Highlights
What are the main findings?
- We found that the MCT1 rs1049434 polymorphism is associated with athlete status in male Japanese long-distance runners.
- We compared physiological parameters across the AA genotype and T allele of MCT1 rs1049434 and found that the AA genotype exhibited higher values in aerobic capacity (VO2max, VO2-LT, VO2-OBLA, BLamax).
What is the implication of the main finding?
- Our findings suggest that the MCT1 rs1049434 polymorphism may offer a significant advantage to long-distance runners, particularly in the Eastern Asian region, and it is expected that future research combining it with other genetic polymorphisms and comparing populations from different regions will provide a more detailed understanding.
Abstract
Background/Objectives: Monocarboxylate transporters (MCTs) comprise 14 known isoforms, with MCT1 being particularly important for lactate transport. Variations in lactate metabolism capacity and aerobic performance are associated with the T1470A polymorphism in MCT1. We aimed to investigate the frequency of the T1470A polymorphism and compare relevant physiological parameters among long-distance runners, wherein these parameters are fundamental to athletic performance. Methods: We included 158 Japanese long-distance runners (LD) and 649 individuals from the general Japanese population (CON). The frequency of the T1470A polymorphism was compared between these groups and across athletic levels using the chi-square test. Additionally, physiological data were collected from 57 long-distance runners, and respiratory gas measurements were obtained using the mixing-chamber method during a graded incremental exercise test. Results: We observed a significant difference between the LD and CON groups in the dominant model and between the sub-28 min group and 28 min or above group in the recessive model. As the competitive level increased, the frequency of the AA genotype also increased. When comparing physiological parameters between the AA genotype and T allele, subjects with the AA genotype showed significantly higher values for oxygen uptake at lactate threshold (p = 0.001), oxygen uptake at onset of blood lactate accumulation (p = 0.01), maximal oxygen uptake (p = 0.005), and maximal blood lactate concentration (p = 0.038). Conclusions: These results suggest that the AA genotype of the T1470A polymorphism of MCT1 is an effective genotype associated with athletic status and aerobic capacity in Japanese long-distance runners.
1. Introduction
Currently, there are 14 known monocarboxylate transporter (MCT) isoforms [1], of which MCT1 is found in various organs throughout the body and is predominantly expressed in slow-twitch muscle fibers [2,3]. MCT1 plays a crucial role in transporting approximately 70–90% of the lactate generated in the body [4] and maintains cellular homeostasis by co-transporting lactate and hydrogen ions in a 1:1 ratio across cell membranes and interstitial spaces [5,6]. Moreover, MCT1, directly and indirectly, facilitates lactate uptake from the bloodstream via MCT4, which is abundant in fast-twitch fibers [7,8,9]. MCT1 content has been reported to vary in response to training intensity, duration, and frequency in humans and animals. For example, in rat skeletal muscle, chronic electrical stimulation leads to an increase in MCT1 content, whereas denervation leads to a decrease [10,11,12]. Additionally, short- and long-term moderate- and high-intensity exercises have been shown to increase MCT1 levels [13]. In human skeletal muscle, MCT1 content increases in response to moderate- to high-intensity training and endurance training, whereas it decreases following detraining [14,15]. MCT1 content is higher in middle- and long-distance runners than in the general population [16], and an increase in MCT1 expression is associated with a shorter time to complete a 10 km cycling test [15]. These findings suggest that an increase in MCT1 content facilitates the efficient uptake of lactate (an energy substrate) into various organs, leading to improved endurance performance.
In recent years, the transport capacity of MCT1 has been reported to vary depending on genetic variations in MCT1. The T1470A polymorphism (rs1049434) in MCT1 (located at 1p12) is a missense mutation in which glutamic acid at codon 490 is replaced by aspartic acid, resulting in a change in the amino acid produced [17]. Merezhinskaya et al. [17] reported that having the AA genotype increased the lactate transport rate by 60–65% compared to having the AT and TT genotypes. Sasaki et al. reported that the variant (A allele) of the T1470A polymorphism exhibited superior lactate transport capacity in mouse skeletal muscle cell lines (C2C12 cells) compared to the wild type (T allele) [18]. Thus, differences in lactate transport capacity across T1470A polymorphisms are currently under study in endurance and power/sprint athletes, as well as in intermittent athletes. Several studies have investigated the relationship between the genotype frequency of the T1470A polymorphism in athletes and their physical abilities. The TT genotype is believed to be prevalent in power and sprint athletes [19,20], whereas the AA genotype is significantly more prevalent in endurance athletes and intermittent sport-specific athletes than in controls [21,22]. In terms of physical abilities corresponding to the T1470A polymorphism, Guilherme et al. (2021) investigated the differences in maximal oxygen uptake (VO2max) and found the VO2max of individuals with the AA genotype to be significantly higher than that of those with the TT genotype [23]. Fedotovskaya et al. reported that the maximal blood lactate concentration (BLamax) after exercise cessation was significantly lower in subjects with the AA genotype than in those with the AT + TT genotype (T allele) after conducting an incremental test [24]; similar results have been observed in other studies [21,23,25,26]. Based on these findings, the AA genotype exhibits higher VO2max and lactate metabolism capacity compared to the TT genotype and the T allele. Glutamine (A) substitution in the T1470A polymorphism leads to functional activation of MCT1 [27], resulting in more efficient lactate transport and its effective utilization as an energy substrate. This suggests that the AA genotype may be advantageous not only in athletes involved in intermittent sports but also for long-distance runners, where aerobic capacity and lactate metabolism significantly impact performance.
The key factors influencing performance in long-distance runners include VO2max, lactate threshold (LT), and running economy [28,29]. Among these, LT, the onset of blood lactate accumulation (OBLA) [30,31,32], and the maximal lactate steady state [33,34] are widely utilized as training intensity and performance indicators in the field of long-distance running coaching. Therefore, a high lactate metabolic capacity is considered one of the essential factors in long-distance runners, as it contributes to efficient high-energy supply during physical activity and helps sustain peak performance. However, research examining the association between the T1470A polymorphism—a genetic factor significantly impacting lactate metabolism—and long-distance runners is limited to a single study by Ben-Zaken et al. [35]. This study only assessed the frequency in a general athletic population, comprising both Ethiopian and non-Ethiopian Israeli individuals [35]. Consequently, the frequency of this polymorphism, including in elite-level athletes, and its association with physiological parameters remain largely unexplored.
This study hypothesized that, among Japanese long-distance runners, the frequency of the AA genotype in the T1470A polymorphism increases with higher competitive levels and that the AA genotype also indicates superior physiological parameters. Therefore, this study aimed to examine and compare the frequency of the T1470A polymorphism with physiological parameters in terms of each genotype among Japanese long-distance runners, including current and former national record holders, Olympic athletes, World Championship participants, Japanese Championship participants, Asian Championship participants, and university-level athletes.
2. Materials and Methods
2.1. Study Design
We conducted a case–control study to test the hypothesis that the MCT1 T1470A polymorphism exhibits distinct frequencies across competitive levels. Additionally, we investigated physiological parameters according to the competitive level and the MCT1 T1470A genotype. Physiological data were obtained using a graded incremental exercise test (GXT), which included both a lactate curve test and a VO2max test. Saliva samples for genetic polymorphism analysis were collected during competitions and training camps. Participants also completed a questionnaire covering age, competitive experience, competitive level, and their 10,000 m personal best record (10,000 m PBR).
2.2. Participants
The participants included 158 male Japanese long-distance runners (LD; age: 26.1 ± 9.9 years, competitive experience: 11.9 ± 6.4, mean ± SD) and 649 general Japanese individuals (CON). The CON group consisted of healthy Tokyo residents (271 men, 378 women), while the LD group included former and current Japanese record holders, Olympic athletes, World Championship participants, and long-distance runners with 10,000 m PBR in the 27–30 min range.
The competitive levels within the LD group were categorized based on the Asian 10,000 m PBR benchmarks published by World Athletics, with a cutoff set at sub-28 min vs. 28 min or above. To date, 156 long-distance runners from Asia have achieved sub-28 min for 10,000 m, of whom 139 are Japanese athletes [36]. In 2024, 22 Asian athletes achieved sub-28 min, 20 of whom were Japanese [37]. This suggests that a sub-28 min record represents an elite level among Japanese long-distance runners. The study was approved by the ethics review committee of our institution (023-H120) and was conducted in accordance with the principles outlined in the Declaration of Helsinki. All subjects signed an informed consent form that included (1) the purpose of the study, (2) a statement that the samples would only be used for this study, and (3) explicit anonymity of the final genetic results.
2.3. Genotyping
Total DNA was extracted and isolated from 2 mL of saliva collected using a self-collection kit (Oragene® DISCOVER; DNA Genotek, Ottawa, ON, Canada) following the manufacturer’s instructions. The presence of the MCT1 T1470A polymorphism (rs1049434) was determined using a TaqMan™ SNP genotyping assay (Assay ID: C___2017662_30) and a Real-Time PCR System (CFX96 Touch™ Real-Time PCR, Bio-Rad, Hercules, CA, USA). The FAM dye-labeled probe indicates the genomic A allele, and the VIC indicates the genomic T allele. An increase in FAM or VIC fluorescent signal indicates homozygosity for the FAM- or VIC-specific allele, while an increase in both signals indicates heterozygosity. A scatter plot showing the endpoint fluorescence signals was used to discriminate the genotypes. We performed each PCR reaction in a 6 μL genotyping mixture containing 2.5 μL TaqMan Universal Master Mix II, 0.125 μL TaqMan SNP Genotyping Assay mix, 2.375 μL sterilized water, and 1 μL genomic DNA. The genotyping results were analyzed using the CFX Manager software version 2.1 (Bio-Rad, Hercules, CA, USA).
2.4. GXT
For collection of physiological parameter data, GXT was conducted with 57 long-distance runners. The lactate curve test began with a 3 min warm-up at a speed of 200 m/min. Afterward, participants wore a mask (Hans Rudolf Inc., Shawnee, KS, USA), and physiological parameters were measured using a pulmonary exercise load monitoring system (AE 310S, Minato Medical Science Co., Ltd., Kanagawa, Japan) with the mixing-chamber method. Heart rate was measured using a heart rate sensor (H10, Polar Inc, Kainuu, Finland). Next, the measurement with the heart rate sensor and pulmonary exercise load monitoring system was synchronized. After measuring 1 min of rest, the first speed was set to 220 m/min for 3 min of steady-state running, followed by a 1 min rest period. During the 1 min rest period, subjective exertion was assessed using the Rating of Perceived Exertion (RPE) scale, and blood lactate was measured using a Lactate Pro 2 (Arkray Inc, Kyoto, Japan). Speed was increased incrementally by 20 m/min per stage until blood lactate concentration exceeded 4 mmol/L. Thereafter, a 2 min rest was allowed before beginning the VO2max test. The VO2max test began at a speed of one stage below the point at which lactate concentration exceeded 4 mmol/L. The speed was then increased by 10 m/min every 30 s until the runner reached a pace that could be maintained for 1–1.5 min, after which the test continued until exhaustion (all-out). Blood lactate was measured immediately after the test, as well as at 3 min and 5 min after the test, using fingertip blood samples. Finally, a cool-down was performed on a cycle ergometer or the track.
The criterion for determining VO2max was defined as the highest oxygen uptake recorded every 30 s. Additionally, at least three of the following conditions needed to be met: (1) leveling-off of oxygen uptake, (2) measured heart rate reaching the maximal heart rate [38], (3) respiratory exchange ratio of 1.15 or higher, (4) RPE of 18 or above, and (5) blood lactate concentration of 8 mmol/L or higher following exercise [39].
The determination of VO2-LT was based on the definition by Beaver et al. [40]. It involved calculating the slopes of the linear portions of the lactate curve above and below the inflection point in terms of blood lactate concentration and identifying the intersection of these two lines as the VO2-LT. For the determination of VO2-OBLA, the oxygen uptake corresponding to a blood lactate concentration of 4 mmol/L was used.
The BLamax was defined as the highest value that was obtained during post-exercise measurement of blood lactate.
2.5. Statistical Analysis
The Hardy—Weinberg equilibrium of the observed genotype frequencies was assessed using the χ2 test and Fisher’s exact probability test. Additionally, the differences in genotype frequencies (AA, TA, and TT) of the rs1049434 polymorphism between the LD and CON groups were tested. Comparisons were also made between the LD and CON groups, between different competition levels and the CON group, and between the competition levels themselves. To estimate the contribution of the MCT1 T1470A polymorphism, odds ratios (ORs) and 95% confidence intervals (CIs) were calculated. Three genetic models were used: the codominant model (AA vs. AT or TT), the dominant model (AA + AT vs. TT), and the recessive model (AA vs. TT + AT).
Physiological parameters associated with the MCT1 T1470A genotypes are presented as mean ± standard deviation. The normality of the data was assessed using the Shapiro—Wilk test. If normality was confirmed, a parametric independent t-test was performed, and p-values and 95%CI were reported. The effect size of the t-test was evaluated using Cohen’s d. The classification of effect size was as follows: small (0.2–0.6), medium (0.6–1.2), large (1.2–2.0), and very large (≥2.0) [41]. The 95%CI for the effect size was also presented. If normality was not confirmed, a non-parametric Mann–Whitney U-test was performed. The p-value, 95%CI, and effect size were reported. The effect size was evaluated using r, and the classification of effect size was as follows: small (0.1–0.3), medium (0.3–0.5), and large (≥0.5) [42].
The χ2 test and Fisher’s exact probability test were conducted using R Studio Statistical Software (V 4.4.1). The independent t-test and Mann–Whitney U-test were performed using SPSS Version 29.0 (IBM Corp., Armonk, NY, USA) for statistical analysis. The statistical significance level was set at p < 0.05.
3. Results
3.1. Characteristics of Japanese Long-Distance Runners
The characteristics of Japanese long-distance runners categorized by the T1470A polymorphism, along with their personal best records for the 10,000 m event, are summarized in Table 1.
Table 1.
Characteristics of Japanese long-distance runners and 10,000 m PBR.
3.2. The Distribution of T1470A Polymorphism in LD and CON Groups
The distribution of the T1470A polymorphism frequency was examined in the LD and CON groups. In the CON group, the frequencies of the AA, AT, and TT genotypes were 47.0%, 42.7%, and 10.3%, respectively, which conformed to a Hardy—Weinberg equilibrium (CON: χ2 = 0.12, p = 0.941; Table 2). In contrast, the values in the LD group were 41.8%, 53.2%, and 5.1%, respectively, which were not in a Hardy—Weinberg equilibrium (χ2 = 8.28, p = 0.016; Table 2). The allele distributions of LD and CON groups are shown in Table 2.
Table 2.
Genotype and allele frequencies of MCT1 T1470A polymorphism in the LD and CON groups.
3.3. Comparison of Genetic Model Frequencies Between LD and CON Groups
The genetic model frequencies of the T1470A polymorphism for the LD and CON groups in this study are shown in Table 3. No significant differences were observed in the codominant and recessive models. However, a significant difference was found in the dominant model between the LD and CON groups (OR: 2.16, 95%CI: 1.01–4.59, p = 0.04).
Table 3.
Comparison of the frequencies of the codominant, recessive, and dominant models between LD and CON groups.
3.4. Comparison of Genetic Model Frequencies Between Athletic Levels in the LD and CON Groups
The genetic model frequencies for the T1470A polymorphism among groups with 10,000 m PBR sub-28 min and 28 min or above, as well as in the CON group, are presented in Table 4. No significant differences were observed in the frequencies of any models between the sub-28 min group and the CON group. However, between the 28 min or above group and the CON group, a significant difference was noted for the AT genotype (OR: 1.58, 95%CI: 1.08–2.31, p = 0.02), although there was no significant difference for the AA or TT genotype. Additionally, no significant differences were observed in either the recessive or dominant model (OR: 0.72, 95%CI: 0.50–1.05, p = 0.08; OR: 2.20, 95%CI: 0.99–4.91, p = 0.05, respectively).
Table 4.
Comparison of the frequencies of the codominant, recessive, and dominant models between athletic levels in the LD and CON groups.
Comparing the sub-28 min group with the 28 min or above group, no significant differences were found for the AA and TT genotypes. However, a significant difference was observed for the AT genotype (OR: 0.32, 95%CI: 0.10–0.96, p = 0.03). Furthermore, significant differences were found in the recessive model (OR: 2.87, 95% CI: 1.00–8.19, p = 0.04), while no significant difference was observed in the dominant model (OR: 0.84, 95%IC: 0.10–7.24, p = 1.00).
3.5. Comparison of Aerobic Capacity Between the AA Genotype and T Allele
The results in Figure 1 indicate that the VO2-LT, VO2-OBLA, and VO2max for the AA genotype carriers were significantly higher than those for the T-allele carriers (p = 0.001, 95% CI: 1.91–7.18, d = 0.948; p = 0.01, 95% CI: 0.72–5.09, d = 0.664; p = 0.005, 95% CI: 1.20–5.80, r = 0.37; see Supplementary Tables S1 and S2).
Figure 1.
Comparison of aerobic capacity between MCT1 AA genotype and T allele in long-distance runners. VO2-LT and VO2-OBLA were analyzed using independent t-test. VO2max was analyzed using the Mann–Whitney U-test. Box whisker plots (line: median; cross: mean; box: data from first to third quartile; whisker: ±1.5 × interquartile range) with individual plots (circle). (a) VO2-LT, Oxygen uptake at lactate threshold (relative value); (b) VO2-OBLA, Oxygen uptake at onset of blood lactate accumulation (relative value); (c) VO2max, Maximal oxygen uptake (relative value); AA, AA genotype (blank box whisker plot); T allele, TT genotype + AT genotype (gray box whisker plot). *: p < 0.05; **: p < 0.01.
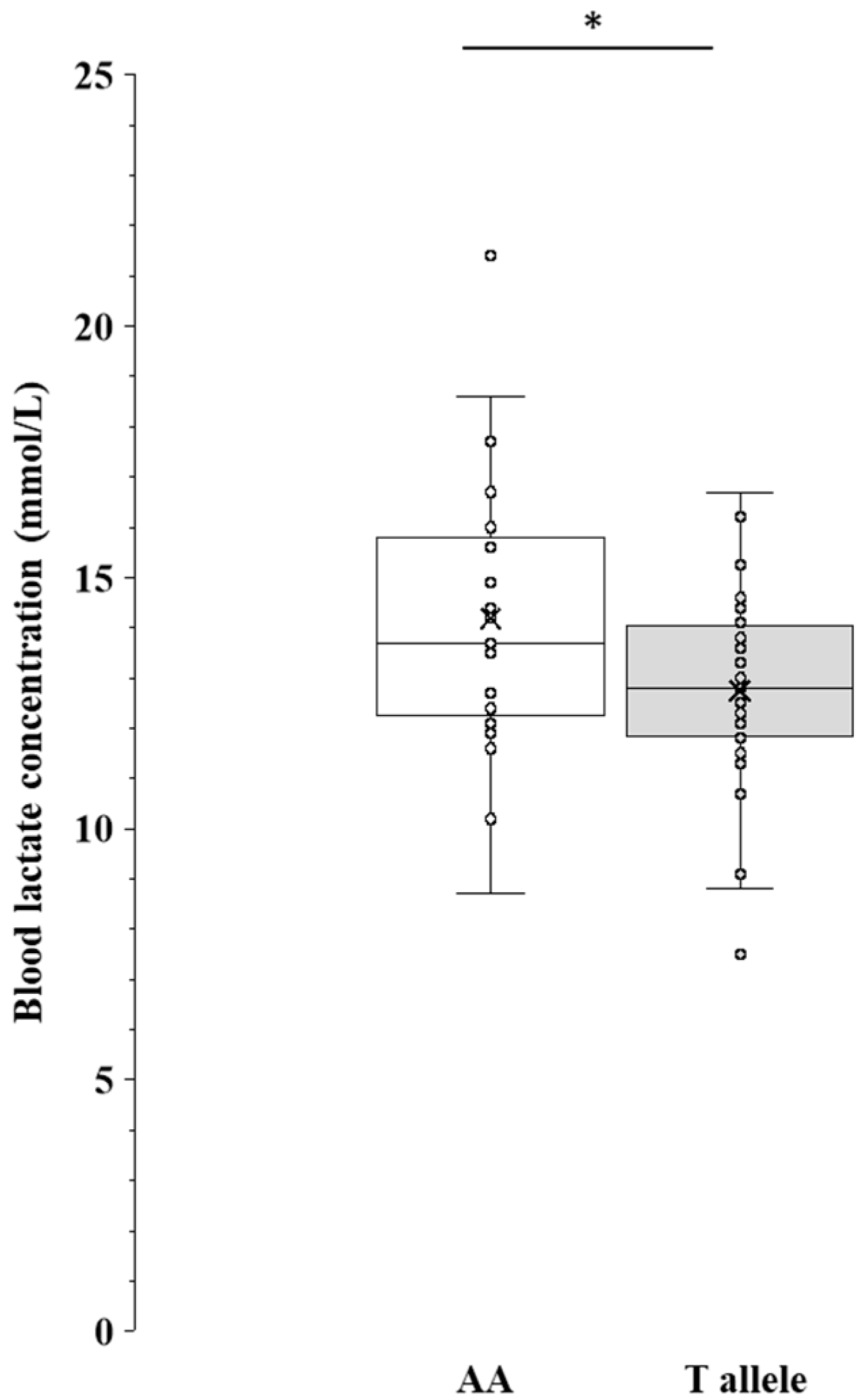
3.6. Comparison of Maximal Blood Lactate Concentration Between the AA Genotype and T Allele
A comparison of the BLamax after GXT is shown in Figure 2. The BLamax was significantly higher in the AA genotype carriers than in the T-allele carriers (p = 0.038, 95% CI: 0.08–2.77, d = 0.585; see Supplementary Table S1).
Figure 2.
Comparison of the maximal blood lactate concentration after GXT between MCT1 AA genotype and T allele in long-distance runners. BLamax was analyzed using independent t-test. Box whisker plots (line: median; cross: mean; box: data from first to third quartile; whisker: ±1.5 × interquartile range) with individual plots (circle). BLamax, the maximal blood lactate concentration; AA, AA genotype (blank box whisker plot); T allele, TT genotype + AT genotype (gray box whisker plot). *: p < 0.05.
4. Discussion
This study used a case–control design to examine the frequency of the T1470A polymorphism and compare physiological parameters in Japanese long-distance runners. The main findings of this study revealed that, as the competitive level increased, the frequency of the AA genotype also increased among Japanese long-distance runners. Additionally, in terms of physiological parameters, the AA genotype, which is considered to confer superior lactate metabolism ability, showed a significantly better association with physiological parameters than the T allele. These findings suggest that the AA genotype of the T1470A polymorphism is associated with a higher status and physical performance in Japanese long-distance runners.
The genotype frequency of the T1470A polymorphism in Japanese elite long-distance runners in this study deviated from the Hardy–Weinberg equilibrium (HWE). Several factors, including methodological considerations and conditions not aligning with the equilibrium of allele transmission, could contribute to this deviation [43]. However, the analysis methods employed in this study are established and validated [21,44], suggesting that methodological issues are unlikely to have influenced the results. Additionally, the MCT1 gene, involved in mitochondrial aerobic metabolism [45], may not follow strict Mendelian inheritance patterns [46], which could explain the deviation from HWE observed in this study. This deviation has also been observed in other studies focusing on elite athletes, indicating that such findings are not unique to this study [47,48].
To date, the only study investigating the frequency of the T1470A polymorphism in long-distance runners is the one by Ben-Zaken et al. [35]. In this study, 113 Israeli long-distance runners (37 of Ethiopian origin [33 men, 4 women], 76 of non-Ethiopian origin [59 men, 17 women]) and 55 controls were analyzed for differences in the genotype and genetic models of the T1470A polymorphism. The results showed that among Ethiopian-origin long-distance runners, the AA, AT, and TT genotype frequencies were 65%, 35%, and 0%, respectively; for non-Ethiopian-origin runners, they were 45%, 42%, and 13%; and for the control group, they were 42%, 49%, and 9%, respectively. The Ethiopian-origin athletes, who were at a higher competitive level, exhibited a significantly higher frequency of the AA genotype than both the non-Ethiopian-origin athletes and the control group. Furthermore, the frequency of the AA genotype + the AT genotype (A allele) in Ethiopian-origin athletes was 82%, which was higher than the 66% observed in the non-Ethiopian-origin and control groups. Guilherme et al. [23] investigated the frequency of the T1470A polymorphism in a study involving 1208 Brazilians (319 endurance athletes [238 males, 81 females] and 890 general population [506 males, 384 females]) and 867 Europeans (382 Russians [208 endurance athletes, 174 general population] and 485 Hungarians [107 endurance athletes, 378 general population]). The study reported that in Brazilian white endurance athletes, international-level athletes showed a lower frequency of the TT genotype than domestic-level and regional-level athletes (TT genotype: international 14.5% vs. domestic 19.4% vs. regional 22%). Conversely, the frequency of the A allele was higher in international-level athletes than in domestic- and regional-level athletes (A allele: international 63% vs. domestic 59% vs. regional 57%). Furthermore, the study found that in Europeans, the frequency of the A allele was higher in endurance athletes than in the general population [23]. Our study showed that, in the overall group of Japanese long-distance runners, the frequency of the A allele was higher, and the frequency of the TT genotype was lower than those in the control group. Furthermore, as the competitive level increased, the frequency of the AA genotype was found to be higher. These findings are consistent with the results of previous studies. Taken together, the characteristic feature of the T1470A polymorphism in Japanese long-distance runners suggests that, overall, the frequency of the A allele tends to be higher, and as the competitive level increases, the expression of the AA genotype becomes more pronounced.
In this study, we first examined the relationship between Japanese long-distance runners and the T1470A polymorphism. The results revealed that as the competitive level increased, the frequency of the AA genotype increased, indicating that the AA genotype plays a crucial role in reaching a highly competitive level. Therefore, our study also simultaneously investigated the differences in physiological parameters between the AA genotype and T allele in Japanese long-distance runners. Although there are few previous studies on this topic, several studies have examined the physiological responses to different polymorphisms, including in the general population and among various endurance athletes. Gasser et al. [45] conducted a study on 22 healthy general British individuals using a cycle ergometer to examine VO2max. The results showed a tendency of the AA genotype carriers to have higher values (54.4 ± 3.0 mL/kg/min) than the T-allele carriers (51.3 ± 1.8 mL/kg/min), but no significant difference was found between the two genotypes [45]. Similarly, Pasqualetti et al. [49] investigated the differences in physical performance by T1470A genotypes in 27 elite rugby players. They found no significant difference between the AA genotype (49.1 ± 3.5 mL/kg/min) and the T allele (48.4 ± 4.6 mL/kg/min) [49]. On the other hand, Guilherme et al. examined the differences in VO2max by genotypes in 46 Russian endurance athletes and reported that the AA genotype carriers showed significantly higher values than the TT genotype carriers [23]. Therefore, the results obtained in this study support the findings of Guilherme et al. [23]. We examined physiological parameters related to aerobic capacity, including VO2max, which is a representative parameter of aerobic ability, as well as VO2-LT and VO2-OBLA, which have not been reported in previous studies. The results showed that these parameters of aerobic capacity in the AA genotype carriers were significantly higher than those in the T-allele carriers. Gasser et al. [45] investigated the muscle fiber composition characteristics associated with the T1470A genotype in the general population. They found that the AA genotype carriers had a higher percentage of type I fibers than the T-allele carriers (AA: 47.8 ± 4.1% vs. T allele: 38.2 ± 1.9%), and the proportion of muscle fibers occupied by type I fibers was also greater for the AA genotype (AA: 44.2 ± 3.1% vs. T allele: 32.2 ± 2.6%). This is the only study that has approached the biochemical aspects of the T1470A polymorphism in this context. Based on these findings, it is possible that the results are influenced by the muscle fiber composition characteristics associated with the T1470A polymorphism. It has been shown that long-distance runners have a higher percentage of type I muscle fibers than the general population and explosive/power athletes [50,51], and these muscle fibers are related to VO2max and VO2-LT [52,53]. Additionally, increases in VO2-LT and VO2-OBLA are associated with a reduction in lactate production or an increase in lactate clearance, or a combination of both, during physical activity [54,55]. The lack of significant differences in VO2max between T1470A genotypes in previous studies may be due to factors such as the lack of a clear classification of athletes’ sports disciplines, which could have led to either overestimation or underestimation. Based on our study, although we did not assess muscle fiber proportions, the AA genotype in long-distance runners may potentially be associated with a higher aerobic capacity than the T allele. Therefore, it is inferred that athletes with the AA genotype may demonstrate superior oxygen utilization, oxygen delivery, and lactate metabolism in both the whole body and skeletal muscles.
The BLamax was higher in the AA genotype carriers than in the T-allele carriers, which is inconsistent with previous studies. Fedotovskaya et al. [24] examined post-exercise blood lactate concentrations immediately after a graded rowing test in 79 rowers and found that the AA genotype was associated with lower levels of lactate concentration than the T allele. Similarly, Guilherme et al. [23] reported that endurance athletes with the AA genotype, including rowers, canoeists, and triathletes, had lower post-exercise BLamax than those with the TT genotype. Additionally, Kikuchi et al. [21] examined blood lactate levels during a 10 s sprint interval test in elite Japanese wrestlers and found that at the fifth sprint and immediately after the test, the AA genotype carriers exhibited lower blood lactate concentrations than the T-allele carriers. Massidda et al. [26] investigated the performance and blood lactate concentrations during a repeated sprint test (30 m × 6 sprints) in soccer players with different T1470A genotypes. They found that those with the AA genotype and A allele exhibited significantly lower average times to complete the fifth sprint and showed superior performance on the sixth sprint compared to those with the TT genotype. Moreover, while the differences in blood lactate concentrations during the sprints were unclear, the study reported that post-exercise blood lactate concentrations immediately after the test and 3 min afterward were lower in individuals with the A allele than in those with the TT genotype. Hui et al. [56] suggested that lactate is a primary metabolic substrate for energy production in the aerobic energy supply pathway, specifically within the TCA cycle. They reported that during moderate- to high-intensity exercise, the metabolic turnover of glucose in all organs and cells increases approximately 2.3 times compared to values observed during rest, while the metabolic turnover of lactate increases by about 4.5 times [56]. According to these studies, it is hypothesized that subjects with the AA genotype, which is associated with a higher proportion of slow-twitch muscle fibers, likely exhibit superior oxygen utilization and oxygen transport capacity in muscle tissue during physical activity. As a result, lactate is efficiently metabolized as an energy substrate within the muscles and bloodstream, contributing to sustained high performance during prolonged exercise. Gasser et al. [45] reported that the AA genotype is associated with efficient aerobic energy supply using glucose or glycogen. This suggests that the AA genotype is well suited for rapid energy production through carbohydrate metabolism, and it is also associated with a high metabolic capacity to handle the increased lactate production that accompanies this energy supply. This high metabolic capability is thought to contribute to the ability to sustain high performance over extended periods. Furthermore, Higuchi et al. [27] found that the glutamate (A) substitution in the T1470A polymorphism leads to a conformational change in MCT1, which is involved in the functional activation of the MCT1 protein [27]. According to Thomas et al. [57], the protein content of MCT1 and MCT4, both of which are involved in the influx and efflux of lactate in tissues, increases with training. However, MCT1 content is about twice as high as that of MCT4 in terms of the ratio within tissues, indicating that MCT1 is particularly sensitive to training effects. Moreover, Bonen et al., based on the findings of McCullagh et al. and unpublished data from Bonen, reported that an increase in MCT1 protein content alone is associated with enhanced lactate influx and efflux [13,58,59]. Therefore, long-distance runners with the AA genotype, who have higher levels of the MCT1 protein and enhanced functional activity than the general population, may not only have a greater ability to uptake lactate into tissues but also a higher capacity to export lactate from tissues to the bloodstream than individuals with the T allele. Hence, it is possible that the higher blood lactate concentrations observed after maximal exercise in this study are due to the superior lactate transport ability of athletes with the AA genotype.
Our study has some limitations that warrant further consideration. First, the physiological parameters were measured only in runners who voluntarily agreed to participate in the study. As a result, the selection of participants may have introduced a potential bias. Second, the physiological parameters observed among the genetic polymorphisms in this study do not necessarily reflect the outcomes of the entire population in the case–control design. In future studies, comprehensive data collection on both athletic status and physiological capacity, wherever possible, is necessary. Moreover, further research should investigate the relationship between physical performance and physiological parameters in combination with the 251 sport-related genetic polymorphisms, which have already been associated with athlete status and physical performance. By examining these genetic polymorphisms, it will be possible to identify the specific genetic factors required for each sport, shedding light on the genetic determinants of athletic performance.
These findings suggested that the AA genotype of the T1470A polymorphism is associated with higher athletic status and physical capabilities in Japanese long-distance runners.
5. Conclusions
This study investigated the frequency of the MCT1 T1470A polymorphism and compared physiological parameters among Japanese long-distance runners, including former and current national record holders, Olympians, and World Championship participants with a 10,000 m PBR of 27–30 min, as well as general Japanese individuals. The findings revealed that, overall, the A allele was more prevalent, and the TT genotype was less common, among Japanese long-distance runners. Additionally, as the competitive level increased, the frequency of the AA genotype was the highest. Furthermore, physiological parameters, such as VO2max, VO2-LT, and VO2-OBLA, as well as post-exercise BLamax, were significantly higher for the AA genotype than for the T allele.
Based on these results, it is suggested that the AA genotype of the MCT1 T1470A polymorphism is an effective genotype associated with athletic status and aerobic capacity in Japanese long-distance runners.
Supplementary Materials
The following supporting information can be downloaded at: https://www.mdpi.com/article/10.3390/genes15121627/s1, Table S1: Comparison of physiological parameters between AA genotype and T allele in Japanese long-distance runners; Table S2: Comparison of physiological parameters between AA genotype and T allele in Japanese long-distance runners.
Author Contributions
S.S., T.K. and I.H. designed the study; S.S., T.K., K.B., M.N., K.H., N.K., T.O., K.N. and I.H. collected the samples; S.S. and T.K. conducted the experiment; S.S. and T.K. performed the statistical analyses; S.S. drafted the manuscript; T.K. and I.H. critically reviewed the manuscript. All authors have read and agreed to the published version of the manuscript.
Funding
This research received no external funding.
Institutional Review Board Statement
The study was conducted according to the guidelines of the Declaration of Helsinki and approved by the Ethics Committee of the Federal Research and Clinical Center of Physical-Chemical Medicine and by the ethics committee of the Nippon Sport Science University (Approval Number: 023-H120; 2023).
Informed Consent Statement
Informed consent was obtained from all participants involved in the study.
Data Availability Statement
The data presented in this study are available from the corresponding author due to their sensitive nature. As the dataset contains privacy-sensitive details, we are unable to make it publicly accessible in an open-access format.
Conflicts of Interest
Kenji Beppu and Manabu Nojo employed by the company LOGISTEED Track & Field Club House. The remaining authors declare that the research was conducted in the absence of any commercial or financial relationship that could be construed as a potential conflict of interest.
References
- Felmlee, M.A.; Jones, R.S.; Rodriguez-Cruz, V.; Follman, K.E.; Morris, M.E. Monocarboxylate transporters (SLC16): Function, regulation, and role in health and disease. Pharmacol. Rev. 2020, 72, 466–485. [Google Scholar] [CrossRef] [PubMed]
- Eydoux, N.; Py, G.; Lambert, K.; Dubouchaud, H.; Préfaut, C.; Mercier, J. Training does not protect against exhaustive exercise-induced lactate transport capacity alterations. Am. J. Physiol. Endocrinol. Metab. 2000, 278, E1045–E1052. [Google Scholar] [CrossRef] [PubMed]
- Juel, C. Current aspects of lactate exchange: Lactate/H+ transport in human skeletal muscle. Eur. J. Appl. Physiol. 2001, 86, 12–16. [Google Scholar] [CrossRef]
- Gladden, L.B. Lactate transport and exchange during exercise. In Handbook of Physiology; Rowell, L.B., Shepherd, J.T., Eds.; Oxford University Press: Oxford, UK, 1996; Volume 12, pp. 614–648. [Google Scholar]
- Bonen, A.; McCullagh, K.J.A.; Putman, C.T.; Hultman, E.; Jones, N.L.; Heigenhauser, G.J.F. Short-term training increases human muscle MCT1 and femoral venous lactate in relation to muscle lactate. Am. J. Physiol. 1998, 274, E102–E107. [Google Scholar] [CrossRef]
- Halestrap, A.P. The monocarboxylate transporter family-Structure and functional characterization. IUBMB Life 2012, 64, 1–9. [Google Scholar] [CrossRef]
- Dubouchaud, H.; Butterfield, G.E.; Wolfel, E.E.; Bergman, B.C.; Brooks, G.A. Endurance training, expression, and physiology of LDH, MCT1, and MCT4 in human skeletal muscle. Am. J. Physiol. Endocrinol. Metab. 2000, 278, E571–E579. [Google Scholar] [CrossRef]
- Fishbein, W.N.; Merezhinskaya, N.; Foellmer, J.W. Relative distribution of three major lactate transporters in frozen human tissues and their localization in unfixed skeletal muscle. Muscle Nerve 2002, 26, 101–112. [Google Scholar] [CrossRef]
- Brooks, G.A. The science and translation of lactate shuttle theory. Cell Metab. 2018, 27, 757–785. [Google Scholar] [CrossRef]
- McCullagh, K.J.; Poole, R.C.; Halestrap, A.P.; O’Brien, M.; Bonen, A. Role of the lactate transporter (MCT1) in skeletal muscles. Am. J. Physiol. 1996, 271, E143–E150. [Google Scholar] [CrossRef]
- Wilson, M.C.; Jackson, V.N.; Heddle, C.; Price, N.T.; Pilegaard, H.; Juel, C.; Bonen, A.; Montgomery, I.; Hutter, O.F.; Halestrap, A.P. Lactic acid efflux from white skeletal muscle is catalyzed by the monocarboxylate transporter isoform MCT3. J. Biol. Chem. 1998, 273, 15920–15926. [Google Scholar] [CrossRef]
- Thomas, C.; Bishop, D.; Moore-Morris, T.; Mercier, J. Effects of high-intensity training on MCT1, MCT4, and NBC expressions in rat skeletal muscles: Influence of chronic metabolic alkalosis. Am. J. Physiol. Endocrinol. Metab. 2007, 293, E916–E922. [Google Scholar] [CrossRef] [PubMed]
- Bonen, A. The expression of lactate transporters (MCT1 and MCT4) in heart and muscle. Eur. J. Appl. Physiol. 2001, 86, 6–11. [Google Scholar] [CrossRef] [PubMed]
- Perry, C.G.R.; Heigenhauser, G.J.F.; Bonen, A.; Spriet, L.L. High-intensity aerobic interval training increases fat and carbohydrate metabolic capacities in human skeletal muscle. Appl. Physiol. Nutr. Metab. 2008, 33, 1112–1123. [Google Scholar] [CrossRef] [PubMed]
- Burgomaster, K.A.; Cermak, N.M.; Phillips, S.M.; Benton, C.R.; Bonen, A.; Gibala, M.J. Divergent response of metabolite transport proteins in human skeletal muscle after sprint interval training and detraining. Am. J. Physiol. Regul. Integr. Comp. Physiol. 2007, 292, R1970–R1976. [Google Scholar] [CrossRef]
- Thomas, C.; Perrey, S.; Lambert, K.; Hugon, G.; Mornet, D.; Mercier, J. Monocarboxylate transporters, blood lactate removal after supramaximal exercise, and fatigue indexes in humans. J. Appl. Physiol. (1985) 2005, 98, 804–809. [Google Scholar] [CrossRef]
- Merezhinskaya, N.; Fishbein, W.N.; Davis, J.I.; Foellmer, J.W. Mutations in MCT1 cDNA in patients with symptomatic deficiency in lactate transport. Muscle Nerve 2000, 23, 90–97. [Google Scholar] [CrossRef]
- Sasaki, S.; Futagi, Y.; Kobayashi, M.; Ogura, J.; Iseki, K. Functional characterization of 5-oxoproline transport via SLC16A1/MCT1. J. Biol. Chem. 2015, 290, 2303–2311. [Google Scholar] [CrossRef]
- Sawczuk, M.; Banting, L.K.; Cięszczyk, P.; Maciejewska-Karłowska, A.; Zarębska, A.; Leońska-Duniec, A.; Jastrzębski, Z.; Bishop, D.J.; Eynon, N. MCT1 A1470T: A novel polymorphism for sprint performance? J. Sci. Med. Sport 2015, 18, 114–118. [Google Scholar] [CrossRef]
- Homma, H.; Saito, M.; Mochizuki, Y.; Shinogi, M.; Kobatake, N.; Okamoto, T.; Nishiyama, T.; Nakazato, K.; Kikuchi, N. Association between MCT1 T1470A polymorphism and athlete status in Japanese power-oriented athletes. Gazz. Med. Ital.-Arch. Sci. Med. 2023, 182, 43–48. [Google Scholar] [CrossRef]
- Kikuchi, N.; Fuku, N.; Matsumoto, R.; Matsumoto, S.; Murakami, H.; Miyachi, M.; Nakazato, K. The association between MCT1 T1470A polymorphism and power-oriented athletic performance. Int. J. Sports Med. 2017, 38, 76–80. [Google Scholar] [CrossRef]
- Ramírez de la Piscina-Viúdez, X.; Álvarez-Herms, J.; Bonilla, D.A.; Castañeda-Babarro, A.; Larruskain, J.; Díaz-Ramírez, J.; Ahmetov, I.I.; Martínez-Ascensión, A.; Kreider, R.B.; Odriozola-Martínez, A. Putative role of MCT1 rs1049434 polymorphism in high-intensity endurance performance: Concept and basis to understand possible individualization stimulus. Sports 2021, 9, 143. [Google Scholar] [CrossRef] [PubMed]
- Guilherme, J.P.L.F.; Bosnyák, E.; Semenova, E.A.; Szmodis, M.; Griff, A.; Móra, Á.; Almási, G.; Trájer, E.; Udvardy, A.; Kostryukova, E.S.; et al. The MCT1 gene Glu490Asp polymorphism (rs1049434) is associated with endurance athlete status, lower blood lactate accumulation and higher maximum oxygen uptake. Biol. Sport 2021, 38, 465–474. [Google Scholar] [CrossRef] [PubMed]
- Fedotovskaya, O.N.; Mustafina, L.J.; Popov, D.V.; Vinogradova, O.L.; Ahmetov, I.I. A common polymorphism of the MCT1 gene and athletic performance. Int. J. Sports Physiol. Perform. 2014, 9, 173–180. [Google Scholar] [CrossRef] [PubMed]
- Cupeiro, R.; Benito, P.J.; Maffulli, N.; Calderón, F.J.; González-Lamuño, D. MCT1 genetic polymorphism influence in high intensity circuit training: A pilot study. J. Sci. Med. Sport 2010, 13, 526–530. [Google Scholar] [CrossRef]
- Massidda, M.; Flore, L.; Kikuchi, N.; Scorcu, M.; Piras, F.; Cugia, P.; Cięszczyk, P.; Tocco, F.; Calò, C.M. Influence of the MCT1-T1470A polymorphism (rs1049434) on repeated sprint ability and blood lactate accumulation in elite football players: A pilot study. Eur. J. Appl. Physiol. 2021, 121, 3399–3408. [Google Scholar] [CrossRef]
- Higuchi, I.; Kimura, Y.; Kobayashi, M.; Narumi, K.; Furugen, A.; Miyoshi, H.; Nakamura, A.; Yamada, T.; Atsumi, T.; Iseki, K. Relationships between plasma lactate, plasma alanine, genetic variations in lactate transporters and type 2 diabetes in the Japanese population. Drug Metab. Pharmacokinet. 2020, 35, 131–138. [Google Scholar] [CrossRef]
- Paavolainen, L.; Häkkinen, K.; Hämäläinen, I.; Nummela, A.; Rusko, H. Explosive-strength training improves 5-km running time by improving running economy and muscle power. J. Appl. Physiol. (1985) 1999, 86, 1527–1533. [Google Scholar] [CrossRef]
- Sousa, C.V.; Sales, M.M.; Nikolaidis, P.T.; Rosemann, T.; Knechtle, B. How much further for the sub-2-hour marathon? Open Access J. Sports Med. 2018, 9, 139–145. [Google Scholar] [CrossRef]
- Urhausen, A.; Coen, B.; Weiler, B.; Kindermann, W. Individual anaerobic threshold and maximum lactate steady state. Int. J. Sports Med. 1993, 14, 134–139. [Google Scholar] [CrossRef]
- Grant, S.; Craig, I.; Wilson, J.; Aitchison, T. The relationship between 3 km running performance and selected physiological variables. J. Sports Sci. 1997, 15, 403–410. [Google Scholar] [CrossRef]
- Midgley, A.W.; McNaughton, L.R.; Jones, A.M. Training to Enhance the Physiological Determinants of Long-Distance Running Performance: Can Valid Recommendations Be given to Runners and Coaches Based on Current Scientific Knowledge? Sports Med. 2007, 37, 857–880. [Google Scholar] [CrossRef] [PubMed]
- Jones, A.M.; Doust, J.H. The validity of the lactate minimum test for determination of the maximal lactate steady state. Med. Sci. Sports Exerc. 1998, 30, 1304–1313. [Google Scholar] [CrossRef] [PubMed]
- Llodio, I.; Gorostiaga, E.M.; Garcia-Tabar, I.; Granados, C.; Sánchez-Medina, L. Estimation of the maximal lactate steady state in endurance runners. Int. J. Sports Med. 2016, 37, 539–546. [Google Scholar] [CrossRef]
- Ben-Zaken, S.; Meckel, Y.; Nemet, D.; Kassem, E.; Eliakim, A. Genetic basis for the dominance of Israeli long-distance runners of Ethiopian origin. J. Strength Cond. Res. 2021, 35, 1885–1896. [Google Scholar] [CrossRef]
- World Athletics. Asian Records-10,000 Meters. Available online: https://worldathletics.org/records/all-time-toplists/middlelong/10000-metres/all/men/senior?regionType=area®ion=asia&page=2&bestResultsOnly=true&firstDay=1900-01-01&lastDay=2024-11-17&maxResultsByCountry=all&eventId=10229610&ageCategory=senior (accessed on 8 November 2024).
- World Athletics. 10,000 Meters Asian Season Record in 2024. Available online: https://worldathletics.org/records/toplists/middlelong/10000-metres/all/men/senior/2024?regionType=area®ion=asia&page=1&bestResultsOnly=true&maxResultsByCountry=all&eventId=10229610&ageCategory=senior (accessed on 8 November 2024).
- Tanaka, H.; Monahan, K.D.; Seals, D.R. Age-predicted maximal heart rate revisited. J. Am. Coll. Cardiol. 2001, 37, 153–156. [Google Scholar] [CrossRef]
- Duncan, G.E.; Howley, E.T.; Johnson, B.N. Applicability of VO2max Criteria: Discontinuous versus Continuous Protocols. Med. Sci. Sports Exerc. 1997, 29, 273–278. [Google Scholar] [CrossRef]
- Beaver, W.L.; Wasserman, K.; Whipp, B.J. Improved detection of lactate threshold during exercise using a log-log transformation. J. Appl. Physiol. (1985) 1985, 59, 1936–1940. [Google Scholar] [CrossRef]
- Hopkins, W.G.; Marshall, S.W.; Batterham, A.M.; Hanin, J. Progressive statistics for studies in sports medicine and exercise science. Med. Sci. Sports Exerc. 2009, 41, 3–13. [Google Scholar] [CrossRef]
- Cohen, J. Statistical Power Analysis for the Behavioral Science; Routledge Academic: New York, NY, USA, 1988. [Google Scholar]
- Chen, B.; Cole, J.W.; Grond-Ginsbach, C. Departure from Hardy Weinberg Equilibrium and Genotyping Error. Front. Genet. 2017, 8, 167. [Google Scholar] [CrossRef]
- Saito, M.; Ginszt, M.; Massidda, M.; Cie¸szczyk, P.; Okamoto, T.; Majcher, P.; Nakazato, K.; Kikuchi, N. Association between MCT1T1470A Polymorphism and Climbing Status in Polish and Japanese Climbers. Biol. Sport 2021, 38, 229–234. [Google Scholar] [CrossRef]
- Gasser, B.; Dössegger, A.; Giraud, M.N.; Flück, M. T-allele carriers of mono carboxylate transporter one gene polymorphism rs1049434 demonstrate altered substrate metabolization during exhaustive exercise. Genes 2024, 15, 918. [Google Scholar] [CrossRef] [PubMed]
- Burr, S.P.C.; Patrick, F. Heredity and segregation of mtDNA. In The Human Mitochondrial Genome—From Basic Biology to Disease; Elsevier Inc.: Amsterdam, The Netherlands, 2020; pp. 87–107. [Google Scholar]
- Eynon, N.; Ruiz, J.R.; Femia, P.; Pushkarev, V.P.; Cieszczyk, P.; Maciejewska-Karlowska, A.; Sawczuk, M.; Dyatlov, D.A.; Lekontsev, E.V.; Kulikov, L.M.; et al. The actn3 r577x polymorphism across three groups of elite male european athletes. PLoS ONE 2012, 7, e43132. [Google Scholar] [CrossRef] [PubMed]
- Homma, H.; Kobatake, N.; Sekimoto, Y.; Saito, M.; Mochizuki, Y.; Okamoto, T.; Nakazato, K.; Nishiyama, T.; Kikuchi, N. Ciliary Neurotrophic Factor Receptor rs41274853 Polymorphism Is Associated with Weightlifting Performance in Japanese Weightlifters. J. Strength Cond. Res. 2020, 34, 3037–3041. [Google Scholar] [CrossRef] [PubMed]
- Pasqualetti, M.; Onori, M.E.; Canu, G.; Moretti, G.; Minucci, A.; Baroni, S.; Mordente, A.; Urbani, A.; Galvani, C. The relationship between ACE, ACTN3 and MCT1 genetic polymorphisms and athletic performance in elite rugby union players: A preliminary study. Genes 2022, 13, 969. [Google Scholar] [CrossRef]
- Prince, F.P.; Hikida, R.S.; Hagerman, F.C. Human muscle fiber types in powerlifters, distance runners and untrained subjects. Pflugers Arch. 1976, 363, 19–26. [Google Scholar] [CrossRef]
- Fridén, J.; Sjöström, M.; Ekblom, B. Muscle fibre type characteristics in endurance trained and untrained individuals. Eur. J. Appl. Physiol. Occup. Physiol. 1984, 52, 266–271. [Google Scholar] [CrossRef]
- Bergh, U.; Thorstensson, A.; Sjödin, B.; Hulten, B.; Piehl, K.; Karlsson, J. Maximal oxygen uptake and muscle fiber types in trained and untrained humans. Med. Sci. Sports 1978, 10, 151–154. [Google Scholar]
- Ivy, J.L.; Withers, R.T.; Van Handel, P.J.; Elger, D.H.; Costill, D.L. Muscle respiratory capacity and fiber type as determinants of the lactate threshold. J. Appl. Physiol. Respir. Environ. Exerc. Physiol. 1980, 48, 523–527. [Google Scholar] [CrossRef]
- Sjödin, B.; Jacobs, I.; Svedenhag, J. Changes in onset of blood lactate accumulation (OBLA) and muscle enzymes after training at OBLA. Eur. J. Appl. Physiol. Occup. Physiol. 1982, 49, 45–57. [Google Scholar] [CrossRef]
- Favier, R.J.; Constable, S.H.; Chen, M.; Holloszy, J.O. Endurance exercise training reduces lactate production. J. Appl. Physiol. (1985) 1986, 61, 885–889. [Google Scholar] [CrossRef]
- Hui, S.; Ghergurovich, J.M.; Morscher, R.J.; Jang, C.; Teng, X.; Lu, W.; Esparza, L.A.; Reya, T.; Le, Z.; Guo, Y.J.; et al. Glucose feeds the TCA cycle via circulating lactate. Nature 2017, 551, 115–118. [Google Scholar] [CrossRef] [PubMed]
- Thomas, C.; Bishop, D.J.; Lambert, K.; Mercier, J.; Brooks, G.A. Effects of acute and chronic exercise on sarcolemmal MCT1 and MCT4 contents in human skeletal muscles: Current status. Am. J. Physiol. Regul. Integr. Comp. Physiol. 2012, 302, R1–R14. [Google Scholar] [CrossRef] [PubMed]
- McCullagh, K.J.; Juel, C.; O’Brien, M.; Bonen, A. Chronic muscle stimulation increases lactate transport in rat skeletal muscle. Mol. Cell. Biochem. 1996, 156, 51–57. [Google Scholar] [CrossRef] [PubMed]
- McCullagh, K.J.; Poole, R.C.; Halestrap, A.P.; Tipton, K.F.; O’Brien, M.; Bonen, A. Chronic electrical stimulation increases MCT1 and lactate uptake in red and white skeletal muscle. Am. J. Physiol. 1997, 273, E239–E246. [Google Scholar] [CrossRef]
Disclaimer/Publisher’s Note: The statements, opinions and data contained in all publications are solely those of the individual author(s) and contributor(s) and not of MDPI and/or the editor(s). MDPI and/or the editor(s) disclaim responsibility for any injury to people or property resulting from any ideas, methods, instructions or products referred to in the content. |
© 2024 by the authors. Licensee MDPI, Basel, Switzerland. This article is an open access article distributed under the terms and conditions of the Creative Commons Attribution (CC BY) license (https://creativecommons.org/licenses/by/4.0/).

