | 3.1 ± 0 | 8.9 ± 0 | 8.25 ± 0.07 | 0.4 ± 0 | 7.95 ± 0.07 | 86.1 ± 0.85 | 0.18 ± 0 | 0.08 ± 0.01 | 91.25 ± 32.17 | |||
| MP2-38 | 63 | 7.1 ± 0.14 | 432.5 ± 0.71 | 0.13 ± 0 | 9.15 ± 0.07 | 64.35 ± 0.64 | 23.15 ± 0.07 | 1.8 ± 0 | 24.5 ± 0.57 | 168 ± 0 | 0.68 ± 0 | 0.42 ± 0 | 78.85 ± 2.90 | 2.0715 ± 0.0007 | 1.1932 ± 0.0008 | |
| MP3-2 | 3 | 17.9 ± 0.99 | 993.5 ± 12.02 | 0.88 ± 0.11 | 18.55 ± 1.48 | 65.25 ± 7 | 103.95 ± 7.14 | 4.4 ± 0.14 | 50.75 ± 5.02 | 109.5 ± 6.36 | 414 ± 7.07 | 2.85 ± 0.35 | 0.99 ± 0.08 | 312.5 ± 31.82 | ||
| MP3-11 | 21 | 15.2 ± 1.13 | 1103.5 ± 14.85 | 0.09 ± 0.01 | 20.85 ± 0.21 | 65.1 ± 5.66 | 96.05 ± 2.19 | 3.85 ± 0.07 | 148.5 ± 34.65 | 45.2 ± 0.85 | 674.5 ± 6.36 | 1.7 ± 0.14 | 0.6 ± 0.01 | 197.5 ± 6.36 | ||
| MP3-22 | 43 | 12.9 ± 0.14 | 1358 ± 2.83 | 0.34 ± 0.02 | 24.95 ± 0.21 | 62.25 ± 2.47 | 101.7 ± 24.47 | 2.6 ± 0 | 128.4 ± 88.53 | 38.8 ± 3.54 | 665 ± 2.83 | 1.45 ± 0.35 | 0.56 ± 0 | 184 ± 0 | ||
| MP3-33 | 65 | 9.8 ± 0 | 859 ± 11.31 | 0.28 ± 0.03 | 15.05 ± 0.07 | 80.65 ± 2.62 | 54.5 ± 3.68 | 2.35 ± 0.07 | 45.3 ± 3.68 | 28.6 ± 0.85 | 377.5 ± 3.54 | 1.35 ± 0.07 | 0.63 ± 0.01 | 101.85 ± 5.87 | ||
| MP3-39 | 77 | 9.1 ± 0.14 | 644 ± 8.49 | 0.17 ± 0.04 | 10.5 ± 0.28 | 76.95 ± 8.41 | 35.25 ± 1.48 | 2.15 ± 0.07 | 32.7 ± 0.85 | 26.65 ± 0.35 | 213.5 ± 2.12 | 2.3 ± 0.14 | 0.65 ± 0.03 | 97.9 ± 1.7 | 2.0830 ± 0.0014 | 1.1887 ± 0.0010 |
| Element | MP1 (n = 7) | MP2 (n = 3) | MP3 (n = 3) | Earth’s Crust [59] | Continental Shale [58] | Continental Crust [60] |
|---|---|---|---|---|---|---|
| Ti (mg/g) | 3.19 ± 1.29 | 4.61 ± 1.68 | 4.13 ± 0.81 | 4.5 | 5.7 | 4.01 |
| As (mg/kg) | 5.36 ± 1.32 | 2.58 ± 0.54 | 1.75 ± 0.15 | 1.7 | 1.8 | 1.7 |
| Cd (mg/kg) | 0.17 ± 0.00 | 0.14 ± 0.03 | 0.21 ± 0.02 | 0.13 | 0.2 | 0.1 |
| Cu (mg/kg) | 14.55 ± 3.87 | 8.26 ± 1.84 | 5.74 ± 0.99 | 47 | 55 | 25 |
| Pb (mg/kg) | 28.36 ± 7.53 | 43.80 ± 16.40 | 36.89 ± 5.20 | 16 | 20 | 14.8 |
| Sb (mg/kg) | 0.62 ± 0.08 | 0.26 ± 0.06 | 0.25 ± 0.17 | 0.5 | 0.2 | 0.3 |
| Zn (mg/kg) | 67.88 ± 14.42 | 70.91 ± 32.52 | 72.71 ± 19.06 | 83 | 70 | 65 |
2.5. Data Statistical Analysis
3. Results
3.1. TOC, TN, Peat pH and Grain-Size Distribution

3.2. Elemental Concentrations and Pb Isotope Ratios
| Element | Min | Max | Mean | Factormax/min | Min | Max | Mean | Factormax/min | Min | Max | Mean | Factormax/min |
|---|---|---|---|---|---|---|---|---|---|---|---|---|
| MP1 (n = 37) | MP2 (n = 38) | MP3 (n = 39) | ||||||||||
| As | 1.25 | 6.91 | 2.84 | 5.53 | 1.58 | 3.70 | 2.08 | 2.34 | 0.78 | 3.20 | 1.62 | 4.10 |
| Ba | 65.29 | 222.95 | 115.36 | 3.41 | 35.08 | 432.25 | 135.54 | 12.32 | 163.64 | 323.39 | 229.62 | 1.98 |
| Cd | 0.08 | 0.35 | 0.15 | 4.38 | 0.09 | 0.29 | 0.14 | 3.22 | 0.05 | 0.39 | 0.17 | 7.80 |
| Cr | 4.00 | 58.79 | 13.34 | 14.70 | 4.98 | 34.35 | 9.11 | 6.90 | 32.96 | 81.36 | 50.15 | 2.47 |
| Co | 0.96 | 11.26 | 2.99 | 11.73 | 0.92 | 9.14 | 2.82 | 9.93 | 3.33 | 11.70 | 5.24 | 3.51 |
| Cu | 2.76 | 29.60 | 8.99 | 10.72 | 4.92 | 10.03 | 7.13 | 2.04 | 3.58 | 10.32 | 5.25 | 2.88 |
| Mo | 0.20 | 1.33 | 0.54 | 6.65 | 0.28 | 0.96 | 0.40 | 3.43 | 0.60 | 1.34 | 0.92 | 2.23 |
| Ni | 2.74 | 20.25 | 6.87 | 7.39 | 2.71 | 20.51 | 6.75 | 7.57 | 8.88 | 21.51 | 13.88 | 2.42 |
| Pb | 14.69 * | 110.40 * | 47.59 * | 7.52 * | 29.49 * | 261.98 * | 78.01 * | 8.88 * | 20.10 | 123.00 | 44.51 | 6.12 |
| Sb | 0.16 | 0.70 | 0.33 | 4.38 | 0.17 | 0.41 | 0.23 | 2.41 | 0.05 | 0.50 | 0.21 | 10.00 |
| Sr | 27.64 | 134.27 | 55.06 | 4.86 | 18.86 | 167.92 | 63.68 | 8.90 | 126.24 | 236.44 | 167.28 | 1.87 |
| Tl | 0.03 | 0.20 | 0.09 | 6.67 | 0.05 | 0.22 | 0.09 | 4.40 | 0.27 | 0.69 | 0.43 | 2.56 |
| Zn | 26.95 | 266.42 | 57.09 | 9.89 | 25.70 | 210.32 | 65.61 | 8.18 | 57.81 | 188.53 | 89.65 | 3.26 |



| Factor Loadings | Partition of Communality (%) | Extraction Communalities (%) | |||||
|---|---|---|---|---|---|---|---|
| PC1 | PC2 | PC3 | PC1 | PC2 | PC3 | Total | |
| Tl | 0.941 | −0.138 | 0.096 | 88.5 | 1.9 | 0.9 | 91.4 |
| Cr | 0.941 | −0.097 | −0.123 | 88.5 | 0.9 | 1.5 | 90.9 |
| Sr | 0.932 | −0.147 | −0.271 | 86.9 | 2.2 | 7.3 | 96.3 |
| Ni | 0.899 | 0.191 | −0.264 | 80.8 | 3.6 | 6.9 | 91.4 |
| Mo | 0.877 | 0.310 | −0.104 | 76.9 | 9.6 | 1.1 | 87.6 |
| Ba | 0.859 | 0.053 | −0.352 | 73.8 | 0.3 | 12.4 | 86.5 |
| Co | 0.777 | 0.352 | −0.394 | 60.4 | 12.4 | 15.5 | 88.3 |
| As | −0.006 | 0.957 | −0.048 | 0 | 91.6 | 0.2 | 91.9 |
| Sb | 0.086 | 0.916 | 0.032 | 0.7 | 83.9 | 0.1 | 84.8 |
| Cu | −0.047 | 0.865 | 0.025 | 0.2 | 74.8 | 0.1 | 75.1 |
| Cd | 0.455 | 0.535 | 0.516 | 20.7 | 28.6 | 26.6 | 76.0 |
| 206Pb/207Pb | 0.316 | 0.068 | −0.894 | 10.0 | 0.5 | 79.9 | 90.3 |
| 208Pb/206Pb | −0.317 | −0.096 | 0.888 | 10.0 | 0.9 | 78.9 | 89.8 |
| Pb | −0.230 | 0.097 | 0.789 | 5.3 | 0.9 | 62.3 | 68.5 |
| Zn | 0.512 | 0.379 | 0.561 | 26.2 | 14.4 | 31.5 | 72.1 |
| Eigenvalue | 6.290 | 3.267 | 3.252 | ||||
| % Variance | 41.9 | 21.8 | 21.7 | ||||
| %Cumulative variance | 41.9 | 63.7 | 85.4 | ||||

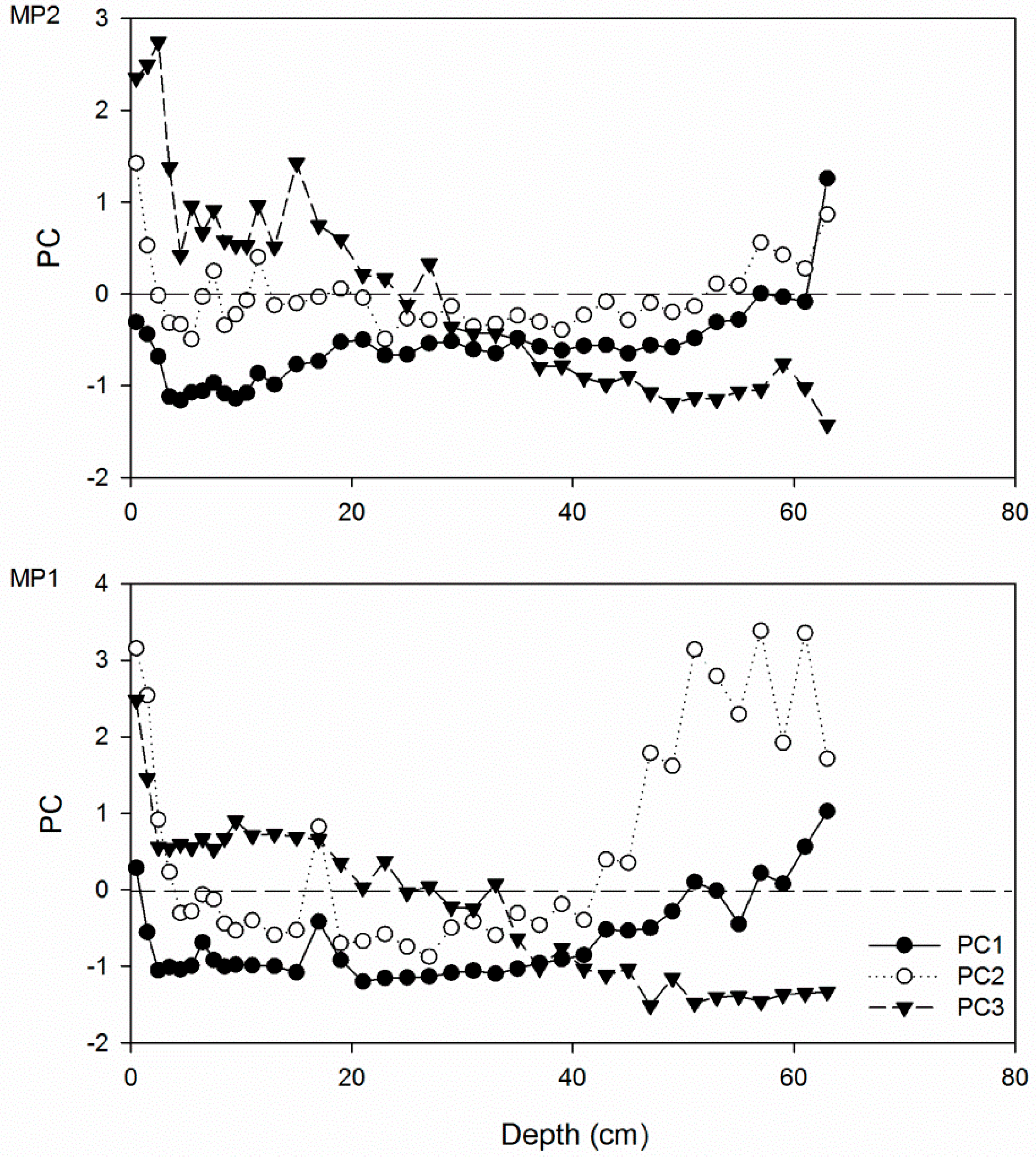
3.3. Principal Component Analysis
3.4. Enrichment Factor Analysis
4. Discussion
4.1. The Ombrotrophic vs. Minerotrophic Character of the Peat


4.2. Validation of the Peat Age
4.3. Geochemical Variability of the Peat Records Derived from PCA Analysis



4.4. Historical Trends of Accumulation Rates for the Pollution Metals

4.5. Sourcing the TMs Pollution by Pb Isotopic Composition


5. Conclusions
Acknowledgments
Author Contributions
Conflicts of Interest
References
- Nriagu, J.O. A history of global metal pollution. Science 1996, 272, 223–224. [Google Scholar] [CrossRef]
- Pacyna, J.M.; Pacyna, E.G. An assessment of global and regional emissions of trace metals to the atmosphere from anthrogpogenic sources worldwide. Environ. Rev. 2001, 9, 269–298. [Google Scholar] [CrossRef]
- Ilyin, I.; Rozovskaya, O.; Travnikov, O.; Varygina, M.; Aas, W. Heavy Metals: Transboundary Pollution of the Environment. Available online: http://emep.int/publ/common_publications.html (accessed on 12 March 2015).
- Le Roux, G.; Aubert, D.; Stille, P.; Krachler, M.; Kober, B.; Cheburkin, A.; Bonani, G.; Shotyk, W. Recent atmospheric Pb deposition at a rural site in southern Germany assessed using a peat core and snowpack, and comparison with other archives. Atmos. Environ. 2005, 39, 6790–6801. [Google Scholar] [CrossRef]
- Bindler, R.; Yu, R.; Hansson, S.; Claben, N.; Karlsson, J. Mining, metallurgy and the historical origin of mercury pollution in lakes and watercourses in Central Sweden. Environ. Sci. Technol. 2012, 46, 7984–7991. [Google Scholar] [CrossRef] [PubMed]
- Martinez Cortizas, A.; Peiteado Varela, E.; Bindler, R.; Biester, H.; Cheburkin, A. Reconstructing historical Pb and Hg pollution in NW Spain using multiple cores from the Chao de Lamoso bog (Xistral Mountains). Geochim. Cosmochim. Acta 2012, 82, 68–78. [Google Scholar]
- Gallego, J.L.R.; Ortiz, J.E.; Sierra, C.; Torres, T.; Llamas, J.F. Multivariate study of trace element distribution in the geological record of Ronanzas peat bog (Asturias, N. Spain). Paleoenvironmental evolution and human activities over the last 8000 cal y BP. Sci. Total Environ. 2013, 454, 16–29. [Google Scholar] [CrossRef] [PubMed]
- Kuttner, A.; Mighall, T.M.; de Vleeschouwer, F.; Mauquoy, D.; Martinez Cortizas, A.; Foster, I.D.L.; Krupp, E. A 3300-year atmospheric metal contamination record from Raeburn Flow raised bog, south west Scotland. J. Archaeol. Sci. 2014, 44, 1–11. [Google Scholar] [CrossRef]
- Hong, S.M.; Candelone, J.P.; Patterson, C.C.; Boutron, C.F. Greenland ice evidence of hemispheric lead pollution two millennia ago by Greek and Roman civilizations. Science 1994, 265, 1841–1843. [Google Scholar] [CrossRef] [PubMed]
- Renberg, I.; Wik-Persson, M.; Emteryd, O. Pre-industrial atmospheric lead contamination detected in Swedish lake sediments. Nature 1994, 368, 323–326. [Google Scholar] [CrossRef]
- Rydberg, J.; Martinez Cortizas, A. Geochemical assessment of an annually laminated lake sediment record from northern Sweden: A multi-core, multi-element approach. J. Paleolimnol. 2014, 51, 499–514. [Google Scholar] [CrossRef]
- Shotyk, W.; Weiss, D.; Appleby, P.; Cheburkin, A.; Frei, R.; Gloor, M.; Kramers, J.D.; Reese, S.; van der Knaap, W. History of atmospheric lead deposition since 12,370 14C y BP from a peat bog, Jura Mountains, Switzerland. Science 1998, 281, 1635–1640. [Google Scholar] [CrossRef] [PubMed]
- Allan, M.; le Roux, G.; de Vleeschouwer, F.; Bindler, R.; Blaauw, M.; Piotrowska, N.; Sikorski, J.; Fagel, N. High-resolution reconstruction of atmospheric deposition of trace metals and metalloids since AD 1400 recorded by ombrotrophic peat cores in Hautes-Fagnes, Belgium. Environ. Poll. 2013, 178, 381–394. [Google Scholar] [CrossRef]
- Shotyk, W. Peat bog archives of atmospheric metal deposition: Geochemical evaluation of peat profiles, natural variations in metal concentrations, and metal enrichment factors. Environ. Rev. 1996, 4, 149–183. [Google Scholar] [CrossRef]
- Shotyk, W.; Weiss, D.; Kramers, J.D.; Frei, R.; Cheburkin, A.K.; Gloor, M.; Reese, S. Geochemistry of the peat bog at Etang de la Gruère, Jura Mountains, Switzerland, and its record of atmospheric Pb and lithogenic trace metals (Sc, Ti, Y, Zr, and REE) since 12,370 14C y BP. Geochim. Cosmochim. Acta 2001, 65, 2337–2360. [Google Scholar] [CrossRef]
- Bindler, R. Mired in the past-looking to the future: Geochemistry of peat and the analysis of past environmental changes. Glob. Planet. Change 2006, 53, 209–221. [Google Scholar] [CrossRef]
- Damman, A.W.H. Hydrology, development, and biogeochemistry of ombrogenous peat bog with special reference to nutrient relocation in a western Newfoundland bog. Can. J. Bot. Sci. 1986, 64, 384–394. [Google Scholar] [CrossRef]
- Shotyk, W.; Krachler, M.; Martinez Cortizas, A.; Cheburkin, A.; Emons, H. A peat bog record of natural, pre-anthropogenic enrichments of trace elements in atmospheric aerosols since 12,370 14C y BP, and their variation with Holocene climate change. Earth Planet. Sci. Lett. 2002, 199, 21–37. [Google Scholar] [CrossRef]
- Madsen, P. Peat bog records of atmospheric mercury deposition. Nature 1981, 293, 127–130. [Google Scholar] [CrossRef]
- Martinez Cortizas, A.; Pontevedra-Pombal, X.; Garcia-Rodeja, E.; Novoa-Munoz, J.C.; Shotyk, W. Mercury in a Spanish peat bog: Archive of climate change and atmospheric metal deposition. Science 1999, 284, 939–942. [Google Scholar] [CrossRef] [PubMed]
- Shotyk, W.; Goodsite, M.E.; Roos-Barraclough, F.; Frei, R.; Heinemeier, J.; Asmund, G.; Lohse, C.; Hansen, T.S. Anthropogenic contributions to atmospheric Hg, Pb and As accumulation recorded by peat cores from southern Greenland and Denmark dated using the 14C “bomb pulse curve”. Geochim. Cosmochim. Acta 2003, 67, 3991–4011. [Google Scholar] [CrossRef]
- Coggins, A.M.; Jenning, S.G.; Ebinghaus, R. Accumulation rates of the heavy metals lead, mercury and cadmium in ombrotrophic peatlands in the west of Ireland. Atmos. Environ. 2006, 40, 260–278. [Google Scholar] [CrossRef]
- Pratte, S.; Mucci, A.; Garneau, M. Historical records of atmospheric metal deposition along the St. Lawrence Valley (eastern Canada) based on peat bog cores. Atmos. Environ. 2013, 79, 831–840. [Google Scholar] [CrossRef]
- Shi, W.F.; Feng, X.B.; Zhang, G.; Ming, L.L.; Yin, R.S.; Zhao, Z.Q.; Wang, J. High-precision measurement of mercury isotope ratios of atmospheric deposition over the past 150 years recorded in a peat core taken from Hongyuan, Sichuan Province, China. Chin. Sci. Bull. 2011, 56, 877–882. [Google Scholar] [CrossRef]
- Tang, S.; Huang, Z.; Liu, J.; Yang, Z.; Lin, Q. Atmospheric mercury deposition recorded in an ombrotrophic peat core from Xiaoxing’an Mountain, Northeast China. Environ. Res. 2012, 118, 145–148. [Google Scholar] [CrossRef] [PubMed]
- Bao, K.; Xia, W.; Lu, X.; Wang, G. Recent atmospheric lead deposition recorded in an ombrotrophic peat bog of Great Hinggan Mountains, Northeast China, from 210Pb and 137Cs dating. J. Environ. Radioact. 2010, 101, 773–779. [Google Scholar] [CrossRef] [PubMed]
- Ferrat, M.; Weiss, D.; Dong, S.; Large, D.J.; Spiro, B.; Sun, Y.; Gallagher, K. Lead atmospheric deposition rates and isotopic trends in Asian dust during the last 9.5 kyr recorded in an ombrotrophic peat bog on the eastern Qinghai-Tibetan Plateau. Geochim. Cosmochim. Acta 2012, 82, 4–22. [Google Scholar] [CrossRef]
- Bao, K.; Xing, W.; Yu, X.; Zhao, H.; McLaughlin, N.; Lu, X.; Wang, G. Recent atmospheric dust deposition in an ombrotrophic peat bog in Great Hinggan Mountain, Northeast China. Sci. Total Environ. 2012, 431, 33–45. [Google Scholar] [CrossRef] [PubMed]
- Ferrat, M.; Weiss, D.; Spiro, B.; Large, D.J. The inorganic geochemistry of a peat deposit on the eatern Qinghai-Tibetan Plateau and insights into changing atmospheric circulation in central Asia during the Holocene. Geochim. Cosmochim. Acta 2012, 91, 7–31. [Google Scholar] [CrossRef]
- Grybos, M.; Davranche, M.; Gruau, G.; Petitjean, P. Is trace metal release in wetland soils controlled by organic matter mobility or Fe-oxyhydroxides reduction? Int. J. Coal Geol. 2007, 314, 490–501. [Google Scholar]
- Rausch, N.; Ukonmaanaho, L.; Nieminen, T.; Krachler, M.; Shotyk, W. Porewater evidence of metal (Cu, Ni, Co, Zn, Cd) mobilization in an acidic, ombrotrophic bog impacted by a smelter, Harjavalta, Finland and comparison with references sites. Environ. Sci. Technol. 2005, 39, 8207–8213. [Google Scholar] [CrossRef] [PubMed]
- Biester, H.; Hermanns, Y.M.; Martinez Cortizas, A. The influence of organic matter decay on the distribution of major and trace elements in ombrotrophic mires—A case study from the Harz Mountains. Geochim. Cosmochim. Acta 2012, 84, 126–136. [Google Scholar] [CrossRef]
- MacKenzie, A.B.; Logan, E.M.; Cook, G.T.; Pulford, I.D. Distribution, inventories and isotopic composition of lead in 210Pb-dated peat cores from contrasting biogeochemical environments: Implication for lead mobility. Sci. Total Environ. 1998, 223, 25–35. [Google Scholar] [CrossRef]
- Le Roux, G.; Weiss, D.; Grattan, J.; Givelet, N.; Krachler, M.; Cheburkin, A.; Rausch, N.; Kober, B.; Shotyk, W. Identifying the sources and timing of ancient and medieval atmospheric lead pollution in England using a peat profile from Lindow bog, Manchester. J. Environ. Monit. 2004, 6, 502–510. [Google Scholar] [CrossRef] [PubMed]
- Mihaljevic, M.; Zuna, M.; Ettler, V.; Sebek, O.; Strnad, L.; Golias, V. Lead fluxes, isotopic and concentration profiles in a peat deposit near a lead smelter (Pribram, Czech Republic). Sci. Total Environ. 2006, 372, 334–344. [Google Scholar] [CrossRef] [PubMed]
- Weiss, D.; Shotyk, W.; Kramers, J.D.; Gloor, M. Sphagnum mosses as archives of recent and past atmospheric lead deposition in Switzerland. Atmos. Environ. 1999, 33, 3751–3763. [Google Scholar] [CrossRef]
- Shotyk, W. Review of the inorganic geochemistry of peats and peatland waters. Earth Sci. Rev. 1988, 25, 95–176. [Google Scholar] [CrossRef]
- Novak, M.; Pacherova, P. Mobility of trace metals in pore waters of two Central European peat bogs. Sci. Total Environ. 2008, 394, 331–337. [Google Scholar] [CrossRef] [PubMed]
- Nieminen, T.; Ukonmaanaho, L.; Shotyk, W. Enrichments of Cu, Ni, Zn, Pb and As in an ombrotrophic peat bog near a Cu-Ni smelter in Southwest Finland. Sci. Total Environ. 2002, 292, 81–89. [Google Scholar] [CrossRef] [PubMed]
- Shotbolt, L.; Buker, P.; Ashmore, M.R. Reconstructing temporal trends in heavy metal deposition: Assessing the value of herbarium moss samples. Environ. Poll. 2007, 147, 120–130. [Google Scholar] [CrossRef]
- Rausch, N.; Nieminen, T.; Ukonmaanaho, L.; le Roux, G.; Krachler, M.; Cheburkin, A.; Bonani, G.; Shotyk, W. Comparison of atmospheric deposition of copper, nickel, cobalt, zinc, and cadmium recorded by Finnish peat cores with monitoring data and emission records. Environ. Sci. Technol. 2005, 39, 5989–5999. [Google Scholar] [CrossRef] [PubMed]
- Krachler, M.; Mohl, C.; Emons, H.; Shotyk, W. Atmospheric deposition of V, Cr, and Ni since the late glacial: Effects of climatic cycles, human impacts, and comparison with crustal abundances. Environ. Sci. Technol. 2003, 37, 2658–2667. [Google Scholar] [CrossRef] [PubMed]
- Ukonmaanaho, L.; Nieminen, T.; Rausch, N.; Shotyk, W. Heavy metal and arsenic profiles in ombrotrophic peat cores from four differently loaded areas in Finland. Water Air Soil Poll. 2004, 58, 277–294. [Google Scholar] [CrossRef]
- Shotyk, W.; Krachler, M.; Chen, B. Antimony in recent, ombrotrophic peat from Switzerland and Scotland: Comparison with natural background values (5320 to 8020 14C y BP) and implications for the global atmospheric Sb cycle. Glob. Biogeochem. Cycles 2004, 18, GB1016. [Google Scholar] [CrossRef]
- Cloy, J.M.; Farmer, J.G.; Graham, M.C.; MacKenzie, A.B. Retention of As and Sb in ombrotrophic peat bogs: Records of As, Sb, and Pb deposition at four Scottish sites. Environ. Sci. Technol. 2009, 43, 1756–1762. [Google Scholar] [CrossRef] [PubMed]
- Rothwell, J.J.; Taylor, K.G.; Chenery, S.R.N.; Cundy, A.B.; Evans, M.G.; Allott, T.E.H. Storage and behavior of As, Sb, Pb, and Cu in bmbrotrophic peat bogs under contrasting water table conditions. Environ. Sci. Technol. 2010, 44, 8497–8502. [Google Scholar] [CrossRef] [PubMed]
- Kylander, M.E.; Bindler, R.; Cortizas, A.M.; Gallagher, K.; Mörth, C.-M.; Rauch, S. A novel geochemical approach to paleorecords of dust deposition and effective humidity: 8500 years of peat accumulation at Store Mosse (the “Great Bog”), Sweden. Quatern. Sci. Rev. 2013, 69, 69–82. [Google Scholar] [CrossRef]
- Margalef, O.; Cañellas-Boltà, N.; Pla-Rabes, S.; Giralt, S.; Pueyo, J.J.; Joosten, H.; Rull, V.; Buchaca, T.; Hernández, A.; Valero-Garcés, B.L.; et al. A 70,000 year multiproxy record of climatic and environmental change from Rano Aroi peatland (Easter Island). Glob. Planet. Change 2013, 108, 72–84. [Google Scholar] [CrossRef]
- Martinez Cortizas, A.; Lopez-Merino, L.; Bindler, R.; Mighall, T.; Kylander, M. Atmospheric Pb pollution in N Iberia during the late Iron Age/Roman times reconstructed using the high-resolution record of La Molina mire (Asturias, Spain). J. Paleolimnol. 2013, 50, 71–86. [Google Scholar] [CrossRef]
- Gao, C.; Bao, K.; Lin, Q.; Zhao, H.; Zhang, Z.; Xing, W.; Lu, X.; Wang, G. Characterizing trace and major elemental distribution in late Holocene in Sanjiang Plain, Northeast China: Paleoenvironmental implications. Quatern. Int. 2014, 349, 376–383. [Google Scholar] [CrossRef]
- Muller, J.; Kylander, M.; Martinez-Cortizas, A.; Wüst, R.A.J.; Weiss, D.; Blake, K.; Coles, B.; Garcia-Sanchez, R. The use of principle component analyses in characterising trace and major elemental distribution in a 55 kyr peat deposit in tropical Australia: Implications to paleoclimate. Geochim. Cosmochim. Acta 2008, 72, 449–463. [Google Scholar] [CrossRef]
- Shotyk, W.; Blaser, P.; Grunig, A.; Cheburkin, A.K. A new approach for quantifying cumulative, anthropogenic, atmospheric lead deposition using peal cores from bogs: Pb in eight Swiss peat bog profiles. Sci. Total Environ. 2000, 249, 281–295. [Google Scholar] [CrossRef] [PubMed]
- Martinez Cortizas, A.; Garcia-Rodeja, E.; Pontevedra Pombal, X.; Novoa Munoz, J.C.; Weiss, D.; Cheburkin, A. Atmospheric Pb deposition in Spain during the last 4600 years recorded by two ombrotrophic peat bogs and implications for the use of peat as archive. Sci. Total Environ. 2002, 292, 33–44. [Google Scholar] [CrossRef] [PubMed]
- Kylander, M.E.; Weiss, D.J.; Cortizas, A.M.; Spiro, B.; Garcia-Sanchez, R.; Coles, B.J. Refining the pre-industrial atmospheric Pb isotope evolution curve in Europe using an 8000 year old peat core from NW Spain. Earth Planet. Sci. Lett. 2005, 240, 467–485. [Google Scholar] [CrossRef]
- Reimann, C.; de Caritat, P. Distinguishing between natural and anthropogenic sources for elements in the environment: Regional geochemical surveys versus enrichment factors. Sci. Total Environ. 2005, 337, 91–107. [Google Scholar] [CrossRef] [PubMed]
- Zhang, Y.; Niu, H. The mire in northeast of China. Chin. Geogr. Sci. 1993, 3, 238–246. [Google Scholar] [CrossRef]
- Bao, K.; Jia, L.; Lu, X.; Wang, G. Grain-size characteristics of sediment in Daniugou peatland in Changbai Mountains, Northeast China: Implications for atmospheric dust deposition. Chin. Geogr. Sci. 2010, 20, 498–505. [Google Scholar] [CrossRef]
- Taylor, S.R. Abundance of chemical elements in the continental crust: A new table. Geochim. Cosmochim. Acta 1964, 28, 1273–1285. [Google Scholar] [CrossRef]
- Vinogradov, A.P. Average contents of chemical elements in the major types of terrestrial igneous rocks. Geokhimiya 1962, 7, 555–571. [Google Scholar]
- Wedephol, K.H. The composition of the continental crust. Geochim. Cosmochim. Acta 1995, 59, 1217–1232. [Google Scholar] [CrossRef]
- Givelet, N.; Roos-Barraclough, F.; Shotyk, W. Predominant anthropogenic sources and rates of atmospheric mercury accumulation in southern Ontario recorded by peat cores from three bogs: Comparison with natural “background” values (past 8000 years). J. Environ. Monit. 2003, 5, 935–949. [Google Scholar] [CrossRef] [PubMed]
- SPSS. Statistical Product and Service Solution, Version 11.5; SPSS Inc.: Chicago, IL, USA, 2002.
- Lin, Q.; Leng, X.; Hong, B. The peat record of 1 ka of climate change in Daxing Anling. Bull. Mineral. Petrol. Geochem. 2004, 23, 15–18. (In Chinese) [Google Scholar]
- Komarek, M.; Ettler, V.; Chrastny, V.; Mihaljevic, M. Lead isotopes in environmental sciences: A review. Environ. Int. 2008, 34, 562–577. [Google Scholar] [CrossRef] [PubMed]
- Bai, Z.; Tian, M.; Wu, F.; Xu, D.; Li, T. Yanshan, Gaoshan—Two active volcanoes of the volcanic cluster in Aershan, Inner Mongolia. Earthq. Res. China 2005, 19, 402–408. [Google Scholar]
- Azoury, S.; Tronczyński, J.; Chiffoleau, J.F.; Cossa, D.; Nakhle, K.; Schmidt, S.; Khalaf, G. Historical records of mercury, lead, and polycyclic aromatic hydrocarbons depositions in a dated sediment core from the Eastern Mediterranean. Environ. Sci. Technol. 2013, 47, 7101–7109. [Google Scholar] [PubMed]
- Xia, W.; Xue, B. Sediment rate determination by 210Pb and 137Cs techniques in Xiaolongwan lake in Jilin province. Quatern. Sci. 2004, 24, 124–125. (In Chinese) [Google Scholar]
- Gan, H.; Lin, J.; Liang, K.; Xia, Z. Selected trace metals (As, Cd and Hg) distribution and contamination in the coastal wetland sediment of the northern Beibu Gulf, South China Sea. Mar. Poll. Bull. 2013, 66, 252–258. [Google Scholar] [CrossRef]
- Krachler, M.; Shotyk, W. Natural and anthropogenic enrichments of molybdenum, thorium, and uranium in a complete peat bog profile, Jura Mountains, Switzerland. J. Environ. Monit. 2004, 6, 418–426. [Google Scholar] [CrossRef] [PubMed]
- Shotyk, W.; Goodsite, M.E.; Roos-Barraclough, F.; Givelet, N.; le Roux, G.; Weiss, D.; Cheburkin, A.K.; Knudsen, K.; Heinemeier, J.; van der Knaap, W.O.; et al. Accumulation rates and predominant atmospheric sources of natural and anthropogenic Hg and Pb on the Faroe Islands. Geochim. Cosmochim. Acta 2005, 69, 1–17. [Google Scholar] [CrossRef]
- Ouyang, H.G.; Mao, J.W.; Santosh, M. Anatomy of a large Ag-Pb-Zn deposit in the Great Xing’an Range, Northeast China: Metallogeny associated with Early Cretaceous magmatism. Int. Geol. Rev. 2013, 55, 411–429. [Google Scholar] [CrossRef]
- Luo, C.; Chen, L.; Zhao, H.; Guo, S.; Wang, G. Challenges facing socioeconomic development as a result of China’s environmental problems, and future prospects. Ecol. Eng. 2013, 60, 199–203. [Google Scholar] [CrossRef]
- Ye, Y.; Fang, X.; Khan, M.A. Migration and reclamation in northeast China in response to climatic disasters in North China over the past 300 years. Reg. Environ. Change 2012, 12, 193–206. [Google Scholar] [CrossRef]
- Cheng, H.; Hu, Y. Lead (Pb) isotopic fingerprinting and its applications in lead pollution studies in China: A review. Environ. Poll. 2010, 158, 1134–1146. [Google Scholar] [CrossRef]
- Chen, J.; Tan, M.; Li, Y.; Zhang, Y.; Lu, W.; Tong, Y.; Zhang, G.; Li, Y. A lead isotope record of Shanghai atmospheric lead emissions in total suspended particles during the period of phasing out of leaded gasoline. Atmos. Environ. 2005, 39, 1245–1253. [Google Scholar] [CrossRef]
- Wang, W.; Liu, X.; Zhao, L.; Guo, D.; Tian, X.; Adams, F. Effectiveness of leaded petrol phase-out in Tianjin, China based on the aerosol lead concentration and isotope abundance ratio. Sci. Total Environ. 2006, 364, 175–187. [Google Scholar] [CrossRef] [PubMed]
- Mukai, H.; Furuta, N.; Fujii, T.; Ambe, Y.; Sakamoto, K.; Hashimoto, Y. Characterization of sources of lead in the urban air of Asia using ratios of stable lead isotopes. Environ. Sci. Technol. 1993, 27, 1347–1356. [Google Scholar] [CrossRef]
- Bollhöfer, A.; Rosman, K. Isotopic source signatures for atmospheric lead: The Northern Hemisphere. Geochim. Cosmochim. Acta 2001, 65, 1727–1740. [Google Scholar] [CrossRef]
© 2015 by the authors; licensee MDPI, Basel, Switzerland. This article is an open access article distributed under the terms and conditions of the Creative Commons Attribution license (http://creativecommons.org/licenses/by/4.0/).
Share and Cite
Bao, K.; Shen, J.; Wang, G.; Roux, G.L. Atmospheric Deposition History of Trace Metals and Metalloids for the Last 200 Years Recorded by Three Peat Cores in Great Hinggan Mountain, Northeast China. Atmosphere 2015, 6, 380-409. https://doi.org/10.3390/atmos6030380
Bao K, Shen J, Wang G, Roux GL. Atmospheric Deposition History of Trace Metals and Metalloids for the Last 200 Years Recorded by Three Peat Cores in Great Hinggan Mountain, Northeast China. Atmosphere. 2015; 6(3):380-409. https://doi.org/10.3390/atmos6030380
Chicago/Turabian StyleBao, Kunshan, Ji Shen, Guoping Wang, and Gaël Le Roux. 2015. "Atmospheric Deposition History of Trace Metals and Metalloids for the Last 200 Years Recorded by Three Peat Cores in Great Hinggan Mountain, Northeast China" Atmosphere 6, no. 3: 380-409. https://doi.org/10.3390/atmos6030380
APA StyleBao, K., Shen, J., Wang, G., & Roux, G. L. (2015). Atmospheric Deposition History of Trace Metals and Metalloids for the Last 200 Years Recorded by Three Peat Cores in Great Hinggan Mountain, Northeast China. Atmosphere, 6(3), 380-409. https://doi.org/10.3390/atmos6030380
