Abstract
As wind shear increases, the quasi-two-dimensional structure of flows becomes more significant in the convective boundary layer (CBL), indicating that wind shear plays an essential role in the variation of the field of atmospheric flow. Therefore, sensitive numerical experiments based on Large Eddy Simulation (LES) techniques were conducted to comprehensively investigate the effects of wind shear on the spatial variations in the velocity and potential temperature (θ) horizontal fields. Under the constant surface heat flux condition, the main findings are summarized. Firstly, in the CBL, the variances of the streamwise velocity (u), cross-stream velocity (v), and θ enhance as wind shear increases, whereas the variance of vertical velocity (w) is insensitive to wind shear. Secondly, in the CBL, with increasing wind shear, low-wavenumber Power Spectrum Densities (PSDs) of u, v, w, and θ increase significantly, suggesting that the increasing wind shear always enhances the large-scale motions of the atmosphere (i.e., low-wavenumber PSD). Therefore, it is more likely that some mesoscale weather processes will be triggered. Thirdly, generally, in the high-wavenumber range, with increasing wind shear, the PSDs of u, v, and θ increase slightly, whereas the PSD of w decreases slightly. This study provides a new perspective for understanding the role of wind shear in the spatial variations of the horizontal fields of meteorological elements under the same conditions of surface heat flux.
1. Introduction
Under moderate surface heat fluxes and weak to negligible wind shear, convection can form into a quasi-two-dimensional structure known as an open cell. It is similar to the coherent turbulence structure of Rayleigh–Bénard convection in the laboratory, which consists of narrow spokes of strong updrafts and broad zones of compensating downdrafts [1,2]. Nevertheless, when mean wind shear becomes increasingly strong, convective updrafts tend to organize into horizontal rolls aligned within 10–20° of the geostrophic wind direction in the northern hemisphere [3,4]. All the above suggests that wind shear plays an essential role in the spatial variation of the convective boundary layer (CBL) flow field.
Understanding wind shear’s effects on the spatial variation of the flow field of the CBL has important implications for microscale and mesoscale meteorology. This is because wind shear produces perturbations in velocity, temperature, and the water vapor mixing ratio, which can influence the initiation of deep and moist convection [5,6,7]. In addition, it is known that vertical wind shear contributes to storms [8] and tornado formation [9]. Using a 10-year mesoscale convective system (MCS) dataset, Baidu et al. [10] showed that a strong vertical shear is associated with long-lived, moderate speed, moderate size, and cold (deep) storms with high rain rates over West and Central Africa. Furthermore, based on four years of daily Special Sensor Microwave Imager (SSMI) and Tropical Rainfall Measuring Mission (TRMM) Microwave Imager (TMI) satellite passive microwave retrievals, Back et al. [11] demonstrated that at a high column relative humidity, faster winds are associated with substantially more precipitation throughout the Pacific Intertropical Convergence Zone (ITCZ). All the above may be due to the enhancement of the quasi-two-dimensional structure of the flow field induced by the strong wind shear.
Generally, turbulence within the CBL is generated and maintained by two forces, i.e., buoyancy (equivalent to heat flux) and wind shear [12]. Therefore, many studies have primarily focused on the relationships between the coherent structure and atmospheric instability -zi/L, a synthetic index of buoyancy and wind shear [13,14,15]. Here, zi is the CBL’s depth, and L is the Monin–Obukhov length. However, as illustrated by Moeng et al. [12], due to the different mechanisms of buoyancy and wind shear forces, the flow structure patterns and turbulence statistics of the flow field are quite different. In fluid mechanics research, there are numerous outstanding works investigating the effects of wind shear on the structure and statistics of turbulent flows. For example, through direct numerical simulations of homogeneous turbulent flows, Lee et al. [16] show that high shear rates alone are sufficient to produce streak-like structures and that the presence of solid boundaries is unnecessary. However, in the CBL, the situation is more complex, with shear turbulence always accompanied by buoyant turbulence. To the authors’ knowledge, in meteorological research, relatively few studies have been carried out on the effects of wind shear on atmospheric motion at different scales in the CBL. Therefore, exploring the wind shear effect under identical heat flux conditions is valuable with respect to more comprehensively understanding the spatial variation of the horizontal field of meteorological elements in the CBL and discussing its impact on mesoscale weather processes.
Therefore, this study focuses on the effect of wind shear on the spatial variation of meteorological elements’ (i.e., velocity and potential temperature) fields in the CBL by using the Large Eddy Simulation (LES) model, Kernel Smoothing Function Estimation (KSFE) method, and two-dimensional (2-d) Power Spectral Density (PSD) techniques [15]. This study introduces a new perspective to more comprehensively understand the role of wind shear in the spatial variations of the atmospheric flow field.
2. Data and Methods
In recent years, the Weather Research and Forecasting (WRF) model framework embedded with an LES model (WRF-LES) has been used to analyze the behavior of the PBL under different stability conditions and to implement and develop new turbulence parametrizations [17,18]. Given LES’s prominent and important role in studying boundary layer dynamics, this study uses the WRF-LES version 4.0 to reproduce the turbulent flow data.
Three benchmark simulations are run on a domain of 12.8 × 12.8 × 3 km, with a 512 × 512 × 120 grid (horizontal grid spacing Δx = Δy = 25 m; vertical grid spacing Δz = 25 m), and a timestep of Δt = 0.15 s. At a speed of 20 m s−1, we can calculate that the Courant–Friedrichs–Lewy (CFL) number is equal to 0.12, which satisfies the requirement for convergence of the numerical calculation. The initial Convective Boundary Layer (CBL) depth zi is set at about 1000 m. To evaluate the impact of wind shear on the CBL flow’s self-organization, the LES was forced by different zonal pressure gradients expressed in terms of the zonal geostrophic wind speed Ug and a constant surface heat flux (Q0). The increase in Ug represents the increase in wind shear. The Coriolis parameter was set to f = 1.0 × 10−4 s−1, corresponding to latitude ϕ = 43.3°N, and the roughness length was set to z0 = 0.1 m. The 1.5-order turbulent kinetic energy (TKE) model was chosen as the WRF-LES sub-grid closure scheme [19,20]. Periodic boundary conditions are used in the x- and y- directions. The rigid-lid upper boundary condition is used, and Rayleigh damping is applied for the top 1000 m of the simulation domain.
According to Moeng et al. [12], the dynamic flow field typically takes about 6 large-eddy turnover times (represented by ) to reach a statistically quasi-steady state. Here, is the large-eddy turnover time estimated by , approximately 500 s in the WRF-LES simulations, which agrees with Shin et al. [21]. Simulations are performed for 3 h of physical time, much greater than the minimum duration of 0.83 h, to obtain the fully developed turbulence data. Since the horizontal grid number (512 × 512) is sufficient for statistics, the 3-d simulation data at 3 h of physical time are used in the study for analysis. Following the derivation employed by Troen et al. [22], the boundary layer height is expressed as Equation (1)
where Ribcr is the critical bulk Richardson number, U(zi) is the horizontal wind speed at zi, is the virtual potential temperature at the lowest model level, is the virtual potential temperature at zi, and is the surface potential temperature. It is generally accepted that when the Richardson number is less than 0.25, turbulence is usually considered fully developed; therefore, Ribcr = 0.25 is used to calculate zi [23].
A summary of the characteristics of the simulations, including the forcings (Ug and Q0), characteristic length (L and zi), and velocity scales (friction velocity— and convective velocity—) can be found in Table 1.
Table 1.
Properties of numerical simulations, including geostrophic velocity (Ug), surface heat flux (Q0), CBL depth (zi), Monin–Obukhov length (L), friction velocity (), and convective velocity scale ().
The atmospheric convective boundary layer height is typically about 1 to 1.5 km, so we use the same initial potential temperature profile as Shin et al. [20], as shown in Equation (2).
Since the horizontal gradient can effectively represent the spatial variation of physical quantities, to perceive the spatial variation of the horizontal fields of the streamwise wind component (u), cross-stream wind component (v), vertical velocity (w), and potential temperature (θ) with the mean wind shear, the horizontal spatial gradients of u, v, w, and θ, i.e., , , , and , are used to directly and approximately account for their spatial variation.
The KSFE (based on a normal kernel function) is adopted to calculate the Probability Density Function (PDF) of the meteorological elements with the default bandwidth of the smoothing window (which is optimal for normal densities). The kernel distribution is suitable when a parametric distribution cannot properly describe the data or when the user wants to avoid making assumptions about the data distribution and create a smooth, continuous probability density function for the data set.
This study emphasizes the spatial PSD characteristics of u, v, w, and θ horizontal fields calculated by the 2-dimension Fourier Transform. In the CBL, velocity and scalar fields can approach isotropy in the horizontal plane, and the power spectral density depends only on horizontal wavenumber’s magnitude [24]. Thus, Peltier et al. [25] defined and introduced a 1-dimension PSD by integrating 2-dimension PSD over circular rings of wavenumber radius (Equation (3))
where ; and are x-direction and y-direction wavenumbers, respectively. We adopt the more precise Peltier et al. [25] method to calculate the PSD of the instantaneous velocity and horizontal temperature fields.
3. Results
3.1. Effects of Wind Shear on the Horizontal Fields of Meteorological Elements
To better understand the evolution of the coherent structure of velocity and scalar fields with wind shear, we examine the horizontal structures of the flow velocity and potential temperature. Figure 1 presents the instantaneous snapshots of the flow velocity and potential temperature fields on the horizontal plane at z/zi = 0.5 and 3 h of physical time.
Figure 1.
Instantaneous snapshots of velocity component w (first column), velocity component u (second column), velocity component v (third column), and potential temperature θ (last column) from LES simulations at z/zi = 0.5 and 3 h of physical time across the range of geostrophic wind speed. First row Ug = 0 ms−1; second row Ug = 10 ms−1; third row Ug = 20 ms−1. Note that the color scale on each plot is different for contrast and clarity.
As shown in the first column of the plots in Figure 1, w’s horizontal field transforms from cellular structures to roll-type organizations as Ug increases from 0 to 20 ms−1, which is consistent with Young et al.’s findings [4]. The horizontal structures of w consist of rectangular cells with narrow updrafts along the edges and broad downdrafts in the center when Ug = 0 ms−1 (Figure 1a); as Ug = 20 ms−1 (Figure 1e), they are characterized by long and linear updrafts bent slightly from the x-direction; as Ug = 10 ms−1 (Figure 1i), they are in an intermediate transition state. The transition of w’s horizontal structures corresponds to Salesky et al.’s [26] and Zhou et al.’s [27] findings.
Furthermore, from the remaining columns of the plots in Figure 1, we also find that as Ug increases, the organized large-scale structures of u, v, w, and θ grow significantly, implying that wind shear might play a key role in the organization of the flow velocity and other scalar horizontal fields, and enhanced wind shear would, in turn, produce more organized and larger structures in the CBL. Our next step is to prove and explain this effect based on statistics.
3.2. Effects of Wind Shear on the Vertical Mean Profiles of the Meteorological Elements
The vertical profiles of the horizontal averaged u, v, w, and θ are initially investigated at 3 h of physical time. As displayed in Figure 2a–c, u, v, and θ increase monotonically with an increasing Ug, whereas the differences in θ’s vertical profiles are not significant with an increasing Ug throughout the CBL’s depth, which is consistent with the studies of Park et al. [14]. The magnitude of u and v increase near the ground and reach a quasi-constant value in the middle of the CBL; then, u begins to rise rapidly to the Ug, and v declines rapidly to 0 near the inversion (around z/zi = 1.0), which is consistent with the studies of Salesky et al. [26].
Figure 2.
The vertical profiles of horizontal averaged u (a), v (b), and θ (c), and variances of w (d), u (e), v (f), and θ (g,h) from LES simulations at z/zi = 0.5 and 3 h of physical time. The blue, red, and yellow lines represent the geostrophic wind forcing of Ug = 0, 10, and 20 ms−1, respectively.
The w variance (, Figure 2d), u variance (, Figure 2e), v variance (, Figure 2f), and θ variance (, Figure 2g) are examined throughout the height of the CBL. For a fixed value of z/zi and a constant Q0, differs insignificantly, whereas and increase monotonically with an increasing Ug, suggesting that the TKE vertical component, , remains nearly identical, and the TKE horizontal components, and , become larger with an increasing Ug, which is consistent with the results of Salesky et al. [26].
As a forcing factor, Q0 remains constant, and so remains stable regardless of wind shear; otherwise, an increase in , i.e., an increase in w fluctuations, will lead to an increase in Q0, which contradicts the condition that Q0 remains constant. In addition, the profiles of present a mono-peak structure with a peak near the middle of the CBL (z/zi = 0.4). Meanwhile, the profiles of present a dual-peak structure with a peak near the surface and the other near the top of the CBL, similar to the theoretical variance vertical profiles of Rayleigh–Bénard convection [27,28]. However, the θ variance, , increases in the entrainment layer (around z/zi = 1.0) significantly (Figure 2g), whereas it increases in the middle CBL (around z/zi = 0.5) only slightly with an increasing wind shear (Figure 2h). Nonetheless, the vertical profiles in Figure 2g are generally consistent with those reported by Sorbjan et al. [29].
3.3. Effects of Wind Shear on the Spatial Gradients of Horizontal Fields of the Meteorological Elements
In Figure 3, the distributions of u, v, w, and θ’s horizontal gradient magnitudes are similar to the structures of u, v, w, and θ’s horizontal fields at z/zi = 0.5 (Figure 1). Moreover, u, v, and θ’s horizontal gradient magnitude distributions (Figure 3) demonstrate that the horizontal gradient magnitudes increase with an increasing wind shear at z/zi = 0.5, which means that the spatial variation of u, v, and θ strengthens as the wind shear increases in the middle of the CBL. On the other hand, the variational tendency of the horizontal gradient magnitude of w with wind shear is not obvious at first glance and requires further investigation.
Figure 3.
Instantaneous snapshots of w’s gradient magnitude (, the first column), u’s gradient magnitude (, second column), v’s gradient magnitude (, the third column), and θ’s gradient magnitude (, the last column) from LES simulations at z/zi = 0.5 at 3 h of physical time across the range of Ug. First row Ug = 0 ms−1; second row Ug = 10 ms−1; third row Ug = 20 ms−1. Note that the color scales of , , , and are adjusted separately for clarity and contrast.
To represent the spatial variation characteristics of the meteorological elements with wind shear more precisely and quantitively, we applied the KSFE to estimate the PDFs of the horizontal gradient vector magnitudes of u, v, w, and θ. However, it is reasonable and feasible to use the union of the real and imaginary parts of gradient vectors to estimate the PDFs (Figure 4) for u, v, and θ’s gradients. At z/zi = 0.5, the PDFs of the gradient vector magnitudes decrease with an increasing wind shear near the point of gradient value = 0 in the x-coordinate and increase relatively far away from the point as wind shear increases (Figure 4b–d). Since the sum of the samples is identical for all cases, the small gradient sample number decreases, and the large gradient sample number increases with increasing wind shear. In other words, the spatial variations of u, v, and θ become more pronounced as wind shear increases in the middle of the CBL, which is consistent with the result that the variances of u, v, and θ increase with an increasing wind shear at z/zi = 0.5 (Figure 2e–h).
Figure 4.
Comparison of w (a), u (b), v (c), and θ (d) spatial horizontal gradient PDFs from LES simulations for z/zi = 0.5 at 3 h of physical time across the range of Ug. Blue line Ug = 0 ms−1; Red line Ug = 10 ms−1; Yellow line Ug = 20 ms−1. The x-coordinate in the plots represent w (a), u (b), v (c), and θ (d) gradient vector values. The y-coordinate represents the probability density.
For w, at z/zi = 0.5. However, with an increasing wind shear, there is no obvious variational tendency in the PDFs of the horizontal gradient magnitudes. Furthermore, the PDFs with Ug = 0 ms−1 and Ug = 10 ms−1 are almost identical, whereas the PDF with Ug = 20 ms−1 is minimum near the point of gradient value = 0 in the x-coordinate (Figure 4a), which is consistent with the result that the variances of w almost remain identical with Ug = 10 ms−1 and Ug = 20 ms−1 at z/zi = 0.5 (Figure 2d).
The distributions of the horizontal gradients of u, v, w, and θ near the surface (z/zi = 0.1) are also investigated. As shown in Figure 5 and Figure 6, with an increasing wind shear, the evolutions of w, u, v, and θ’s horizontal gradient magnitudes at z/zi = 0.1 are similar to those at z/zi = 0.5, i.e., with increasing wind shear, at z/zi = 0.1, the horizontal gradient magnitudes of u, v, and θ increase, whereas the horizontal gradient magnitudes of w still present an insignificant variation trend (Figure 5). This is due to the results that, with increasing wind shear, w’s variances differ a little and almost remain identical throughout the CBL’s depth (Figure 2d). Hence, at z/zi = 0.1, the PDFs of horizontal gradient magnitudes of w also present an insignificant variation trend with wind shear, such as reaching a maximum with Ug = 10 ms−1 and a minimum with Ug = 0 ms−1 near the point of gradient value = 0 in the x-coordinate (Figure 6a).
However, based on the gradient and variance analysis, it can be inferred that, under the condition of identical surface heat flux, the spatial variations of u, v, and θ’s horizontal fields are enhanced as the wind shear increases. Nevertheless, the spatial variations of w’s horizontal fields are insensitive to wind shear throughout the CBL.
3.4. Effects of Wind Shear on 2-d PSDs of Meteorological Element Fields (2 Dimensions)
The study of the horizontal gradient of meteorological elements indicates that the spatial variations of u, v, and θ’s horizontal fields are significantly influenced by wind shear, whereas the spatial variations of w’s horizontal fields are insensitive to wind shear. Nonetheless, the horizontal gradients cannot precisely and comprehensively describe the details of the impact. Better mathematical tools are required to achieve it. As the 2-d PSD can provide more reliable scale information than the 1-d PSD, Peltier et al. [25] applied the 2-d PSD to study the unstable layer. Gibbs et al. [30] also applied the technique to compare the velocity data produced by two models. Therefore, the 2-d PSD is adopted to reveal the spatial variation characteristics of u, v, w, and θ fields with wind shear. However, u is taken as an example to demonstrate the calculating process of 2-d PSD (Equations (4)–(5). The represents u at (m, n); m and n are the x-direction and y-direction grid indexes, respectively; M and N are the x-direction and y-direction grid numbers, respectively; is the 2-d Fourier Coefficient at (p, q); is the PSD at (); and are the x-direction and y-direction wavenumbers, respectively; and and are the x-direction and y-direction sampling wavenumbers, respectively. In this study, 1/25. Before calculating the PSD, the mean values of u, v, w, and θ fields at each vertical level are removed, respectively.
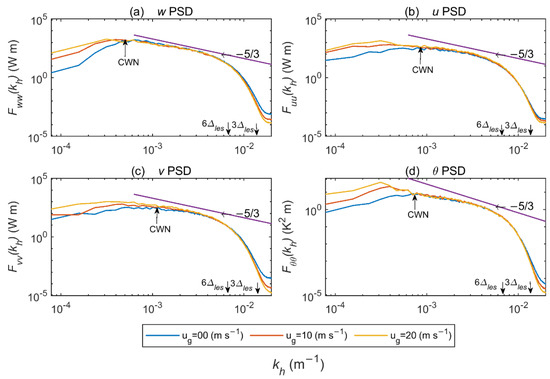
As the 2-d PSD represents the harmonic power, Figure 7 and Figure 8 show the power distributions of the harmonic constituents with different wavenumbers. The harmonic powers peak near the center of the 2-d wavenumber plane (around kh = 0) and decrease rapidly toward the edge of the 2-d wavenumber plane (toward high and ), which indicates that a low wavenumber harmonic carries more power than high wavenumber harmonics, and harmonic power decreases with an increasing wavenumber with respect to only one harmonic being inspected.
Figure 7.
Instantaneous snapshots of w’s PSD (, the first column), u’s PSD (, the second column), v’s PSD (, the third column), and potential temperature θ PSD (, the last column) from LES simulations at z/zi= 0.5 and 3 h of physical time across the range of Ug. First row Ug = 0 ms−1; second row Ug = 10 ms−1; third row Ug = 20 ms−1. The x-coordinate represents the wavenumber, y-coordinate the k2 wavenumber, and the z-coordinate the PSD. Note that the PSDs of , , and are scaled by the logarithm for clarity and contrast (i.e., , , , ).
Notably, u 2-d PSDs are elongated in the k2-direction (i.e., y-direction; Figure 7b and Figure 8b), and the v 2-d PSDs are elongated in the k1-direction (i.e., x-direction; Figure 7c and Figure 8c). This is consistent with the turbulence theory, which suggests that the ratio of longitudinal to transversal spectra in the inertial subrange should be larger than one. For isotropic turbulence, this ratio is equal to 4/3 [31]. According to the theory, as the x and y directions are transverse directions for w, the ratios of the isotropic inertial-subrange 2-d PSDs of w along the wavenumber coordinates (, ) should approximately equal unity. As illustrated in Figure 7a and Figure 8a, the 2-d PSD of the w field presents a geometric distribution of center symmetry consistent with the simulation results of Gibbs et al. [30]. Since θ has a strong correlation with w, the 2-d PSDs of θ present identical geometric distributions (Figure 7d and Figure 8d).
As displayed in Figure 7 and Figure 8, the 2-d PSDs of u, v, w, and θ increase monotonically with increasing wind shear in the low wavenumber region (the center of the 2-d wavenumber plane) but almost remain stable in the high wavenumber region (far away from the center of the 2-d wavenumber plane), regardless of z/zi = 0.1 or z/zi = 0.5. To better analyze the variation trend of the PSDs with wind shear, the 2-d PSD is converted to the 1-d PSD (Figure 9 and Figure 10) by following Peltier et al. [25] and Sullivan et al. [32] (introduced in Section 2).
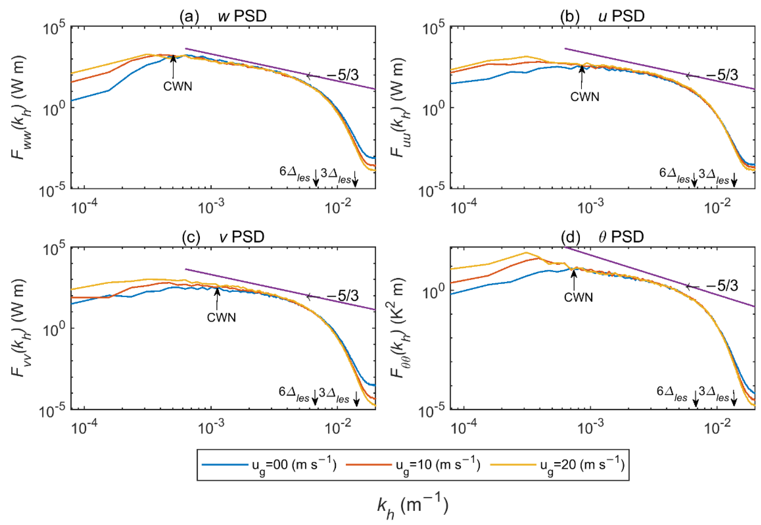
Figure 9.
The instantaneous snapshots of w 1-d PSD (a), u 1-d PSD (b), v 1-d PSD (c), and θ 1-d PSD (d) from LES simulations at z/zi = 0.5 and 3 h of physical time with Ug = 0 (blue line), 10(red line), and 20 ms−1 (yellow line). The x-coordinate represents the wavenumber (). y-coordinate represents the PSD value. The inclined straight lines have a slope of .
3.5. Effects of Wind Shear on 2-d PSDs of Meteorological Element Fields (1 Dimension)
The 1-d PSDs of u, v, w, and θ horizontal fields at z/zi = 0.5 and z/zi = 0.1 are investigated. As shown in Figure 9 and Figure 10, the PSDs demonstrate the transfer process of energy from large scales (in the energy-containing range) of motion to the small scales (inertial subrange), capture the peak reasonably, and exhibit the slope in the inertial subrange [33]. The peak in the w PSDs broadens and shifts to higher wavenumbers at z/zi = 0.1, which is in agreement with the results of Sullivan et al. [32] and occurs due to inviscid blocking by the presence of walls.
However, it should be noted that the PSD damps more rapidly than in the very high wavenumber space (λ < 6Δles, approximately), as described by Shin et al. [21], where Δles represents the grid spacing of the LES and λ is the wavelength. Zhou et al. [34] also reported the rapid decay of the Advanced Regional Prediction System (ARPS) LES simulations. Skamarock et al. [35] suggest that the rapid decay of the PSD of small-scale eddies (λ < 6Δles) is caused by the formulation and application of explicit and implicit filters in numerical schemes, which diffuse and attenuate physical variables. Moreover, in the extremely high wavenumber space (λ < 3Δles), the PSD decreases with the increasing wind shear (Figure 9 and Figure 10). This is because the odd-ordered schemes are dissipative and possess a dissipation term with a coefficient proportional to the Courant number [36]. Therefore, as the larger horizontal wind speed entails a larger numerical dissipation, the PSDs decrease with the increasing wind shear in the extremely high wavenumber space (λ < 3Δles).
However, the numerical scheme’s dissipation causes the PSDs to decay more rapidly than the slope in the very high wavenumber space (λ < 6Δles). Therefore, in this study, the very high wavenumber spaces (λ < 6Δles) were excluded to obtain the correct conclusion.
For convenience, we define a critical point on the wavenumber x-coordinate, named the Critical Wavenumber (CWN), to describe the location where the PSD curves almost collapse into each other for the first time. We define the space consisting of wavenumbers less than the CWN as the low-wavenumber range (kh < CWN) and the space consisting of wavenumbers greater than the CWN as the high-wavenumber range (kh > CWN).
At z/zi = 0.5, the slope of the PSD curve of w is steeper than those of u, v, and θ, which is more consistent with the law (Figure 9). However, with the increasing wind shear, the PSD increases significantly in the low-wavenumber range, while in the high-wavenumber range, for u and v, the PSD increases slightly with increasing wind shear, while for w, the PSD decreases slightly with increasing wind shear (Figure 9a–c).
According to Parseval’s Theorem, the integration of a PSD over the entire wavenumber range is equal to the variance of the signals. Therefore, under identical surface heat flux conditions, with increasing wind shear, the PSDs of u and v nearly increase in the entire wavenumber range, resulting in the variance of u and v increasing significantly, whereas the PSDs of w in the high-wavenumber range decrease slightly, resulting in the variance of w remaining stable at z/zi = 0.5.
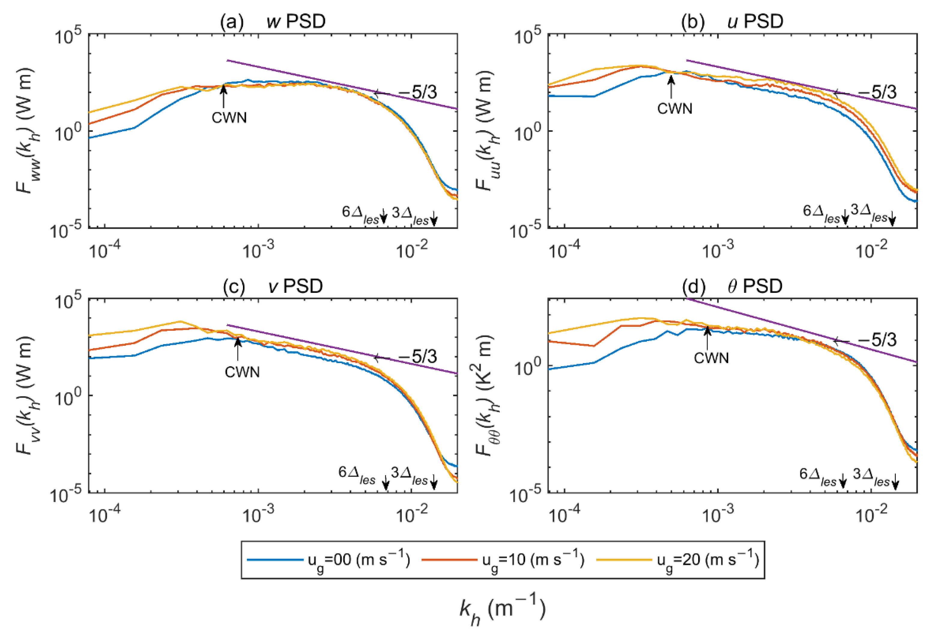
At z/zi = 0.1, some new changes can occur because of the shear forces strengthening near the surface and the presence of walls.
For u and v, as Ug = 0 ms−1, in the inertial subrange, the slopes of u and v PSD are more consistent with the law, while as Ug = 10 ms−1 and Ug = 20 ms−1, the slopes of u and v PSD deviate from the law (Figure 10b–c). This may be because the turbulent eddies in the inertial subrange lose their isotropy due to the presence of walls. The PSDs of u and v increase with increasing wind shear in the entire wavenumber range, resulting in the variance of u and v increasing significantly with increasing wind shear. However, the PSD curves of u and v still collapse into each other at the CWN point.
For w, at z/zi = 0.1, the PSD curves tend to be flatter in the entire wavenumber space range than those at z/zi = 0.5 (Figure 9a vs. Figure 10a), due to the w fields at z/zi = 0.1 being blocked by the presence of walls [32]. It should be noted that in the high-wavenumber range, the PSD of w slightly decreases with increasing wind shear. Thus, at z/zi = 0.1, because (1) the low-wavenumber PSD values are much smaller than those of u and v, and (2) the PSD decreases slightly with increasing wind shear in the high-wavenumber range, resulting in the variance of w being the largest as Ug = 0 ms−1 (Figure 2d).
For θ, the PSD curves are flatter over the entire wavenumber space at z/zi = 0.1 than at z/zi = 0.5 (Figure 9d vs. Figure 10d). With increasing wind shear, the PSD of θ increases significantly in the low-wavenumber range and slightly in the high-wavenumber range. However, the magnitude of the PSD of θ is significantly smaller than that of u and v (Figure 9 and Figure 10), which leads to a slight increase in the variance of θ with increasing wind shear at z/zi = 0.1 (Figure 2h).
3.6. The Effects of Filtering the Energy of Large-Scale Atmospheric Motions Out
The Butterworth Filter is a signal-processing filter designed to have a frequency response that is as flat as possible in the passband [37]. To further investigate the evolution of the PSDs of meteorological element fields with wind shear, the 2-d Butterworth High Pass Filter (2-d BHPF) is introduced here to remove low wavenumber components from u, v, w, and θ horizontal fields and preserve high wavenumber components. According to Equation (6), the transfer function is defined as , where D0 represents the cut-off wavenumber. The 2-d BHPF passes all the wavenumbers greater than the D0 value without attenuation and discards all the wavenumbers less than it. is the Euclidean distance from any point (p, q) to the origin of the wavenumber plane, i.e., . The p and q represent the wavenumbers in the x-direction and y-direction, respectively. The n is the order of the filter and is set as six to reduce the transition process from passband to stopband sharply. The approach to obtaining the filtered data follows these steps: first, obtain the 2-d Fourier Transform of u, v, w, and θ horizontal fields; second, acquire the product of the 2-d Fourier spectrum and the Transfer Function in the wavenumber space; and finally, take the Inverse 2-dimension Fourier Transform of the product data of u, v, w, and θ to obtain the filtered data.
The D0 is set as 9.375 × 10−4 m−1, which means the harmonics with wavenumbers less than 9.375 × 10−4 (i.e., λ > 1067 m) are filtered out. As wind shear increases, the snapshots of the w, u, v, and θ horizontal fields at z/zi = 0.5, which are filtered out of harmonics with λ > 1067 m, present no obvious large-scale organized structures, preferring the distribution of random white noise, as shown in Figure 11. In contrast, as displayed in Figure 1, the organized large-scale structures of the u, v, w, and θ horizontal fields are more pronounced, indicating that large-scale atmospheric motions (i.e., a low-wavenumber PSD) play an essential role in the organization of the large-scale structures of the CBL. Therefore, it is reasonable to expect that as the mean wind shear increases, the large-scale atmospheric motions will also increase. Therefore, the organized large-scale structures in the CBL become apparent with increasing wind shear.
Figure 11.
Filtered snapshots of w (first column), u (second column), v (third column), and θ (last column) from LES simulations at z/zi = 0.5 and 3 h of physical time with Ug = 0 ms−1 (First row), Ug = 10 ms−1 (second row), and Ug = 20 ms−1 (third row). D0 is set as 9.375 × 10−4 m−1.
To investigate the effects of low wavenumber harmonics on the variances of the u, v, w, and θ horizontal fields, the D0 is set as 3.125 × 10−4 m−1 (λ = 3200 m), 6.25 × 10−4 m−1 (λ = 1600 m), 9.375 × 10−4 m−1 (λ = 1067 m), and 1.25 × 10−4 m−1 (λ = 800 m) to remove the harmonics with λ greater than 3200, 1600, 1067, and 800 m, respectively. The vertical variance profiles of the filtered u, v, w, and θ horizontal fields are plotted in Figure 12.
Figure 12.
The vertical profiles of horizontal variances of w (first column), u (second column), v (third column), and θ (last column) data filtered by 2-d BHPF with cut-off wavenumber (D0) set as 3.125 × 10−4 m−1 (i.e., λ = 3200 m; second row), 6.25 × 10−4 m−1 (i.e., λ = 1600 m; third row), 9.375 × 10−4 m−1 (i.e., λ = 1067 m; fourth row), and 1.25 × 10−4 m−1 (i.e., λ = 800 m; last row) from LES simulations at 3 h of physical time. The blue, red, and yellow lines represent Ug = 0, 10, and 20 ms−1, respectively. Note that the first row represents original vertical profiles of horizontal variances of w, u, v, and θ without filtering.
As D0 increases, increasingly more low wavenumber harmonics are removed from the u, v, w, and θ horizontal fields, and the vertical variances of the u, v, w, and θ decrease significantly at all elevations of the CBL. This indicates that the large-scale motions (i.e., low-wavenumber PSD) contribute significantly to the magnitudes of the horizontal field variances of the u, v, w, and θ.
In terms of the u, in the range of 0.3 to 0.9 z/zi, as D0 increases, the variances with Ug = 20 ms−1 decrease sharply and rapidly approach the variances with Ug = 0 and Ug = 10 ms−1 (Figure 12, second column). This is because (1) the low-wavenumber PSD is large enough to affect the magnitude of the variance significantly, and (2) the low-wavenumber PSD increases with increasing wind shear, resulting in the variance with a large wind shear rapidly approaching that of a small wind shear as increasingly more low-wavenumber harmonics are filtered out (Figure 12r). However, in the near-surface layer, about 0 to 0.3 z/zi above ground level, even if D0 is set to the largest value (i.e., kh = 1.25 × 10−4 m−1), the differences between the vertical profiles of variance are still noticeable (Figure 12r). This is because the PSDs increase with increasing wind shear in the high-wavenumber range at z/zi = 0.1 (Figure 10b), resulting in the vertical profiles of variance constantly diverging from each other in the near-surface layer (0.0–0.3 z/zi), regardless of the wind shear.
In terms of w, in the range of 0.0–1.0 z/zi, as D0 increases, the variances with Ug = 10 ms−1 and Ug = 20 ms−1 decrease more rapidly than those with Ug = 0 ms−1 (Figure 12, first column). This implies that the increases in the PSD in the low-wavenumber range compensate for the slight decreases in the high-wavenumber range with the increasing wind shear (Figure 9a and Figure 10a). Therefore, as the low wavenumber harmonics are filtered out, the vertical variance profiles of w with Ug = 10 ms−1 and Ug = 20 ms−1 decrease more rapidly than those with Ug = 0 ms−1.
In terms of θ, the variances increase with increasing wind shear in the range of 0.1–0.8 z/zi (Figure 12d). However, as D0 increases, the variances with Ug = 10 ms−1 and Ug = 20 ms−1 sharply decrease and approach those with Ug = 0 ms−1 (Figure 12h,l,p,t). This indicates that as wind shear increases, the increases in PSD in the low-wavenumber range contribute significantly to the increases in the variance of the θ horizontal fields. Furthermore, because the PSD magnitude of θ is significantly smaller than that of u and v (Figure 9 and Figure 10), for example, the PSD magnitudes of θ are less than 10−2 while the PSD magnitudes of u and v are much larger than 10−2 (Figure 9 and Figure 10), the variance of the θ horizontal field is much smaller than that of u and v (Figure 12).
4. Discussion and Conclusions
For clarity, the main findings can be summarized as follows. It should be noted that all conclusions are drawn under the same conditions of surface heat flux.
- (1)
- In the CBL, as wind shear increases, the variance of w differs insignificantly, u and v increase monotonically, and the variance of θ increases slightly, which implies that the spatial variations of u, v, and θ are enhanced as the wind shear increases. The spatial variation of w is insensitive to wind shear throughout the CBL depth. This is consistent with the results of the horizontal gradients of u, v, w, and θ.
- (2)
- In the middle CBL (about 0.2–0.8z/zi), with increasing wind shear, the low-wavenumber PSDs of u, v, w, and θ increase significantly. In addition, in the high-wavenumber range, with increasing wind shear, the PSDs of u and v increase slightly, and the PSD of w decreases slightly, while the PSD of θ almost remains stable.
- (3)
- In the surface layer CBL (about 0.0–0.2 z/zi), low-wavenumber PSDs of u, v, w, and θ increase significantly with the increasing wind shear. Moreover, in the high-wavenumber range, with increasing wind shear, the PSDs of u and v increase, and the PSD of w decreases slightly, while the PSD of θ increases slightly.
- (4)
- However, the low-wavenumber PSDs of u, v, w, and θ increase significantly with increasing wind shear in the CBL, indicating that the large-scale motions of the atmosphere are constantly enhanced with increasing wind shear, which means the large-scale coherent 2-d structures of the atmospheric flows in the CBL become more significant and ordered with increasing wind shear.
- (5)
- The PSDs can more precisely elucidate the spatial variation of u, v, w, and θ with wind shear. Generally, with increasing wind shear, the PSDs of u and v increase in nearly the entire wavenumber range, resulting in u and v having increased variances. On the contrary, with increasing wind shear, the PSD of w increases in the low-wavenumber range and decreases slightly in the high-wavenumber range, which results in the variance of w differing insignificantly. Since the magnitude of the PSD of θ is much smaller than those of u and v, the variance of θ increases with increasing wind shear, but it is much smaller than the variances of u and v.
The finding that a low-wavenumber PSD increases significantly with increasing wind shear can explain the phenomenon that self-organized convection strengthens with the increase in wind shear. This is because the large-scale motions of the atmosphere (i.e., low-wavenumber PSD) always increase as wind shear increases and are, therefore, more likely to trigger some mesoscale weather processes. This interpretation can cover some findings of mesoscale meteorological phenomena. For example, horizontal convective rolls influence the initiation of deep and moist convection [5,6,7] and the formation of storms [8] and tornados [9]. In addition, faster winds are associated with substantially more precipitation [11]. This may help forecasters to speculate on the likelihood of strong convective weather processes based on the mean wind shear intensity of the CBL.
Moreover, zi/L is used to define the turbulent state of the atmosphere and determine the degree of stability or instability [38]. For example, in Table 1, with increasing wind shear, zi/L increases from −1047 to −8. This means that as wind shear increases, the atmosphere experiences a transition from extremely unstable to nearly neutral. Therefore, it is reasonable to expect that with increasing wind shear, the increase in large-scale motions (low-wavenumber PSD) can increase the atmospheric stability of the CBL. With increasing wind shear, the enhanced large-scale motions strengthen the large-scale coherent flow structures in the CBL. In addition, with increasing wind shear, the atmospheric flow structures become more orderly; in this sense, the atmosphere is more stable.
The results of this study are based on the same surface heat flux preconditions. However, the surface heat flux cannot remain constant as the wind shear increases. Therefore, we will further investigate the interaction between wind shear and surface heat flux under variable surface heat flux conditions. This study provides a new perspective for understanding the role of wind shear in the spatial variations of horizontal fields of meteorological elements and provides a reference for other researchers to conduct further studies.
Author Contributions
Conceptualization, H.Z., Q.H. and M.W.; methodology, H.Z. and J.Y.; software, H.Z.; validation, H.Z. and J.Y.; formal analysis, J.Y.; investigation, M.W.; resources, Q.H.; data curation, J.Y.; writing—original draft preparation, H.Z.; writing—review and editing, M.W.; visualization, H.Z.; supervision, Q.H.; project administration, Q.H.; funding acquisition, Q.H. All authors have read and agreed to the published version of the manuscript.
Funding
This research was funded by the Open Grants of the State Key Laboratory of Severe Weather (grant number 2022LASW-B04), the Xinjiang Science Fund for Distinguished Young Scholars (grant number 2022D01E07), the Flexible Talents Introducing Project of Xinjiang (grant number 2021-49) the National Natural Science Foundation of China (grant number 42030612), the National Natural Science Foundation of China (grant number 41830968), the Second Tibetan Plateau Scientific Expedition and Research (STEP) program (grant number 2019QZKK010206), the Third Xinjiang Scientific Expedition and Research program (grant number 2021xjkk030501), and the Special Project for Innovation and Development of China Meteorological Administration (grant number CXFZ2022P074).
Institutional Review Board Statement
Not applicable.
Informed Consent Statement
Not applicable.
Data Availability Statement
The original code of WRF version 4.0 (including LES) can be downloaded at https://www2.mmm.ucar.edu/wrf/users/download/get_source.html#current. (accessed on 8 June 2018). The data can be generated by the WRF-LES numerical experiments in this paper or obtained from the corresponding authors.
Acknowledgments
We gratefully acknowledge the suggestions for the study from Bowen Zhou of Nanjing University. We also thank Xu Zhang for our insightful conversations.
Conflicts of Interest
The authors declare no conflict of interest.
References
- Hunt, J.C.R.; Kaimal, J.C.; Gaynor, J.E. Eddy Structure in the Convective Boundary Layer—New Measurements and New Concepts. Q. J. R. Meteorol. Soc. 1988, 114, 827–858. [Google Scholar]
- Mesoscale Shallow Convection in the Atmosphere-Atkinson-1996-Reviews of Geophysics-Wiley Online Library. Available online: https://agupubs.onlinelibrary.wiley.com/doi/abs/10.1029/96RG02623 (accessed on 29 August 2022).
- Brown, R.A. Longitudinal Instabilities and Secondary Flows in the Planetary Boundary Layer: A Review. Rev. Geophys. 1980, 18, 683–697. [Google Scholar] [CrossRef]
- Young, G.S.; Kristovich, D.A.; Hjelmfelt, M.R.; Foster, R.C. Rolls, Streets, Waves, and More: A Review of Quasi-Two-Dimensional Structures in the Atmospheric Boundary Layer. Bull. Am. Meteorol. Soc. 2002, 83, 997–1002. [Google Scholar]
- Weckwerth, T.M.; Wilson, J.W.; Wakimoto, R.M. Thermodynamic Variability within the Convective Boundary Layer Due to Horizontal Convective Rolls. Mon. Weather Rev. 1996, 124, 769–784. [Google Scholar] [CrossRef]
- Weckwerth, T.M. The Effect of Small-Scale Moisture Variability on Thunderstorm Initiation. Mon. Weather Rev. 2000, 128, 4017–4030. [Google Scholar] [CrossRef]
- Xue, M.; Martin, W.J. A High-Resolution Modeling Study of the 24 May 2002 Dryline Case during IHOP. Part I: Numerical Simulation and General Evolution of the Dryline and Convection. Mon. Weather Rev. 2006, 134, 149–171. [Google Scholar] [CrossRef]
- Trier, S.B.; Parsons, D.B.; Clark, J.H. Environment and Evolution of a Cold-Frontal Mesoscale Convective System. Mon. Weather Rev. 1991, 119, 2429–2455. [Google Scholar] [CrossRef]
- Wakimoto, R.M.; Wilson, J.W. Non-Supercell Tornadoes. Mon. Weather Rev. 1989, 117, 1113–1140. [Google Scholar] [CrossRef]
- Baidu, M.; Schwendike, J.; Marsham, J.H.; Bain, C. Effects of Vertical Wind Shear on Intensities of Mesoscale Convective Systems over West and Central Africa. Atmos. Sci. Lett. 2022, 23, e1094. [Google Scholar] [CrossRef]
- Back, L.E.; Bretherton, C.S. The Relationship between Wind Speed and Precipitation in the Pacific ITCZ. J. Clim. 2005, 18, 4317–4328. [Google Scholar] [CrossRef]
- Moeng, C.-H.; Sullivan, P.P. A Comparison of Shear-and Buoyancy-Driven Planetary Boundary Layer Flows. J. Atmos. Sci. 1994, 51, 999–1022. [Google Scholar] [CrossRef]
- Schmidt, H.; Schumann, U. Coherent Structure of the Convective Boundary Layer Derived from Large-Eddy Simulations. J. Fluid Mech. 1989, 200, 511–562. [Google Scholar] [CrossRef]
- Park, J.; Basu, S.; Manuel, L. Large-Eddy Simulation of Stable Boundary Layer Turbulence and Estimation of Associated Wind Turbine Loads: LES of SBL Turbulence and Wind Turbine Loads. Wind Energy 2014, 17, 359–384. [Google Scholar] [CrossRef]
- Park, S.-B.; Baik, J.-J.; Han, B.-S. Role of Wind Shear in the Decay of Convective Boundary Layers. Atmosphere 2020, 11, 622. [Google Scholar] [CrossRef]
- Lee, M.J.; Kim, J.; Moin, P. Structure of Turbulence at High Shear Rate. J. Fluid Mech. 1990, 216, 561–583. [Google Scholar] [CrossRef]
- Skamarock, W.C.; Klemp, J.B.; Dudhia, J.; Gill, D.O.; Barker, D.M.; Wang, W.; Powers, J.G. A Description of the Advanced Research WRF Version 3. NCAR Technical Note-475+ STR. 2008. Available online: https://citeseerx.ist.psu.edu/viewdoc/summary?doi=10.1.1.484.3656 (accessed on 30 August 2008).
- Noh, Y.; Cheon, W.G.; Hong, S.Y.; Raasch, S. Improvement of the K-Profile Model for the Planetary Boundary Layer Based on Large Eddy Simulation Data. Bound.-Layer Meteorol. 2003, 107, 401–427. [Google Scholar] [CrossRef]
- Deardorff, J.W. Stratocumulus-Capped Mixed Layers Derived from a Three-Dimensional Model. Bound.-Layer Meteorol. 1980, 18, 495–527. [Google Scholar] [CrossRef]
- Moeng, C.-H. A Large-Eddy-Simulation Model for the Study of Planetary Boundary-Layer Turbulence. J. Atmos. Sci. 1984, 41, 2052–2062. [Google Scholar] [CrossRef]
- Shin, H.H.; Hong, S.-Y. Analysis of Resolved and Parameterized Vertical Transports in Convective Boundary Layers at Gray-Zone Resolutions. J. Atmos. Sci. 2013, 70, 3248–3261. [Google Scholar] [CrossRef]
- Troen, I.B.; Mahrt, L. A Simple Model of the Atmospheric Boundary Layer; Sensitivity to Surface Evaporation. Bound.-Layer Meteorol. 1986, 37, 129–148. [Google Scholar] [CrossRef]
- Shikhovtsev, A.Y.; Kovadlo, P.G.; Khaikin, V.B.; Nosov, V.V.; Lukin, V.P.; Nosov, E.V.; Torgaev, A.V.; Kiselev, A.V.; Shikhovtsev, M.Y. Atmospheric Conditions within Big Telescope Alt-Azimuthal Region and Possibilities of Astronomical Observations. Remote Sens. 2022, 14, 1833. [Google Scholar] [CrossRef]
- Batchelor, G.K. The Theory of Homogeneous Turbulence; Cambridge University Press: Cambridge, UK, 1953. [Google Scholar]
- Peltier, L.J.; Wyngaard, J.C.; Khanna, S.; Brasseur, J.O. Spectra in the Unstable Surface Layer. J. Atmos. Sci. 1996, 53, 49–61. [Google Scholar] [CrossRef]
- Salesky, S.T.; Chamecki, M.; Bou-Zeid, E. On the Nature of the Transition between Roll and Cellular Organization in the Convective Boundary Layer. Bound.-Layer Meteorol. 2017, 163, 41–68. [Google Scholar] [CrossRef]
- Zhou, B.; Simon, J.S.; Chow, F.K. The Convective Boundary Layer in the Terra Incognita. J. Atmos. Sci. 2014, 71, 2545–2563. [Google Scholar] [CrossRef]
- Drazin, P.G.; Reid, W.H. Hydrodynamic Stability; Cambridge University Press: Cambridge, UK, 2004. [Google Scholar]
- Sorbjan, Z. Effects Caused by Varying the Strength of the Capping Inversion Based on a Large Eddy Simulation Model of the Shear-Free Convective Boundary Layer. J. Atmos. Sci. 1996, 53, 2015–2024. [Google Scholar] [CrossRef]
- Gibbs, J.A.; Fedorovich, E. Comparison of Convective Boundary Layer Velocity Spectra Retrieved from Large-Eddy-Simulation and Weather Research and Forecasting Model Data. J. Appl. Meteorol. Climatol. 2014, 53, 377–394. [Google Scholar] [CrossRef]
- Tennekes, H.; Lumley, J.L.; Lumley, J.L. A First Course in Turbulence; MIT Press: Cambridge, MA, USA, 1972. [Google Scholar]
- Sullivan, P.P.; Patton, E.G. The Effect of Mesh Resolution on Convective Boundary Layer Statistics and Structures Generated by Large-Eddy Simulation. J. Atmos. Sci. 2011, 68, 2395–2415. [Google Scholar] [CrossRef]
- Jiménez, M.A.; Cuxart, J. Large-Eddy Simulations of the Stable Boundary Layer Using the Standard Kolmogorov Theory: Range of Applicability. Bound.-Layer Meteorol. 2005, 115, 241–261. [Google Scholar] [CrossRef]
- Zhou, B.; Sun, S.; Sun, J.; Zhu, K. The Universality of the Normalized Vertical Velocity Variance in Contrast to the Horizontal Velocity Variance in the Convective Boundary Layer. J. Atmos. Sci. 2019, 76, 1437–1456. [Google Scholar] [CrossRef]
- Skamarock, W.C. Evaluating Mesoscale NWP Models Using Kinetic Energy Spectra. Mon. Weather Rev. 2004, 132, 3019–3032. [Google Scholar] [CrossRef]
- Wicker, L.J.; Skamarock, W.C. Time-Splitting Methods for Elastic Models Using Forward Time Schemes. Mon. Weather Rev. 2002, 130, 2088–2097. [Google Scholar] [CrossRef]
- Selesnick, I.W.; Burrus, C.S. Generalized Digital Butterworth Filter Design. IEEE Trans. Signal Process. 1998, 46, 1688–1694. [Google Scholar] [CrossRef]
- Golder, D. Relations among Stability Parameters in the Surface Layer. Bound.-Layer Meteorol. 1972, 3, 47–58. [Google Scholar] [CrossRef]
Publisher’s Note: MDPI stays neutral with regard to jurisdictional claims in published maps and institutional affiliations. |
© 2022 by the authors. Licensee MDPI, Basel, Switzerland. This article is an open access article distributed under the terms and conditions of the Creative Commons Attribution (CC BY) license (https://creativecommons.org/licenses/by/4.0/).











