Genome-Wide Identification and Evolutionary and Mutational Analysis of the Bos taurus Pax Gene Family
Abstract
1. Introduction
2. Materials and Methods
2.1. Identification of the Pax Gene Family
2.2. Multiple-Sequence Alignment and Phylogenetic Analysis of Pax Gene Family
2.3. Sequence Analysis of Pax Gene in B. taurus
2.4. Physicochemical Properties and Subcellular Localization of Pax Gene Family in B. taurus
2.5. Co-Linearity Analysis and Chromosome Localization of Pax Gene in B. taurus
2.6. Multiple-Sequence Alignment of Pax Gene in B. taurus
2.7. Protein Three-Dimensional Structure and Interaction Network of Pax Gene
3. Results
3.1. Systematic Evolution of the Pax Gene Family
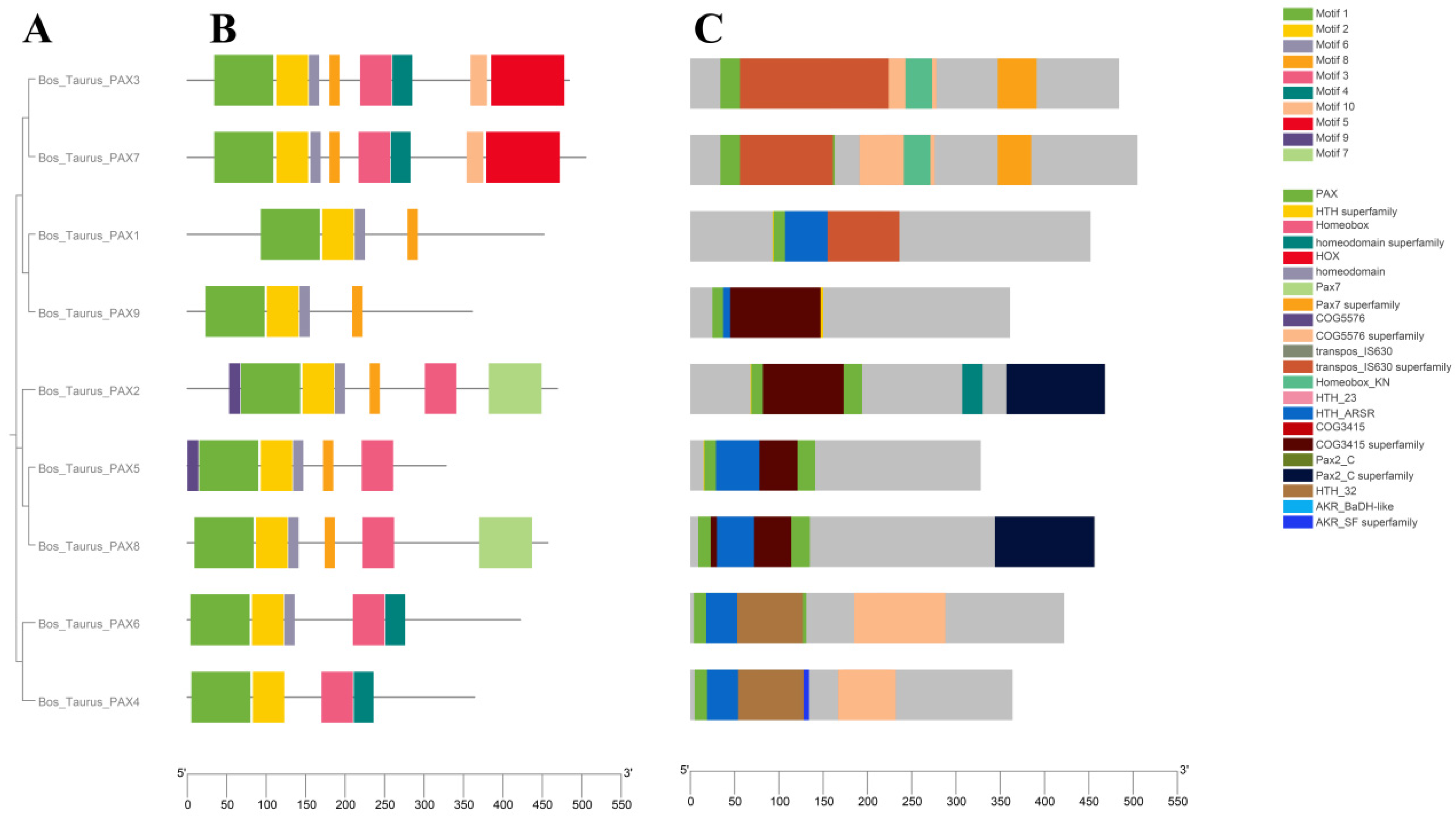
3.2. Gene Structure Characterization of Pax Gene Family in B. taurus
3.3. Physical and Chemical Properties and Subcellular Localization of Pax Gene Family in B. taurus
3.4. Co-linearity Analysis and Chromosome Localization of Pax Gene in B. taurus
3.5. Multi-Sequence Alignment of Pax Protein in B. taurus
3.6. Three-Dimensional Structure of Pax Protein
3.7. Protein Interaction Network of Pax Gene
4. Discussion
5. Conclusions
Author Contributions
Funding
Institutional Review Board Statement
Informed Consent Statement
Data Availability Statement
Conflicts of Interest
References
- Ajmone-Marsan, P.; Garcia, J.F.; Lenstra, J.A. On the origin of cattle: How aurochs became cattle and colonized the world. Evol. Anthropol. Issues News Rev. 2010, 19, 148–157. [Google Scholar] [CrossRef]
- Zhang, H.; Paijmans, J.L.; Chang, F.; Wu, X.; Chen, G.; Lei, C.; Yang, X.; Wei, Z.; Bradley, D.G.; Orlando, L.; et al. Morphological and genetic evidence for early Holocene cattle management in northeastern China. Nat. Commun. 2013, 4, 2755. [Google Scholar] [CrossRef] [PubMed]
- Chen, N.; Cai, Y.; Chen, Q.; Li, R.; Wang, K.; Huang, Y.; Hu, S.; Huang, S.; Zhang, H.; Zheng, Z.; et al. Whole-genome resequencing reveals world-wide ancestry and adaptive introgression events of domesticated cattle in East Asia. Nat. Commun. 2018, 9, 2337. [Google Scholar] [CrossRef] [PubMed]
- Thompson, B.; Davidson, E.A.; Liu, W.; Nebert, D.W.; Bruford, E.A.; Zhao, H.; Dermitzakis, E.T.; Thompson, D.C.; Vasiliou, V. Overview of PAX gene family: Analysis of human tissue-specific variant expression and involvement in human disease. Hum. Genet. 2021, 140, 381–400. [Google Scholar] [CrossRef] [PubMed]
- Ko, J.; Fonseca, V.A.; Wu, H. Pax4 in Health and Diabetes. Int. J. Mol. Sci. 2023, 24, 8283. [Google Scholar] [CrossRef] [PubMed]
- Navet, S.; Buresi, A.; Baratte, S.; Andouche, A.; Bonnaud-Ponticelli, L.; Bassaglia, Y. The Pax gene family: Highlights from cephalopods. PLoS ONE 2017, 12, e0172719. [Google Scholar] [CrossRef]
- Panneerselvam, A.; Kannan, A.; Mariajoseph-Antony, L.F.; Prahalathan, C. PAX proteins and their role in pancreas. Diabetes Res. Clin. Pract. 2019, 155, 107792. [Google Scholar] [CrossRef]
- Perez-Borrajero, C.; Heinkel, F.; Gsponer, J.; McIntosh, L.P. Conformational Plasticity and DNA-Binding Specificity of the Eukaryotic Transcription Factor Pax5. Biochemistry 2021, 60, 104–117. [Google Scholar] [CrossRef]
- Steele, R.E.; Sanders, R.; Phillips, H.M.; Bamforth, S.D. PAX Genes in Cardiovascular Development. Int. J. Mol. Sci. 2022, 23, 7713. [Google Scholar] [CrossRef]
- Hu, Y.; Wang, X.; Xu, Y.; Yang, H.; Tong, Z.; Tian, R.; Xu, S.; Yu, L.; Guo, Y.; Shi, P.; et al. Molecular mechanisms of adaptive evolution in wild animals and plants. Sci. China Life Sci. 2023, 66, 453–495. [Google Scholar] [CrossRef]
- Zhang, K.; Lenstra, J.A.; Zhang, S.; Liu, W.; Liu, J. Evolution and domestication of the Bovini species. Anim. Genet. 2020, 51, 637–657. [Google Scholar] [CrossRef] [PubMed]
- Xu, Y.; Cai, H.; Zhou, Y.; Shi, T.; Lan, X.; Zhang, C.; Lei, C.; Jia, Y.; Chen, H. SNP and haplotype analysis of paired box 3 (PAX3) gene provide evidence for association with growth traits in Chinese cattle. Mol. Biol. Rep. 2014, 41, 4295–4303. [Google Scholar] [CrossRef] [PubMed]
- Wu, W.; Kong, X.; Jia, Y.; Jia, Y.; Ou, W.; Dai, C.; Li, G.; Gao, R. An overview of PAX1: Expression, function and regulation in development and diseases. Front. Cell Dev. Biol. 2022, 10, 1051102. [Google Scholar] [CrossRef] [PubMed]
- Sanchez, R.S.; Sanchez, S.S. Characterization of Pax1, Pax9, and uncx sclerotomal genes during Xenopus laevis embryogenesis. Dev. Dyn. 2013, 242, 572–579. [Google Scholar] [CrossRef] [PubMed]
- Liu, Y.-H.; Lin, T.-C.; Hwang, S.-P.L. Zebrafish Pax1a and Pax1b are required for pharyngeal pouch morphogenesis and ceratobranchial cartilage development. Mech. Dev. 2020, 161, 103598. [Google Scholar] [CrossRef] [PubMed]
- Bonczek, O.; Balcar, V.J.; Sery, O. Pax9 gene mutations and tooth agenesis: A review. Clin. Genet. 2017, 92, 467–476. [Google Scholar] [CrossRef] [PubMed]
- Sehgal, R.; Karcavich, R.; Carlson, S.; Belecky-Adams, T.L. Ectopic Pax2 expression in chick ventral optic cup phenocopies loss of Pax2 expression. Dev. Biol. 2008, 319, 23–33. [Google Scholar] [CrossRef] [PubMed]
- Bosze, B.; Suarez-Navarro, J.; Soofi, A.; Lauderdale, J.D.; Dressler, G.R.; Brown, N.L. Multiple roles for Pax2 in the embryonic mouse eye. Dev. Biol. 2021, 472, 18–29. [Google Scholar] [CrossRef] [PubMed]
- Cao, M.; Shi, L.; Peng, P.; Han, B.; Liu, L.; Lv, X.; Ma, Z.; Zhang, S.; Sun, D. Determination of genetic effects and functional SNPs of bovine HTR1B gene on milk fatty acid traits. BMC Genom. 2021, 22, 575. [Google Scholar] [CrossRef]
- Kumar, A.; Mishra, S.K.; Lavakumar, S.; Singh, K.V.; Kumari, N.; Sodhi, M.; Mukesh, M.; Niranjan, S.K.; Kumar, A.; Kataria, R.S. Detection of polymorphism in the promoter region of TNF-α gene of water buffalo (Bubalus bubalis) and its association with disease resistance. Indian J. Anim. Res. 2019, 53, 1572–1576. [Google Scholar] [CrossRef]
- Feng, C.; Jin, J.; Zou, Q.; Chen, X.; Zhou, C.; Wu, B.; Weiner, D.B.; Wang, B. Interleukin-21 Inhibits Humoral Response to an HIV DNA Vaccine by Enhancing Bcl-6 and Pax-5 Expression. Viral Immunol. 2012, 25, 131–140. [Google Scholar] [CrossRef] [PubMed]
- Jiachi, M.; Xiaowen, S.; Yimin, W.; Bangling, C.; Liyu, Q.; Yaguo, W. Fibroblast-derived CXCL12 regulates PTEN expression and is associated with the proliferation and invasion of colon cancer cells via PI3k/Akt signaling. Cell Commun. Signal. 2019, 17, 119. [Google Scholar]
- Naji, M.M.; Jiang, Y.; Utsunomiya, Y.T.; Rosen, B.D.; Sölkner, J.; Wang, C.; Jiang, L.; Zhang, Q.; Zhang, Y.; Ding, X.; et al. Favored single nucleotide variants identified using whole genome Re-sequencing of Austrian and Chinese cattle breeds. Front. Genet. 2022, 13, 974787. [Google Scholar] [CrossRef] [PubMed]
- Chaves-Moreira, D.; Mitchell, M.A.; Arruza, C.; Rawat, P.; Sidoli, S.; Nameki, R.; Reddy, J.; Corona, R.I.; Afeyan, L.K.; Klein, I.A.; et al. The transcription factor PAX8 promotes angiogenesis in ovarian cancer through interaction with SOX17. Sci. Signal. 2022, 15, eabm2496. [Google Scholar] [CrossRef]
- Di Palma, T.; Zannini, M. Pax8 as a Potential Target for Ovarian Cancer: What We Know so Far. OncoTargets Ther. 2022, 15, 1273–1280. [Google Scholar] [CrossRef] [PubMed]
- Diniz, W.J.S.; Reynolds, L.P.; Borowicz, P.P.; Ward, A.K.; Sedivec, K.K.; McCarthy, K.L.; Kassetas, C.J.; Baumgaertner, F.; Kirsch, J.D.; Dorsam, S.T.; et al. Maternal Vitamin and Mineral Supplementation and Rate of Maternal Weight Gain Affects Placental Expression of Energy Metabolism and Transport-Related Genes. Genes 2021, 12, 385. [Google Scholar] [CrossRef] [PubMed]
- Nord, H.; Kahsay, A.; Dennhag, N.; Domellöf, F.P.; von Hofsten, J. Genetic compensation between Pax3 and Pax7 in zebrafish appendicular muscle formation. Dev. Dyn. 2022, 251, 1423–1438. [Google Scholar] [CrossRef] [PubMed]
- Der Vartanian, A.; Quétin, M.; Michineau, S.; Auradé, F.; Hayashi, S.; Dubois, C.; Rocancourt, D.; Drayton-Libotte, B.; Szegedi, A.; Buckingham, M.; et al. PAX3 Confers Functional Heterogeneity in Skeletal Muscle Stem Cell Responses to Environmental Stress. Cell Stem Cell 2019, 24, 958–973.e9. [Google Scholar] [CrossRef] [PubMed]
- Palmer, A.J.; Savery, D.; Massa, V.; Copp, A.J.; Greene, N.D.E. Genetic interaction of Pax3 mutation and canonical Wnt signaling modulates neural tube defects and neural crest abnormalities. Genesis 2021, 59, e23445. [Google Scholar] [CrossRef]
- Azhar, M.; Wardhani, B.; Renesteen, E. The regenerative potential of Pax3/Pax7 on skeletal muscle injury. J. Genet. Eng. Biotechnol. 2022, 20, 143. [Google Scholar] [CrossRef]
- Bandín, S.; Morona, R.; López, J.M.; Moreno, N.; González, A. Immunohistochemical analysis of Pax6 and Pax7 expression in the CNS of adult Xenopus laevis. J. Chem. Neuroanat. 2014, 57–58, 24–41. [Google Scholar]
- Buckingham, M.; Relaix, F. PAX3 and PAX7 as upstream regulators of myogenesis. Semin. Cell Dev. Biol. 2015, 44, 115–125. [Google Scholar] [CrossRef] [PubMed]
- Dulak, J. Many roles for Pax7. Cell Cycle 2017, 16, 21–22. [Google Scholar] [CrossRef] [PubMed]
- Lorenzo, P.I.; Juárez-Vicente, F.; Cobo-Vuilleumier, N.; García-Domínguez, M.; Gauthier, B.R. The Diabetes-Linked Transcription Factor PAX4: From Gene to Functional Consequences. Genes 2017, 8, 101. [Google Scholar] [CrossRef] [PubMed]
- Cunha, D.L.; Arno, G.; Corton, M.; Moosajee, M. The Spectrum of PAX6 Mutations and Genotype-Phenotype Correlations in the Eye. Genes 2019, 10, 1050. [Google Scholar] [CrossRef] [PubMed]
- Abdolkarimi, D.; Cunha, D.L.; Lahne, M.; Moosajee, M. PAX6 disease models for aniridia. Indian J. Ophthalmol. 2022, 70, 4119–4129. [Google Scholar] [CrossRef] [PubMed]
- Hong, J.; Wang, X.; Mei, C.; Wang, H.; Zan, L. DNA Methylation and Transcription Factors Competitively Regulate SIRT4 Promoter Activity in Bovine Adipocytes: Roles of NRF1 and CMYB. DNA Cell Biol. 2019, 38, 63–75. [Google Scholar] [CrossRef] [PubMed]
- Zheng, X.-R.; Jiang, L.; Ning, C.; Hu, Z.-Z.; Zhou, L.; Yu, Y.; Zhang, S.-L.; Liu, J.-F. A novel mutation in the promoter region of RPL8 regulates milk fat traits in dairy cattle by binding transcription factor Pax6. Biochim. Biophys. Acta (BBA) Mol. Cell Biol. Lipids 2019, 1864, 158528. [Google Scholar] [CrossRef]
- Sodhi, M.; Mukesh, M.; Kishore, A.; Mishra, B.; Kataria, R.; Joshi, B. Novel polymorphisms in UTR and coding region of inducible heat shock protein 70.1 gene in tropically adapted Indian zebu cattle (Bos indicus) and riverine buffalo (Bubalus bubalis). Gene 2013, 527, 606–615. [Google Scholar] [CrossRef]








| Motif | Protein Sequence | Length | E-Value |
|---|---|---|---|
| MEME-1 | HGGVNQLGGVFVNGRPLPBVIRQRIVELAHQGIRPCDISRQLRVSHGCVSKILGRYYETGSIRPGAIGGSKPRVAT | 76 | 4.7 × 10−377 |
| MEME-2 | VVKKIAEYKRZNPGMFAWEIRDRLLAEGVCDNDTVPSVSSI | 41 | 4.20 × 10−182 |
| MEME-3 | HRRRTTFTQZQLEALEKEFERTHYPDIYTREELAKREQLPE | 41 | 4.70 × 10−68 |
| MEME-4 | ARVQVWFSNRRAKWRKQEGLNQLMAF | 26 | 8.40 × 10−27 |
| MEME-5 | NGLSPQVMGJLSNPGGVPPQPQADFAJSPLHGGLEPATSISASCSQRADPIKPGDSLPTSQSYCPPTYSTTGYSMDPVAGYQYGQYGQSAFDYL | 94 | 1.50 × 10−13 |
| MEME-6 | NRIJRTKVGQPEZQ | 14 | 5.80 × 10−11 |
| MEME-7 | REMVGPTLPGYPPHIPPSGQGSYPSSAJAGMVPGSEFSGNPYGHPPYSAYNEAWRFPNPALLSSPYYY | 68 | 7.70 × 10−9 |
| MEME-8 | SKPSSHSINGILGI | 14 | 3.30 × 10−6 |
| MEME-9 | MEIHCKADPFAAMHR | 15 | 6.90 × 10−6 |
| MEME-10 | RHGFSSYSDSFMNPAGPSNPMN | 22 | 2.90 × 10−2 |
| No. | Gene Name | Chr | Length | MW (Da) | pI | PSL |
|---|---|---|---|---|---|---|
| 1 | B. taurus_Pax1 | 13 | 452 | 46,804.7 | 10.61 | Nucleus |
| 2 | B. taurus_Pax2 | 26 | 469 | 50,169 | 8.82 | Nucleus |
| 3 | B. taurus_Pax3 | 2 | 484 | 53,417.6 | 8.77 | Nucleus |
| 4 | B. taurus_Pax4 | 4 | 364 | 39,307.9 | 9.38 | Nucleus |
| 5 | B. taurus_Pax5 | 8 | 328 | 35,573.8 | 9.26 | Nucleus |
| 6 | B. taurus_Pax6 | 15 | 422 | 46,653 | 9.7 | Nucleus |
| 7 | B. taurus_Pax7 | 2 | 505 | 55,100.5 | 9.29 | Nucleus |
| 8 | B. taurus_Pax8 | 11 | 457 | 48,762.8 | 7.93 | Nucleus |
| 9 | B. taurus_Pax9 | 21 | 361 | 38,476.3 | 9.65 | Nucleus |
Disclaimer/Publisher’s Note: The statements, opinions and data contained in all publications are solely those of the individual author(s) and contributor(s) and not of MDPI and/or the editor(s). MDPI and/or the editor(s) disclaim responsibility for any injury to people or property resulting from any ideas, methods, instructions or products referred to in the content. |
© 2024 by the authors. Licensee MDPI, Basel, Switzerland. This article is an open access article distributed under the terms and conditions of the Creative Commons Attribution (CC BY) license (https://creativecommons.org/licenses/by/4.0/).
Share and Cite
Zhong, J.; Wang, W.; Li, Y.; Wei, J.; Cui, S.; Song, N.; Zhang, Y.; Liu, H. Genome-Wide Identification and Evolutionary and Mutational Analysis of the Bos taurus Pax Gene Family. Genes 2024, 15, 897. https://doi.org/10.3390/genes15070897
Zhong J, Wang W, Li Y, Wei J, Cui S, Song N, Zhang Y, Liu H. Genome-Wide Identification and Evolutionary and Mutational Analysis of the Bos taurus Pax Gene Family. Genes. 2024; 15(7):897. https://doi.org/10.3390/genes15070897
Chicago/Turabian StyleZhong, Jintao, Wenliang Wang, Yifei Li, Jia Wei, Shuangshuang Cui, Ning Song, Yunhai Zhang, and Hongyu Liu. 2024. "Genome-Wide Identification and Evolutionary and Mutational Analysis of the Bos taurus Pax Gene Family" Genes 15, no. 7: 897. https://doi.org/10.3390/genes15070897
APA StyleZhong, J., Wang, W., Li, Y., Wei, J., Cui, S., Song, N., Zhang, Y., & Liu, H. (2024). Genome-Wide Identification and Evolutionary and Mutational Analysis of the Bos taurus Pax Gene Family. Genes, 15(7), 897. https://doi.org/10.3390/genes15070897

