Trend Analysis and Spatial Source Attribution of Surface Ozone in Chaozhou, China
Abstract
1. Introduction
2. Materials and Methods
2.1. Study Area and Data
2.2. KZ Filtering and Variance Analysis
2.3. Percentile Regression
2.4. Backward Trajectory Model and Trajectory Cluster Analysis
2.5. TSA Analysis and PSCF Analysis
3. Results and Discussion
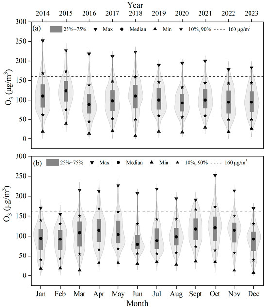
3.1. General Characteristics of Yearly and Seasonal O3 Distribution
3.2. Time Series Decomposition and Analysis of MDA8 O3
3.3. Percentile Regression Analysis of Temporal Changes in MDA8 O3
3.4. Trajectory Clusters and Transport Pathways
3.5. Trajectory Sector Analysis of O3
3.6. PSCF Analysis of O3
4. Conclusions
Supplementary Materials
Author Contributions
Funding
Institutional Review Board Statement
Informed Consent Statement
Data Availability Statement
Acknowledgments
Conflicts of Interest
References
- Nuvolone, D.; Petri, D.; Voller, F. The effects of ozone on human health. Environ. Sci. Pollut. Res. 2017, 25, 8074–8088. [Google Scholar] [CrossRef]
- Zhang, J.; Wei, Y.; Fang, Z. Ozone pollution: A major health hazard worldwide. Front. Immunol. 2019, 10, 2518. [Google Scholar] [CrossRef] [PubMed]
- Jurán, S.; Edwards-Jonášová, M.; Cudlín, P.; Zapletal, M.; Šigut, L.; Grace, J.; Urban, O. Prediction of ozone effects on net ecosystem production of Norway spruce forest. iForest Biogeosci. For. 2018, 11, 743–750. [Google Scholar] [CrossRef]
- Singh, A.A.; Agrawal, S.B. Tropospheric ozone pollution in India: Effects on crop yield and product quality. Environ. Sci. Pollut. Res. 2017, 24, 4367–4382. [Google Scholar] [CrossRef]
- Yang, J.; Hu, Y.; Peltier, W.R. Radiative effects of ozone on the climate of a Snowball Earth. Clim. Past. 2012, 8, 2019–2029. [Google Scholar] [CrossRef]
- Department of Science and Technology Standards, Ministry of Environmental Protection. Ambient Air Quality Standards GB3095-2012; China Environmental Science Press: Beijing, China, 2012. [Google Scholar]
- Li, K.; Jacob, D.J.; Liao, H.; Shen, L.; Zhang, Q.; Bates, K.H. Anthropogenic drivers of 2013-2017 trends in summer surface ozone in China. Proc. Natl. Acad. Sci. USA 2019, 116, 422–427. [Google Scholar] [CrossRef]
- Rao, S.T.; Zurbenko, I.G. Detecting and tracking changes in ozone air quality. J. Air Waste Manag. Assoc. 1994, 44, 1089–1092. [Google Scholar] [CrossRef]
- Rao, S.T.; Zurbenko, I.G.; Neagu, R.; Porter, P.S.; Ku, J.Y.; Henry, R.F. Space and time scales in ambient ozone data. Bull. Am. Meteorol. Soc. 1997, 78, 2153–2166. [Google Scholar] [CrossRef]
- Ma, Z.; Xu, J.; Quan, W.; Zhang, Z.; Lin, W.; Xu, X. Significant increase of surface ozone at a rural site, north of eastern China. Atmos. Chem. Phys. 2016, 16, 3969–3977. [Google Scholar] [CrossRef]
- Song, X.; Hao, Y. Analysis of ozone pollution characteristics and transport paths in Xi’an City. Sustainability 2022, 14, 6146. [Google Scholar] [CrossRef]
- Wang, M.; Yim, S.H.; Wong, D.; Ho, K. Source contributions of surface ozone in China using an adjoint sensitivity analysis. Sci. Total Environ. 2019, 662, 385–392. [Google Scholar] [CrossRef] [PubMed]
- Dimitriou, K.; Kassomenos, P. Three year study of tropospheric ozone with back trajectories at a metropolitan and a medium scale urban area in Greece. Sci. Total Environ. 2015, 502, 493–501. [Google Scholar] [CrossRef] [PubMed]
- Tong, L.; Zhang, J.; Xu, H.; Xiao, H.; He, M.; Zhang, H. Contribution of regional transport to surface ozone at an island site of Eastern China. Aerosol Air Qual. Res. 2018, 18, 3009–3024. [Google Scholar] [CrossRef]
- Chen, Y.; Yan, H.; Yao, Y.; Zeng, C.; Gao, P.; Zhuang, L.; Fan, L.; Ye, D. Relationships of ozone formation sensitivity with precursors emissions, meteorology and land use types, in Guangdong-Hong Kong-Macao Greater Bay Area, China. J. Environ. Sci. 2020, 94, 1–13. [Google Scholar] [CrossRef]
- Kim, J.S.; Zhou, W.; Cheung, H.N.; Chow, C.H. Variability and risk analysis of Hong Kong air quality based on Monsoon and El Nino conditions. Adv. Atmos. Sci. 2013, 30, 280–290. [Google Scholar] [CrossRef]
- Huang, Z.; Zhang, H.; Tong, L.; Zhang, J.; Chen, J. Evaluatng the impacts of regional transport and monsoons on the air quality in Nanjing based on VAR model. Glob. Environ. Health Saf. 2018, 2, 1–11. [Google Scholar]
- Zurbenko, I.; Porter, P.S.; Rao, S.T.; Ku, J.Y.; Gui, R.; Eskridge, R.E. Detecting discontinuities in time series of upper-air data: Development and demonstration of an adaptive filter technique. J. Clim. 1996, 9, 3548–3560. [Google Scholar] [CrossRef]
- Wise, E.K.; Comrie, A.C. Extending the Kolmogorov-Zurbenko filter: Application to ozone, particulate matter, and meteorological trends. J. Air Waste Manag. Assoc. 2005, 55, 1208–1216. [Google Scholar] [CrossRef]
- Wu, Y.-H.; Bai, H.M.; Shi, H.D.; Li, X.-C.; Gao, C.X.; Song, H. Assessing the influence of weather conditions on the change of air quality in Hohhot. Arid. Zone Res. 2016, 33, 292–298. [Google Scholar]
- Barmpadimos, I.; Keller, J.; Oderbolz, D.; Hueglin, C.; Prevot, A.S.H. One decade of parallel fine (PM2.5) and coarse (PM10-PM2.5) particulate matter measurements in Europe: Trends and variability. Atmos. Chem. Phys. 2012, 12, 3189–3203. [Google Scholar] [CrossRef]
- Monteiro, A.; Carvalho, A.; Ribeiro, I.; Scotto, M.; Barbosa, S.; Alonso, A.; Baldasano, J.M.; Pay, M.T.; Miranda, A.I.; Borrego, C. Trends in ozone concentrations in the Iberian Peninsula by quantile regression and clustering. Atmos. Environ. 2012, 56, 184–193. [Google Scholar] [CrossRef]
- Xuechao, L. The influencing factors on PM2.5 concentration of lanzhou based on quantile regression. J. Hebei Geo. Univ. 2018, 41, 61–68. [Google Scholar] [CrossRef]
- Wang, Y.Q.; Zhang, X.Y.; Draxler, R.R. TrajStat: GIS-based software that uses various trajectory statistical analysis methods to identify potential sources from long-term air pollution measurement data. Environ. Model. Softw. 2009, 24, 938–939. [Google Scholar] [CrossRef]
- Bari, A.; Dutkiewicz, V.A.; Judd, C.D.; Wilson, L.R.; Luttinger, D.; Husain, L. Regional sources of particulate sulfate, SO2, PM2.5, HCl, and HNO3, in New York, NY. Atmos. Environ. 2003, 37, 2837–2844. [Google Scholar] [CrossRef]
- Cheng, M.D.; Hopke, P.K.; Barrie, L.; Rippe, A.; Olson, M.; Landsberger, S. Qualitative determination of source regions of aerosol in Canadian high Arctic. Environ. Sci. Technol. 1993, 27, 2063–2071. [Google Scholar] [CrossRef]
- Han, Y.-J.; Holsen, T.M.; Hopke, P.K.; Yi, S.-M. Comparison between back-trajectory based modeling and Lagrangian backward dispersion modeling for locating sources of reactive gaseous mercury. Environ. Sci. Technol. 2005, 39, 1715–1723. [Google Scholar] [CrossRef]
- Li, M.; Huang, X.; Zhu, L.; Li, J.; Yu, S.; Cai, X.; Xie, S. Analysis of the transport pathways and potential sources of PM10 in Shanghai based on three methods. Sci. Total Environ. 2012, 414, 525–534. [Google Scholar] [CrossRef] [PubMed]
- Zhao, W.; Gao, B.; Lu, Q.; Zhong, Z.; Liang, X.; Liu, M.; Ma, S.; Sun, J.; Chen, L.; Fan, S. Ozone pollution trend in the Pearl River Delta region during 2006–2019. Environ. Sci. 2021, 42, 97–105. [Google Scholar] [CrossRef]
- Pei, Z.; Han, G.; Ma, X.; Su, H.; Gong, W. Response of major air pollutants to COVID-19 lockdowns in China. Sci. Total Environ. 2020, 743, 140879. [Google Scholar] [CrossRef]
- He, G.; Pan, Y.; Tanaka, T. The short-term impacts of COVID-19 lockdown on urban air pollution in China. Nat. Sustain. 2020, 3, 1005–1011. [Google Scholar] [CrossRef]
- Li, J.; Lu, K.; Lv, W.; Li, J.; Zhong, L.; Ou, Y.; Chen, D.; Huang, X.; Zhang, Y. Fast increasing of surface ozone concentrations in Pearl River Delta characterized by a regional air quality monitoring network during 2006–2011. J. Environ. Sci. 2014, 26, 23–36. [Google Scholar] [CrossRef] [PubMed]
- LI, J.; LI, C.; XIAO, L.; GUO, Y.; HUANG, Y.; CHEN, S.; CHEN, M.; LI, W.; ZHANG, Y. Characteristics and meteorological conditions of ozone pollution in Shantou city. Meteorol. Environ. Res. 2021, 12, 19–25. [Google Scholar] [CrossRef]
- Yang, G.; Liu, Y.; Li, X. Spatiotemporal distribution of ground-level ozone in China at a city level. Sci. Rep. 2020, 10, 7229. [Google Scholar] [CrossRef] [PubMed]
- Li, M.; Liu, H.; Geng, G.; Hong, C.; Liu, F.; Song, Y.; Tong, D.; Zheng, B.; Cui, H.; Man, H.; et al. Anthropogenic emission inventories in China: A review. Natl. Sci. Rev. 2017, 4, 834–866. [Google Scholar] [CrossRef]










Disclaimer/Publisher’s Note: The statements, opinions and data contained in all publications are solely those of the individual author(s) and contributor(s) and not of MDPI and/or the editor(s). MDPI and/or the editor(s) disclaim responsibility for any injury to people or property resulting from any ideas, methods, instructions or products referred to in the content. |
© 2024 by the authors. Licensee MDPI, Basel, Switzerland. This article is an open access article distributed under the terms and conditions of the Creative Commons Attribution (CC BY) license (https://creativecommons.org/licenses/by/4.0/).
Share and Cite
Huang, Z.; Tong, L.; Zhu, X.; Su, J.; Lu, S.; Xiao, H. Trend Analysis and Spatial Source Attribution of Surface Ozone in Chaozhou, China. Atmosphere 2024, 15, 777. https://doi.org/10.3390/atmos15070777
Huang Z, Tong L, Zhu X, Su J, Lu S, Xiao H. Trend Analysis and Spatial Source Attribution of Surface Ozone in Chaozhou, China. Atmosphere. 2024; 15(7):777. https://doi.org/10.3390/atmos15070777
Chicago/Turabian StyleHuang, Zhongwen, Lei Tong, Xuchu Zhu, Junxiao Su, Shaoyun Lu, and Hang Xiao. 2024. "Trend Analysis and Spatial Source Attribution of Surface Ozone in Chaozhou, China" Atmosphere 15, no. 7: 777. https://doi.org/10.3390/atmos15070777
APA StyleHuang, Z., Tong, L., Zhu, X., Su, J., Lu, S., & Xiao, H. (2024). Trend Analysis and Spatial Source Attribution of Surface Ozone in Chaozhou, China. Atmosphere, 15(7), 777. https://doi.org/10.3390/atmos15070777

