Radiation and Temperature of a Tropical Grassland in Summer Times: Experimental Observations
Abstract
1. Introduction
2. Methods
3. Results
3.1. Upwelling and Downwelling Radiation of the Grassland
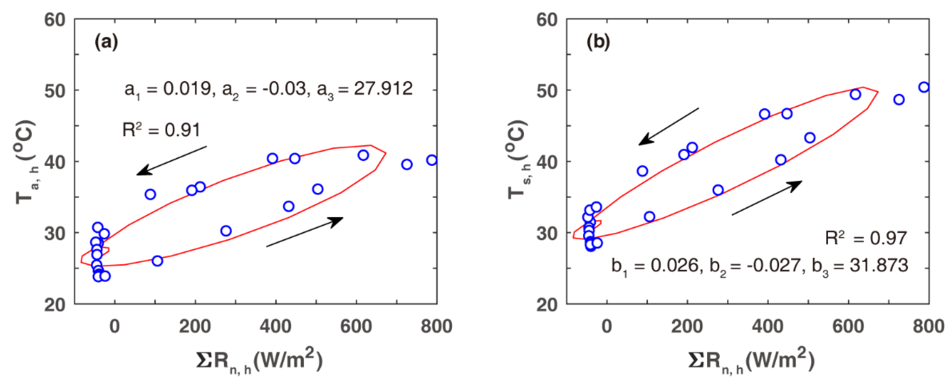
3.2. Radiation and Air Temperature of the Grassland
3.3. Radiation and Surface Temperature of the Grassland
3.4. Ts,d Increases Linearly with Ta,d
3.5. Temperature-Radiation Lag Effect of the Grassland
4. Discussion
5. Conclusions
- (1)
- The grassland has an albedo of around 0.13. While the albedo of a surface normally fluctuates with incoming radiation, the albedo of the grassland varies less over the course of a day.
- (2)
- The temperature of the air above the grassland changes linearly with downwelling short-wave radiation and upwelling long-wave radiation in this grassland but fluctuates arbitrarily with downwelling long-wave radiation. This is due to the fact that the cloud in the sky controls the downwelling long-wave radiation.
- (3)
- The grassland surface temperature and near-surface air temperature fluctuate concurrently, both of which lag behind incoming shortwave radiation and net radiation.
Author Contributions
Funding
Institutional Review Board Statement
Informed Consent Statement
Data Availability Statement
Conflicts of Interest
Nomenclature
| Variables | Unit | Physical Meanings |
| I | W/m2 | Incident solar radiation |
| R | W/m2 | Reflected solar radiation |
| U | W/m2 | Upwelling long-wave radiation |
| D | W/m2 | Downwelling long-wave radiation |
| Rn | W/m2 | Net radiation |
| T | °C | Temperature |
| Σx | - | The daily summation of variable x |
| Subscript | ||
| s | Ground surface | |
| a | Air | |
| h | Hourly | |
| d | Daily |
References
- Srikanth, K.; Swain, D. Urbanization and Land surface temperature changes over Hyderabad, a semi-arid mega city in India. Remote Sens. Appl. 2022, 28, 100858. [Google Scholar] [CrossRef]
- Nguyen, C.T.; Chidthaisong, A.; Limsakul, A.; Varnakovida, P.; Ekkawatpanit, C.; Diem, P.K.; Diep, N.T.H. How do disparate urbanization and climate change imprint on urban thermal variations? A comparison between two dynamic cities in Southeast Asia. Sustain. Cities. Soc. 2022, 82, 103882. [Google Scholar] [CrossRef]
- Mathew, A.; Sarwesh, P.; Khandelwal, S. Investigating the contrast diurnal relationship of land surface temperatures with various surface parameters represent vegetation, soil, water, and urbanization over Ahmedabad city in India. Energy Nexus 2022, 5, 100044. [Google Scholar] [CrossRef]
- Bayazıt, Y.; Koç, C.; Bakış, R. Urbanization impacts on flash urban floods in Bodrum Province, Turkey. Hydrolog. Sci. J. 2021, 66, 118–133. [Google Scholar] [CrossRef]
- Qin, Y. A review on the development of cool pavements to mitigate urban heat island effect. Renew. Sust. Energy Rev. 2015, 52, 445–459. [Google Scholar] [CrossRef]
- Wang, X.; Li, H.; Sodoudi, S. The effectiveness of cool and green roofs in mitigating urban heat island and improving human thermal comfort. Build. Environ. 2022, 217, 109082. [Google Scholar] [CrossRef]
- Li, D.; Bou-Zeid, E.; Oppenheimer, M. The effectiveness of cool and green roofs as urban heat island mitigation strategies. Environ. Res. Lett. 2014, 9, 055002. [Google Scholar] [CrossRef]
- Oke, T.R. The energetic basis of the urban heat island. Q. J. R. Meteor. Soc. 1982, 108, 1–24. [Google Scholar] [CrossRef]
- Oke, T.R. The distinction between canopy and boundary-layer urban heat islands. Atmosphere 1976, 14, 268–277. [Google Scholar] [CrossRef]
- Oke, T.R. The urban energy balance. Prog. Phys. Geog. 1988, 12, 471–508. [Google Scholar] [CrossRef]
- Sangkakool, T.; Techato, K.; Zaman, R.; Brudermann, T. Prospects of green roofs in urban Thailand—A multi-criteria decision analysis. J. Clean. Prod. 2018, 196, 400–410. [Google Scholar] [CrossRef]
- Meng, E.; Yang, J.; Zhou, B.; Wang, C.; Li, J. Preparation and thermal performance of phase change material (PCM) foamed cement used for the roof. J. Bulid. Eng. 2022, 53, 104579. [Google Scholar] [CrossRef]
- Sinsel, T.; Simon, H.; Broadbent, A.M.; Bruse, M.; Heusinger, J. Modeling impacts of super cool roofs on air temperature at pedestrian level in mesoscale and microscale climate models. Urban Clim. 2021, 40, 101001. [Google Scholar] [CrossRef]
- Kuang, W.; Li, Z.; Hamdi, R. Comparison of surface radiation and turbulent heat fluxes in Olympic Forest Park and on a building roof in Beijing, China. Urban Clim. 2020, 31, 100562. [Google Scholar] [CrossRef]
- Konopka, J.; Heusinger, J.; Weber, S. Extensive Urban Green Roof Shows Consistent Annual Net Uptake of Carbon as Documented by 5 Years of Eddy-Covariance Flux Measurements. J. Geophys. Res.-Biogeosci. 2021, 126, e2020JG005879. [Google Scholar] [CrossRef]
- De-Ville, S.; Menon, M.; Jia, X.; Reed, G.; Stovin, V. The impact of green roof ageing on substrate characteristics and hydrological performance. J. Hydrol. 2017, 547, 332–344. [Google Scholar] [CrossRef]
- Mastrapostoli, E.; Santamouris, M.; Kolokotsa, D.; Vassilis, P.; Venieri, D.; Gompakis, K. On the ageing of cool roofs: Measure of the optical degradation, chemical and biological analysis and assessment of the energy impact. Energy Build. 2016, 114, 191–199. [Google Scholar] [CrossRef]
- Alchapar, N.L.; Correa, E.N. Aging of roof coatings. Solar reflectance stability according to their morphological characteristics. Constr. Build. Mater. 2016, 102, 297–305. [Google Scholar] [CrossRef]
- Zingre, K.T.; Wan, M.P.; Wong, S.K.; Toh, W.B.T.; Lee, I.Y.L. Modelling of cool roof performance for double-skin roofs in tropical climate. Energy 2015, 82, 813–826. [Google Scholar] [CrossRef]
- Liu, M.; Zheng, H.; Niu, F.; Fang, J.; Lin, Z.; Luo, J.; Yin, G. Cooling performance enhancement of a new expressway embankment in the Tibetan Plateau permafrost zone. Cold Reg. Sci. Technol. 2021, 190, 103345. [Google Scholar] [CrossRef]
- Dong, Y.; Chen, J.; Yuan, K.; Jin, L.; Zhu, D.; Zhang, H.; Peng, H. A field embankment test along the Gonghe-Yushu Expressway in the permafrost regions of the Qinghai-Tibet Plateau. Cold Reg. Sci. Technol. 2020, 170, 102941. [Google Scholar] [CrossRef]
- Wang, J.; Meng, Q.; Zhang, L.; Zhang, Y.; He, B.-J.; Zheng, S.; Santamouris, M. Impacts of the water absorption capability on the evaporative cooling effect of pervious paving materials. Build. Environ. 2019, 151, 187–197. [Google Scholar] [CrossRef]
- Tan, K.; Qin, Y.; Wang, J. Evaluation of the properties and carbon sequestration potential of biochar-modified pervious concrete. Constr. Build. Mater. 2022, 314, 125648. [Google Scholar] [CrossRef]
- Qin, Y.; Liang, J.; Tan, K.; Li, F. The amplitude and maximum of daily pavement surface temperature increase linearly with solar absorption. Road Mater. Pavement 2017, 18, 440–452. [Google Scholar] [CrossRef]
- Santamouris, M.; Fiorito, F. On the impact of modified urban albedo on ambient temperature and heat related mortality. Sol. Energy 2021, 216, 493–507. [Google Scholar] [CrossRef]
- Fahed, J.; Kinab, E.; Ginestet, S.; Adolphe, L. Impact of urban heat island mitigation measures on microclimate and pedestrian comfort in a dense urban district of Lebanon. Sustain. Cities Soc. 2020, 61, 102375. [Google Scholar] [CrossRef]
- Zhang, L.; Pan, Z.; Zhang, Y.; Meng, Q. Impact of climatic factors on evaporative cooling of porous building materials. Energy Build. 2018, 173, 601–612. [Google Scholar] [CrossRef]
- Cecilia, A.; Casasanta, G.; Petenko, I.; Conidi, A.; Argentini, S. Measuring the urban heat island of Rome through a dense weather station network and remote sensing imperviousness data. Urban Clim. 2023, 47, 101355. [Google Scholar] [CrossRef]
- Kimothi, S.; Thapliyal, A.; Gehlot, A.; Aledaily, A.N.; Gupta, A.; Bilandi, N.; Singh, R.; Kumar Malik, P.; Vaseem Akram, S. Spatio-temporal fluctuations analysis of land surface temperature (LST) using Remote Sensing data (LANDSAT TM5/8) and multifractal technique to characterize the urban heat Islands (UHIs). Sustain. Energy Technol. 2023, 55, 102956. [Google Scholar] [CrossRef]
- Halder, B.; Bandyopadhyay, J.; Banik, P. Monitoring the effect of urban development on urban heat island based on remote sensing and geo-spatial approach in Kolkata and adjacent areas, India. Sustain. Cities Soc. 2021, 74, 103186. [Google Scholar] [CrossRef]
- Chatterjee, U.; Majumdar, S. Impact of land use change and rapid urbanization on urban heat island in Kolkata city: A remote sensing based perspective. J. Urban Manag. 2022, 11, 59–71. [Google Scholar] [CrossRef]
- Shatnawi, N.; Abu Qdais, H. Mapping urban land surface temperature using remote sensing techniques and artificial neural network modelling. Int. J. Remote Sens. 2019, 40, 3968–3983. [Google Scholar] [CrossRef]
- Logan, T.M.; Zaitchik, B.; Guikema, S.; Nisbet, A. Night and day: The influence and relative importance of urban characteristics on remotely sensed land surface temperature. Remote Sens. Environ. 2020, 247, 111861. [Google Scholar] [CrossRef]
- Almeida, C.R.; Teodoro, A.C.; Gonçalves, A. Study of the Urban Heat Island (UHI) Using Remote Sensing Data/Techniques: A Systematic Review. Environments 2021, 8, 105. [Google Scholar] [CrossRef]
- Shen, X.; Liu, Y.; Wu, L.; Ma, R.; Wang, Y.; Zhang, J.; Wang, L.; Liu, B.; Lu, X.; Jiang, M. Grassland greening impacts on global land surface temperature. Sci. Total Environ. 2022, 838, 155851. [Google Scholar] [CrossRef]
- Mohammad Harmay, N.S.; Kim, D.; Choi, M. Urban Heat Island associated with Land Use/Land Cover and climate variations in Melbourne, Australia. Sustain. Cities Soc. 2021, 69, 102861. [Google Scholar] [CrossRef]
- Lin, Y.; Wang, Z.; Jim, C.Y.; Li, J.; Deng, J.; Liu, J. Water as an urban heat sink: Blue infrastructure alleviates urban heat island effect in mega-city agglomeration. J. Clean. Prod. 2020, 262, 121411. [Google Scholar] [CrossRef]
- Zhu, D.; Zhou, X.; Cheng, W. Water effects on urban heat islands in summer using WRF-UCM with gridded urban canopy parameters—A case study of Wuhan. Build. Environ. 2022, 225, 109528. [Google Scholar] [CrossRef]
- Kwon, Y.J.; Lee, D.K.; Kim, J.-H.; Oh, K. Improving urban thermal environments by analysing sensible heat flux patterns in zoning districts. Cities 2021, 116, 103276. [Google Scholar] [CrossRef]
- Voogt, J.A.; Oke, T.R. Complete Urban Surface Temperatures. J. Appl. Meteorol. Clim. 1997, 36, 1117–1132. [Google Scholar] [CrossRef]
- Takebayashi, H.; Moriyama, M. Study on the urban heat island mitigation effect achieved by converting to grass-covered parking. Sol. Energy 2009, 83, 1211–1223. [Google Scholar] [CrossRef]
- Qin, Y.; Hiller, J.E. Understanding pavement-surface energy balance and its implications on cool pavement development. Energy Build. 2014, 85, 389–399. [Google Scholar] [CrossRef]
- Tiwari, A.; Kumar, P.; Kalaiarasan, G.; Ottosen, T.-B. The impacts of existing and hypothetical green infrastructure scenarios on urban heat island formation. Environ. Pollut. 2021, 274, 115898. [Google Scholar] [CrossRef] [PubMed]
- Imran, H.M.; Kala, J.; Ng, A.W.M.; Muthukumaran, S. Effectiveness of vegetated patches as Green Infrastructure in mitigating Urban Heat Island effects during a heatwave event in the city of Melbourne. Weather Clim. Extrem. 2019, 25, 100217. [Google Scholar] [CrossRef]
- Tan, K.; Wang, J. Substrate modified with biochar improves the hydrothermal properties of green roofs. Environ. Res. 2023, 216, 114405. [Google Scholar] [CrossRef] [PubMed]











| Date | ||||||
|---|---|---|---|---|---|---|
| 29 July | 0.020 | −0.047 | 27.753 | 0.027 | −0.039 | 31.710 |
| 30 July | 0.021 | −0.048 | 28.388 | 0.028 | −0.039 | 32.190 |
| 31 July | 0.021 | −0.033 | 28.182 | 0.029 | −0.029 | 31.736 |
| 1 August | 0.023 | −0.034 | 27.358 | 0.031 | −0.031 | 31.642 |
| 2 August | 0.023 | −0.046 | 28.471 | 0.032 | −0.004 | 32.547 |
| 3 August | 0.024 | −0.064 | 29.557 | 0.032 | −0.054 | 33.550 |
| 4 August | 0.016 | −0.017 | 29.024 | 0.025 | −0.017 | 33.428 |
| 5 August | 0.004 | −0.018 | 25.658 | 0.017 | −0.016 | 30.713 |
| 6 August | 0.013 | −0.005 | 26.222 | 0.016 | −0.003 | 30.884 |
| 7 August | 0.025 | −0.028 | 25.955 | 0.023 | −0.022 | 30.686 |
| 8 August | 0.022 | −0.019 | 25.679 | 0.020 | −0.013 | 30.531 |
| 9 August | 0.019 | −0.030 | 24.963 | 0.017 | −0.019 | 29.778 |
Disclaimer/Publisher’s Note: The statements, opinions and data contained in all publications are solely those of the individual author(s) and contributor(s) and not of MDPI and/or the editor(s). MDPI and/or the editor(s) disclaim responsibility for any injury to people or property resulting from any ideas, methods, instructions or products referred to in the content. |
© 2023 by the authors. Licensee MDPI, Basel, Switzerland. This article is an open access article distributed under the terms and conditions of the Creative Commons Attribution (CC BY) license (https://creativecommons.org/licenses/by/4.0/).
Share and Cite
Lu, Y.; Wang, T.; Huang, C.; Qin, Y. Radiation and Temperature of a Tropical Grassland in Summer Times: Experimental Observations. Atmosphere 2023, 14, 649. https://doi.org/10.3390/atmos14040649
Lu Y, Wang T, Huang C, Qin Y. Radiation and Temperature of a Tropical Grassland in Summer Times: Experimental Observations. Atmosphere. 2023; 14(4):649. https://doi.org/10.3390/atmos14040649
Chicago/Turabian StyleLu, Yunan, Tianyu Wang, Chan Huang, and Yinghong Qin. 2023. "Radiation and Temperature of a Tropical Grassland in Summer Times: Experimental Observations" Atmosphere 14, no. 4: 649. https://doi.org/10.3390/atmos14040649
APA StyleLu, Y., Wang, T., Huang, C., & Qin, Y. (2023). Radiation and Temperature of a Tropical Grassland in Summer Times: Experimental Observations. Atmosphere, 14(4), 649. https://doi.org/10.3390/atmos14040649

