Temporal Variation and Source Analysis of Atmospheric CH4 at Different Altitudes in the Background Area of Yangtze River Delta
Abstract
:1. Introduction
2. Site Description and Methods
2.1. Site Description
2.2. Observation Data Quality Control
2.3. Data Processing Method
3. Results and Discussion
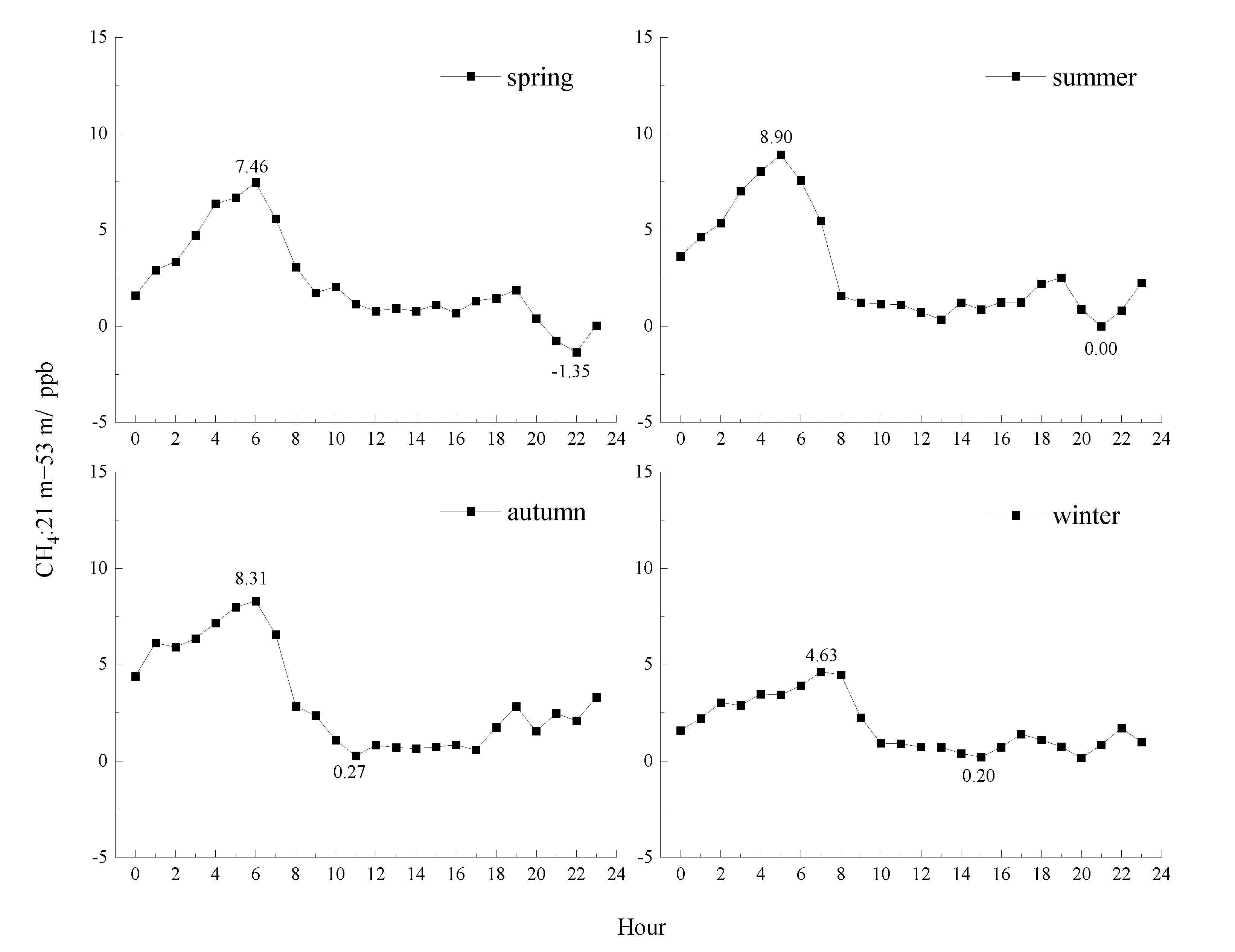
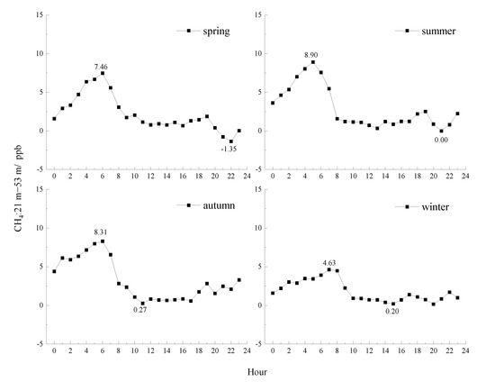
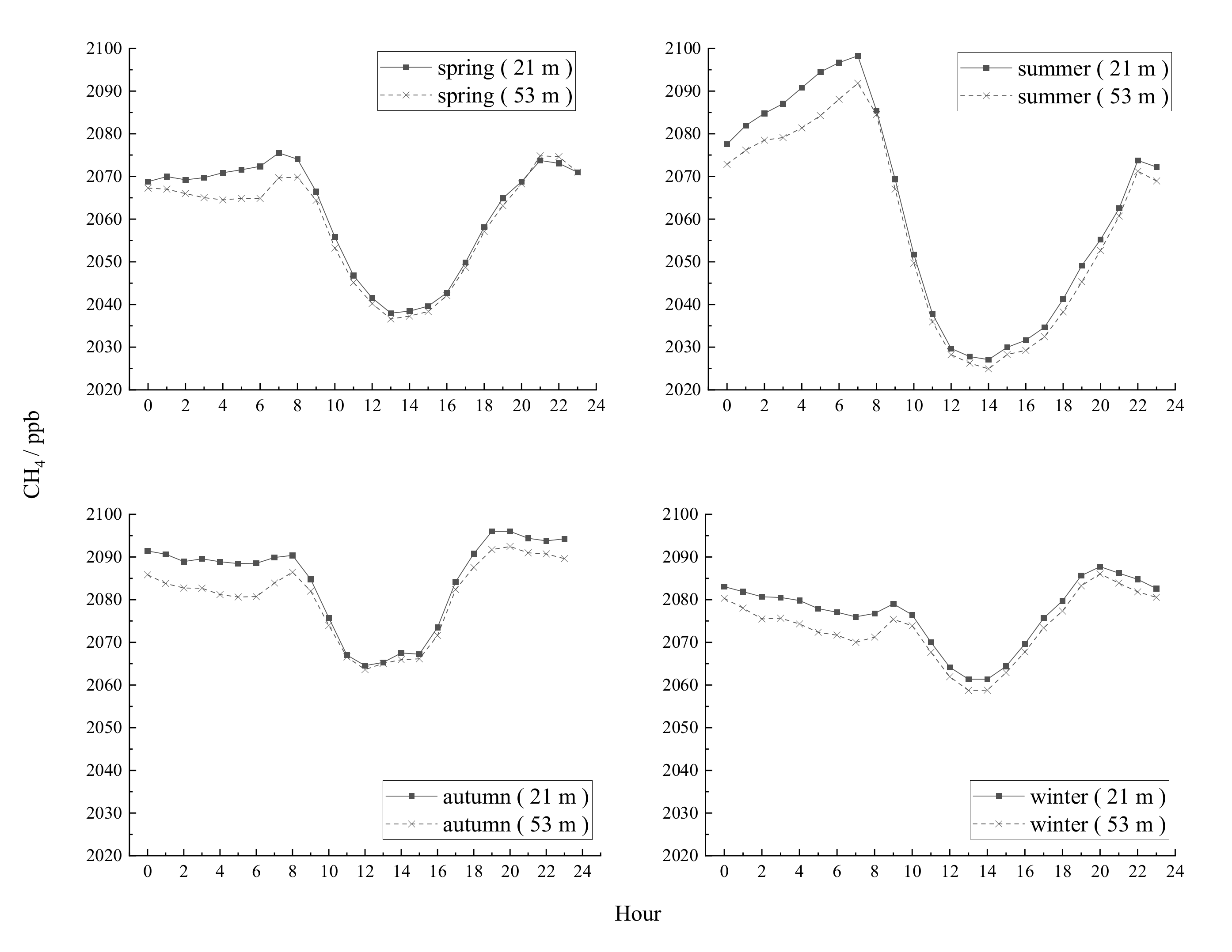
3.1. Diurnal Variation in CH4 at Different Altitudes
3.2. CH4 Background Data Screening and Seasonal Variation
3.3. Cluster Analysis of Back Trajectories and Potential Source Analysis
4. Conclusions
- (1)
- The CH4 concentrations at the high and low altitudes at Lin’an Station show notable diurnal variations, being high in the morning and evening and low in the daytime. The CH4 concentration at the low altitude is higher than that at the high altitude. The diurnal variation of the CH4 concentration difference at high and low altitudes is similar; in summer, it is higher than that in the other three seasons. The CH4 concentration at Lin’an Station is greatly affected by local sources, which will lead to a significant rise in the CH4 concentration at lower altitudes, especially in spring, summer, and autumn.
- (2)
- The background CH4 concentration at the higher and lower altitudes at Lin’an Station are 2026.4 and 2031.0 ppb, respectively, representing a difference of 4.6 ppb. The CH4 concentration at higher altitudes is more representative of the region. The background CH4 concentration at the two altitudes shows the same seasonal variation, that is, a bimodal and valley variation. Peak values can be observed in May and December, and minima appear in March and July.
- (3)
- The potential source areas of CH4 at Lin’an Station differ in different seasons. In spring and summer, the potential source areas are mainly distributed in the Yangtze River Delta region, Anhui Province, Jiangxi Province, Hunan Province, and other places that are greatly affected by rice planting and wetland discharge. In autumn, the potential source areas are mainly distributed in the Yangtze River Delta region and at the provincial boundaries of Anhui Province and Jiangsu Province, which are greatly affected by paddy fields and coal mining. In winter, the potential source areas are mainly distributed in the Shaoxing–Taizhou area, Nanchang City of Jiangxi Province, Changsha City of Hunan Province, and Shandong Province, which are greatly affected by livestock emissions.
Author Contributions
Funding
Institutional Review Board Statement
Informed Consent Statement
Data Availability Statement
Conflicts of Interest
References
- World Meteorological Organization (WMO). WMO Greenhouse Gas Bulletin (GHG Bulletin) No. 17: The State of Greenhouse Gases in the Atmosphere Based on Global Observations through 2020. Available online: https://library.wmo.int/index.php?lvl=notice_display&id=21975#.Ysfo_TdBxD8 (accessed on 25 October 2021).
- Bousquet, P.; Ciais, P.; Miller, J.B.; Dlugokencky, E.J.; Hauglustaine, D.A.; Prigent, C.; Van der Werf, G.R.; Peylin, P.; Brunke, E.G.; Carouge, C.; et al. Contribution of anthropogenic and natural sources to atmospheric methane variability. Nature 2006, 443, 439–443. [Google Scholar] [CrossRef] [PubMed]
- Vaghjiani, G.L.; Ravishankara, A.R. New Measurement of the Rate Coefficient for the Reaction of OH with Methane. Nature 1991, 350, 406–409. [Google Scholar] [CrossRef]
- Lelieveld, J.; Crutzen, P.J.; Dentener, F.J. Changing concentration, lifetime and climate forcing of atmospheric methane. Tellus B 1998, 50, 128. [Google Scholar] [CrossRef]
- Shindell, D.; Kuylenstierna, J.C.I.; Vignati, E.; van Dingenen, R.; Amann, M.; Klimont, Z.; Anenberg, S.C.; Muller, N.; Janssens-Maenhout, G.; Raes, F.; et al. Simultaneously Mitigating Near-Term Climate Change and Improving Human Health and Food Security. Science 2012, 335, 183–189. [Google Scholar] [CrossRef] [PubMed] [Green Version]
- Pu, J.J.; Xu, H.H.; Gu, J.Q.; Ma, Q.L.; Fang, S.X.; Zhou, L.X. Impacts of meteorological factors on atmospheric methane mole fractions in the background area of Yangtze River Delta. Environ. Sci. 2013, 34, 835–841. [Google Scholar]
- Pu, J.J.; Xu, H.H.; Gu, J.Q.; Yu, X.M. Variation Characteristics of Atmospheric CH_4 Concentration at Lin’an Regional Background Station. Resour. Environ. Yangtze Basin 2012, 21, 79–83. [Google Scholar]
- Yang, Q.; Guan, L.; Tao, F.; Liang, M.; Sun, W.Q. Changes of CH4 Concentrations Obtained by Ground-based Observations at Five Atmospheric Background Stations in China. Environ. Sci. Technol. 2018, 41, 1–7. [Google Scholar] [CrossRef]
- Xu, Y.; Liao, B.; Jiang, Z.; Xin, K.; Xiong, Y.; Guan, W. Emission of Greenhouse Gases (CH4 And CO2) Into The Atmosphere From Restored Mangrove Soil In South China. J. Coastal. Res. 2021, 37, 52–58. [Google Scholar] [CrossRef]
- Tong, C.; Bastviken, D.; Tang, K.W.; Yang, P.; Yang, H.; Zhang, Y.; Guo, Q.; Lai, D.Y. Annual Co2 and Ch4 Fluxes in Coastal Earthen Ponds with Litopenaeus Vannamei in Southeastern China. Aquaculture 2021, 545, 737229. [Google Scholar] [CrossRef]
- Liu, S.; Fang, S.; Liu, P.; Liang, M.; Guo, M.; Feng, Z. Measurement Report: Changing Characteristics of Atmospheric CH4 In The Tibetan Plateau: Records From 1994 To 2019 At The Mount Waliguan Station. Atmos. Chem. Phys. 2021, 21, 393–413. [Google Scholar] [CrossRef]
- Liang, M.; Zhang, Y.; Ma, Q.; Yu, D.; Chen, X.; Cohen, J.B. Dramatic decline of observed atmospheric CO2 and CH4 during the COVID-19 lockdown over the Yangtze River Delta of China. J. Environ. Sci. 2023, 124, 712–722. [Google Scholar] [CrossRef]
- Liu, L.X.; Zhou, L.X.; Wen, M.; Zhang, F.; Fang, S.X.; Yao, B. Characteristics of Atmospheric CH_4 Concentration Variations at Four National Baseline Observatories in China. Adv. Clim. Chang. Res. 2009, 5, 41–46. [Google Scholar]
- Fang, S.X.; Zhou, L.X.; Xu, L.; Yao, B.; Liu, L.X.; Xia, L.J.; Wang, H.Y. CH4 Concentrations and the Variation Characteristics at the four WMO/GAW Background Stations in China. Environ. Sci. 2012, 33, 3–9. [Google Scholar]
- Zhang, F.; Zhou, L.; Xu, L. Temporal variation of atmospheric CH4 and the potential source regions at Waliguan, China. Sci. China Earth Sci. 2013, 56, 727–736. [Google Scholar] [CrossRef]
- Cheng, Y.; Shan, Y.; Xue, Y.; Zhu, Y.; Wang, X.; Xue, L.; Liu, Y.; Qiao, F.; Zhang, M. Variation characteristics of atmospheric methane and carbon dioxide in summertime at a coastal site in the South China Sea. Front. Environ. Sci. Eng. 2022, 16, 139. [Google Scholar] [CrossRef]
- Pestunov, D.A.; Domysheva, V.M.; Sakirko, M.V.; Shamrin, A.M.; Panchenko, M.V. Methane in the atmosphere and surface water of Lake Baikal. In Proceedings of the 27th International Symposium on Atmospheric and Ocean Optics, Atmospheric Physics, Moscow, Russia, 5–9 July 2021; pp. 932–937. [Google Scholar]
- Thoning, K.W.; Tans, P.P.; Komhyr, W.D. Atmospheric Carbon Dioxide at Mauna Loa Observatory 2. Analysis of the NOAA GMCC Data, 1974–1985. J. Geophys. Res. Atmos. 1989, 94, 8549–8565. [Google Scholar] [CrossRef]
- Ruckstuhl, A.F.; Henne, S.; Reimann, S.; Steinbacher, M.; Vollmer, M.K.; O’Doherty, S.; Buchmann, B.; Hueglin, C. Robust extraction of baseline signal of atmospheric trace species using local regression. Atmos. Meas. Tech 2012, 5, 2613–2624. [Google Scholar] [CrossRef] [Green Version]
- Gong, S.; Shi, Y. Evaluation of comprehensive monthly-gridded methane emissions from natural and anthropogenic sources in China. Sci. Total Environ. 2021, 784, 2613–2624. [Google Scholar] [CrossRef]
- Li, P.; Yu, Y.; Zhao, S.P.; Dong, L.X.; Yan, M. Situation and Influencing Factors of Ground-level Ozone Pollution in China from 2015 to 2017. Plateau Meteorol. 2019, 38, 1344–1353. [Google Scholar] [CrossRef]
- Wang, Y.Q.; Zhang, X.Y.; Draxler, R.R. TrajStat: GIS-based software that uses various trajectory statistical analysis methods to identify potential sources from long-term air pollution measurement data. Environ. Model. Softw. 2009, 24, 938–939. [Google Scholar] [CrossRef]
- Yang, D.; Shen, S.; Zhang, M.; Lee, X.; Xiao, W. Uncertainty analysis on the estimation of CO2 and CH4 emission inventory over Nanjing and Yangtze River Delta. J. Meteorol. Sci. 2014, 34, 325–334. [Google Scholar] [CrossRef]







| Season | 21 m CH4 Concentration/ppb | 53 m CH4 Concentration/ppb | ||||
|---|---|---|---|---|---|---|
| BG | POL | DEP | BG | POL | DEP | |
| Spring | 2028.3 | 2147.2 | 1974.0 | 2024.6 | 2144.7 | 1971.5 |
| Summer | 2002.2 | 2162.6 | 1924.4 | 1992.5 | 2157.0 | 1919.4 |
| Autumn | 2045.2 | 2172.0 | 1979.0 | 2040.2 | 2168.2 | 1975.1 |
| Winter | 2041.0 | 2163.3 | 1989.0 | 2037.8 | 2159.8 | 1986.3 |
| Total | 2031.0 | 2161.4 | 1963.2 | 2026.4 | 2157.5 | 1960.4 |
Publisher’s Note: MDPI stays neutral with regard to jurisdictional claims in published maps and institutional affiliations. |
© 2022 by the authors. Licensee MDPI, Basel, Switzerland. This article is an open access article distributed under the terms and conditions of the Creative Commons Attribution (CC BY) license (https://creativecommons.org/licenses/by/4.0/).
Share and Cite
Shan, M.; Xu, H.; Han, L.; Pang, Y.; Ma, J.; Zhang, C. Temporal Variation and Source Analysis of Atmospheric CH4 at Different Altitudes in the Background Area of Yangtze River Delta. Atmosphere 2022, 13, 1206. https://doi.org/10.3390/atmos13081206
Shan M, Xu H, Han L, Pang Y, Ma J, Zhang C. Temporal Variation and Source Analysis of Atmospheric CH4 at Different Altitudes in the Background Area of Yangtze River Delta. Atmosphere. 2022; 13(8):1206. https://doi.org/10.3390/atmos13081206
Chicago/Turabian StyleShan, Meng, Honghui Xu, Lujie Han, Yuting Pang, Juncheng Ma, and Chao Zhang. 2022. "Temporal Variation and Source Analysis of Atmospheric CH4 at Different Altitudes in the Background Area of Yangtze River Delta" Atmosphere 13, no. 8: 1206. https://doi.org/10.3390/atmos13081206
APA StyleShan, M., Xu, H., Han, L., Pang, Y., Ma, J., & Zhang, C. (2022). Temporal Variation and Source Analysis of Atmospheric CH4 at Different Altitudes in the Background Area of Yangtze River Delta. Atmosphere, 13(8), 1206. https://doi.org/10.3390/atmos13081206

