Response Monitoring and Analysis of Large Temporary Platform of Cross-Sea Bridge Under the Action of High Tidal Range and Strong Wind and Wave
Abstract
1. Introduction
2. Project Overview and On-Site Monitoring Layout
2.1. Project Overview
2.2. Monitoring Contents and Equipment
2.3. Composition of the Monitoring System
2.4. Arrangement of Measuring Points
3. Analysis of Test Results
3.1. Stress Response
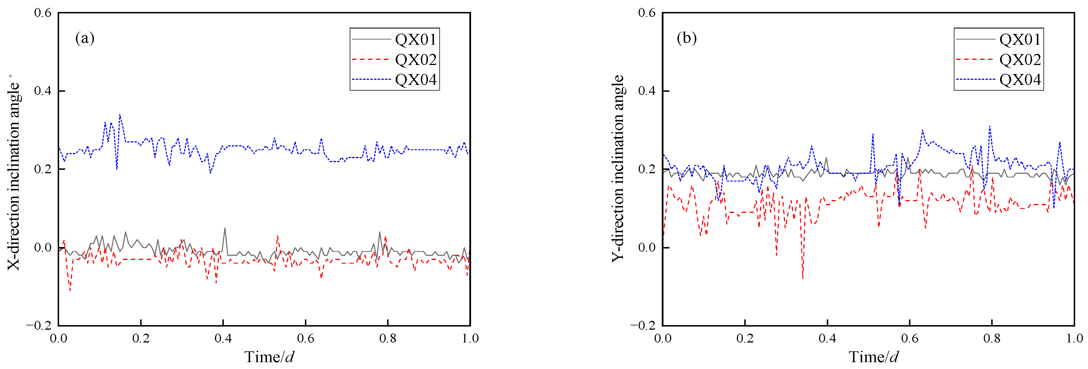
3.2. Platform Inclination Angle
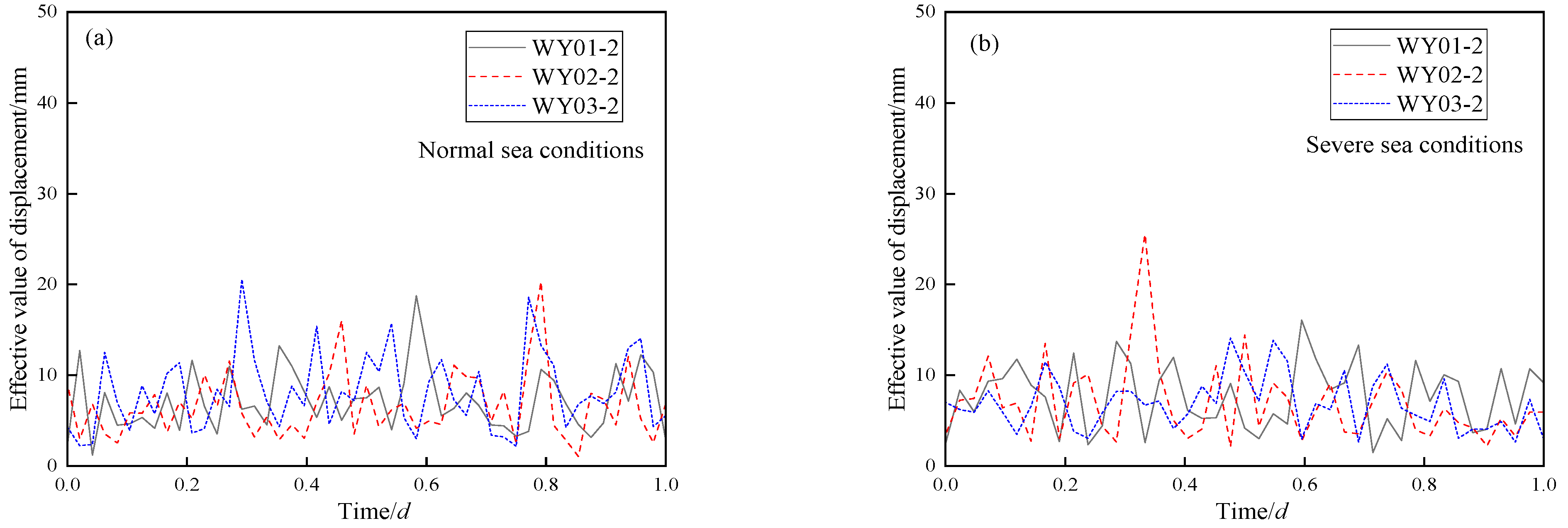
3.3. Displacement Response
3.4. Vibration Response
4. Concluding Remarks
Author Contributions
Funding
Institutional Review Board Statement
Informed Consent Statement
Data Availability Statement
Conflicts of Interest
References
- Zheng, C.; Luo, T.; Luan, L. Lateral Kinematic Response of Offshore Pipe Piles to S-Wave Seismic Excitation. Int. J. Numer. Anal. Methods Geomech. 2023, 47, 1496–1518. [Google Scholar] [CrossRef]
- Bian, C.; Du, L.; Wang, G.; Li, X.; Li, W. Dynamic Response of Sea-Crossing Rail-cum-Road Cable-Stayed Bridge Influenced by Random Wind—Wave—Undercurrent Coupling. China Ocean. Eng. 2023, 37, 85–100. [Google Scholar] [CrossRef]
- Wang, B.; Cui, C.; Xu, C.; Meng, K.; Li, J.; Xu, L. A Novel Analytical Solution for Horizontal Vibration of Partially Embedded Offshore Piles Considering the Distribution Effect of Wave Loads. Ocean. Eng. 2024, 307, 118179. [Google Scholar] [CrossRef]
- Daocheng, Z.; Bo, Z.; Sisi, X.; Chengxun, W.; Jinping, O. Experimental study on dynamic effect of freestanding tower of sea-crossing bridge under wave load. Adv. Bridge Eng. 2021, 2, 9. [Google Scholar] [CrossRef]
- Li, C.; Wu, G.-Y.; Li, L.-X.; Liu, C.-G.; Li, H.-N.; Han, Q. A comprehensive performance evaluation methodology for sea-crossing cable-stayed bridges under wind and wave loads. Ocean. Eng. 2023, 280, 114816. [Google Scholar] [CrossRef]
- Mostafa, Y.E.; El Naggar, M.H. Response of fixed offshore platforms to wave and current loading including soil–structure interaction. Soil. Dyn. Earthq. Eng. 2004, 24, 357–368. [Google Scholar] [CrossRef]
- Wei, K.; Zhong, X.; Cai, H.; Li, X.; Xiao, H. Dynamic response of a sea-crossing cable-stayed suspension bridge under simultaneous wind and wave loadings induced by a landfall typhoon. Ocean. Eng. 2024, 293, 116659. [Google Scholar] [CrossRef]
- Fang, C.; Li, Y.; Chen, X.; Tang, H. Extreme Response of a Sea-Crossing Bridge Tower under Correlated Wind and Waves. J. Aerosp. Eng. 2019, 32, 05019003. [Google Scholar] [CrossRef]
- Boccotti, P. A field experiment on the small-scale model of a gravity offshore platform. Ocean. Eng. 1995, 22, 615–627. [Google Scholar] [CrossRef]
- Williams, M.S.; Thompson, R.S.G.; Houlsby, G.T. Non-linear dynamic analysis of offshore jack-up units. Comput. Struct. 1998, 69, 171–180. [Google Scholar] [CrossRef]
- Asiri, S.A.; AL-Zahrani, Y.Z. Theoretical Analysis of Mechanical Vibration for Offshore Platform Structures. World J. Mech. 2014, 4, 1–11. [Google Scholar] [CrossRef]
- Liu, Y.; Wan, D. Numerical simulation of motion response of an offshore observation platform in waves. J. Mar. Sci. Appl. 2013, 12, 89–97. [Google Scholar] [CrossRef]
- Zhang, Q.; Zhou, X.-L.; Wang, J.-H.; Guo, J.-J. Wave-induced seabed response around an offshore pile foundation platform. Ocean. Eng. 2017, 130, 567–582. [Google Scholar] [CrossRef]
- Ti, Z.; Zhang, M.; Li, Y.; Wei, K. Numerical study on the stochastic response of a long-span sea-crossing bridge subjected to extreme nonlinear wave loads. Eng. Struct. 2019, 196, 109287. [Google Scholar] [CrossRef]
- Lan, D.; Li, J.; Chen, J.; Xu, Q. Floor response spectra of offshore electrical platform under sea waves and earthquake. Ocean. Eng. 2022, 265, 112623. [Google Scholar] [CrossRef]
- Ghazi, Z.M.; Abbood, I.S.; Hejazi, F. Dynamic evaluation of jack-up platform structure under wave, wind, earthquake and tsunami loads. J. Ocean. Eng. Sci. 2022, 7, 41–57. [Google Scholar] [CrossRef]
- Park, M.; Koo, W.; Kawano, K. Dynamic response analysis of an offshore platform due to seismic motions. Eng. Struct. 2011, 33, 1607–1616. [Google Scholar] [CrossRef]
- Liu, S.; Li, H.; Zhang, J.; Yang, S.; Zhang, T. Shaking table test and numerical simulation of jacket offshore platform considering soil-water-structure interaction. Ocean. Eng. 2024, 313, 119542. [Google Scholar] [CrossRef]
- Huang, S.; Yu, D.; Bai, W.; Guo, X.; Dai, J. Experimental and numerical analysis of seismic performance of jacket platforms subjected to onshore and offshore earthquakes. Eng. Struct. 2024, 311, 118177. [Google Scholar] [CrossRef]






















| Number | Monitoring Equipment | Quantity | Monitoring Content |
|---|---|---|---|
| 1 | Box-type Fixed Inclinometer | 4 | Platform inclination |
| 2 | Accelerometer | 6 | Platform vibration |
| 3 | Displacement Monitoring Instrument | 6 | Platform displacement |
| 4 | Surface Strain Gauge | 16 | Structural deformation and stress |
| 5 | Radar Flowmeter | 1 | Water level, seawater flow velocity |
| 6 | Submersible Water Level Gauge | 2 | Dynamic water pressure on piles |
Disclaimer/Publisher’s Note: The statements, opinions and data contained in all publications are solely those of the individual author(s) and contributor(s) and not of MDPI and/or the editor(s). MDPI and/or the editor(s) disclaim responsibility for any injury to people or property resulting from any ideas, methods, instructions or products referred to in the content. |
© 2025 by the authors. Licensee MDPI, Basel, Switzerland. This article is an open access article distributed under the terms and conditions of the Creative Commons Attribution (CC BY) license (https://creativecommons.org/licenses/by/4.0/).
Share and Cite
Xiong, Q.; Liu, G. Response Monitoring and Analysis of Large Temporary Platform of Cross-Sea Bridge Under the Action of High Tidal Range and Strong Wind and Wave. Atmosphere 2025, 16, 386. https://doi.org/10.3390/atmos16040386
Xiong Q, Liu G. Response Monitoring and Analysis of Large Temporary Platform of Cross-Sea Bridge Under the Action of High Tidal Range and Strong Wind and Wave. Atmosphere. 2025; 16(4):386. https://doi.org/10.3390/atmos16040386
Chicago/Turabian StyleXiong, Qin, and Guanguo Liu. 2025. "Response Monitoring and Analysis of Large Temporary Platform of Cross-Sea Bridge Under the Action of High Tidal Range and Strong Wind and Wave" Atmosphere 16, no. 4: 386. https://doi.org/10.3390/atmos16040386
APA StyleXiong, Q., & Liu, G. (2025). Response Monitoring and Analysis of Large Temporary Platform of Cross-Sea Bridge Under the Action of High Tidal Range and Strong Wind and Wave. Atmosphere, 16(4), 386. https://doi.org/10.3390/atmos16040386
