Abstract
Coastal Stratocumulus clouds have a diurnal cycle influenced by solar heating and sea-breeze dynamics. These clouds typically thin after sunrise, and some of them fragment and then dissipate, a transition that has proven difficult to predict. In this work, we study the role of sea breeze in the dissipation transition by analyzing observations at two coastal sites, Antofagasta, Chile, and San Diego, CA. Surface measurements of solar irradiance and wind speed allow us to diagnose cloud fragmentation time, dissipation time, and the onset of sea breeze. While both locations differ in meteorological conditions, the transition has a distinctive sequence with similar average times: sunrise, then sea breeze (43 min later), and finally fragmentation (1.25 h) and dissipation (4.1 h). While the sequence suggests that sea breeze may be causing fragmentation, correlations do not support that hypothesis; instead, solar and thermodynamic variables gain relevance. Later dissipation shows correspondence to stronger wind speed, more markedly in Antofagasta. Causality between wind speed and solar irradiance was assessed using Convergent Cross Mapping, showing a bidirectional positive correlation that is dominated by wind speed, more strongly in Antofagasta than in San Diego, highlighting the role of sea breeze in causing changes in cloudiness.
1. Introduction
Present in more than one fifth of the ocean surface, stratocumulus clouds (Sc) are a type of low-altitude cloud whose convective dynamics result from turbulence that is maintained by a combination of radiative cooling of the upper cloud layer, surface heating, and shear [1]. They have a global impact on the climate due to their high capacity to reflect incoming radiation and emit radiation outward, generating a cooling effect on the global net radiative balance [2]; although their future features are uncertain under climate change conditions [3,4]. The interaction between different processes, such as radiation, turbulence, surface fluxes, sea breeze, and precipitation, controls the physics of Sc [5]. Consequently, the thickness and coverage of Sc are strongly modulated by interactions between synoptic variables, complicating the modeling and understanding of the process [6].
Sc clouds are abundant over cold regions of tropical, subtropical, and mid-latitude oceans because the low ocean temperature produces strong stability in the lower troposphere, promoting their formation [5]. The coasts of Chile and California are part of these locations and where we focus the study. Antofagasta, on the coastal edge of northern Chile, has a desert climate, and the atmospheric boundary layer (ABL) is limited by strong subsidence resulting from the coastal circulation and the dominance of the southeastern sector of the South Pacific High [7]. Between May and November, a higher percentage of cloud ceiling occurrence is observed, reaching nearly 50% in August and September [8]. Similarly, southern California presents coastal low-altitude stratiform clouds, stratus, and fog, mainly between May and September due to the strong thermal inversion affecting the area during the summer, generated by the North Pacific High, which varies on interannual and interdecadal time scales related to sea surface temperature variability [9].
The diurnal cycle of Sc is strongly influenced by solar radiation along with many other factors [10,11,12]. During the night, the absence of solar radiation allows the formation of Sc that increases in thickness due to radiative cooling. This growth is countered during the day, as solar heating raises the temperature of the atmospheric boundary layer, causing the cloud base to rise and its thickness to decrease. This thinning can eventually lead to cloud fragmentation and dissipation, especially over coastal regions where the surface fluxes are stronger than over the ocean [13]. Cloud thinning depends on an intricate balance, which may be affected by either surface or tropospheric conditions. While surface fluxes can either thin a cloud by heating or drying the ABL [10], entrainment of upper air can also contribute to thinning by entraining hotter and drier air [14]. Entrainment adds complexity to the cloud thickness evolution on a larger scale by introducing a negative cloud–radiation–turbulent–entrainment feedback that helps to maintain cloud thickness [15], and on a smaller scale through microphysical processes that can determine the distribution of homogeneous and inhomogeneous entrainment mixing along the cloud layer [16]. The sea breeze is also a consequence of the coastal diurnal cycle. Following the coastal solar heating, warm air rises, creating a divergent motion that invites marine air during the day and reverses overnight. However, marine air can be cooler and moister than over land on some occasions, meaning that the sea-breeze advection can mitigate and counteract cloud thinning [17]. This intricate balance could determine if and when the cloud layer dissipates.
The coastal transition of an Sc layer to a fragmented cloud field prior to dissipation has not been extensively studied. There are two observational studies on coastal Sc dissipation stemming from solar irradiance measurements: one proposing methods to detect and characterize the fragmentation and dissipation [18], and another indicating that inland clouds thin at a characteristic rate prior to dissipation [19]. Both of them use clear sky conditions to determine Sc dissipation. Some modeling studies have also focused on the evolution of coastal Sc. First, [17] used Large Eddy Simulations (LES) and a Mixed-Layer model (MLM) to describe the diurnal cycle of the ABL over southern California, showing that a later dissipation can occur for conditions of moister land surfaces (lower Bowen ratio), and by activating sea-breeze advection. Second, [11] used an MLM to explore the effect of 15 meteorological variables on coastal Sc dissipation time over southern California, finding that initial conditions of thicker clouds and deeper ABLs are related to later dissipation times and also remarking that co-variability strongly impacts the actual effect of each variable. Lastly, [20] modeled a coastal Sc over West Africa using LES; in the case studied, the boundary layer decoupled, forming Cumulus clouds underneath the Sc layer prior to fragmentation. They also reported that top wind shear enhanced entrainment and resulted in a 2-h earlier fragmentation, while dissipation occurred only 1 h earlier. None of their diagnostic parameters explained the timing of the fragmentation, and their study was mostly descriptive. Other studies have also linked wind shear to a reduced Sc cloud fraction [21,22], which could potentially contribute to cloud fragmentation. Lastly, a modeling and another observational study continued the analysis of coastal Sc over West Africa, where the first explored the incidence of aerosol concentration on the life cycle of Sc clouds [23], finding that stronger concentrations and smaller particles lead to reduced cloud fraction and earlier dissipation. The second focused on the incidence of initially coupled and decoupled boundary layers on Sc fragmentation [24]. This study identified that there are distinct features for coupled and decoupled transition types, but the cause of the different transitions and the fragmentation drivers were not understood. Therefore, many aspects of the coastal Sc transition remain to be explored.
Convergent Cross Mapping (CCM) is a methodology grounded in nonlinear state space reconstruction, designed to identify causal networks and determine the directionality of interactions between variables. It enables the differentiation between causality and mere correlation within time series data embedded in complex systems, where multiple interacting variables create high-dimensional, dynamic structures [25]. This approach is widely applied across diverse fields, including climatology, epidemiology, and financial regulation, as it facilitates the analysis of complex causal dynamics in systems characterized by nonlinear interactions among multiple factors [26]. The ability to detect causality by inferring it from observational data [27], even when masked by noise and where variables may appear uncorrelated, motivated us to apply this approach to examining the interplay between the sea breeze and global horizontal irradiance (GHI) analyzed in this study.
In this paper, we aim to contribute to the understanding of the coastal stratocumulus (Sc) transition by investigating the influence of a critical factor in its development: the sea breeze. Observational data from two locations, Antofagasta and San Diego, are analyzed to characterize the dynamics and temporal evolution of the key moments in the dissipation process and to establish causality within the system. By leveraging observational data, this study incorporates varying daily conditions into the analysis, accounting for natural and complex co-variability effects. Additionally, the comparison between the two locations facilitates the identification of potential differences in the transition process attributable to environmental factors.
The paper is structured as follows: Section 2 details the data and methodologies employed to detect features of clouds and sea breeze. Section 3 presents the results and discussion, beginning with statistical analyses for both locations, followed by correlation analyses, and concluding with an examination of causality. Finally, Section 4 provides the conclusions and discusses potential avenues for future research.
2. Materials and Methods
2.1. Observations in Antofagasta and San Diego
The location of both sites is shown in Figure 1. For Antofagasta, surface observations, ceilometer data, and radiosondes were gathered at the Cerro Moreno airport (23.4° S, 70.4° W, 135 m above sea level), covering 773 days between December 2013 and February 2016. In the case of San Diego, we combine available data from three close sites in La Jolla, covering 252 days between May 2016 and November 2017. The combined data set includes surface data at the EBU 2 building at UC San Diego (32.88° N, 117.23° W), wind speed at the Scripps Pier (32.86° N, 117.25° W) [28], and radiosondes at the NKX Miramar Corps Airport (32.86° N, 117.13° W) [29].
Figure 1.
Location of measurements in (a) Antofagasta, where all stations are located at Cerro Moreno; and (b) La Jolla in San Diego, with wind measurements at point 1, solar measurements at point 2, and other surface measurements and soundings at point 3.
2.1.1. Surface Observations
In Antofagasta and San Diego, surface observations include a 5 min resolution time series of surface temperature (T), relative humidity (RH), and downwelling shortwave irradiance or global horizontal irradiance (GHI). For Antofagasta, additional observations of dew point temperature () and atmospheric pressure (p) were available. Wind speed magnitude (w) and direction () had a 5 min time resolution in Antofagasta, while in San Diego, the data at the Pier originally had 1 s resolution, so we averaged them to 5 min whenever necessary. Some days in San Diego also had GHI with a 1 s resolution.
These time series are represented by their statistics during the fragmentation and dissipation process. For surface observations, we considered the mean , minimum , maximum , and standard deviation of temperature, relative humidity, and pressure.
2.1.2. Lower Atmosphere
The state of the lower atmosphere is assessed using radiosondes and ceilometer data. We considered the morning radiosondes available at 12 UTC at both sites. We process the vertical profiles following a mixed-layer approximation [11], which consists of the following steps: (i) finding the temperature inversion region, (ii) determining the state of the boundary layer below the inversion, as well-mixed with weighted averages of water mixing ratio and potential temperature, (iii) determining the state of the free troposphere, above inversion and below 3 km, as a weighted average in the case of the water mixing ratio, and as a linear profile in the case of potential temperature. Based on these assumptions, the approximation delivers the following variables: number of cloud layers , lifting condensation level , cloud base height (based on 95% RH), inversion base height , inversion top height , ABL mean water mixing ratio q, inversion jump of water mixing ratio , water mixing ratio at 3 km , ABL mean potential temperature , inversion jump of potential temperature , the potential temperature at 3 km , ABL mean wind speed , ABL mean wind direction , and potential temperature and mixing ratio differences throughout the ABL and –indicators of decoupling [30], as decoupled ABLs could display a larger cloud fraction [31].
In the case of Antofagasta, the ceilometer provided a time series of cloud base height, , with 1 min resolution. Please note that while sounding data are in m above sea level (m a.s.l.), ceilometer data were in m above ground level (m a.g.l.); therefore, data were converted to m a.s.l. for the analysis. As with surface observations, we consider the mean, median, maximum, and standard deviation of cloud base height obtained 1 h prior to the start of the fragmentation for cloud bases lower than 2500 m. In the case of San Diego, we obtained the ceilometer readings at NKX, which only have hourly resolution. Since this is a low resolution for statistics, we obtain the closest reading to the morning radiosonde (12 UTC). Cloud thickness values are obtained as , from radiosonde data, and , from radiosonde and ceilometer data.
2.2. Detecting Cloud Fragmentation and Dissipation
We study the cloud fragmentation and dissipation process by analyzing GHI as a proxy for cloudiness, following [18]. The dissipation process consists of three stages. Starting from a cloudy state at sunrise, first, the cloud layer thins uniformly, which translates into a growing GHI progressively reaching the clear sky irradiance. Eventually, the cloud layer transitions from a thin, homogeneous layer into a broken cloud field, generating intense GHI variability. Finally, the cloud layer completely dissipates, and the GHI becomes that of a clear sky.
In order to gather statistics for both sites, we first perform a visual inspection of days with a morning cloudy-to-clear transition. We analyze the time series of GHI to detect the expected behavior of a cloudy morning that progressively thins until it reaches a clear sky. In other words, we look for initial low GHI values that progressively grow to meet clear sky values. This search results in a dataset of 252 days in San Diego and 773 days in Antofagasta. We find the sunrise time as the first time when the GHI surpasses . Then, we detect the times after cloud dissipation using a clear sky detection algorithm [32], where the GHI is compared to a clear sky model irradiance , adjusted to observations with the Linke turbidity (LT). With that, we compute the clear sky index k, defined as the ratio between GHI and . Then, we find the initial fragmentation time , defined as the first local maximum of GHI with an upper limit of . The fragmentation ends when dissipation occurs at , defined as the first time when the clear skies follow for at least 20 min [32]. The thresholds used for the definition of initial and final fragmentation times, the upper limit of , and the permanence of 20 min were subjected to sensitivity analyses with San Diego data. Varying led to a constant detection of on 59% of the days starting at (Table A1, Appendix A), while varying the posterior clear time between 10 and 35 min led to a constant detection of 59% below 20 min, with longer times decreasing the days detected (Table A2).
2.3. Detecting the Onset of Sea Breeze
With the wind speed w in and direction in degrees, we calculated the zonal wind as , the meridional wind as , recovering the wind speed magnitude as .
During the morning, the solar heating over coastal land drives the local circulation and strengthens the wind speed. We defined the onset of the sea breeze as the sea breeze start time , defined when there is a sustained increase in wind speed magnitude w for at least 20 min after sunrise. The choice of 20 min was subjected to a sensitivity analysis between 10 and 35 min, where longer times led to a later (Table A3).
We also consider the statistics of sea breeze. First, daily features: daily averages of zonal wind , meridional wind , wind direction , and wind speed magnitude ; maximum and minimum daily wind speed magnitude, and ; wind speed magnitude at the onset of the sea breeze ; and wind speed magnitude at sunrise . Second, fragmentation process features: average, maximum, and minimum wind speed magnitude during cloud fragmentation , , ; and the wind speed magnitude at the initial fragmentation time .
2.4. Day Selection
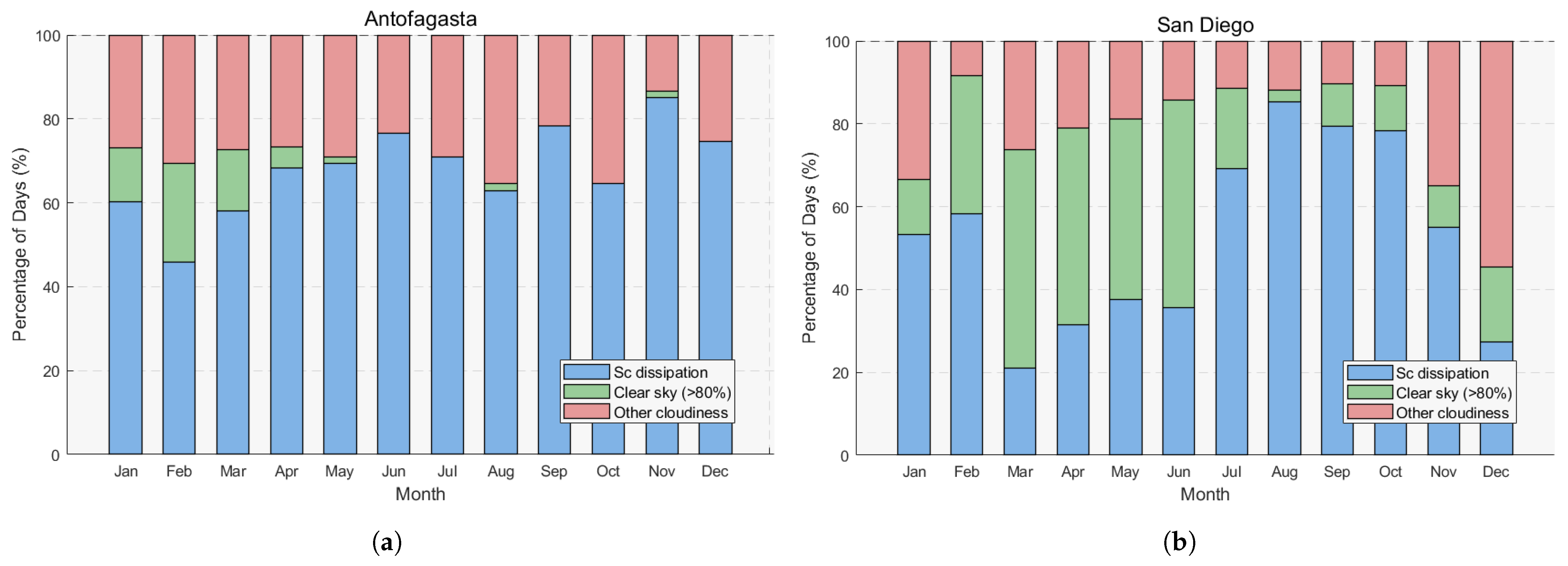
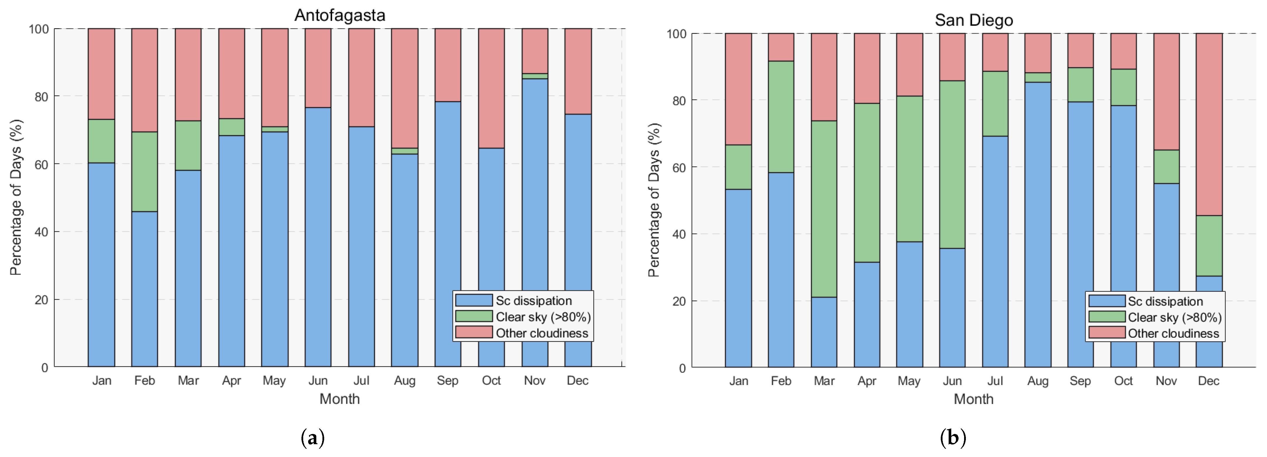
After filtering the days that display a cloudy-to-clear transition in the presence of Sc clouds, only days with existing radiosonde-derived data and a fragmentation process of at least 5 min were considered to observe their distributions and correlations. The resulting case studies in San Diego represent 58% of the total, corresponding to 147 days out of the 252 days studied, and in Antofagasta are 67%, 523 out of 773 days. These locations display a different monthly frequency (Figure 2), and the remaining days correspond to either clear days, days with persisting Sc clouds, or other cloud patterns that did not match the Sc dissipation behavior.
Figure 2.
Monthly distribution of observed Sc dissipation events in (a) Antofagasta and (b) San Diego.
In San Diego, these events are less frequent during the fall (October to December) and more frequent during the summer (June to September), showing an anomaly since we expect a higher Sc presence in southern California between May and September [9]. Analyzing the total monthly percentage of cloudy hours still displays a low cloud cover in May and June, suggesting that the small dataset in San Diego may deviate from previous climatological studies in the region. Contrastingly, in Antofagasta, the frequency is more homogeneous throughout the year, with the lowest occurring in February (local summer) and the highest in November (local spring), matching previous results in the literature [8].
2.5. Correlation and Causality
We study the relationship among the variables of interest by analyzing inter-correlations and exploring causality using Convergent Cross Mapping (CCM). For correlations, all meaningful relationships with significant coefficients were analyzed, with special attention to variables related to sea-breeze and solar irradiance.
CCM is a technique developed for the study of nonlinear complex systems [26], and it allows the identification of causality and determines the direction and sign of the interactions. In this case, we study the relationship between sea breeze and cloudiness by analyzing the time series of wind speed and global horizontal irradiance (GHI). Following [27], we first determine the optimal parameters needed, the time lag , using mutual information, and the embedding dimension E. The nonlinearity of the variables was confirmed by examining the decay in prediction accuracy of the Simplex method for forecasting horizons between 1 and 10 units, as in [26], where each unit corresponds to the sampling interval. In order to preserve the original patterns and the different behavior of these two variables over the year, data were not normalized. The analysis focuses on to evaluate direct causality and the relationship between increasing wind speed and cloud dissipation. The embedding dimension E was determined using the EmbedDimension function from the pyEDM library [33] to adequately capture the underlying system dynamics.
There were some differences in the implementation of CCM for both locations. Since convergence depends on the library size, which is the number of data points in each time series, time resolution matters. Convergence was found to be stable for data series of at least 2500 data points, ensuring good results and minimizing false positives in detecting causal relationships. Therefore, the analysis in Antofagasta covers full 24-h cycles of consecutive days to capture both diurnal and nocturnal cloud formation and dissipation processes, comprising a single continuous time series to meet convergence conditions since GHI and wind speed series had 5 min resolution. After removing the days with missing data, missing values were handled using linear interpolation for each variable. Only nine days contained missing data, with a total of 34 interpolated GHI values (0.015% of the total) and 50 interpolated wind speed values (0.022% of the total). This approach ensured data continuity while preserving the overall trends in the time series. This series was segmented into windows of 8000 data points for evaluation. A total of 785 days, including not only dissipation days, of data recorded at 5-min intervals were analyzed. The embedding dimension E was systematically evaluated across various library sizes, with identified as the most stable and representative value.
In the case of San Diego, since wind speed and GHI had a finer original resolution for some days in the dataset (1 s), the analysis was conducted on a daily time series with 1-min intervals over 46 days using CCM. The analysis covers the period from 11 April to 28 October 2017, focusing on 10 h per day (14:00 to 00:00 UTC, equivalent to 06:00 to 16:00 LT), the period in which cloud dissipation is expected. Outliers and unreliable data points were identified and removed; for example, data from 30 September 2017 were discarded due to inconsistencies. Missing data accounted for 2.72% of the total and corresponded to wind measurements. Before adjusting the frequency to 1 min, a linear interpolation was performed to fill the gaps. The maximum number of consecutive missing values was three, representing only 5% of a 1-min interval. This approach ensured continuity in the dataset while minimizing the impact of missing data on the analysis. The embedding dimension was initially set to for consistency in temporal dynamics comparisons. Although the GHI-Wind Speed relationship indicated an optimal embedding dimension of , the inverse analysis showed inconsistencies; therefore, was maintained for robust comparative analysis.
3. Results and Discussion
3.1. Meteorological Conditions and Cloud Properties
The selected days include a wide variety of meteorological conditions, as portrayed in Figure 3, which shows the distributions of the variables obtained from the radiosonde for both locations. A first glimpse reveals that the ABLs that develop Sc dissipation events in San Diego are shallower, moister, and slightly warmer than those in Antofagasta. It is important to note that since both radiosondes are launched at 12:00 UTC, data correspond to an earlier local standard time (LST) for San Diego (04:00 LST) than Antofagasta (08:00 LST). Many of the analyzed Sc events in San Diego corresponded to low inversions that, in turn, determine low cloud bases. This cannot be directly interpreted as San Diego having shallower ABLs in a climatological sense; rather, the Sc that dissipates has a lower inversion at this location. This relationship of shallower ABLs and dissipation matches previous observations [11] and is explained by deeper ABLs having the opportunity to develop thicker clouds and, therefore, being able to delay dissipation by a reduced effect of surface heating.
Figure 3.
Distributions of the sounding-derived meteorological variables for the dissipation events.
While the radiosonde-derived mean cloud base height was 470 m a.s.l. for all the cases in San Diego, in Antofagasta, this value was 934 m. Comparing these values to the ceilometer readings, we find a taller mean cloud base height of 807 m for San Diego, resulting in a correlation of 0.41 and a difference of 337 m (stemming from cases where the radiosonde and ceilometer differ at surface fog detection or high ceilings), and lower mean values for Antofagasta in the hour prior to fragmentation: a minimum of 830 m, a mean of 866 m, and a maximum of 903 m, resulting in a difference of 68 m and a correlation of 0.84. For the cloud top, represented by the inversion base, the mean height was 523 m in San Diego and 999 m in Antofagasta. This leads to relatively thin cloud layers, with a mean radiosonde cloud thickness of 117 m in San Diego and 87 m in Antofagasta; however, considering the ceilometer readings, it results in a higher average of 226 and 125 m, respectively. This comparison suggests a negative bias of the RH method, meaning that the 95% threshold might be a bit low; however, due to the radiosonde’s low resolution with height, it is hard to use a 100% threshold in order to detect cloud layers.
Previous studies indicate that the cloud base height of Sc in Antofagasta exhibits a daily cycle characterized by minimum values during the early morning and maximum values during the afternoon, ranging between 600 and 700 m a.s.l, reaching up to 800 m during the afternoon [34]. According to Figure 3, Sc dissipation events may correspond to relatively high cloud bases for this location. Otherwise, there could be differences stemming from the few measurement points in that height range, forcing the radiosonde algorithm to interpolate the data. Conversely, the inversion base height is consistent with the expected range between 700 and 1200 m [34].
While the range of ABL potential temperature is similar for both locations, with a mean difference of 1 K, the ABL total mixing ratio q has a larger mean difference of 2.57 g/kg. A closer look at the joint behavior of some of these variables in Figure 4 reveals that while the inversion strength does not have a major correlation with the inversion base height , the ABL mean q and show a linear relationship—with a different slope at each site. This can be interpreted as a stronger correlation between q and for Antofagasta. Another interesting feature is that both locations show a different type of relationship between the main ABL properties: , q, and . While inversion height and ABL mean q are anti-correlated for San Diego, the pair shows no correlation; and in Antofagasta, the opposite occurs: shows a correlation with , but no correlation between and q. In San Diego, this behavior has been previously reported in [11], where the relationship was found to be linear, and therefore q can be determined from the other two, which we can interpret as a dependent variable. For Antofagasta, we can recreate this analysis by studying instead, which is also highly linear (best fit with R2 = 0.88) and therefore allows us to interpret as a dependent variable.
Figure 4.
Relationships between the sounding-derived meteorological variables.
3.2. Sea-Breeze Patterns
To understand the diurnal and annual behavior of the sea breeze, we observe the wind statistics in both sites in Figure 5. While both locations show a diurnal cycle of wind speed magnitude, values are greater in Antofagasta, maxing at 9 m/s, while in San Diego, that limit is near 6 m/s. While in Antofagasta, the meridional wind dominates (Figure 5c), in San Diego, it is the zonal wind (Figure 5d). When observing wind behavior throughout the year, in Antofagasta, the southerly component is dominant in all seasons, with a more intense wind speed in summer. In contrast, there are more seasonal variations in San Diego, with predominant directions that shift from the northwest in winter to the north in the fall and stronger wind speeds in winter. This difference in wind direction is not explained solely by the main coast geography, which is predominantly North-South at both locations and from which we would expect the zonal wind to dominate. The case of Antofagasta differs because the station is located in a peninsula intruding into the southerly coastal winds associated with the South East Pacific Anticyclone. The local sea breeze, the regional circulation, and the terrain west of the station all favor a southerly component of the local near-surface winds.
Figure 5.
Average daily profiles of wind speed magnitude in (a) Antofagasta and (b) San Diego, and wind speed direction in (c) Antofagasta and (d) San Diego during the studied period. Colors represent the frequency as a percentage.
Considering both magnitude and direction, the diurnal cycle is more defined at Antofagasta, starting near sunrise around 06:00 LST until 20:00 LST, where wind magnitude decays overnight. San Diego presents more variability in the diurnal cycle with weaker wind magnitudes and a wind direction that shifts from a nocturnal zonal wind to a northwestern direction during the day.
3.3. Sample Day Transitions
Figure 6 and Figure 7 illustrate the process of cloud fragmentation and dissipation by presenting the GHI, wind speed, and clear sky index for 26 July 2014, in Antofagasta and 12 July 2016, in San Diego. In these, we highlight the key timestamps that define the dissipation process. These cases serve as representative examples to better understand the interaction between solar irradiance and wind and to illustrate the detection methods.
Figure 6.
Analysis for 26 July 2014 in Antofagasta, showing (a) solar irradiance (red), wind speed magnitude (magenta) and its 15-min average (dashed blue), as well as the detected times , and , and (b) the clear sky index for, to display more clearly the detection of the initial and final times of fragmentation, , and .
Figure 7.
Analysis for 12 July 2016 in San Diego, showing (a) solar irradiance (red), wind speed magnitude (magenta) and its 15-min average (dashed blue), as well as the detected times , and , and (b) the clear sky index for, to display more clearly the detection of the initial and final times of fragmentation, , and .
In both locations, morning clouds strongly influence surface GHI, which is lower than it would be with clear skies. In Antofagasta (Figure 6), cloud fragmentation begins around 13:10 UTC, where strong variability starts and persists until 15:50 UTC, after which clear skies prevail with a smooth GHI curve, meaning that dissipation occurs 160 min after sunrise. In San Diego (Figure 7), GHI attenuation is observed since sunrise, and afterward, the cloud layer progressively thins, leading to a monotonic increase in k until fragmentation starts showing GHI variability at 15:15 UTC and concludes at 16:35 UTC, 158 min after sunrise.
The identification of the fragmentation and dissipation times is best understood through the analysis of the clear sky index time series. As an illustrative case, Figure 6b shows that in Antofagasta, the initial time is identified when variability appears, occurring at a k value close to 0.8, while the dissipation time is detected once variability ceases and k stabilizes around 1. In San Diego, Figure 7b reveals a shorter fragmentation period, where variability begins at a k value greater than 1. The detection method effectively captures both types of k curves, demonstrating its robustness across different conditions. While this case provides insight into the dissipation process, similar analyses were conducted for multiple days at each location.
Another key factor influencing the dissipation process is wind speed, as shown in Figure 6a and Figure 7a. In these, the cyan line represents the raw wind speed, while the blue line corresponds to its moving average. In this particular case, wind speed is stronger in San Diego than in Antofagasta. In San Diego, it peaks near noon, whereas in Antofagasta, the maximum occurs closer to sunset. The wind speed profile in Antofagasta follows the solar diurnal cycle, increasing after sunrise. In contrast, in San Diego, the wind speed first rises during the night, followed by a second increase after sunrise, which corresponds to the onset of the sea breeze. This pattern supports the decision to analyze dissipation events only after sunrise. Overall, this case study provides a clearer understanding of the interplay between cloud dissipation, wind dynamics, and surface GHI variability, complementing the broader analysis performed across multiple days and locations.
3.4. The Fragmentation and Dissipation Process
Despite the differences in sea breeze and cloud conditions in both sites, we find that, on average, the fragmentation and dissipation processes are strikingly similar. In terms of mean times, as shown in Figure 8, the process at San Diego (Antofagasta) starts at sunrise, 52 min (33 min) later occurs the onset of the sea breeze, followed by the start of the fragmentation at 1.2 h (1.3 h), and ending with dissipation at 3.8 h (4.4 h), followed by clear skies. Standard deviations in San Diego (Antofagasta) of are 42 min (36 min), of are 39 min (42 min), and of are 93 min (103 min). This transition where we first have sea breeze and then fragmentation occurs not only in the mean sense but also for the majority of the cases: 69% in San Diego and 84% in Antofagasta, and rarely occurs at the same time: 4% in San Diego and 3% in Antofagasta. Figure 8 also shows the difference between these times, with the weaker difference corresponding to , meaning that while in many cases fragmentation starts after the sea breeze, there is still a significant portion where fragmentation starts before the sea breeze, suggesting a weak influence of sea breeze in fragmentation.
Figure 8.
Distribution of detected times, including the initial and ending Sc fragmentation, and , the onset of sea breeze, , and their respective differences, for Antofagasta and San Diego.
The whole fragmentation process has a mean duration of 2.6 h in San Diego and 3.1 h in Antofagasta. This distribution is more skewed to the right for San Diego, where 91.3% of the cases last less than 5 h, similar to Antofagasta, where that maximum duration covers 88% of the events. Events with a longer fragmentation process are strongly correlated with a later dissipation, meaning that while the initial time is relatively similar for all cases, the duration of the process does vary, determining the end of the process.
The sea breeze start time is the one with the largest difference (21 min), and its magnitude is slightly stronger in San Diego during fragmentation, with an average of 1.35 m/s at the start and, as expected, increasing to a mean of 2.85 m/s during the process since it occurs at a later time. The same values are 1.1 m/s and 2.01 m/s for Antofagasta.
Many factors can contribute to a later dissipation, but we first focus on our main variable of interest, the sea-breeze magnitude during fragmentation, . Comparing the effect of weaker and stronger winds, considered with respect to percentiles 25 and 75, Figure 9 suggests that stronger wind is related to a later in Antofagasta, confirming the influence of sea breeze on delaying dissipation. The effect of wind speed is visible in most seasons, but it weakens in summer. For San Diego, the trend is weak for all seasons. Please note that there is considerable overlap between the behavior of weak and strong winds, meaning that other factors balance sea-breeze effects to determine dissipation. Meanwhile, there is no effect of on , thus resulting in longer fragmentation processes for later dissipation cases.
Figure 9.
Relationship between fragmentation initial and end times, and , and the average wind speed magnitude during fragmentation, . Cases are separated by average wind speed during fragmentation with respect to its percentiles 25 and 75, showing strong winds (red stars), average winds (yellow triangles), and weak winds (blue dots).
3.5. Relevant Correlations
Figure 10 shows the relevant correlations within the different variables in each data set (all the correlations are included in Appendix B). Since we have constructed a large data set, it is hard to assess all relationships in a simple way. In the following, we analyze the most relevant relationships found. Please note that correlation indices are reported as for Antofagasta and for San Diego.
Figure 10.
Correlation map for the most relevant variables in (a) Antofagasta and (b) San Diego. Refer to Section 2 or the nomenclature for a description of each index.
First, it is important to notice that many variables are strongly correlated due to their definitions. For instance, there are many statistics related to wind speed magnitude, temperature, and moisture, and therefore, their positive correlations are not meaningful for our analysis.
3.5.1. Fragmentation and Dissipation Times
We start by focusing on variables related to the fragmentation and dissipation process, mainly and . Initial fragmentation time is correlated with two irradiance statistics at both locations: the mean and minimum solar irradiance during fragmentation () and (). These values indirectly represent cloudiness, and minimum irradiance could correspond to the cloudiest condition, which we can interpret as either thicker clouds breaking later or to an earlier detection since solar irradiance grows with time. While solar irradiance may indeed be a factor that influences cloud fragmentation, its growth in time complicates the interpretation. Conversely, for Antofagasta, we see another effect of cloudiness through (), which represents that thinner clouds may have a later fragmentation. This seems to contradict the suggested relationship by solar irradiance, but since the clear sky index is a normalized metric unaffected by time, this interpretation is more reliable.
Other statistics related to are () and (), each stronger at a different location. Combined, they can be interpreted as colder and more saturated surfaces favoring an earlier fragmentation. Another temperature metric appears, (), which is hard to interpret but relates an earlier fragmentation to low thermal variability. These results are complex, but at the same time, they hint towards a role marked by solar and thermal surface behavior, suggesting that the sea breeze is not directly causing fragmentation.
Dissipation time, or the end of the fragmentation, , is also correlated with irradiance statistics, as well as to the fragmentation duration, , at both locations. Only in Antofagasta is correlated with pressure variability and wind statistics. The correlation to fragmentation duration is not relevant, as it was argued when analyzing Figure 9 since is mostly determined by ; this is also evident when looking at the correlations with fragmentation duration, being almost identical to those of . The correlated irradiance statistics are the maximum (), the mean (, ), and the standard deviation (). While the mean GHI was also correlated with , now the maximum is related to instead of the minimum, and also the SD, which represents solar variability during fragmentation. Since a longer fragmentation event, related to a later , could display more variability and reach a higher GHI, the correlation is logical. In Antofagasta, the correlation to () can be explained similarly by a longer duration.
The correlations of to wind speed statistics () and () show an incidence of wind speed in cloud dissipation, suggesting that sea breeze effectively delays dissipation in Antofagasta. For San Diego, correlations of to wind statistics included the maximum wind speed during fragmentation (), meaning that there is an influence, but since dissipation is determined by other factors as well, a weaker influence in San Diego is consistent with the more variable sea-breeze behavior. The clear sky index at the start of the fragmentation, (). In this case, is also a proxy for cloudiness, with a lower value representing a thicker cloud. Therefore, we can interpret that initially thicker clouds determine a later dissipation, in agreement with previous studies [11,18].
3.5.2. Meteorological Conditions
In terms of meteorological conditions, as mentioned in Section 3.1, the ABL main thermodynamic parameters q and are strongly correlated (), a correlation that probably follows near saturation conditions since clouds are present in all the considered events. Inversion base height had a strong correlation with the sounding-derived wind profile (), but not to surface derived wind statistics. This seems counterintuitive but since radiosondes are launched in the early morning, dawn conditions differ from the metrics related to fragmentation. Inversion height is also strongly correlated with q in San Diego but not in Antofagasta () as discussed in Section 3.1.
In Antofagasta, the inversion height was correlated with the decoupling metrics, () and (). We usually expect decoupled ABLs to be deeper, as the positive correlation with the moisture decoupling metric, so the negative relation is counterintuitive. When looking at the decoupled states, with the criterion K or g/kg [30], we find that there are only 4 days in Antofagasta satisfying the first condition, and none in San Diego. Many other days have negative values, which reflect a well-mixed temperature profile, explaining the relationship; therefore, this is not a meaningful correlation either. For the moisture decoupling criterion, 51 days in Antofagasta and 20 days in San Diego may be decoupled, which could help sustain the positive correlation.
3.5.3. Cloud Base and Cloud Thickness
The radiosonde-derived cloud base height also shows some strong correlations; in Antofagasta, it is to (), and in San Diego, to q (), meaning that warmer ABLs in Antofagasta and drier ABLs in San Diego are correlated with a taller cloud base. Both relationships are expected physically, but since the correlated variable differs for each site, once again, it may be a consequence of a stronger relationship to inversion height that differs at these two locations. Despite the mentioned differences with ceilometer-derived in Antofagasta, the statistics strongly correlate within a 0.82–0.84 range.
Finally, we analyze cloud thickness, the radiosonde-derived h and the ceilometer-derived . Both variables are strongly correlated with , for h (, ) and for (). As argued for inversion height, this decoupling metric is not significant as there were not many decoupled days; however, it still is representative of how well-mixed is the temperature profile. In this way, it makes sense that the most well-mixed profiles, represented by a low , would have thicker clouds due to the effect on saturation, resulting in a sharper liquid water mixing ratio profile. In San Diego, h is also correlated with q (), which is a counterintuitive relationship, but it can be explained by its dominating correlation with , as analyzed by [11]. In Antofagasta, the correlation between the two metrics, h and , is 0.63, which again confirms that the RH method to detect cloud base has room for improvement.
3.6. Causality Between Sea Breeze and Cloudiness
Figure 11 shows the results of the CCM, in particular, the average and standard error of the mean (SME) for the full set of days of each cross-correlation , as a function of the library size, where each unit is equivalent to a sampling frequency of 5 min. The analysis demonstrates that wind speed has a causal influence on global horizontal irradiance (GHI), revealing a positive bidirectional relationship between the two variables. This mutual causation can be conceptualized as a feedback mechanism, where wind speed affects GHI, and GHI, in turn, influences wind speed. The mechanism by which radiation and wind interact is explained by the fact that, from sunrise, the Earth’s surface begins to warm due to solar radiation, which raises the temperature of the air near the surface. This causes a mixing of the warmer, drier air in the upper layers with the cooler, more humid air in the lower layers, generating turbulence and increasing surface wind speed due to pressure differences that promote the displacement and dissipation of low-altitude clouds, specifically Sc clouds. This process is bidirectional, as the clouds act as a filter for solar radiation at the surface; as they dissipate, the radiation received at the surface increases, along with the surface temperature. Notably, the magnitude of these causal interactions varies between the two study locations while maintaining a consistent positive correlation.
Figure 11.
Convergent cross mapping of solar irradiance (GHI) with wind speed magnitude for (a) Antofagasta and (b) San Diego. The plots include the mean correlation coefficients, and the spread corresponds to the SEM (standard error of the mean).
In San Diego, the causal influence of GHI on wind speed is quantified with the asymptotic correlation (), while the influence of wind speed on GHI is slightly higher (). Conversely, in Antofagasta, both causal relationships are notably stronger, with GHI influencing wind speed () and wind speed affecting GHI (). It is also interesting to note that even though the correlations are stronger for Antofagasta, the difference between correlations is larger for San Diego, a sign of stronger bi-directionality and, therefore, a more relevant influence of wind speed over GHI. Comparing these results, we hypothesize that the relatively weaker coefficients in San Diego could be attributed to a diminished temperature gradient between the ocean and the land, influenced by significant urbanization and population density as well as seasonal variations. Such anthropogenic factors may suppress wind subsidence and reduce surface-level wind speeds, thereby weakening the diurnal features of GHI and wind speed. It is worth remembering that the solar and wind readings are separated by a distance of around 2 km, which could have an impact on the analysis due to the possible lag in the response of solar irradiance inland. Meanwhile, Antofagasta may have stronger causality due to a more dynamic interplay between wind dynamics and solar irradiance in the region. Antofagasta’s geographical and climatic characteristics, defined by its proximity to the Atacama Desert and the Humboldt Current, create pronounced thermal gradients and intensified wind activity. These conditions may strengthen the feedback loop between solar radiation and wind speed, resulting in stronger causation relationships. Regarding the correlation difference being larger in San Diego, this is mainly caused by a reduced influence of GHI on wind speed in this location. This could be related to the less defined sea-breeze pattern in San Diego; if the local sea-breeze circulation is less frequent or weaker at this location, the causal relationship of GHI could be reduced, while wind speed will always have an advection effect on cloudiness and, therefore, GHI, even if these wind speed changes do not correspond to the sea-breeze.
4. Conclusions
We have studied the coastal Stratocumulus fragmentation and dissipation transition in two locations, Antofagasta and San Diego, with a particular emphasis on analyzing the role of sea breeze in this process. Using different observation data, including radiosondes, surface solar, and wind measurements, we were able to extract relevant meteorological variables and detect relevant times. In particular, we used solar irradiance data to detect initial fragmentation time and dissipation time based on variability and clear sky conditions. We also detected the onset time of the sea breeze based on wind measurements.
With a final dataset of 523 days in Antofagasta and 147 days in San Diego presenting Sc dissipation, we observed differences in the Atmospheric Boundary Layer (ABL) state from the morning soundings, finding that these ABLs are shallower, moister, and slightly warmer in San Diego. Despite these differences, cloud fragmentation has a standard sequence: sunrise, then sea breeze, then fragmentation, and finally dissipation, where a clear sky follows. This sequence occurred for 84% of the cases in Antofagasta and 69% in San Diego, with the rest of the cases mainly corresponding to sea breeze after fragmentation. Fragmentation and dissipation times are surprisingly similar; for Antofagasta and San Diego, respectively, the sea breeze starts 33 min and 52 min after sunrise, then fragmentation starts at 1.3 h and 1.2 h, ending with dissipation at 4.4 h and 3.8 h.
While the average transition sequence suggests a causal effect of sea breeze on fragmentation, correlations were not able to confirm it. The starting fragmentation time was mainly correlated with solar irradiance and thermodynamic variables, dismissing sea breeze as a causing agent. The number of cases where sea breeze after fragmentation supports this conclusion. Final fragmentation time, on the other hand, while also correlated with solar irradiance metrics, was correlated with wind speed statistics, suggesting a more direct contribution, although more strongly in Antofagasta than in San Diego. Correlations also informed differences in thermodynamic relationships at the two locations, mainly that the relationship between inversion height and q is predominant in San Diego, while in Antofagasta is between inversion height and .
Finally, we complemented the correlation analysis by studying causation through Convergent Cross Mapping (CCM), exploring the relationship between wind speed magnitude and solar irradiance as a way to understand sea breeze and cloudiness. CCM confirmed a bidirectional causality between the two, with a dominant role of wind speed, suggesting that wind may drive more changes in cloudiness. This dominance was stronger for Antofagasta, which could be due to the differences in local climate and demographics, with conditions in San Diego being more variable than in Antofagasta.
Our current work has relied on surface observations that could be affected by other factors that have not been fully accounted for, such as aerosols attenuating solar irradiance, complex coastal topography, and other processes occurring above the Sc layer. Separated observation sites and fewer observations in San Diego may also prevent us from obtaining more robust conclusions in regard to wind influence. The selected methods also had some limitations, mainly differences in cloud base readings, and not being able to detect Sc dissipation events if other cloud layers are present above.
Future research should continue exploring correlations and causality relationships with more complete vertical information to find robust correlations, such as wind and wind shear at higher altitudes, radar-derived data when available, and cloudiness or solar variability, to focus the data analysis on the fragmentation process for all conditions. Additionally, research should explore the temporal scales at which these causal relationships can be identified, considering the bidirectional nature of interactions and the potential for distinct temporal dynamics across system variables. The use of time series with temporal scales greater than 5 min could influence the detection of the dissipation process while also affecting the detection of wind speed increases. Conversely, a finer resolution, in the order of seconds, would allow for more precise detection of the dissipation process using the proposed method; however, the higher variability of wind at this resolution could hinder its characterization, affecting the detection of bi-directionality and the overall correlation between variables. This analysis would provide deeper insights into the system’s responsiveness and contribute to a more comprehensive understanding of its underlying mechanisms.
Author Contributions
Conceptualization, M.Z.Z.; methodology, G.P.P., R.C.M., P.A. and M.Z.Z.; software, G.P.P. and M.Z.Z.; formal analysis, G.P.P., R.C.M., P.A. and M.Z.Z.; data curation, G.P.P. and M.Z.Z.; writing—original draft preparation, G.P.P. and M.Z.Z.; writing—review and editing, R.C.M., P.A. and M.Z.Z.; visualization, G.P.P. and M.Z.Z.; supervision, R.C.M. and M.Z.Z.; project administration, M.Z.Z.; funding acquisition, M.Z.Z. All authors have read and agreed to the published version of the manuscript.
Funding
This research was funded by ANID Fondecyt de iniciación grant number 11220918, and Fondecyt Regular grant number 1130111. The APC was funded by ANID Fondecyt de iniciación grant number 11220918.
Institutional Review Board Statement
Not applicable.
Informed Consent Statement
Not applicable.
Data Availability Statement
Code and processed data are available at https://github.com/mzamora/Sc_wind_Antofagasta_SanDiego (accessed on 28 February 2025). Sounding data [35], surface data at NKX [29], and wind data at the Scripps Pier [28] are public. Surface data from the Cerro Moreno campaign are available at [36], and solar data at UC San Diego are available at [37].
Acknowledgments
We thank three anonymous reviewers for their valuable contributions to improving the quality of the manuscript. We thank Jan Kleissl and Cristian Cortés for sharing solar data at UC San Diego. M.Z.Z. thanks Elynn Wu for helpful manuscript suggestions.
Conflicts of Interest
The authors declare no conflicts of interest. The funders had no role in the design of the study, in the collection, analyses, or interpretation of data, in the writing of the manuscript, or in the decision to publish the results.
Abbreviations/Nomenclature
The following abbreviations and symbols are used in this manuscript:
| Abbreviations | |
| ABL | Atmospheric Boundary Layer |
| CCM | Cross Convergent Mapping |
| LST | Local Standard Time |
| LT | Linke Turbidity |
| RH | Relative Humidity |
| Sc | Stratocumulus |
| Nomenclature | |
| Surface wind speed direction | |
| ABL mean wind speed direction from radiosonde data | |
| Inversion jump of potential temperature | |
| Difference of potential temperature within the ABL, an indicator of decoupling | |
| Inversion jump of water mixing ratio | |
| Difference of water mixing ratio within the ABL, an indicator of decoupling | |
| Duration of the fragmentation process | |
| E | Embedding dimension for CCM |
| GHI | Global Horizontal Irradiance |
| GHIcs | Clear sky GHI |
| h | Cloud thickness estimated with radiosonde data |
| Cloud thickness estimated with ceilometer and radiosonde data | |
| k | Clear sky index |
| Number of cloud layers from radiosonde data | |
| Correlation | |
| p | Atmospheric pressure |
| q | ABL mean water mixing ratio |
| Water mixing ratio at 3 km | |
| Standard deviation of variable x during the fragmentation process | |
| T | Temperature |
| Dew point temperature | |
| Sunrise time | |
| Initial fragmentation time | |
| Dissipation time | |
| Initial sea-breeze time | |
| Time lag for CCM | |
| ABL mean potential temperature | |
| Potential temperature at 3 km | |
| u | Zonal wind |
| v | Meridional wind |
| w | Wind speed magnitude |
| ABL mean wind speed magnitude from radiosonde data | |
| Average of variable x during the fragmentation process | |
| Maximum of variable x during the fragmentation process | |
| Minimum of variable x during the fragmentation process | |
| Value of variable x at sunrise | |
| Value of variable x when fragmentation starts | |
| Value of variable x at dissipation | |
| Value of variable x when sea breeze starts | |
| Cloud base height estimated from radiosonde data | |
| Cloud base height from the ceilometer | |
| Inversion base height | |
| Inversion top height | |
| Lifting condensation level height |
Appendix A
We have included the results of sensitivity tests for the time detection methods. Table A1 shows the effect of maximum k for detecting , Table A2 shows the effect of posterior time for detecting , and Table A3 shows the effect of posterior time on detecting .
Table A1.
Sensitivity of initial fragmentation detection () to the choice of maximum k. The selected value is marked in bold.
Table A1.
Sensitivity of initial fragmentation detection () to the choice of maximum k. The selected value is marked in bold.
| Max k | Detected Cases | Detection Percentage |
|---|---|---|
| 0.6 | 98 | 38% |
| 0.8 | 122 | 48% |
| 1.0 | 140 | 55% |
| 1.2 | 149 | 59% |
| 1.4 | 150 | 59% |
| 1.6 | 150 | 59% |
Table A2.
Sensitivity of dissipation detection () to the choice of posterior time. The selected value is marked in bold.
Table A2.
Sensitivity of dissipation detection () to the choice of posterior time. The selected value is marked in bold.
| Time (min) | Detected Cases | Detection Percentage |
|---|---|---|
| 10 | 149 | 59% |
| 15 | 149 | 59% |
| 20 | 149 | 59% |
| 25 | 141 | 56% |
| 30 | 133 | 53% |
| 35 | 130 | 52% |
Table A3.
Sensitivity of sea breeze start detection () and its relation to fragmentation to the choice of posterior time. The selected value is marked in bold.
Table A3.
Sensitivity of sea breeze start detection () and its relation to fragmentation to the choice of posterior time. The selected value is marked in bold.
| Time (min) | Cases with | Cases with | Cases with |
|---|---|---|---|
| 10 | 34 | 5 | 110 |
| 15 | 39 | 6 | 104 |
| 20 | 44 | 6 | 99 |
| 25 | 52 | 6 | 91 |
| 30 | 57 | 6 | 86 |
| 35 | 60 | 4 | 85 |
Appendix B
In the following figure, we display the full correlation map for each location.

Figure A1.
Correlation map for all variables in (a) Antofagasta and (b) San Diego. Refer to Section 2 or the nomenclature for a description of each index.
Figure A1.
Correlation map for all variables in (a) Antofagasta and (b) San Diego. Refer to Section 2 or the nomenclature for a description of each index.


References
- Matheou, G.; Teixeira, J. Sensitivity to Physical and Numerical Aspects of Large-Eddy Simulation of Stratocumulus. Mon. Weather Rev. 2019, 147, 2621–2639. [Google Scholar] [CrossRef]
- Zelinka, M.D.; Randall, D.A.; Webb, M.J.; Klein, S.A. Clearing clouds of uncertainty. Nat. Clim. Change 2017, 7, 674–678. [Google Scholar] [CrossRef]
- Schneider, T.; Kaul, C.M.; Pressel, K.G. Possible climate transitions from breakup of stratocumulus decks under greenhouse warming. Nat. Geosci. 2019, 12, 163–167. [Google Scholar] [CrossRef]
- Forster, P. The Earth’s Energy Budget, Climate Feedbacks and Climate Sensitivity. In Climate Change 2021—The Physical Science Basis: Working Group I Contribution to the Sixth Assessment Report of the Intergovernmental Panel on Climate Change; Intergovernmental Panel on Climate Change (IPCC), Ed.; Cambridge University Press: Cambridge, UK, 2023; pp. 923–1054. [Google Scholar] [CrossRef]
- Wood, R. Stratocumulus Clouds. Mon. Weather Rev. 2012, 140, 2373–2423. [Google Scholar] [CrossRef]
- Painemal, D.; Garreaud, R.; Rutllant, J.; Zuidema, P. Southeast Pacific Stratocumulus: High-Frequency Variability and Mesoscale Structures over San Félix Island. J. Appl. Meteorol. Climatol. 2010, 49, 463–477. [Google Scholar] [CrossRef]
- Rahn, D.A.; Garreaud, R. Marine boundary layer over the subtropical southeast Pacific during VOCALS-REx – Part 1: Mean structure and diurnal cycle. Atmos. Chem. Phys. 2010, 10, 4491–4506. [Google Scholar] [CrossRef]
- Muñoz, R.C.; Zamora, R.A.; Rutllant, J.A. The Coastal Boundary Layer at the Eastern Margin of the Southeast Pacific (23.4°S, 70.4°W): Cloudiness-Conditioned Climatology. J. Clim. 2011, 24, 1013–1033. [Google Scholar] [CrossRef]
- Clemesha, R.E.S.; Gershunov, A.; Iacobellis, S.F.; Williams, A.P.; Cayan, D.R. The northward march of summer low cloudiness along the California coast. Geophys. Res. Lett. 2016, 43, 1287–1295. [Google Scholar] [CrossRef]
- McMichael, L.A.; Mechem, D.B.; Wang, S.; Wang, Q.; Kogan, Y.L.; Teixeira, J. Assessing the mechanisms governing the daytime evolution of marine stratocumulus using large-eddy simulation. Q. J. R. Meteorol. Soc. 2019, 145, 845–866. [Google Scholar] [CrossRef]
- Zamora Zapata, M.; Norris, J.R.; Kleissl, J. Coastal Stratocumulus Dissipation Dependence on Initial Conditions and Boundary Forcings in a Mixed-Layer Model. J. Atmos. Sci. 2020, 77, 2717–2741. [Google Scholar] [CrossRef]
- Schween, J.H.; del Rio, C.; García, J.L.; Osses, P.; Westbrook, S.; Löhnert, U. Life cycle of stratocumulus clouds over 1 year at the coast of the Atacama Desert. Atmos. Chem. Phys. 2022, 22, 12241–12267. [Google Scholar] [CrossRef]
- Ren, Y.; Fu, S.; Xue, H. The sensitivity of a mid-latitude maritime stratocumulus cloud to surface fluxes. Atmos. Res. 2023, 293, 106912. [Google Scholar] [CrossRef]
- Xu, X.; Xue, H. Impacts of Free-Tropospheric Temperature and Humidity on Nocturnal Nonprecipitating Marine Stratocumulus. J. Atmos. Sci. 2015, 72, 2853–2864. [Google Scholar] [CrossRef]
- Zhu, P.; Bretherton, C.S.; Köhler, M.; Cheng, A.; Chlond, A.; Geng, Q.; Austin, P.; Golaz, J.C.; Lenderink, G.; Lock, A.; et al. Intercomparison and Interpretation of Single-Column Model Simulations of a Nocturnal Stratocumulus-Topped Marine Boundary Layer. Mon. Weather. Rev. 2005, 133, 2741–2758. [Google Scholar] [CrossRef]
- Gao, S.; Lu, C.; Liu, Y.; Yum, S.S.; Zhu, J.; Zhu, L.; Desai, N.; Ma, Y.; Wu, S. Comprehensive quantification of height dependence of entrainment mixing between stratiform cloud top and environment. Atmos. Chem. Phys. 2021, 21, 11225–11241. [Google Scholar] [CrossRef]
- Ghonima, M.S.; Heus, T.; Norris, J.R.; Kleissl, J. Factors Controlling Stratocumulus Cloud Lifetime over Coastal Land. J. Atmos. Sci. 2016, 73, 2961–2983. [Google Scholar] [CrossRef]
- Zamora Zapata, M.; Wu, E.; Kleissl, J. Irradiance Enhancement Events in the Coastal Stratocumulus Dissipation Process. In Proceedings of the ISES Solar World Congress 2019, Santiago, Chile, 4–7 November 2019; pp. 1–8. [Google Scholar] [CrossRef]
- Luccini, E.; Rivas, M. Kinematics and dynamics of the stratocumulus average diurnal dissipation process at Atacama Desert. Atmos. Res. 2021, 255, 105523. [Google Scholar] [CrossRef]
- Pedruzo-Bagazgoitia, X.; de Roode, S.R.; Adler, B.; Babić, K.; Dione, C.; Kalthoff, N.; Lohou, F.; Lothon, M.; Vilà-Guerau de Arellano, J. The diurnal stratocumulus-to-cumulus transition over land in southern West Africa. Atmos. Chem. Phys. 2020, 20, 2735–2754. [Google Scholar] [CrossRef]
- Jeong, J.H.; Witte, M.K.; Smalley, M. Effects of Wind Shear and Aerosol Conditions on the Organization of Precipitating Marine Stratocumulus Clouds. J. Geophys. Res. Atmos. 2023, 128, e2023JD039081. [Google Scholar] [CrossRef]
- Zamora Zapata, M.; Heus, T.; Kleissl, J. Effects of Surface and Top Wind Shear on the Spatial Organization of Marine Stratocumulus-Topped Boundary Layers. J. Geophys. Res. Atmos. 2021, 126, e2020JD034162. [Google Scholar] [CrossRef]
- Delbeke, L.; Wang, C.; Tulet, P.; Denjean, C.; Zouzoua, M.; Maury, N.; Deroubaix, A. The impact of aerosols on stratiform clouds over southern West Africa: A large-eddy-simulation study. Atmos. Chem. Phys. 2023, 23, 13329–13354. [Google Scholar] [CrossRef]
- Zouzoua, M.; Lohou, F.; Assamoi, P.; Lothon, M.; Yoboue, V.; Dione, C.; Kalthoff, N.; Adler, B.; Babić, K.; Pedruzo-Bagazgoitia, X.; et al. Breakup of nocturnal low-level stratiform clouds during the southern West African monsoon season. Atmos. Chem. Phys. 2021, 21, 2027–2051. [Google Scholar] [CrossRef]
- Tsonis, A. Convergent Cross Mapping: Theory and an Example. In Advances in Nonlinear Geosciences; Springer: Cham, Switzerland, 2017; pp. 587–600. [Google Scholar] [CrossRef]
- Sugihara, G.; May, R.; Ye, H.; Hsieh, C.h.; Deyle, E.; Fogarty, M.; Munch, S. Detecting Causality in Complex Ecosystems. Science 2012, 338, 496–500. [Google Scholar] [CrossRef]
- Rybarczyk, Y.; Zalakeviciute, R.; Ortiz-Prado, E. Causal effect of air pollution and meteorology on the COVID-19 pandemic: A convergent cross mapping approach. Heliyon 2024, 10, e25134. [Google Scholar] [CrossRef]
- Coastal Data Information Program (CDIP). Station 73-SCRIPPS PIER, La Jolla CA. Available online: https://cdip.ucsd.edu/themes/cdip?pb=1&u2=s:073:st:1&d2=p9 (accessed on 5 January 2023).
- Iowa State University. IEM :: Download ASOS/AWOS/METAR Data. Available online: https://mesonet.agron.iastate.edu/request/download.phtml (accessed on 5 October 2022).
- Jones, C.R.; Bretherton, C.S.; Leon, D. Coupled vs. decoupled boundary layers in VOCALS-REx. Atmos. Chem. Phys. 2011, 11, 7143–7153. [Google Scholar] [CrossRef]
- Goren, T.; Rosenfeld, D.; Sourdeval, O.; Quaas, J. Satellite Observations of Precipitating Marine Stratocumulus Show Greater Cloud Fraction for Decoupled Clouds in Comparison to Coupled Clouds. Geophys. Res. Lett. 2018, 45, 5126–5134. [Google Scholar] [CrossRef]
- Reno, M.J.; Hansen, C.W. Identification of periods of clear sky irradiance in time series of GHI measurements. Renew. Energy 2016, 90, 520–531. [Google Scholar] [CrossRef]
- Park, J. pyEDM, 2025. Available online: https://github.com/SugiharaLab/pyEDM (accessed on 14 February 2025).
- Zamora Aguirre, R. Caracterización Observacional de la Capa Límite Marina en Antofagasta. Master’s Thesis, Universidad de Chile, Santiago, Chile, 2010. [Google Scholar]
- University of Wyoming. Atmospheric Soundings. Available online: https://weather.uwyo.edu/upperair/sounding.html (accessed on 5 October 2022).
- Muñoz, R. Surface and Ceilometer Data-Cerro Moreno, Antofagasta, 2025. Available online: https://zenodo.org/records/14903408 (accessed on 21 February 2025).
- Kleissl, J. UC San Diego Decision Making Using Real-Time Observations for Environmental Sustainability (DEMROES), 2025. Available online: https://zenodo.org/records/14901268 (accessed on 20 February 2025).
Disclaimer/Publisher’s Note: The statements, opinions and data contained in all publications are solely those of the individual author(s) and contributor(s) and not of MDPI and/or the editor(s). MDPI and/or the editor(s) disclaim responsibility for any injury to people or property resulting from any ideas, methods, instructions or products referred to in the content. |
© 2025 by the authors. Licensee MDPI, Basel, Switzerland. This article is an open access article distributed under the terms and conditions of the Creative Commons Attribution (CC BY) license (https://creativecommons.org/licenses/by/4.0/).










