A Comparative Investigation of the Characteristics of Nocturnal Ozone Enhancement Events and Their Effects on Ground-Level Ozone and PM2.5 in the Central City of the Yellow River Delta, China, in 2022 and 2023
Abstract
1. Introduction
2. Materials and Methods
2.1. Observation Period and Location
2.2. Relevant Definitions
2.3. Data Processing
2.3.1. Annual Frequency of NOE Events
2.3.2. Transformation Rate of Nitrates and Sulfates
2.3.3. Calculation of Secondary Organic Carbon
3. Results and Discussion
3.1. Characteristics of Nocturnal Ozone Concentration in Dongying
3.1.1. Inter-Annual and Inter-Monthly Variations
3.1.2. Diurnal Variation
3.2. Characteristics of Nocturnal Ozone Enhancement Events in Dongying
3.2.1. Frequency Characteristics
3.2.2. Characteristics of Nocturnal Ozone Peak and Ozone Increase Magnitude
3.3. Effects of Nocturnal Ozone Enhancement Events on Ozone and PM2.5 Concentrations in Dongying
3.3.1. Diurnal Variations in Ozone and Other Air Pollutants during Different Seasons
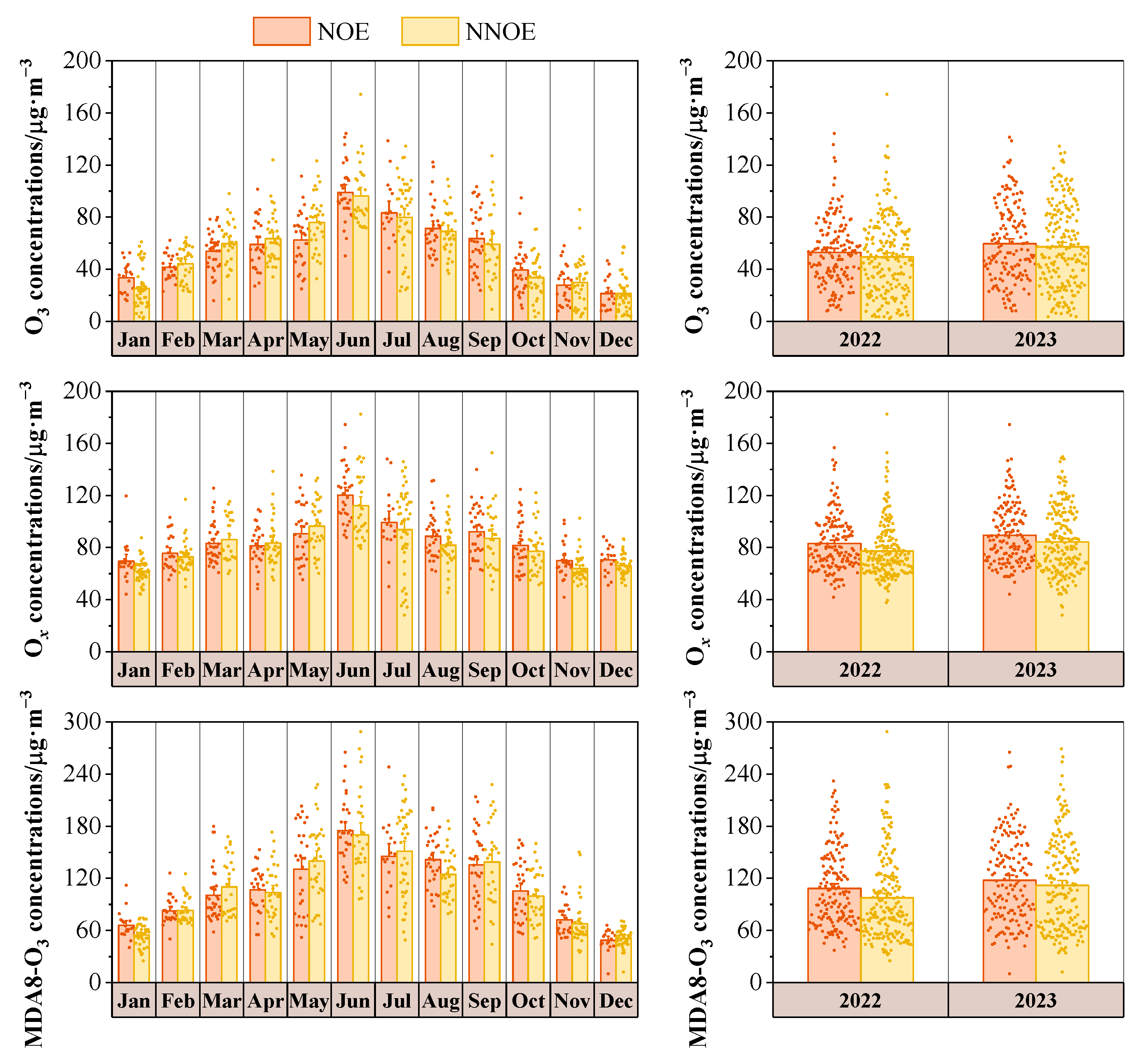
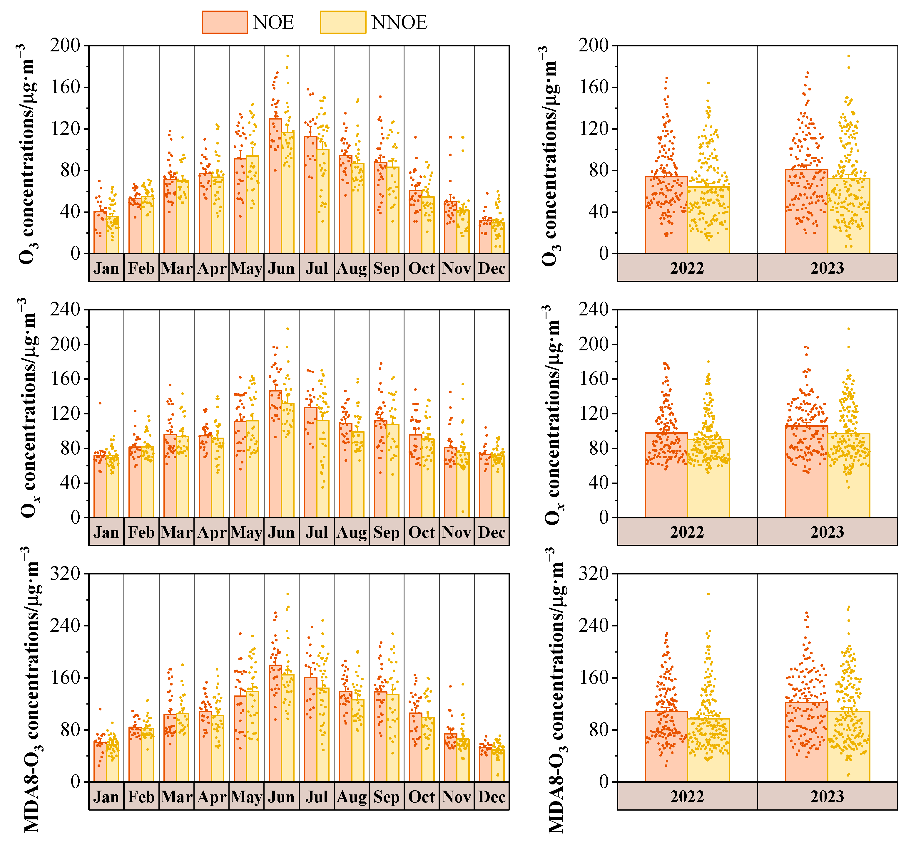
3.3.2. Effects on Ozone and Atmospheric Oxidation at Night and the Next Day
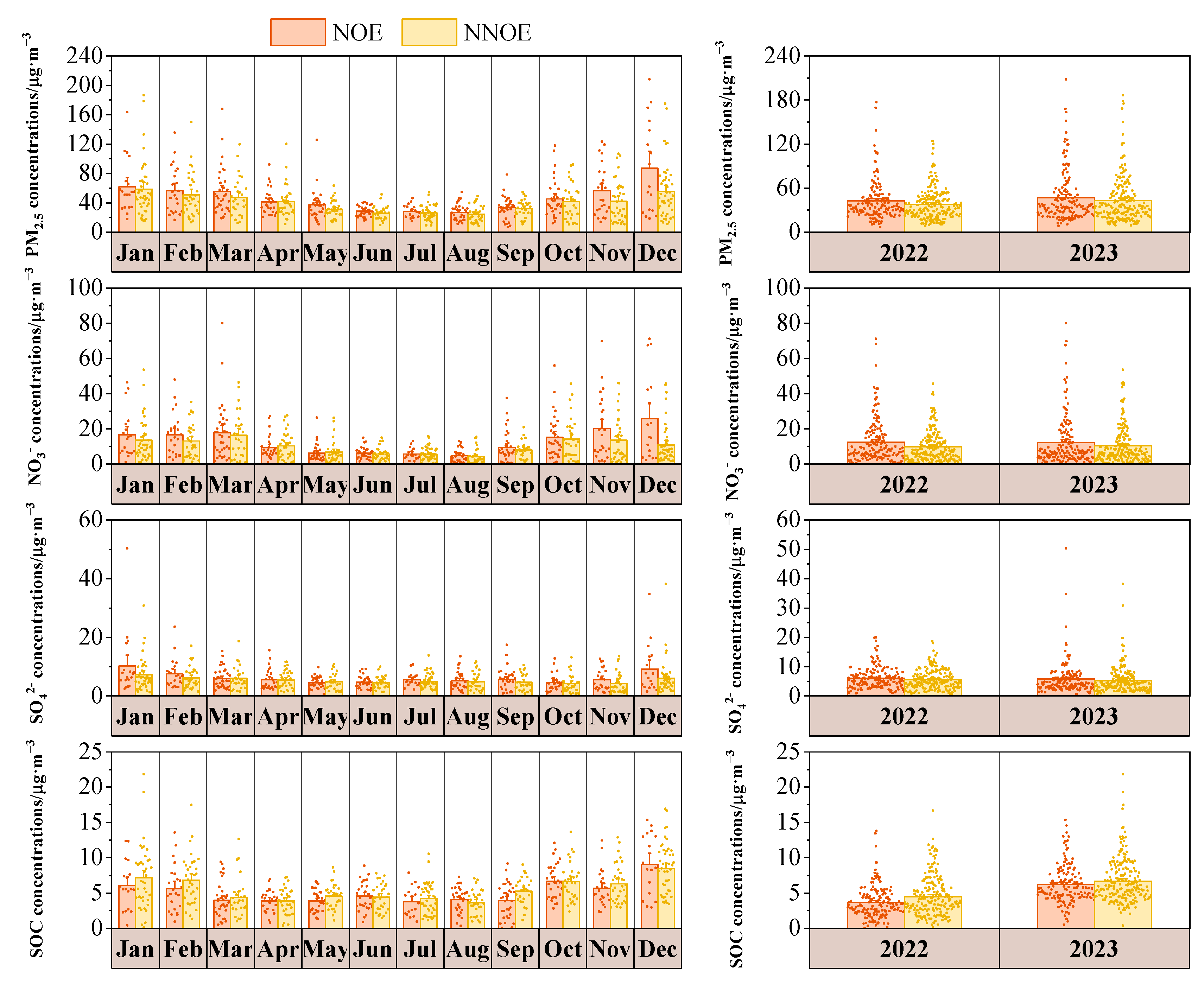
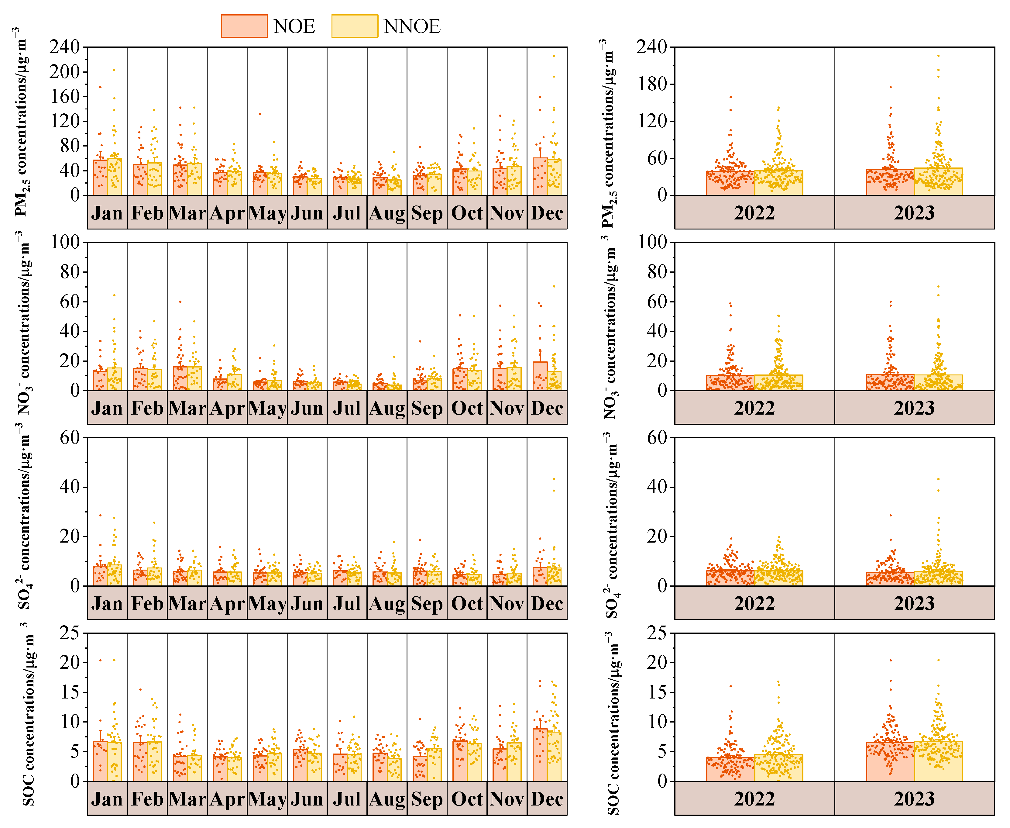
3.3.3. Effects on PM2.5 Concentration and Secondary Components at Night and the Next Day
4. Conclusions
- (1)
- From 2022 to 2023, the annual average nocturnal ozone concentration in Dongying increased from 51 μg/m3 to 59 μg/m3. The different percentile values of the nocturnal ozone concentrations also showed an increase in these two years, with the most notable increases observed in the high and middle percentiles. The nocturnal ozone concentrations were higher during the ozone pollution seasons and lower during the non-ozone pollution seasons. Compared with 2022, the nocturnal ozone concentration increased most apparently in the spring and summer of 2023.
- (2)
- For 2022 and 2023, the annual average frequencies of NOE events in Dongying were 44% and 43%, respectively. The frequency of NOE events was higher in the spring, summer, and autumn and lower in the winter. The diurnal variation characteristics of the frequency of NOE events were generally similar in both 2022 and 2023, featuring a higher frequency from 2:00 to 4:00 and a lower frequency from 21:00 to 1:00 the next day.
- (3)
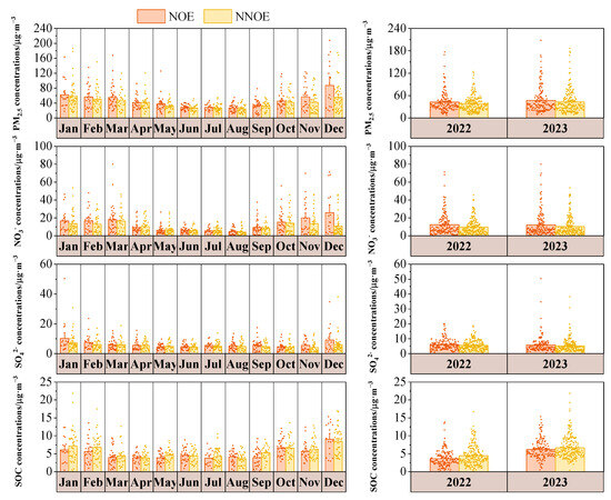
- The NOE events exhibited an obvious promoting effect on nocturnal O3, Ox, and MDA8-O3 on the same day in Dongying from 2022 to 2023, with a more noticeable increase observed during the summer and autumn. The NOE events also had a distinct effect on the O3, Ox, and MDA8-O3 of the next day, with the most conspicuous effect observed in summer. In terms of government control, it is essential to assess the ozone pollution status of the next day based on the characteristics of nocturnal ozone changes. Moreover, the NOE events had evident effects on the nocturnal concentrations of PM2.5 and PM2.5-bounded NO3− and SO42−, with the impact being most apparent in the winter. However, the NOE events had no conspicuous impact on the concentrations of PM2.5, PM2.5-bounded NO3−, PM2.5-bounded SO42−, and SOC on the next day.
- (4)
- NOE events have distinct effects on the concentrations of O3, Ox, MDA8-O3, PM2.5, and PM2.5-bounded NO3− and SO42−. This implies that NOE events can improve atmospheric oxidation capacity and promote the formation of PM2.5 and its secondary components, which have a certain impact on air quality. Consequently, increased attention should be given to the occurrence of NOE events and the challenges brought by NOE to the coordinated control of PM2.5 and O3. More sophisticated methods should be employed to investigate the impact of NOE on atmospheric oxidation capacity and PM2.5, along with its secondary components in the future. Additionally, given the increasing prevalence of human nocturnal activities, it is imperative to delve into the repercussions of NOE on human health and biological growth.
Author Contributions
Funding
Institutional Review Board Statement
Informed Consent Statement
Data Availability Statement
Conflicts of Interest
References
- Wang, T.; Xue, L.; Brimblecombe, P.; Lam, Y.F.; Li, L.; Zhang, L. Ozone pollution in China: A review of concentrations, meteorological influences, chemical precursors, and effects. Sci. Total Environ. 2017, 575, 1582–1596. [Google Scholar] [CrossRef]
- Tan, Z.; Ma, X.; Lu, K.; Jiang, M.; Zou, Q.; Wang, H.; Zeng, L.; Zhang, Y. Direct evidence of local photochemical production driven ozone episode in Beijing: A case study. Sci. Total Environ. 2021, 800, 148868. [Google Scholar] [CrossRef]
- Zeren, Y.; Zhou, B.; Zheng, Y.; Jiang, F.; Lyu, X.; Xue, L.; Wang, H.; Liu, X.; Guo, H. Does ozone pollution share the same formation mechanisms in the bay areas of China? Environ. Sci. Technol. 2022, 56, 14326–14337. [Google Scholar] [CrossRef]
- Liu, Y.; Geng, G.; Cheng, J.; Liu, Y.; Xiao, Q.; Liu, L.; Shi, Q.; Tong, D.; He, K.; Zhang, Q. Drivers of increasing ozone during the two phases of Clean Air Actions in China 2013–2020. Environ. Sci. Technol. 2023, 57, 8954–8964. [Google Scholar] [CrossRef]
- Lu, X.; Hong, J.; Zhang, L.; Cooper, O.R.; Schultz, M.G.; Xu, X.; Wang, T.; Gao, M.; Zhao, Y.; Zhang, Y. Severe surface ozone pollution in China: A global perspective. Environ. Sci. Technol. Lett. 2018, 5, 487–494. [Google Scholar] [CrossRef]
- Strode, S.A.; Ziemke, J.R.; Oman, L.D.; Lamsal, L.N.; Olsen, M.A.; Liu, J. Global changes in the diurnal cycle of surface ozone. Atmos. Environ. 2019, 199, 323–333. [Google Scholar] [CrossRef]
- Bernier, C.; Wang, Y.; Estes, M.; Lei, R.; Jia, B.; Wang, S.C.; Sun, J. Clustering surface ozone diurnal cycles to understand the impact of circulation patterns in Houston, TX. J. Geophys. Res. Atmos. 2019, 124, 13457–13474. [Google Scholar] [CrossRef]
- Lin, J.; Youn, D.; Liang, X.; Wuebbles, D. Global model simulation of summertime U.S. ozone diurnal cycle and its sensitivity to PBL mixing, spatial resolution, and emissions. Atmos. Environ. 2008, 42, 8470–8483. [Google Scholar] [CrossRef]
- Xia, N.; Du, E.; Guo, Z.; Vries, W.D. The diurnal cycle of summer tropospheric ozone concentrations across Chinese cities: Spatial patterns and main drivers. Environ. Pollut. 2021, 286, 117547. [Google Scholar] [CrossRef]
- Xu, J.; Huang, X.; Wang, N.; Li, Y.; Ding, A. Understanding ozone pollution in the Yangtze River Delta of eastern China from the perspective of diurnal cycles. Sci. Total Environ. 2021, 752, 141928. [Google Scholar] [CrossRef]
- Talbot, R.; Mao, H.; Sive, B. Diurnal characteristics of surface level O3 and other important trace gases in New England. J. Geophys. Res. Atmos. 2005, 110, D09307. [Google Scholar] [CrossRef]
- Zhu, X.; Ma, Z.; Li, Z.; Wu, J.; Guo, H.; Yin, X.; Ma, X.; Qiao, L. Impacts of meteorological conditions on nocturnal surface ozone enhancement during the summertime in Beijing. Atmos. Environ. 2020, 225, 117368. [Google Scholar] [CrossRef]
- He, Y.; Wang, H.; Wang, H.; Xu, X.; Li, Y.; Fan, S. Meteorology and topographic influences on nocturnal ozone increase during the summertime over Shaoguan, China. Atmos. Environ. 2021, 256, 118459. [Google Scholar] [CrossRef]
- He, C.; Lu, X.; Wang, H.; Wang, H.; Li, Y.; He, G.; He, Y.; Wang, Y.; Zhang, Y.; Liu, Y.; et al. The unexpected high frequency of nocturnal surface ozone enhancement events over China: Characteristics and mechanisms. Atmos. Chem. Phys. 2022, 22, 15243–15261. [Google Scholar] [CrossRef]
- Li, X.; Ren, J.; Huang, R.; Chen, L.; Li, Y.; Qiao, X.; Cheng, Y.; Zhao, B.; Yin, D.; Gao, D.; et al. The aggravation of summertime nocturnal ozone pollution in China and its potential impact on the trend of nitrate aerosols. Geophys. Res. Lett. 2023, 50, e2023GL103242. [Google Scholar] [CrossRef]
- Eliasson, I.; Thorsson, S.; Andersson-Sköld, Y. Summer nocturnal ozone maxima in Göteborg, Sweden. Atmos. Environ. 2003, 37, 2615–2627. [Google Scholar] [CrossRef]
- Salmond, J.A.; McKendry, I.G. Secondary ozone maxima in a very stable nocturnal boundary layer: Observations from the Lower Fraser Valley, BC. Atmos. Environ. 2002, 36, 5771–5782. [Google Scholar] [CrossRef]
- Agathokleous, E.; Feng, Z.; Sicard, P. Surge in nocturnal ozone pollution. Science 2023, 382, 1131. [Google Scholar] [CrossRef]
- Alduwais, A.K.; Dasari, H.P.; Karumuri, R.K.; Gandham, H.; Alharbi, B.H.; Ashok, K.; Hoteit, I. Transport mechanisms of nocturnal surface ozone over Riyadh, Kingdom of Saudi Arabia. Atmos. Environ. 2023, 313, 120069. [Google Scholar] [CrossRef]
- Wang, J.; Wang, D.; Ge, B.; Lin, W.; Ji, D.; Pan, X.; Li, J.; Wang, Z. Increase in daytime ozone exposure due to nighttime accumulation in a typical city in eastern China during 2014–2020. Atmos. Pollut. Res. 2022, 13, 101387. [Google Scholar] [CrossRef]
- Wang, H.; Wang, H.; Lu, X.; Lu, K.; Zhang, L.; Tham, Y.J.; Shi, Z.; Aikin, K.; Fan, S.; Brown, S.S.; et al. Increased night-time oxidation over China despite widespread decrease across the globe. Nat. Geosci. 2023, 16, 217–223. [Google Scholar] [CrossRef]
- Lloyd, K.L.; Davis, D.D.; Marini, R.P.; Decoteau, D.R. Effects of nighttime ozone treatment at ambient concentrations on sensitive and resistant snap bean genotypes. J. Am. Soc. Hortic. 2018, 143, 23–33. [Google Scholar] [CrossRef]
- Agathokleous, E.; Feng, Z.; Oksanen, E.; Sicard, P.; Wang, Q.; Saitanis, C.J.; Araminiene, V.; Blande, J.D.; Hayes, F.; Calatayud, V.; et al. Ozone affects plant, insect, and soil microbial communities: A threat to terrestrial ecosystems and biodiversity. Sci. Adv. 2020, 6, eabc1176. [Google Scholar] [CrossRef] [PubMed]
- Wu, Y.; Chen, W.; You, Y.; Xie, Q.; Jia, S.; Wang, X. Quantitative impacts of vertical transport on the long-term trend of nocturnal ozone increase over the Pearl River Delta region during 2006–2019. Atmos. Chem. Phys. 2023, 23, 453–469. [Google Scholar] [CrossRef]
- Meng, K.; Zhao, T.; Xu, X.; Hu, Y.; Zhao, Y.; Zhang, L.; Pang, Y.; Ma, X.; Bai, Y.; Zhao, Y.; et al. Anomalous surface O3 changes in North China Plain during the northwestward movement of a landing typhoon. Sci. Total Environ. 2022, 820, 153196. [Google Scholar] [CrossRef] [PubMed]
- Ouyang, S.; Deng, T.; Liu, R.; Chen, J.; He, G.; Leung, J.C.-H.; Wang, N.; Liu, S.C. Impact of a subtropical high and a typhoon on a severe ozone pollution episode in the Pearl River Delta, China. Atmos. Chem. Phys. 2022, 22, 10751–10767. [Google Scholar] [CrossRef]
- Zhao, D.; Xin, J.; Wang, W.; Jia, D.; Wang, Z.; Xiao, H.; Liu, C.; Zhou, J.; Tong, L.; Ma, Y.; et al. Effects of the sea-land breeze on coastal ozone pollution in the Yangtze River Delta, China. Sci. Total Environ. 2022, 807, 150306. [Google Scholar] [CrossRef]
- Wang, Y.; Wang, H.; Wang, W. A Stratospheric intrusion-influenced ozone pollution episode associated with an intense horizontal-trough event. Atmosphere 2020, 11, 164. [Google Scholar] [CrossRef]
- Ni, Z.-Z.; Luo, K.; Gao, X.; Gao, Y.; Fan, J.-R.; Fu, J.S.; Chen, C.-H. Exploring the stratospheric source of ozone pollution over China during the 2016 Group of Twenty summit. Atmos. Pollut. Res. 2019, 10, 1267–1275. [Google Scholar] [CrossRef]
- He, G.; He, C.; Wang, H.; Miao, S.; Liu, C.; Wang, Y.; Liu, N.; Cao, T.; Deng, T.; Wu, D.; et al. Nocturnal ground-level ozone enhancement over the Pearl River Estuary: Two case studies based on vertical observations. Acta Sci. Circumstantiae 2023, 43, 87–96. [Google Scholar] [CrossRef]
- He, C.; He, G.; Liu, C.; Wang, H.; Chen, X.; Liu, N.; Wang, H.; Lu, X.; Fan, S. Characteristics of nocturnal ozone enhancement events and a case study of horizontal transport in Guangzhou during warm season. Acta Sci. Circumstantiae 2023, 43, 76–86. [Google Scholar] [CrossRef]
- Zhao, M.; Shen, H.; Chen, T.; Li, J.; Sun, Z.; Ji, Y.; Xue, L.; Li, H.; Wang, W.; Shang, F. Characteristics and sensitivity analysis of ozone in the representative city of the Yellow River Delta in summer. Res. Environ. Sci. 2022, 35, 1351–1361. [Google Scholar] [CrossRef]
- Du, X.; Zhang, L.; Liang, H. Variation characteristics and correlation analysis of air quality index and acid rain in Dongying City. J. Environ. Eng. Technol. 2021, 11, 33–40. [Google Scholar] [CrossRef]
- Ji, Y.; An, C.; Tang, J.; Li, J.; Yan, X.; Gao, X.; Chu, W.; Zhong, X.; Shang, F.; Li, J.; et al. Causes investigation of PM2.5 and O3 complex pollution in a typical coastal city in the Bohai Bay Region of China in autumn: Based on one-month continuous intensive observation and model simulation. Atmosphere 2024, 15, 73. [Google Scholar] [CrossRef]
- An, C.; Ji, Y.; Chu, W.; Yan, X.; Bi, F.; Gao, Y.; Xue, L.; Shang, F.; Li, J.; Li, H. Spatiotemporal distribution characteristics of ground-level-ozone and its relationship with meteorological conditions in a representative city in the Bohai Rim from 2017 to 2022. Environ. Sci. 2024, 8. [Google Scholar] [CrossRef]
- Huang, B.; Huang, Y.; Bao, S. A new exploration on the strategic functions of central cities from the perspective of the rise of the Yellow River Delta. Truth Seek. 2013, S2, 141–143. [Google Scholar]
- Ismail, A.A.K.H. Prediction of global solar radiation from sunrise duration using regression functions. Kuwait J. Sci. 2022, 49, 1–8. [Google Scholar] [CrossRef]
- Zeng, Z.; Wang, Z.; Gui, K.; Yan, X.; Gao, M.; Luo, M.; Geng, H.; Liao, T.; Li, X.; An, J.; et al. Daily global solar radiation in China estimated from high-density meteorological observations: A random forest model framework. Earth Space Sci. 2020, 7, e2019EA001058. [Google Scholar] [CrossRef]
- Kaplanis, S.N. New methodologies to estimate the hourly global solar radiation; Comparisons with existing models. Renew. Energy 2006, 31, 781–790. [Google Scholar] [CrossRef]
- Ayodele, T.R.; Ogunjuyigbe, A.S.O.; Monyei, C.G. On the global solar radiation prediction methods. J. Renew. Sustain. Energy 2016, 8, 023702. [Google Scholar] [CrossRef]
- Mullen, R.; Marshall, L.; McGlynn, B. A beta regression model for improved solar radiation predictions. J. Appl. Meteorol. Clim. 2013, 52, 1938. [Google Scholar] [CrossRef]
- Jia, D.; Yang, L.; Lv, T.; Liu, W.; Gao, X.; Zhou, J. Evaluation of machine learning models for predicting daily global and diffuse solar radiation under different weather/pollution conditions. Renew. Energy 2022, 187, 896–906. [Google Scholar] [CrossRef]
- Mughal, S.N.; Sood, Y.R.; Jarial, R.K. A neural network-based time-series model for predicting global solar radiations. IETE J. Res. 2021, 69, 3418–3430. [Google Scholar] [CrossRef]
- Chu, W.; Li, L.; Li, H.; Zhang, Y.; Chen, Y.; Zhi, G.; Yang, X.; Ji, Y.; Chai, F. Atmospheric oxidation capacity and its impact on the secondary inorganic components of PM2.5 in recent years in Beijing: Enlightenment for PM2.5 pollution control in the Future. Atmosphere 2023, 14, 1252. [Google Scholar] [CrossRef]
- An, C.; Li, H.; Ji, Y.; Chu, W.; Yan, X.; Chai, F. A review on nocturnal surface ozone enhancement: Characterization, formation causes, and atmospheric chemical effects. Sci. Total Environ. 2024, 921, 170731. [Google Scholar] [CrossRef] [PubMed]
- He, G.; He, C.; Wang, H.; Lu, X.; Pei, C.; Qiu, X.; Liu, C.; Wang, Y.; Liu, N.; Zhang, J.; et al. Nighttime ozone in the lower boundary layer: Insights from 3-year tower-based measurements in South China and regional air quality modeling. Atmos. Chem. Phys. 2023, 23, 13107–13124. [Google Scholar] [CrossRef]
- Yang, H.; Lu, C.; Hu, Y.; Chan, P.-W.; Li, L.; Zhang, L. Effects of horizontal transport and vertical mixing on nocturnal ozone pollution in the Pearl River Delta. Atmosphere 2022, 13, 1318. [Google Scholar] [CrossRef]
- Shao, Y.; Zhang, J.; Ishizuka, M.; Mikami, M.; Leys, J.; Huang, N. Dependency of particle size distribution at dust emission on friction velocity and atmospheric boundarylayer stability. Atmos. Chem. Phys. 2020, 20, 12939–12953. [Google Scholar] [CrossRef]
- Shan, W.; Yin, Y.; Zhang, J.; Ding, Y. Observational study of surface ozone at an urban site in East China. Atmos. Res. 2008, 89, 252–261. [Google Scholar] [CrossRef]
- Yusoff, M.F.; Latif, M.T.; Juneng, L.; Khan, M.F.; Ahamad, F.; Chung, J.X.; Mohtar, A.A.A. Spatio-temporal assessment of nocturnal surface ozone in Malaysia. Atmos. Environ. 2019, 207, 105–116. [Google Scholar] [CrossRef]
- Jia, S.; Xu, X.; Lin, W.; Wang, Y.; He, X.; Zhang, H. Increased mixing ratio of surface ozone by nighttime convection process over the North China Plain. J. Appl. Meteor. Sci. 2015, 26, 280–290. [Google Scholar] [CrossRef]
- Chen, Z.; Liu, J.; Qie, X.; Cheng, X.; Shen, Y.; Yang, M.; Jiang, R.; Liu, X. Transport of substantial stratospheric ozone to the surface by a dying typhoon and shallow convection. Atmos. Chem. Phys. 2022, 22, 8221–8240. [Google Scholar] [CrossRef]
- Sullivan, J.; Rabenhorst, S.; Dreessen, J.; McGee, T.; Delgado, R.; Twigg, L.; Sumnicht, G. Lidar observations revealing transport of O3 in the presence of a nocturnal low-level jet: Regional implications for “next-day” pollution. Atmos. Environ. 2017, 158, 160–171. [Google Scholar] [CrossRef]
- Zhai, T.; Lu, K.; Wang, H.; Lou, S.; Chen, X.; Hu, R.; Zhang, Y. Elucidate the formation mechanism of particulate nitrate based on direct radical observations in the Yangtze River Delta summer 2019. Atmos. Chem. Phys. 2023, 23, 2379–2391. [Google Scholar] [CrossRef]
- Wang, H.; Lu, K.; Tan, Z.; Chen, X.; Liu, Y.; Zhang, Y. Formation mechanism and control strategy for particulate nitrate in China. J. Environ. Sci. 2023, 123, 476–486. [Google Scholar] [CrossRef]
- Xue, J.; Yuan, Z.; Griffith, S.; Yu, X.; Lau, A.; Yu, J. Sulfate formation enhanced by a cocktail of high NOx,SO2, particulate matter, and droplet pH during Haze-Fog events in megacities in China: An observation-based modeling investigation. Environ. Sci. Technol. 2023, 123, 476–486. [Google Scholar] [CrossRef]
- Ye, C.; Lu, K.; Song, H.; Mu, Y.; Chen, J.; Zhang, Y. A critical review of sulfate aerosol formation mechanisms during winter polluted periods. J. Environ. Sci. 2023, 123, 387–399. [Google Scholar] [CrossRef]




















| 2022 | 2023 | |
|---|---|---|
| January | 29% | 32% |
| February | 46% | 36% |
| March | 58% | 55% |
| April | 43% | 47% |
| May | 55% | 42% |
| June | 47% | 53% |
| July | 32% | 23% |
| August | 39% | 58% |
| September | 63% | 47% |
| October | 42% | 61% |
| November | 47% | 33% |
| December | 23% | 32% |
Disclaimer/Publisher’s Note: The statements, opinions and data contained in all publications are solely those of the individual author(s) and contributor(s) and not of MDPI and/or the editor(s). MDPI and/or the editor(s) disclaim responsibility for any injury to people or property resulting from any ideas, methods, instructions or products referred to in the content. |
© 2024 by the authors. Licensee MDPI, Basel, Switzerland. This article is an open access article distributed under the terms and conditions of the Creative Commons Attribution (CC BY) license (https://creativecommons.org/licenses/by/4.0/).
Share and Cite
An, C.; Yan, Y.; Gao, X.; Yan, X.; Ji, Y.; Shang, F.; Li, J.; Tan, L.; Gao, R.; Bi, F.; et al. A Comparative Investigation of the Characteristics of Nocturnal Ozone Enhancement Events and Their Effects on Ground-Level Ozone and PM2.5 in the Central City of the Yellow River Delta, China, in 2022 and 2023. Atmosphere 2024, 15, 475. https://doi.org/10.3390/atmos15040475
An C, Yan Y, Gao X, Yan X, Ji Y, Shang F, Li J, Tan L, Gao R, Bi F, et al. A Comparative Investigation of the Characteristics of Nocturnal Ozone Enhancement Events and Their Effects on Ground-Level Ozone and PM2.5 in the Central City of the Yellow River Delta, China, in 2022 and 2023. Atmosphere. 2024; 15(4):475. https://doi.org/10.3390/atmos15040475
Chicago/Turabian StyleAn, Cong, Yongxin Yan, Xiaoshuai Gao, Xiaoyu Yan, Yuanyuan Ji, Fanyi Shang, Jidong Li, Luyao Tan, Rui Gao, Fang Bi, and et al. 2024. "A Comparative Investigation of the Characteristics of Nocturnal Ozone Enhancement Events and Their Effects on Ground-Level Ozone and PM2.5 in the Central City of the Yellow River Delta, China, in 2022 and 2023" Atmosphere 15, no. 4: 475. https://doi.org/10.3390/atmos15040475
APA StyleAn, C., Yan, Y., Gao, X., Yan, X., Ji, Y., Shang, F., Li, J., Tan, L., Gao, R., Bi, F., & Li, H. (2024). A Comparative Investigation of the Characteristics of Nocturnal Ozone Enhancement Events and Their Effects on Ground-Level Ozone and PM2.5 in the Central City of the Yellow River Delta, China, in 2022 and 2023. Atmosphere, 15(4), 475. https://doi.org/10.3390/atmos15040475

