Monthly Characteristics and Source–Receptor Relationships of Anthropogenic Total Nitrate in Northeast Asia
Abstract
1. Introduction
2. Materials and Methods
2.1. Meteorological Model
2.2. Emission Framework
2.3. Air Quality Model
2.4. Source–Receptor Methodology
3. Results and Discussion
3.1. Comparison of Predicted Meteorological Fields with Observations
3.2. Comparison of Air Quality Modeling Results with Observations
3.3. Spatial Distributions of Monthly Mean Concentrations
3.4. Characteristics of Total Nitrate Deposition
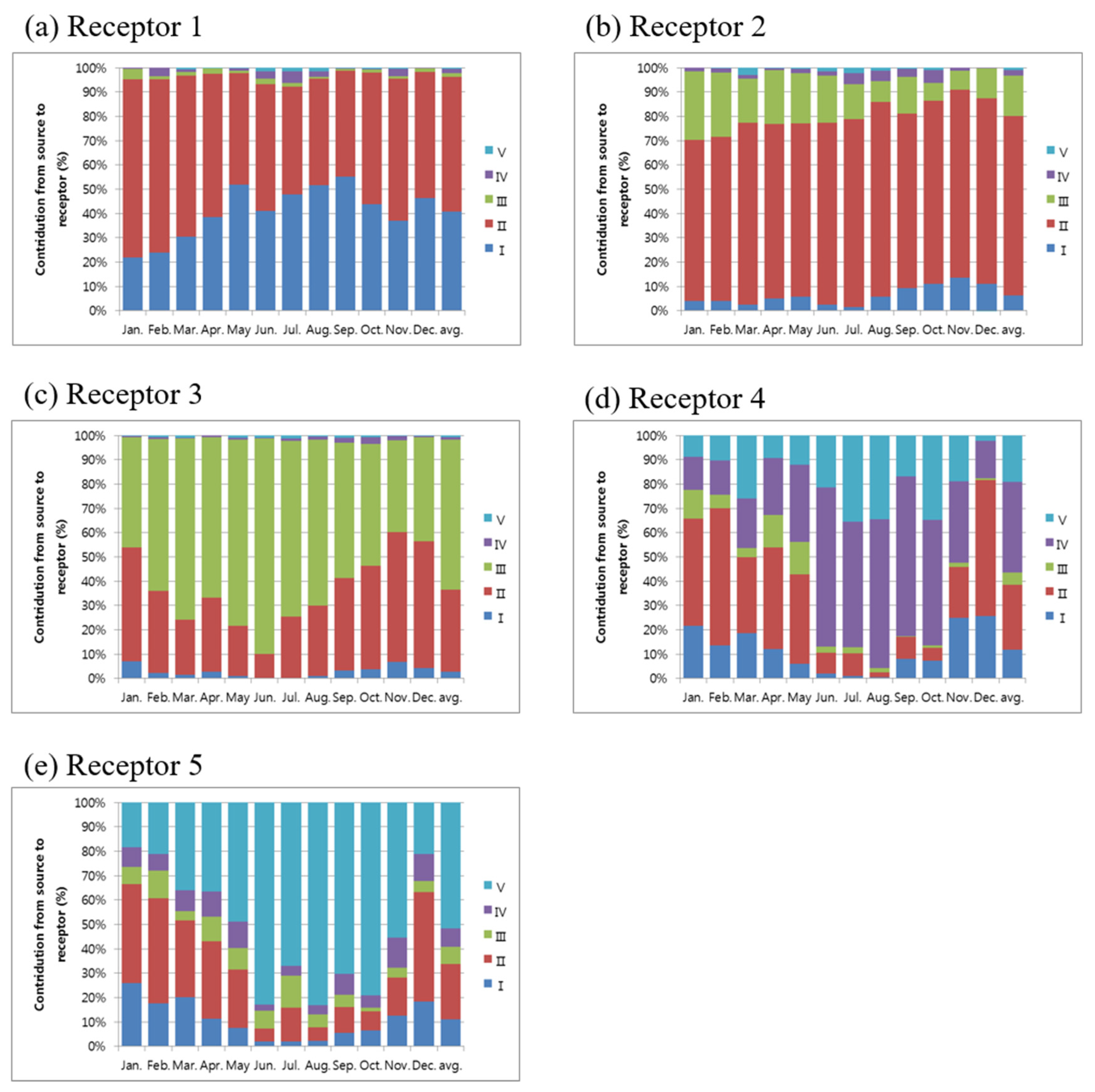
3.5. Source–Receptor Relationship of Total Nitrate in East Asia
4. Conclusions
Author Contributions
Funding
Institutional Review Board Statement
Informed Consent Statement
Data Availability Statement
Acknowledgments
Conflicts of Interest
References
- Kim, M.J. The effects of transboundary air pollution from China on ambient air quality in South Korea. Heliyon 2019, 5, e02953. [Google Scholar] [CrossRef] [PubMed]
- Pochanart, P.; Wang, Z.; Akimoto, H. Boundary Layer Ozone Transport from Eastern China to Southern Japan: Pollution Episodes Observed during Monsoon Onset in 2004. Asian J. Atmos. Environ. 2015, 9, 48–56. [Google Scholar] [CrossRef]
- Chang, C.-T.; Wang, L.; Wang, L.-J.; Liu, C.-P.; Yang, C.-J.; Huang, J.-C.; Wang, C.-P.; Lin, N.-H.; Lin, T.-C. On the seasonality of long-range transport of acidic pollutants in East Asia. Environ. Res. Lett. 2022, 17, 094029. [Google Scholar] [CrossRef]
- Kim, H.C.; Bae, C.; Bae, M.; Kim, O.; Kim, B.-U.; Yoo, C.; Park, J.; Choi, J.; Lee, J.-B.; Lefer, B.; et al. Space-Borne Monitoring of NOx Emissions from Cement Kilns in South Korea. Atmosphere 2020, 11, 881. [Google Scholar] [CrossRef]
- Yan, D.; Chen, G.; Lei, Y.; Zhou, Q.; Liu, C.; Su, F. Spatiotemporal regularity and socioeconomic drivers of the AQI in the Yangtze River Delta of China. Int. J. Environ. Res. Public Health 2022, 19, 9017. [Google Scholar] [CrossRef]
- Kang, G.K.; Gao, J.Z.; Chiao, S.; Lu, S.; Xie, G. Air quality prediction: Big data and machine learning approaches. Int. J. Environ. Sci. Dev. 2018, 9, 8–16. [Google Scholar] [CrossRef]
- Liu, L.; Zhang, X.; Xu, W.; Liu, X.; Li, Y.; Lu, X.; Zhang, Y.; Zhang, W. Temporal characteristics of atmospheric ammonia and nitrogen dioxide over China based on emission data, satellite observations and atmospheric transport modeling since 1980. Atmos. Chem. Phys. 2017, 17, 9365–9378. [Google Scholar] [CrossRef]
- Secretariat of LTP project. Annual Report the 10th Year’s Joint Research on Long-range Transboundary Air Pollution in Northeast Asia; Annual Report of LTP Project 2010; National Institute of Environmental Research (NIER) of Korea: Incheon, Republic of Korea, 2010.
- Wang, J.; Xu, J.; He, Y.; Chen, Y.; Meng, F. Long range transport of nitrate in the low atmosphere over Northeast Asia. Atmos. Environ. 2016, 144, 315–324. [Google Scholar] [CrossRef]
- Švédová, B.; Raclavská, H.; Kucbel, M.; Růžičková, J.; Raclavský, K.; Koliba, M.; Juchelková, D. Concentration Variability of Water-Soluble Ions during the Acceptable and Exceeded Pollution in an Industrial Region. Int. J. Environ. Res. Public Health 2020, 17, 3447. [Google Scholar] [CrossRef]
- Grell, A.; Dudhia, J.; Stauffer, D. A Description of the Fifth-Generation Penn State/NCAR Mesoscale Model (MM5); University Corporation for Atmospheric Research: Boulder, CO, USA, 1994. [Google Scholar]
- Zhao, C.; Xu, M.; Wang, Y.; Zhang, M.; Guo, J.; Hu, Z.; Leung, L.R.; Duda, M.; Skamarock, W. Modeling extreme precipitation over East China with a global variable-resolution modeling framework (MPASv5.2): Impacts of resolution and physics. Geosci. Model Dev. 2019, 12, 2707–2726. [Google Scholar] [CrossRef]
- Park, S.Y.; Fernando, H.J.S.; Yoon, S.C. Simulation of flow and turbulence in the Phoenix area using a modified urbanized mesoscale model. Meteorol. Appl. 2014, 21, 948–962. [Google Scholar] [CrossRef]
- Woo, J.-H.; Kim, Y.; Kim, H.-K.; Choi, K.-C.; Eum, J.-H.; Lee, J.-B.; Lim, J.-H.; Kim, J.; Seong, M. Development of the CREATE inventory in support of integrated climate and air quality modeling for Asia. Sustainability 2020, 12, 7930. [Google Scholar] [CrossRef]
- Ghosh, S.; Mueller, K.; Prasad, K.; Whetstone, J. Accounting for Transport Error in Inversions: An Urban Synthetic Data experiment. Earth Space Sci. 2021, 8, e2020EA001272. [Google Scholar] [CrossRef] [PubMed]
- Li, M.; Zhang, Q.; Kurokawa, J.-I.; Woo, J.-H.; He, K.; Lu, Z.; Ohara, T.; Song, Y.; Streets, D.G.; Carmichael, G.R.; et al. MIX: A mosaic Asian anthropogenic emission inventory under the international collaboration framework of the MICS-Asia and HTAP. Atmos. Chem. Phys. 2017, 17, 935–963. [Google Scholar] [CrossRef]
- Forster, P.M.; Smith, C.J.; Walsh, T.; Lamb, W.F.; Lamboll, R.; Hauser, M.; Ribes, A.; Rosen, D.; Gillett, N.; Palmer, M.D.; et al. Indicators of Global Climate Change 2022: Annual update of large-scale indicators of the state of the climate system and human influence. Earth Syst. Sci. Data 2023, 15, 2295–2327. [Google Scholar] [CrossRef]
- Olivier, J.G.J.; Bouwman, A.F.; Van Der Maas, C.W.M.; Berdowski, J.J.M. Emission database for global atmospheric research (Edgar). Environ. Monit. Assess. 1994, 31, 93–106. [Google Scholar] [CrossRef]
- National Institute of Environmental Research (NIER) of Korea. Development and Evaluation of Emissions Inventory in Support of North-East Asia Long-Range Transport of Air Pollutants Modeling Study (in Korean); National Institute of Environmental Research (NIER) of Korea: Incheon, Republic of Korea, 2009.
- Byun, D.W. (Ed.) Science Algorithms of the EPA Models-3 Community Multi-Scale Air Quality (CMAQ) Modeling System; Office of Hesearch and Development: Washington, DC, USA, 1999. [Google Scholar]
- Robichaud, A. Surface data assimilation of chemical compounds over North America and its impact on air quality and Air Quality Health Index (AQHI) forecasts. Air Qual. Atmos. Health 2017, 10, 955–970. [Google Scholar] [CrossRef]
- National Institute of Environmental Research (NIER) of Korea. Proceedings of the 8th Expert Meeting for the Long-Range Transboundary Air Pollutants in Northeast Asia, 2005; National Institute of Environmental Research (NIER) of Korea: Incheon, Republic of Korea, 2005.
- EMEP/MSC-W. Computing Source-Receptor Matrices with the EMEP Eulerian Acid Deposition Model; Norwegian Meteorological Institute: Oslo, Norway, 1999. [Google Scholar]
- Wang, H.; Wang, H.; Lu, X.; Lu, K.; Zhang, L.; Tham, Y.J.; Shi, Z.; Aikin, K.; Fan, S.; Brown, S.S.; et al. Increased night-time oxidation over China despite widespread decrease across the globe. Nat. Geosci. 2023, 16, 217–223. [Google Scholar] [CrossRef]
- Hu, B.; Duan, J.; Hong, Y.; Xu, L.; Li, M.; Bian, Y.; Qin, M.; Fang, W.; Xie, P.; Chen, J. Exploration of the atmospheric chemistry of nitrous acid in a coastal city of southeastern China: Results from measurements across four seasons. Atmos. Chem. Phys. 2022, 22, 371–393. [Google Scholar] [CrossRef]
- Goldberg, D.L.; Anenberg, S.C.; Lu, Z.; Streets, D.G.; Lamsal, L.N.; McDuffie, E.E.; Smith, S.J. Urban NOx emissions around the world declined faster than anticipated between 2005 and 2019. Environ. Res. Lett. 2021, 16, 115004. [Google Scholar] [CrossRef]
- Zhang, G.; Hu, X.; Sun, W.; Yang, Y.; Guo, Z.; Fu, Y.; Wang, H.; Zhou, S.; Li, L.; Tang, M.; et al. A comprehensive study about the in-cloud processing of nitrate through coupled measurements of individual cloud residuals and cloud water. Atmos. Chem. Phys. 2022, 22, 9571–9582. [Google Scholar] [CrossRef]
- Ge, X.; He, Y.; Sun, Y.; Xu, J.; Wang, J.; Shen, Y.; Chen, M. Characteristics and formation mechanisms of fine particulate nitrate in typical urban areas in China. Atmosphere 2017, 8, 62. [Google Scholar] [CrossRef]
- Wang, K.; Zhang, Y. 3-D agricultural air quality modeling: Impacts of NH3/H2S gas–phase reactions and bi-directional exchange of NH3. Atmos. Environ. 2014, 98, 554–570. [Google Scholar] [CrossRef]
- Semeniuk, K.; Dastoor, A. Current State of Atmospheric Aerosol Thermodynamics and Mass Transfer Modeling: A review. Atmosphere 2020, 11, 156. [Google Scholar] [CrossRef]
- Yu, J.-H.; Zhang, M.-G.; Li, J.-L. Simulated seasonal variations in nitrogen wet deposition over East Asia. Atmos. Ocean. Sci. Lett. 2016, 9, 99–106. [Google Scholar] [CrossRef]
- Lin, M.; Oki, T.; Bengtsson, M.; Kanae, S.; Holloway, T.; Streets, D.G. Long-range transport of acidifying substances in East Asia—Part II Source–receptor relationships. Atmos. Environ. 2008, 42, 5956–5967. [Google Scholar] [CrossRef]
- Lee, S.; Kim, J.; Choi, M.; Hong, J.; Lim, H.; Eck, T.F.; Holben, B.N.; Ahn, J.-Y.; Kim, J.; Koo, J.-H. Analysis of long-range transboundary transport (LRTT) effect on Korean aerosol pollution during the KORUS-AQ campaign. Atmos. Environ. 2019, 204, 53–67. [Google Scholar] [CrossRef]
- Choi, W.; Song, M.Y.; Kim, J.B.; Kim, K.; Cho, C. Regional classification of high PM10 concentrations in the Seoul metropolitan and Chungcheongnam-do areas, Republic of Korea. Environ. Monit. Assess. 2023, 195, 1075. [Google Scholar] [CrossRef]













| INTEX-B | Source Description |
|---|---|
| Power | Power generation |
| Small power generation | |
| Industry | Industry |
| Charcoal production | |
| Industrial sector | |
| OTS(ALL)-Other transformation sector | |
| Oil production | |
| Gas production | |
| IRO: Iron & steel | |
| NFE: Non-ferro | |
| CHE: Chemicals | |
| Building materials | |
| PAP: Pulp & paper | |
| FOOD: Food (Beer & Wine) | |
| SOL: Solvent use/MISC. | |
| MIS: ind. MISCELLANEOUS | |
| MISC: Waste handling | |
| Residential | RCO: Residential |
| RCO sector (RES + COM + OTH) | |
| Waste incliner (non-energy) | |
| Transportation | Road transport (ETH.) |
| Road transport (INCL. EVA) | |
| TRANS. LAND NON-ROAD | |
| TRACE-P | Source Description |
| Cattle, pigs | Domestic animal |
| O_animal | Wild Animals |
| PERTI | Synthetic Fertilizer (Fertilizer use) |
| BIOF | Industry and other trans & residential |
| Other | Crop |
| Fossil fuel use (include other trans and road transport | |
| Human population | |
| Industrial process(chemicals) |
| Receptors | China | Republic of Korea | Japan | ||||
|---|---|---|---|---|---|---|---|
| Source | This Study | Lin (2008) | This Study | Lin (2008) | This Study | Lin (2008) | |
| China | 97.5 | 79.7 | 43.5 | 39.1 | 40.7 | 20.6 | |
| Korea | 1.8 | 2.6 | 37.3 | 46.9 | 7.7 | 14.9 | |
| Japan | 0.8 | 0.5 | 19.2 | 4.6 | 51.6 | 55.7 | |
Disclaimer/Publisher’s Note: The statements, opinions and data contained in all publications are solely those of the individual author(s) and contributor(s) and not of MDPI and/or the editor(s). MDPI and/or the editor(s) disclaim responsibility for any injury to people or property resulting from any ideas, methods, instructions or products referred to in the content. |
© 2024 by the authors. Licensee MDPI, Basel, Switzerland. This article is an open access article distributed under the terms and conditions of the Creative Commons Attribution (CC BY) license (https://creativecommons.org/licenses/by/4.0/).
Share and Cite
Kang, M.-S.; Park, D.-S.; Chae, C.-B.; Sunwoo, Y.; Hong, K.-H. Monthly Characteristics and Source–Receptor Relationships of Anthropogenic Total Nitrate in Northeast Asia. Atmosphere 2024, 15, 1121. https://doi.org/10.3390/atmos15091121
Kang M-S, Park D-S, Chae C-B, Sunwoo Y, Hong K-H. Monthly Characteristics and Source–Receptor Relationships of Anthropogenic Total Nitrate in Northeast Asia. Atmosphere. 2024; 15(9):1121. https://doi.org/10.3390/atmos15091121
Chicago/Turabian StyleKang, Moon-Seok, Da-Som Park, Chan-Byeong Chae, Young Sunwoo, and Ki-Ho Hong. 2024. "Monthly Characteristics and Source–Receptor Relationships of Anthropogenic Total Nitrate in Northeast Asia" Atmosphere 15, no. 9: 1121. https://doi.org/10.3390/atmos15091121
APA StyleKang, M.-S., Park, D.-S., Chae, C.-B., Sunwoo, Y., & Hong, K.-H. (2024). Monthly Characteristics and Source–Receptor Relationships of Anthropogenic Total Nitrate in Northeast Asia. Atmosphere, 15(9), 1121. https://doi.org/10.3390/atmos15091121

