Drought Forecasting Using Stochastic Models in a Hyper-Arid Climate
Abstract
:1. Introduction
2. Methodology
2.1. Study Area
2.2. Data Sources and Preparation

| SPEI Value | SPEI Classes | 
|---|---|
| SPEI ≤ −2 | Extremely dry | 
| −2 < SPEI ≤ −1.5 | Severely dry | 
| −1.5 < SPEI ≤ −1 | Moderately dry | 
| −1 < SPEI ≤ 1 | Near normal | 
| 1 < SPEI ≤ 1.5 | Moderately wet | 
| 1.5 < SPEI ≤ 2 | Severely wet | 
| SPEI ≥ 2 | Extremely wet | 
2.3. Autoregressive Integrated Moving Average (ARIMA) Modelling Approach
2.4. Autoregressive Integrated Moving Average (ARIMA) Model Development
2.4.1. Model Identification
2.4.2. Parameter Estimation
2.4.3. Diagnostic Checking
3. Results and Discussion
3.1. Climate Descriptive Analysis
| No. | Station | Altitude (a.m.s.l) | Time Series | Latitude | Longitude | Tm, °C·year−1 | Pm, mm·year−1 | PET, mm year−1 | 
|---|---|---|---|---|---|---|---|---|
| 1 | Buraydah | 616 | 1950−2011 | 26ᵒ21′51.89″ | 43ᵒ58′18.93″ | 24.28 | 19.92 | 185.29 | 
| 2 | Ar Rass | 692 | 1950−2011 | 25ᵒ51′46.39″ | 43ᵒ29′11.91″ | 26.44 | 15.21 | 184.33 | 
| 3 | Ash Shinan | 914 | 1950−2011 | 27ᵒ09′27.79″ | 42ᵒ26′22.48″ | 22.96 | 18.25 | 161.71 | 
| 4 | Hail | 1005 | 1950−2011 | 27ᵒ26′20.44″ | 41ᵒ41′28.59″ | 21.83 | 20.36 | 152.10 | 
| 5 | Al Ghazalah | 1083 | 1950−2011 | 26ᵒ47′14.72″ | 41ᵒ18′53.97″ | 25.87 | 13.15 | 175.55 | 
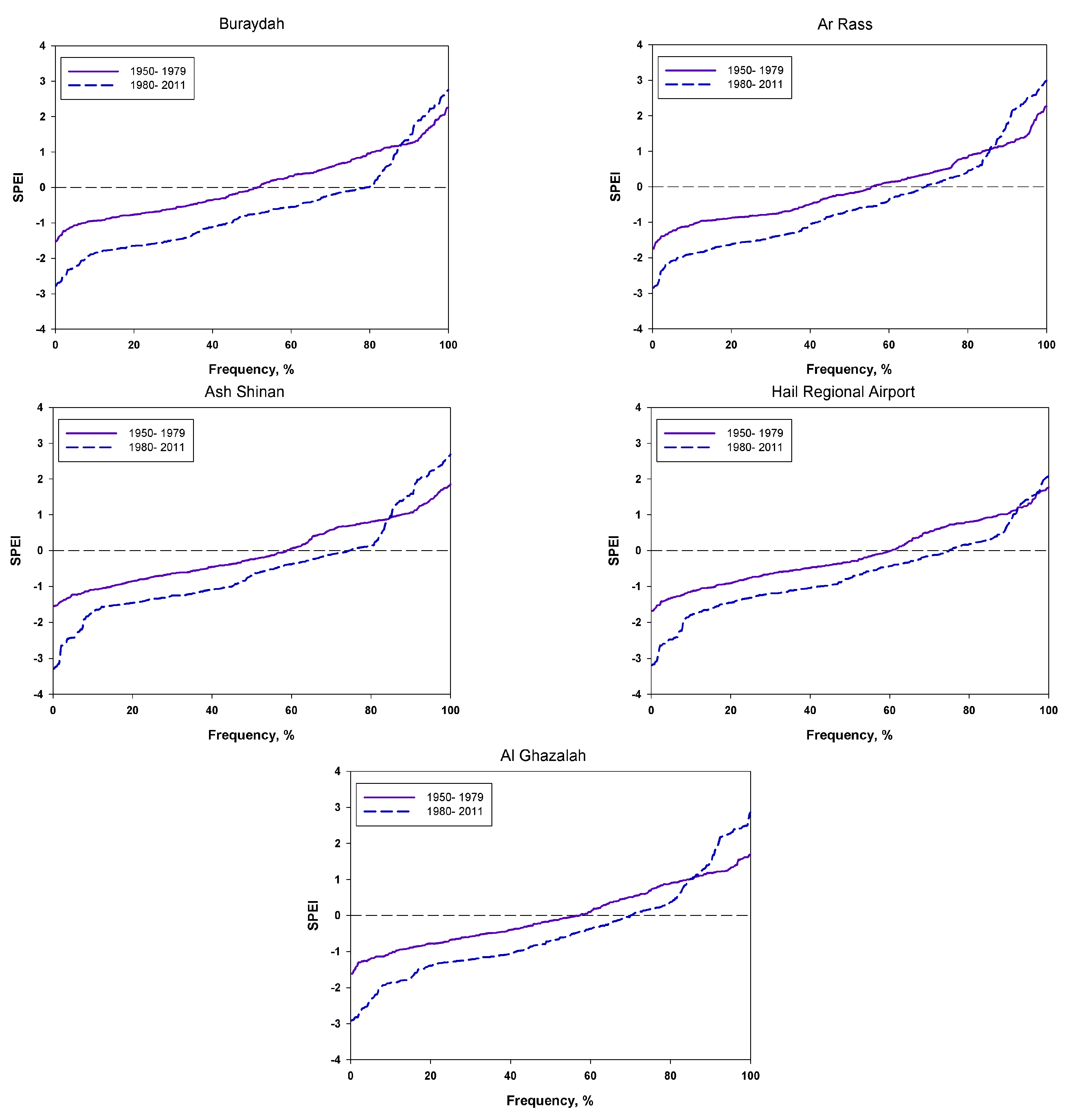
3.2. Drought Frequency Variations




3.3. Autoregressive Integrated Moving Average (ARIMA) Model Development
3.3.1. Model Identification
| Area | SPEI Time Series | ARIMA Model | Fit Measures | Penalty Function Statistics | |||
|---|---|---|---|---|---|---|---|
| R2 | RMSE | MAE | AIC | SBC | |||
| Buraydah | 3 | (1, 0, 2) (0, 0, 0) | 0.670 | 0.698 | 0.542 | 239.254 | 253.091 | 
| 6 | (0, 0, 5) (1, 0, 1) | 0.831 | 0.498 | 0.373 | 467.596 | 499.880 | |
| 12 | (0, 1, 2) (0, 0, 1) | 0.944 | 0.281 | 0.189 | 826.347 | 840.180 | |
| 24 | (1, 1, 0) (2, 0, 1) | 0.972 | 0.192 | 0.128 | 1076.379 | 1094.821 | |
| Ar Rass | 3 | (0, 0, 3) (0, 0, 0) | 0.647 | 0.730 | 0.566 | 210.688 | 224.525 | 
| 6 | (1, 0, 6) (0, 0, 0) | 0.812 | 0.533 | 0.377 | 423.325 | 455.609 | |
| 12 | (0, 1, 1) (0, 0, 1) | 0.931 | 0.318 | 0.204 | 743.279 | 752.500 | |
| 24 | (1, 1, 0) (2, 0, 1) | 0.966 | 0.218 | 0.138 | 993.164 | 1011.607 | |
| Ash Shinan | 3 | (1, 0, 3) (0, 0, 0) | 0.659 | 0.706 | 0.531 | 235.168 | 253.616 | 
| 6 | (0, 0, 5) (0, 0, 0) | 0.830 | 0.494 | 0.363 | 468.527 | 491.588 | |
| 12 | (0, 1, 1) (0, 0, 1) | 0.942 | 0.282 | 0.190 | 821.192 | 830.413 | |
| 24 | (1, 1, 0) (2, 0, 1) | 0.970 | 0.93 | 0.129 | 1071.550 | 1089.993 | |
| Hail | 3 | (1, 0, 3) (0, 0, 0) | 0.656 | 0.708 | 0.534 | 232.990 | 251.438 | 
| 6 | (0, 0, 5) (0, 0, 0) | 0.830 | 0.492 | 0.363 | 470.854 | 493.915 | |
| 12 | (0, 1, 1) (0, 0, 1) | 0.942 | 0.281 | 0.190 | 824.935 | 834.157 | |
| 24 | (1, 1, 0) (2, 0, 1) | 0.970 | 0.194 | 0.130 | 1067.399 | 1,085.842 | |
| Al Ghazalah | 3 | (1, 0, 3) (0, 0, 0) | 0.677 | 0.677 | 0.511 | 261.893 | 280.342 | 
| 6 | (1, 0, 5) (0, 0, 0) | 0.845 | 0.464 | 0.337 | 511.111 | 538.783 | |
| 12 | (0, 1, 2) (0, 0, 1) | 0.948 | 0.263 | 0.179 | 868.984 | 882.816 | |
| 24 | (1, 1, 0) (2, 0, 1) | 0.974 | 0.180 | 0.121 | 1117.324 | 1135.766 | |

3.3.2. Model Parameter Estimate
| SPEI Time Series | Parameter | Lag | Estimate Value | Standard Error | t-value | Sig. | 
|---|---|---|---|---|---|---|
| 3 | AR | 1 | 0.612 | 0.105 | 5.84 | 0.000 | 
| MA | 1 | −0.383 | 0.117 | −3.27 | 0.001 | |
| 2 | −0.361 | 0.104 | −3.46 | 0.001 | ||
| 3 | 0.227 | 0.094 | 2.43 | 0.016 | ||
| 6 | AR | 1 | 0.410 | 0.054 | 7.54 | 0.000 | 
| MA | 1 | −0.738 | 0.048 | −15.49 | 0.000 | |
| 2 | −0.647 | 0.054 | −12.01 | 0.000 | ||
| 3 | −0.522 | 0.052 | −9.99 | 0.000 | ||
| 4 | −0.481 | 0.043 | −11.30 | 0.000 | ||
| 5 | −0.545 | 0.033 | −16.74 | 0.000 | ||
| 12 | MA | 1 | −0.223 | 0.037 | −6.08 | 0.000 | 
| 2 | −0.088 | 0.037 | −2.41 | 0.016 | ||
| MA, Seasonal | 1 | 0.717 | 0.027 | 26.35 | 0.000 | |
| 24 | AR | 1 | 0.249 | 0.036 | 6.98 | 0.000 | 
| AR, Seasonal | 1 | −0.357 | 0.048 | −7.47 | 0.000 | |
| 2 | −0.496 | 0.034 | −14.54 | 0.000 | ||
| MA, Seasonal | 1 | −0.526 | 0.052 | −10.14 | 0.000 | 
3.3.3. Diagnostic Checking of Residuals





3.3.4. Model Forecasting
| Region | City | SPEI Time Series | Parameter | Lag | Estimate Value | SE | t-value | Sig. | 
|---|---|---|---|---|---|---|---|---|
| Al-Qassim | Buraydah | 24 | AR | 1 | 0.204 | 0.036 | 5.64 | 0.000 | 
| -- | AR, Seasonal | 1 | −0.186 | 0.051 | −3.63 | 0.000 | ||
| -- | -- | 2 | −0.536 | 0.032 | −16.77 | 0.000 | ||
| -- | MA, Seasonal | 1 | −0.319 | 0.061 | −5.27 | 0.000 | ||
| Ar Rass | 24 | AR | 1 | 0.172 | 0.036 | 4.73 | 0.000 | |
| -- | AR, Seasonal | 1 | −0.247 | 0.050 | −4.90 | 0.000 | ||
| -- | -- | 2 | −0.525 | 0.033 | −16.14 | 0.000 | ||
| -- | MA, Seasonal | 1 | −0.386 | 0.058 | −6.62 | 0.000 | ||
| Hail | Ash Shinan | 3 | AR | 1 | 0.609 | 0.116 | 5.24 | 0.000 | 
| -- | MA | 1 | −0.373 | 0.128 | −2.91 | 0.004 | ||
| -- | -- | 2 | −0.328 | 0.115 | −2.85 | 0.004 | ||
| -- | -- | 3 | 0.239 | 0.100 | 2.38 | 0.017 | ||
| 24 | AR | 1 | 0.223 | 0.036 | 6.21 | 0.000 | ||
| -- | AR, Seasonal | 1 | −0.304 | 0.050 | −6.08 | 0.000 | ||
| -- | -- | 2 | −0.495 | 0.034 | −14.60 | 0.000 | ||
| -- | MA, Seasonal | 1 | −0.474 | 0.055 | −8.57 | 0.000 | ||
| Hail | 3 | AR | 1 | 0.636 | 0.113 | 5.61 | 0.000 | |
| -- | MA | 1 | −0.343 | 0.126 | −2.73 | 0.007 | ||
| -- | -- | 2 | −0.286 | 0.114 | −2.51 | 0.012 | ||
| -- | -- | 3 | 0.260 | 0.098 | 2.66 | 0.008 | ||
| 24 | AR | 1 | 0.232 | 0.036 | 6.47 | 0.000 | ||
| -- | AR, Seasonal | 1 | −0.358 | 0.049 | −7.28 | 0.000 | ||
| -- | -- | 2 | −0.473 | 0.035 | −13.63 | 0.000 | ||
| -- | MA, Seasonal | 1 | −0.537 | 0.053 | −10.22 | 0.000 | ||
| Al Ghazalah | 3 | AR | 1 | 0.612 | 0.105 | 5.84 | 0.000 | |
| -- | MA | 1 | −0.383 | 0.117 | −3.27 | 0.001 | ||
| -- | -- | 2 | −0.361 | 0.104 | −3.46 | 0.001 | ||
| -- | -- | 3 | 0.227 | 0.094 | 2.43 | 0.016 | ||
| 24 | AR | 1 | 0.249 | 0.036 | 6.98 | 0.000 | ||
| -- | AR, Seasonal | 1 | −0.357 | 0.048 | −7.47 | 0.000 | ||
| -- | -- | 2 | −0.496 | 0.034 | −14.54 | 0.000 | ||
| -- | MA, Seasonal | 1 | −0.526 | 0.052 | −10.14 | 0.000 | 


4. Conclusions
Acknowledgments
Author Contributions
Conflicts of Interest
References
- Sivakumar, M.V.K. Interactions between climate and desertification. Agr. Forest Meteorol. 2007, 142, 143–155. [Google Scholar] [CrossRef]
- Le Houérou, H.N. Climate change, drought and desertification. J. Arid Environ. 1996, 34, 133–185. [Google Scholar] [CrossRef]
- Hirabayashi, Y.; Kanae, S.; Emori, S.; Oki, T.; Kimoto, M. Global projections of changing risks of floods and droughts in a changing climate. Hydrol. Sci. J. 2008, 53, 754–772. [Google Scholar] [CrossRef]
- Sheffield, J.; Wood, E.F.; Roderick, M.L. Little change in global drought over the past 60 years. Nat. Clim. Change 2012, 491, 435–438. [Google Scholar]
- Wilhite, D.A.; Rosenberg, N.J.; Glantz, M.H. Improving federal response to drought. J. Clim. Appl. Meteorol. 1986, 25, 332–342. [Google Scholar] [CrossRef]
- Heim, R.R. A review of twentieth-century drought indices used in the united states. B. Am. Meteorol. Soc. 2002, 83, 1149–1165. [Google Scholar] [CrossRef]
- Belal, A.-A.; El-Ramady, H.; Mohamed, E.; Saleh, A. Drought risk assessment using remote sensing and GIS techniques. Arab. J. Geosci. 2014, 7, 35–53. [Google Scholar] [CrossRef]
- Mishra, A.K.; Singh, V.P. A review of drought concepts. J. Hydrol. 2010, 391, 202–216. [Google Scholar] [CrossRef]
- Sheffield, J.; Wood, E.F. Drought: Past Problems and Future Scenarios; Taylor & Francis: Earthscan, UK, 2012. [Google Scholar]
- Palmer, W.C. Meteorological Drought; U.S. Department of Commerce, Weather Bureau: Washington, DC, USA, 1965. [Google Scholar]
- Shafer, B.A.; Dezman, L. Development of a Surface Water Supply Index (SWSI) to assess the severity of drought conditions in snowpack runoff Areas. In Proceedings of the Western Snow Conference, Reno, NV, USA, 19–23 April 1982.
- Palfai, I. Description and forecasting of droughts in hungary. In Proceedings of the 14th Congress on Irrigation and Drainage (ICID), Rio de Janario, Brazil, 30 April–4 May 1990.
- McKee, T.; Doesken, N.; Kleist, J. The relation of drought frequency and duration to time scales. In Propeedings of the 8th Conference on Applied Climatology, Anaheim, CA, USA, 17–22 January 1993.
- Vicente-Serrano, S.M.; Beguería, S.; López-Moreno, J.I. A multiscalar drought index sensitive to global warming: The standardized precipitation evapotranspiration index. J. Clim. 2010, 23, 1696–1718. [Google Scholar] [CrossRef]
- Karavitis, C.A.; Alexandris, S.; Tsesmelis, D.E.; Athanasopoulos, G. Application of the standardized precipitation index (SPI) in Greece. Water 2011, 3, 787–805. [Google Scholar] [CrossRef]
- Hayes, M.; Svoboda, M.; Wall, N.; Widhalm, M. The Lincoln declaration on drought indices: Universal meteorological drought index recommended. B. Am. Meteorol. Soc. 2010, 92, 485–488. [Google Scholar] [CrossRef]
- Huang, R.; Yan, D.; Liu, S. Combined characteristics of drought on multiple time scales in Huang-Huai-Hai River basin. Arab. J. Geosci. 2014, 2014. [Google Scholar] [CrossRef]
- Dalezios, N.R.; Loukas, A.; Vasiliades, L.; Liakopoulos, E. Severity-duration-frequency analysis of droughts and wet periods in Greece. Hydrol. Sci. J. 2000, 45, 751–769. [Google Scholar] [CrossRef]
- Bordi, I.; Frigio, S.; Parenti, P.; Speranza, A.; Sutera, A. The analysis of the standardized precipitation index in the mediterranean area: Large-scale patterns. Ann. Geophys. 2001, 44, 965–978. [Google Scholar]
- Shahabfar, A.; Eitzinger, J. Spatio-temporal analysis of droughts in semi-arid regions by using meteorological drought indices. Atmosphere 2013, 4, 94–112. [Google Scholar] [CrossRef]
- Beguería, S.; Vicente-Serrano, S.M.; Reig, F.; Latorre, B. Standardized Precipitation Evapotranspiration Index (SPEI) revisited: Parameter fitting, evapotranspiration models, tools, datasets and drought monitoring. Int. J. Clim. 2013, 34, 3001–3023. [Google Scholar] [CrossRef]
- Mossad, A.; Mehawed, H.; El-Araby, A. Seasonal drought dynamics in El-Beheira governorate, Egypt. Am. J. Environ. Sci. 2014, 10, 140–147. [Google Scholar] [CrossRef]
- Vicente-Serrano, S.M.; López -Moreno, J.I.; Drumond, A.; Gimeno, L.; Nieto, R.; Moran-Tejeda, E.; Lorenzo-Lacruz, J.; Beguería, S.; Zabalza, J. Effects of warming processes on droughts and water resources in the NW Iberian Peninsula (1930–2006). Clim. Res. 2011, 48, 203–212. [Google Scholar] [CrossRef]
- Yu, M.; Li, Q.; Hayes, M.J.; Svoboda, M.D.; Heim, R.R. Are droughts becoming more frequent or severe in China based on the standardized precipitation evapotranspiration index: 1951–2010? Int. J. Clim. 2014, 34, 545–558. [Google Scholar] [CrossRef]
- Panu, U.S.; Sharma, T.C. Challenges in drought research: Some perspectives and future directions. Hydrol. Sci. J. 2002, 47, S19–S30. [Google Scholar] [CrossRef]
- Mishra, A.K.; Singh, V.P. Drought modeling—A review. J. Hydrol. 2011, 403, 157–175. [Google Scholar] [CrossRef]
- Box, G.E.P.; Jenkins, G.M.; Reinsel, G.C. Time Series Analysis: Forecasting and Control; Wiley: Hoboken, NJ, USA, 2008. [Google Scholar]
- Mishra, A.K.; Desai, V.R. Drought forecasting using feed-forward recursive neural network. Ecol. Mode. 2006, 198, 127–138. [Google Scholar] [CrossRef]
- Mishra, A.K.; Desai, V.R. Drought forecasting using stochastic models. Stoch. Environ. Res. Ris. Assess. 2005, 19, 326–339. [Google Scholar] [CrossRef]
- Mishra, A.K.; Singh, V.P. Simulating hydrological drought properties at different spatial units in the united states based on Wavelet-Bayesian regression approach. Earth Interact. 2012, 16, 1–23. [Google Scholar] [CrossRef]
- Özger, M.; Mishra, A.K.; Singh, V.P. Long lead time drought forecasting using a wavelet and fuzzy logic combination model: A case study in Texas. J. Hydrometeorol. 2011, 13, 284–297. [Google Scholar] [CrossRef]
- Ozger, M.; Mishra, A.K.; Singh, V.P. Estimating palmer drought severity index using a wavelet fuzzy logic model based on meteorological variables. Int. J. Clim. 2011, 31, 2021–2032. [Google Scholar] [CrossRef]
- Mishra, A.; Desai, V.; Singh, V. Drought forecasting using a hybrid stochastic and neural network model. J. Hydrol. Eng. 2007, 12, 626–638. [Google Scholar] [CrossRef]
- GPCC. Global Precipitation Climatology Center. Available online: http//gpcc.Dwd.De (accessed on 11 March 2015).
- Ferrari, G.T.; Ozaki, V. Missing data imputation of climate datasets: Implications to modeling extreme drought events. Rev. Brasil. Meteorologia 2014, 29, 21–28. [Google Scholar] [CrossRef]
- SPEIbaseV2.0. Global SPEI Database. Available online: http://sac.csic.es/spei/ (accessed on 11 March 2015).
- ODbL. Open Database License (odbl) v1.0. Available online: http://opendatacommons.org/ (accessed on 11 March 2015).
- Li, X.; Zhang, Q.; Ye, X. Dry/wet conditions monitoring based on TRMM rainfall data and its reliability validation over Poyang Lake basin, China. Water 2013, 5, 1848–1864. [Google Scholar] [CrossRef]
- Allen, R.G.; Pereira, L.S.; Raes, D.; Smith, M. Crop Evapotranspiration: Guidelines for Computing Crop Water Requirements; Food and Agriculture Organization of the United Nations (FAO): Rome, Italy, 1998. [Google Scholar]
- Box, G.E.P.; Jenkins, G.M. Time Series Analysis: Forecasting and Control; Holden-Day: Ann Arbor, MI, USA, 1976. [Google Scholar]
- Brockwell, P.J.; Davis, R.A. Introduction to Time Series and Forecasting; Springer New York: New York, NY, USA, 2013. [Google Scholar]
- SPSS20. IBM Software, SPSS. Available online: http://www-01.Ibm.Com/software/analytics/spss/ (accessed on 11 March 2015).
- Yao, Y.; Zhao, S.; Zhang, Y.; Jia, K.; Liu, M. Spatial and decadal variations in potential evapotranspiration of China based on reanalysis datasets during 1982–2010. Atmosphere 2014, 5, 737–754. [Google Scholar] [CrossRef]
- Blenkinsop, S.; Fowler, H. Changes in European drought characteristics projected by the prudence regional climate models. Int. J. Clim. 2007, 27, 1595–1610. [Google Scholar] [CrossRef]
- Weiß, M.; Flörke, M.; Menzel, L.; Alcamo, J. Model-based scenarios of Mediterranean droughts. Adv. Geosci. 2007, 12, 145–151. [Google Scholar] [CrossRef]
- Sönmez, F.K.; Kömüscü, A.; Erkan, A.; Turgu, E. An analysis of spatial and temporal dimension of drought vulnerability in turkey using the standardized precipitation index. Nat. Hazards 2005, 35, 243–264. [Google Scholar] [CrossRef]
- Paulo, A.A.; Rosa, R.D.; Pereira, L.S. Climate trends and behaviour of drought indices based on precipitation and evapotranspiration in Portugal. Nat. Hazards Earth Syst. Sci. 2012, 12, 1481–1491. [Google Scholar] [CrossRef]
- Han, P.; Wang, P.; Tian, M.; Zhang, S.; Liu, J.; Zhu, D. Application of the ARIMA models in drought forecasting using the standardized precipitation index. In Computer and Computing Technologies in Agriculture VI; Li, D., Chen, Y., Eds.; Springer Berlin Heidelberg: Berlin, Germany, 2013; Volume 392, pp. 352–358. [Google Scholar]
© 2015 by the authors; licensee MDPI, Basel, Switzerland. This article is an open access article distributed under the terms and conditions of the Creative Commons Attribution license (http://creativecommons.org/licenses/by/4.0/).
Share and Cite
Mossad, A.; Alazba, A.A. Drought Forecasting Using Stochastic Models in a Hyper-Arid Climate. Atmosphere 2015, 6, 410-430. https://doi.org/10.3390/atmos6040410
Mossad A, Alazba AA. Drought Forecasting Using Stochastic Models in a Hyper-Arid Climate. Atmosphere. 2015; 6(4):410-430. https://doi.org/10.3390/atmos6040410
Chicago/Turabian StyleMossad, Amr, and Abdulrahman Ali Alazba. 2015. "Drought Forecasting Using Stochastic Models in a Hyper-Arid Climate" Atmosphere 6, no. 4: 410-430. https://doi.org/10.3390/atmos6040410
APA StyleMossad, A., & Alazba, A. A. (2015). Drought Forecasting Using Stochastic Models in a Hyper-Arid Climate. Atmosphere, 6(4), 410-430. https://doi.org/10.3390/atmos6040410
 
         
                                                
 
       