Interaction of a Low-Pressure System, an Offshore Trough, and Mid-Tropospheric Dry Air Intrusion: The Kerala Flood of August 2018
Abstract
1. Introduction
2. Data and Methodology
3. Overview of the Kerala Flood Event
4. Discussion of Results
4.1. Heavy Rainfall Detection Using Satellite Images
4.2. Large and Synoptic-Scale Systems Concomitant with the Kerala Flood
4.3. Role of Kinetic Energy During the Kerala Flood
5. Precipitation and Tropospheric Features
6. Vertical Cross-Sections Over the Flood Event and LPS
7. Other Details of the Extreme Flood Event
8. Concluding Remarks and Discussion
- The wind and vorticity field over the coast of the BoB (18° N; 86° E) was consistent with the maximum rainfall in the south-west sector of the long-lasting monsoon depression. The cyclonic circulation somehow extended from the BoB to AS and persisted for up to two days, which caused severe rainfall over Kerala and the Western Ghats. Monsoonal depression has a southwest tilt in the vertical direction; thus, the pumping of moisture by the depression into the middle troposphere is a possible aspect (Figure 1 and Figure 2);
- The KFE was an outcome of the interaction between the offshore trough, LPS, dry air intrusion in the middle troposphere, and other regional features (Figure 12). Additionally, the mixing of cold-dry air from the Middle East region in the middle troposphere with south-westerly winds in the lower troposphere was sufficient to create an unstable atmosphere during KFE (Figure 3);
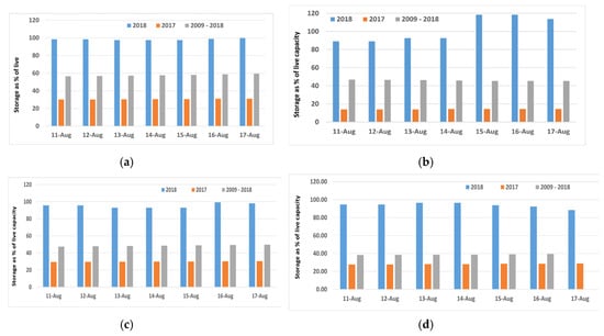
- Due to continuous rainfall, most of the major dams in the Kerala state were filled with rainwater before the KFE. Water released from major reservoirs into the rivers might be one of the other possible factors which worsened this flood (Figure 11).
Supplementary Materials
Author Contributions
Funding
Acknowledgments
Conflicts of Interest
References
- Neena, J.M.; Suhas, E.; Goswami, B.N. Leading role of internal dynamics in the 2009 Indian summer monsoon drought. J. Geophys. Res. 2011, 116. [Google Scholar] [CrossRef]
- Duncombe, J. Making sense of landslide danger after Kerala’s floods. Eos 2018, 99. [Google Scholar] [CrossRef]
- Futrell, J.H.; Gephart, R.E.; Kabat-Lensch, E.; McKnight, D.M.; Pyrtle, A.; Schimel, J.P.; Smyth, R.L.; Gephart, J.M. Water: Challenges at the Intersection of Human and Natural Systems; NSF/DOE Technical Report PNWD-3597; Pacific Northwest National Laboratory (PNNL): Richland, WA, USA, 2005; 50p. [Google Scholar] [CrossRef]
- NRC. When Weather Matters: Science and Service to Meet Critical Societal Needs; National Academies Press: Washington, DC, USA, 2010; 198p. [Google Scholar]
- Mishra, V.; Aaadhar, S.; Shah, H.; Kumar, R.; Pattanaik, D.R.; Tiwari, A.D. The Kerala flood of 2018: Combined impact of extreme rainfall and reservoir storage. Hydrol. Earth Syst. Sci. Discuss. 2018, 1–13. [Google Scholar] [CrossRef]
- Mishra, V.; Shah, H. Hydroclimatological Perspective of the Kerala Flood of 2018. J. Geol. Soc. India 2018, 92, 645–650. [Google Scholar] [CrossRef]
- Sudheer, K.P.; Bhallamudi, S.M.; Narasimhan, B.; Thomas, J.; Bindhu, V.M.; Vema, V.; Kurian, C. Role of dams on the floods of August 2018 in Periyar River Basin, Kerala. Curr. Sci. 2019, 116, 780–974. [Google Scholar] [CrossRef]
- Vishnu, C.L.; Sajinkumar, K.S.; Oommen, T.; Coffman, R.A.; Thrivikramji, K.P.; Rani, V.R.; Keerthy, S. Satellite-based assessment of the August 2018 flood in parts of Kerala, India. Geomat. Nat. Hazards Risk 2019, 10, 758–767. [Google Scholar] [CrossRef]
- Yesubabu, V.; Challa, V.; Srinivas, V.; Basha, G.; Dasari, H.P.; Langodan, S.; Ratnam, M.V.; Hoteit, I. A diagnostic study of extreme precipitation over Kerala during August 2018. Atmos. Res. Lett. 2019. [Google Scholar] [CrossRef]
- Hunt, K.M.R.; Menon, A. The 2018 Kerala floods: A climate change perspective. Clim. Dyn. 2020, 54, 2433–2446. [Google Scholar] [CrossRef]
- Bohra, A.K.; Basu, S.; Rajagopal, E.N.; Iyengar, G.R.; DasGupta, M.; Ashrit, R.; Athiyaman, B. Heavy rainfall episode over Mumbai on 26 July 2005: Assessment of NWP guidance. Curr. Sci. 2006, 90, 1188–1194. [Google Scholar]
- Gupta, A.K. Uttarakhand Disaster 2013; National Institute of Disaster Management New Delhi: New Delhi, India, 2014. [Google Scholar]
- Dube, A.; Ashrit, R.; Ashish, A.; Sharma, K.; Iyengar, G.R.; Rajagopal, E.N.; Basu, S. Forecasting the heavy rainfall during Himalayan flooding-June 2013. Weather Clim. Extrem. 2014, 4, 22–34. [Google Scholar] [CrossRef]
- Krishnamurti, T.N.; Kumar, V.; Simon, A.; Thomas, A.; Bhardwaj, A.; Das, S. March of buoyancy elements during extreme rainfall over India. Clim. Dyn. 2016, 48, 1931–1951. [Google Scholar] [CrossRef]
- Krishnamurti, T.N.; Dubey, S.; Kumar, V.; Linoj, D.; Bhardwaj, A. Scale interaction and the flood event over south India. Q. J. R. Metereol. Soc. 2017, 143, 1442–1458. [Google Scholar] [CrossRef]
- Srinivas, C.V.; Yesubabu, V.; Prasad, D.H.; Prasad, K.H.; Greeshma, M.M.; Baskaran, R.; Venkatraman, B. Simulation of an extreme heavy rainfall event over Chennai, India using WRF: Sensitivity to grid resolution and boundary layer physics. Atmos. Res. 2018, 210, 66–82. [Google Scholar] [CrossRef]
- Kotal, S.D.; SenRoy, S.; RoyBhowmik, S.K. Catastrophic heavy rainfall episode over Uttarakhand during 16–18 June 2013—Observational aspects. Curr. Sci. 2014, 107, 234–245. [Google Scholar]
- Thayyen, R.J.; Dimri, A.P.; Kumar, P.; Agnihotri, G. Study of cloudburst and flash floods around Leh, India, during August 4–6, 2010. Nat. Hazards 2013, 65, 2175–2204. [Google Scholar] [CrossRef]
- Rao, P.S.; Sikka, D.R. Interactive Aspects of the Indian and the African Summer Monsoon Systems; Atmospheric and Oceanic Pageoph Topical, Volumes; Sharan, M., Raman, S., Eds.; Birkhäuser: Basel, Switzerland, 2007. [Google Scholar]
- Rao, P.S. Arabian Sea monsoon experiment: An overview. Mausam 2005, 56, 1–7. [Google Scholar]
- Madan, O.P.; Mohanty, U.C.; Iyenger, G.; Shivhare, R.P.; PrasadRao, A.S.; Sam, N.V.; Bhatla, R. Offshore trough and very heavy rainfall events along the west Coast of India during ARMEX-2002. Mausam 2005, 56, 37–48. [Google Scholar]
- Routray, A.; Mohanty, U.C.; Das, A.K.; Sam, N.V. Study of heavy rainfall event over the west-coast of India using analysis nudging in MM5 during ARMEX-I. Mausam 2005, 56, 107–120. [Google Scholar]
- Dodla, D.B.; Prasad, D.H. Impact of special observations on the numerical simulation of a heavy rainfall event during ARMEX-Phase I. Mausam 2005, 56, 121–130. [Google Scholar]
- Das, S.; Ashrit, R.; Moncrieff, M.W.; DasGupta, M.; Dudhia, J.; Liu, C.; Kalsi, S.R. Simulation of intense organized convective precipitation observed during the Arabian Sea Monsoon Experiment (ARMEX). J. Geophys. Res. Atmos. 2007, 27, 112. [Google Scholar] [CrossRef]
- Pradhan, P.K.; Dasamsetti, S.; Ramakrishna, S.S.; Dodla, V.B.; Panda, J. Mesoscale simulation of off-shore trough and mid-tropospheric cyclone associated with heavy rainfall along the West Coast of India using ARMEX Reanalysis. Int. J. Earth Atmos. Sci. 2015, 2, 1–15. [Google Scholar]
- Dodla, V.B.; Ratna, S.B. Mesoscale characteristics and prediction of an unusual extreme heavy precipitation event over India using a high resolution mesoscale model. Atmos. Res. 2010, 95, 255–269. [Google Scholar] [CrossRef]
- Rao, Y.P. South West Monsoon. In Meteorological Monograph: Synoptic Meteorology; Indian Meteorological Deptartmant: Delhi, India, 1976. [Google Scholar]
- Kumar, S.; Bhat, G.S. Vertical structure of orographic precipitating clouds observed over south Asia during summer monsoon season. J. Earth Syst. Sci. 2017, 126, 114. [Google Scholar] [CrossRef]
- Findlater, J. Interhemispheric transport of air in the lower troposphere over the western Indian Ocean. Q. J. R. Meteorol. Soc. 1969, 95, 400–403. [Google Scholar] [CrossRef]
- Miller, F.R.; Keshavamurthy, R.N. Structure of an Arabian Sea Summer Monsoon System. In International Indian Ocean Meteorological Monographs; East–West Center Press: Honolulu, HI, USA, 1968; Volume 1, 94p. [Google Scholar]
- Krishnan, R.; Sundaram, S.; Swapna, P.; Kumar, V.; Ayantika, D.C.; Mujumdar, M. The crucial role of ocean-atmosphere coupling on the Indian monsoon anomalous response during dipole events. Clim. Dyn. 2011, 37, 1–17. [Google Scholar] [CrossRef]
- Raman, M.; Ratnam, M.V.; Rajeevan, M.; Rao, V.V.J.; Rao, S.V. Intriguing Aspects of the Monsoon Low-Level Jet over Peninsular India Revealed by High-Resolution GPS Radiosonde Observations. J. Atmos. Sci. 2011, 68, 1413–1423. [Google Scholar] [CrossRef]
- Houze, R.A., Jr.; Wang, J.; Fan, J.; Brodzik, S.; Feng, Z. Extreme convective storms over high-latitude continental areas where maximum warming is occurring. Geophys. Res. Lett. 2019, 46, 4059–4065. [Google Scholar] [CrossRef]
- Kothawale, D.R.; Deshpande, N.R.; Kolli, R.K. Long Term Temperature Trends at Major, Medium, Small Cities and Hill Stations in India during the Period 1901–2013. Am. J. Clim. Chang. 2016, 5, 383–398. [Google Scholar] [CrossRef]
- Mitra, A.K.; Bohra, A.K.; Rajeevan, M.N.; Krishnamurti, T.N. Daily Indian precipitation analysis formed from a merge of rain-gauge data with the TRMM TMPA satellite-derived rainfall estimates. J. Meteorol. Soc. Jpn. Ser. II 2009, 87, 265–279. [Google Scholar] [CrossRef]
- Indian Meteorological Department. End of Session Report for the 2018 Southwest Monsoon; Indian Meteorological Department Report; Indian Meteorological Department: New Delhi, India, 2018.
- Dee, D.P.; Uppala, S.M.; Simmons, A.J.; Berrisford, P.; Poli, P.; Kobayashi, S.; Andrae, U.; Balmaseda, M.A.; Balsamo, G.; Bauer, P.; et al. The ERA-Interim reanalysis: Configuration and performance of the data assimilation system. Q. J. R. Meteorol. Soc. 2011, 137, 553–597. [Google Scholar] [CrossRef]
- Central Water Commission. Kerala Floods of August 2018; CWC Study report; Central Water Commission, Hydrological Studies Organisation, Hydrology (S) Directorate, Government of India: New Delhi, India, 2018; p. 48. [Google Scholar]
- Francis, P.A.; Gadgil, S. Intense rainfall events over the west coast of India. Meteorol. Atmos. Phys. 2006, 94, 27–42. [Google Scholar] [CrossRef]
- Yang, S.; Cui, X.; Ran, L. Analyses of dry intrusion and instability during a heavy rainfall event that occurred in Northern China. Atmos. Ocean. Sci. Lett. 2009, 2, 108–112. [Google Scholar]
- Joseph, P.V.; Raman, P.L. Existence of low level westerly jet-stream over peninsular India during July. India J. Meteorol. Geophys. 1966, 17, 407–410. [Google Scholar]
- Fletcher, J.K.; Parker, D.J.; Turner, A.G.; Menon, A.; Martin, G.M.; Birch, C.E.; Mitra, A.K.; Mrudula, G.; Hunt, K.M.R.; Taylor, C.M.; et al. The dynamic and thermodynamic structure of the monsoon over southern India: New observations from the INCOMPASS IOP. Q. J. R. Meteorol. Soc. 2018, 1–24. [Google Scholar] [CrossRef]
- Saha, K.R. Air and water vapour transport across the equator in western Indian Ocean during northern summer. Tellus 1970, 22, 681–687. [Google Scholar] [CrossRef]
- Basu, S.; Ramesh, K.J.; Begum, Z.N. Medium Range Prediction of Summer Monsoon Activities over India vis a vis Their Correspondence with the Observational Features. Adv. Atmos. Sci. 1999, 16, 133–146. [Google Scholar] [CrossRef]
- Raju, P.V.; Mohanty, U.C.; Bhatla, R. Interannual variability of onset of the summer monsoon over India and its prediction. Nat. Hazards 2007, 42, 287–300. [Google Scholar] [CrossRef]
- Trenberth, K.E.; Jones, P.D.; Ambenje, P.; Bojariu, R.; Easterling, D.; Klein Tank, A.; Parker, D.; Rahimzadeh, F.; Renwick, J.A.; Rusticucci, M.; et al. Observations: Surface and atmospheric climate change. In Climate Change 2007: The Physical Science Basis; Contribution of Working Group I to the Fourth Assessment Report of the Intergovernmental Panel on Climate Change; Parry, M.L., Canziani, O.F., Palutikof, J.P., van der Linden, P.J., Hanson, C.E., Eds.; Cambridge University Press: New York, NY, USA, 2007; pp. 235–336. [Google Scholar]
- Goswami, B.N.; Venugopal, V.; Sengupta, D.; Madhusoodanan, M.S.; Xavier, P. Increasing Trend of Extreme Rain Events over India in a Warming Environment. Science 2006, 314, 1442–1445. [Google Scholar] [CrossRef]
- Roxy, M.K.; Ghosh, S.; Pathak, A.; Athulya, R.; Mujumdar, M.; Murtugudde, R.; Terray, P.; Rajeevan, M. A threefold rise in widespread extreme rain events over central India. Nat. Comm. 2017, 8, 708. [Google Scholar] [CrossRef]
- Kumar, V.; Krishnamurti, T.N. Mesoscale modeling for the rapid movement of monsoonal isochrones. Atmos. Sci. Lett. 2015, 17, 78–86. [Google Scholar] [CrossRef]
- Nibumbh, A.C.; Chakraborty, A.; Bhat, G.S.; Frierson, D.M.W. Large-scale extreme rainfall producing synoptic systems of the Indian summer monsoon. Geophys. Res. Lett. 2020. [Google Scholar] [CrossRef]
- Boers, N. Complex networks reveal global pattern of extreme-rainfall teleconnections. Nature 2019. [Google Scholar] [CrossRef] [PubMed]














© 2020 by the authors. Licensee MDPI, Basel, Switzerland. This article is an open access article distributed under the terms and conditions of the Creative Commons Attribution (CC BY) license (http://creativecommons.org/licenses/by/4.0/).
Share and Cite
Kumar, V.; Pradhan, P.K.; Sinha, T.; Rao, S.V.B.; Chang, H.-P. Interaction of a Low-Pressure System, an Offshore Trough, and Mid-Tropospheric Dry Air Intrusion: The Kerala Flood of August 2018. Atmosphere 2020, 11, 740. https://doi.org/10.3390/atmos11070740
Kumar V, Pradhan PK, Sinha T, Rao SVB, Chang H-P. Interaction of a Low-Pressure System, an Offshore Trough, and Mid-Tropospheric Dry Air Intrusion: The Kerala Flood of August 2018. Atmosphere. 2020; 11(7):740. https://doi.org/10.3390/atmos11070740
Chicago/Turabian StyleKumar, Vinay, Prabodha Kumar Pradhan, Tushar Sinha, S. Vijaya Bhaskara Rao, and Hao-Po Chang. 2020. "Interaction of a Low-Pressure System, an Offshore Trough, and Mid-Tropospheric Dry Air Intrusion: The Kerala Flood of August 2018" Atmosphere 11, no. 7: 740. https://doi.org/10.3390/atmos11070740
APA StyleKumar, V., Pradhan, P. K., Sinha, T., Rao, S. V. B., & Chang, H.-P. (2020). Interaction of a Low-Pressure System, an Offshore Trough, and Mid-Tropospheric Dry Air Intrusion: The Kerala Flood of August 2018. Atmosphere, 11(7), 740. https://doi.org/10.3390/atmos11070740

