Next Article in Journal
Heterochiasmy and Sex Chromosome Evolution in Silene
Previous Article in Journal
Primary Ciliary Dyskinesia in a Portuguese Bronchiectasis Outpatient Clinic
Previous Article in Special Issue
An Overlooked Bone Metabolic Disorder: Cigarette Smoking-Induced Osteoporosis
 
 
Font Type:
Arial Georgia Verdana
Font Size:
Aa Aa Aa
Line Spacing:
Column Width:
Background:
Article

Role of the Vitamin D Receptor (VDR) in the Pathogenesis of Osteoporosis: A Genetic, Epigenetic and Molecular Pilot Study

by
Beatrice Gasperini
1,†,
Virginia Veronica Visconti
2,†,
Cinzia Ciccacci
3,
Angela Falvino
1,
Elena Gasbarra
2,
Riccardo Iundusi
2,
Maria Luisa Brandi
4,
Annalisa Botta
1,* and
Umberto Tarantino
2
1
Department of Biomedicine and Prevention, University of Rome “Tor Vergata”, 00133 Rome, Italy
2
Department of Clinical Sciences and Translational Medicine, University of Rome “Tor Vergata”, 00133 Rome, Italy
3
UniCamillus-Saint Camillus International University of Health Sciences, 00131 Rome, Italy
4
FIRMO Foundation, Via San Gallo 123, 50100 Florence, Italy
*
Author to whom correspondence should be addressed.
These authors contributed equally to this work.
Genes 2023, 14(3), 542; https://doi.org/10.3390/genes14030542
Submission received: 31 January 2023 / Revised: 17 February 2023 / Accepted: 19 February 2023 / Published: 21 February 2023
(This article belongs to the Special Issue Key Genetic Determinants of Osteoporosis: From Bench to Bedside)

Abstract

The vitamin D receptor (VDR) regulates bone development and calcium homeostasis, suggesting a central role in musculoskeletal diseases such as osteoporosis (OP). Several studies have examined the contribution of VDR polymorphisms and epigenetic signatures in bone metabolism and OP risk, with sometimes inconclusive results. Our study aimed to explore the association between genetic variability, expression and the methylation pattern of VDR with the risk of OP in a cohort of Caucasian patients. Genomic DNA from 139 OP, 54 osteopenic (Ope) and 73 healthy (CTR) subjects were used for genotyping the rs731236 (TaqI), rs2228570 (FokI) and rs11568820 (Cdx2) polymorphisms of the VDR gene by an allelic discrimination assay. Quantitative real-time polymerase chain reaction (qRT-PCR) analysis of VDR expression levels and pyrosequencing analysis of a VDR promoter CpG island were carried out in a subcohort (25 OP and 25 CTR) of subjects. Data obtained showed a significantly higher OP risk for rs11568820 G/A and A/A genotypes (p = 0.05). qRT-PCR revealed lower VDR gene expression levels in the OP group compared to CTR subjects (p = 0.0009), also associated with both the rs11568820 A/A genotype (p = 0.03) and femoral fragility fractures (p = 0.05). No association was found between the methylation pattern of the region analyzed of the VDR promoter and its expression levels. Our results identify a significative association between Cdx2 rs11568820 polymorphism and OP risk. In addition, the VDR transcriptomic profile suggests a putative interconnection with OP progression, providing a useful tool to stratify OP phenotype and fragility fracture risk.

1. Introduction

Osteoporosis (OP) is characterized by a reduction in bone mineral density (BMD) and qualitative changes in bone tissue, which predispose to an increased risk of fragility fractures [1]. Environmental, genetic and epigenetic factors appear to influence the variability of bone microarchitecture, a strong predictor of OP risk [2,3]. Alterations of bone and mineral metabolism appear to coexist in association with several pathological conditions. These bone impairments can be either a secondary complication of the pathological status, as in microvascular damage in systemic sclerosis patients, and/or a direct consequence of gene mutation, as in inherited endocrine tumors [4,5]. In this context, several factors involved in OP pathogenesis have been identified, but some of them have not yet been fully characterized, including the role of the vitamin D receptor (VDR) [6,7]. The VDR gene is located on chromosome 12 (12q12–q14) and consists of nine exons encoding for a protein consisting of 427 amino acids [8]. The VDR receptor belongs to the nuclear receptor family of ligand-activated transcription factors and induces genomic regulation of downstream targets involved in different biological functions, including calcium and phosphate homeostasis in bone metabolism [9,10]. The VDR mediates the actions of vitamin D establishing a heterodimer with the retinoid x receptor (RXR), which translocates into the nucleus and binds the vitamin D response element (VDRE) in the promoter regions of vitamin D target genes [11]. The expression and regulation of the VDR itself are influenced by multiple factors, including its promoter methylation [12]. Given the importance of the VDR in mediating the actions of vitamin D, its study represents an important goal in the understanding of musculoskeletal disorders pathogenesis, especially OP disease [13,14,15]. Several polymorphisms of the VDR gene which correlate with vitamin D levels have been explored due to their involvement in different phenotypes, including FokI (rs2228570; exon 2; C > T), TaqI (rs731236; exon 9; T > C) and Cdx2 (rs11568820; promoter; G > A) [16,17,18]. FokI polymorphism is associated with an increased risk of OP in Asian women [19] and the TT FokI genotype correlates with high VDR expression in patients with Turner syndrome, supporting the hypothesis that VDR gene variants could modulate its expression pattern [7,12,16]. In addition, individual homozygotes for the C allele of the TaqI polymorphism showed a higher OP risk in Saudi and Caucasian populations [8,20,21]. Conflicting findings have been reported for Cdx2 polymorphism, since it has been described as having a dual role in both protective and risk factors of OP pathogenesis. The Cdx2 A/A genotype has been associated with increased BMD in a Belarusian population of postmenopausal women [22], and the A allele appears to positively modulate BMD in postmenopausal Japanese women [23]. However, the presence of the minor A allele of the Cdx2 polymorphism was associated with a lower spine BMD, and the A/A genotype showed significantly lower expression of the VDR than the A/G and G/G genotypes [12,24]. This discrepancy could result from different ethnicity, environment, age, menopausal status and/or inadequate sample size of many studies [12,23,25]. In addition, epigenetic signatures, including DNA methylation, seem to modulate VDR gene expression and appear intensely involved in bone diseases [26,27]. In this context, higher vitamin D concentration was shown to be associated with higher VDR promoter methylation in rheumatoid arthritis (RA) patients [28]. Interestingly, recent data suggest a link between Cdx2 genotype-specific VDR expression and differential VDR methylation, regardless of ethnicity [12], supporting the complex interaction between genetics, epigenetics and environment in OP pathogenesis. Among environmental factors, cigarette smoking seems to play an important role, as it correlated with the downregulation of serum vitamin D levels and inhibited the translocation of the VDR into the nucleus [29,30]. Decreased serum vitamin D levels have been also associated with acute and chronic diseases, such as systemic sclerosis (SSc) [31]. All these data suggest a key involvement of the VDR in bone metabolism, highlighting the presence of significant gaps that need further investigation to clarify the role played by this modulator. Our study is based on the hypothesis that VDR polymorphisms might alter mRNA expression levels and impact the metabolism of vitamin D, thus influencing the risk of developing OP. We therefore genotyped three SNPs in the VDR gene (FokI, TaqI and Cdx2) in a cohort of Italian patients, comprising OP, osteopenic (Ope) and healthy (CTR) subjects. VDR expression and methylation analyses were also carried out in OP and CTR subjects, to identify possible correlations of the genetic, epigenetic and transcriptomic profile of the VDR gene with the clinical phenotypes of OP patients.

2. Materials and Methods

2.1. Recruitment of Patients

The study was approved by the Ethical Board of the Policlinico Tor Vergata (approval reference number #17/21) and the Azienda Ospedaliero Universitaria Careggi (10419_oss; 1 March 2017); informed consent was obtained from all the participants. A total of 266 patients were enrolled and, based on clinical data, were divided into three experimental groups: 139 OP patients undergoing surgery for fragility fractures following low-energy trauma, 73 CTR subjects who underwent surgery for high-energy fractures and 54 Ope patients. All experimental procedures were conducted according to the World Medical Association Code of Ethics (Declaration of Helsinki). Individuals affected by malignancies, endocrine disorders affecting bone and mineral metabolism, autoimmune diseases, and bone disorders other than primary osteoporosis were excluded from the study, as well as those who underwent long-term therapy with drugs interfering with bone metabolism, sex hormone replacement therapy and/or anti-fracture and/or osteoanabolic therapies.

2.2. Clinical and Biochemical Parameters

Individuals were subdivided into OP, Ope, and CTR groups by clinical and biochemical characterization of bone quality, quantity and metabolism. Scans of the lumbar spine (L1–L4) and femur (total and neck) were performed using Lunar DXA equipment (GE Healthcare, Madison, WI, USA), according to the manufacturer’s recommendations, as reported previously [32]. In addition, 25-(OH)-VitD, PTH and calcium levels were measured from the venous blood of each patient. 25-(OH)-VitD and PTH levels were determined by chemiluminescence immunoassay (CLIA), while calcium levels were measured photometrically, according to the manufacturer’s recommendations.

2.3. DNA Extraction and Genotyping

The study protocol involved taking blood after an overnight fast and collecting it in tubes with anticoagulant. DNA was extracted from each subject’s peripheral blood using the FlexiGene DNA kit (Qiagen, Hilden, Germany), following the manufacturer’s instructions. Genotyping of the Cdx2 (rs11568820), FokI (rs2228570) and TaqI (rs731236) polymorphisms of the VDR gene was performed using TaqMan probes (C__2880808_10, C__12060045_20, C___2404008_10) on Real-Time 7500 Fast PCR System (Applied Biosystems). A total of 20 ng of genomic DNA from each individual was amplified according to standard amplification protocol (95 °C for 10 min and 40 cycles of 92 °C for 15 s and 60 °C for 1 min). Genotyping detection analysis was performed using the Cloud Dashboard application (Thermo Fisher Scientific, Waltham, MA, USA). Ten percent of the genotypes at the rs11568820, rs2228570, and rs731236 loci were further confirmed by Sanger sequencing, using Applied Biosystems 3130xl Genetic Analyser (Thermo Fisher Scientific).

2.4. RNA Extraction and qRT-PCR Analysis

The total RNA from PBMCs preserved with TRIzol (Thermo Fisher Scientific, Waltham, Massachusetts, USA) was isolated. An amount of 200 µL of chloroform was added and centrifuged at 12,000× g for 15 min at 4 °C. Once the supernatant was removed, 500 µL of isopropanol was added and left on ice for 10 min. Additional centrifugation for 10 min at 12,000× g at 4 °C was performed. Once the pellet was isolated and washed in 75% ethanol, it was air-dried for 30 min. The purified RNA was dissolved in 30 μL of RNase-free water and subsequently was reverse transcribed into cDNA using High-Capacity Reverse Transcription kits (Thermo Fisher Scientific, Waltham, MA, USA). qPCR analysis was conducted using TaqMan probe (Hs01045843) (Thermo Fisher Scientific, Waltham, MA, USA) and TaqMan Universal Master Mix 2X following the manufacturer’s instructions. The relative difference in VDR gene expression between OP and CTR subjects was calculated using 2−ΔΔCt normalized to GAPDH levels as the internal control.

2.5. Methylation Analysis

Bisulfite treatment of the DNA samples was performed with the EZ DNA Methylation-Gold kit (Zymo Research), following the manufacturer’s instructions. An amount of 400 ng of DNA was used for bisulfite conversion with the following conditions: 98 °C for 10 min, 64 °C for 2 ½ h, followed by 4 °C for up to 20 h. The converted DNA was purified and eluted in 10 μL of elution buffer. A total of 10 ng of each converted DNA was amplified with the PyroMark PCR kit (Qiagen, Hilden, Germany). Pyrosequencing assay, including PCR and sequencer primers, included Hs_VDR_03_PM (Qiagen, Hilden, Germany). Amplification conditions were 95 °C for 15 min, followed by 45 cycles of 94 °C for 30 s, 56 °C for 30 s and 72 °C for 30 s, with a final extension of 10 min at 72 °C. All products were sequenced using PyroMark Gold Q24 reagents (Qiagen, Hilden, Germany) in combination with the PyroMark Q24 platform (Qiagen, Hilden, Germany) according to the manufacturer’s instructions. The pyrogram traces generated with distinct peaks were subsequently analyzed and the methylation levels at different CpGs were calculated by the PyroMark Q24 software, version 2.0.7 (Qiagen, Germany).

2.6. Statistical Analysis

The Hardy–Weinberg equilibrium was verified by Pearson’s χ2 for all SNPs. The association analysis was performed according to additive, recessive, dominant and allelic models. Differences in allelic and genotypic frequencies between cases (OP or Ope) and controls were evaluated by Pearson’s χ2 test. Odds ratios (ORs) with 95% CI were calculated. To evaluate the possible correlation between the SNPs and the occurrence of fractures, a further genotype/phenotype correlation analysis was conducted. The analysis of variance (ANOVA) test was used to compare gene expression data among the different subgroups (OP vs. CTR, males vs. females, OP with femoral fracture (OP_FF) vs. OP with fractures at any sites (OP_ASF)) and among the different genotypic classes. Subsequently, a Pearson bivariate correlation analysis was used to evaluate the relationship of the VDR expression levels with BMD and t-score at any sites. Two-tailed p values less than 0.05 were considered statistically significant. Statistical analyses were performed by the SPSS program ver. 26 (IBM Corp., Armonk, NY, USA).

3. Results

3.1. Clinical Characteristics of Enrolled Subjects

A total of 266 subjects were enrolled and stratified into three groups after clinical diagnosis: 139 OP (116 females and 23 males), 73 CTR (41 females and 32 males) and 54 Ope (45 females and 9 males). The detailed clinical characteristics of the study subjects are shown as the mean ± SD and summarized in Table 1. Unfortunately, the group of Ope patients came to our center with only the clinical diagnosis, lacking instrumental and biochemical parameters. The mean age was 65.1 ± 7.9 in OP patients and 60.6 ± 12.1 in CTR subjects. The mean body mass index (BMI) was significantly lower in the OP group than in the CTR (p < 0.0001). BMD and t-score values at any sites observed in the OP group were significantly lower than in the CTR (p < 0.0001). In addition, there was no statistically significant difference in circulating markers of bone metabolism between OP and CTR groups, except for PTH (Pg/mL) levels, which were lower in OP patients compared to the CTR (52.2 ± 28.2 vs. 65.1 ± 33.3, p = 0. 0.0130).

3.2. Genotype Analysis of VDR Gene Polymorphisms

We analyzed the genotypic frequency distribution of three VDR polymorphisms (rs731236, Taq1; rs2228570, Fok1; rs11568820, Cdx2) between OP, Ope and CTR subjects. All SNPs were in Hardy–Weinberg equilibrium in all groups. Genotyping data and case-control association analysis are summarized in Table 2 (only the p-value related to the dominant model has been reported). The analysis showed a higher risk of developing OP (OR = 1.81, 95% CI 0.99–3.31) in carriers of the homozygous variant (A/A) or heterozygous (G/A) genotypes of the rs11568820 (Cdx2) polymorphism, although with a borderline significance (p = 0.05). No significant differences were found in the genotype’s distribution of rs731236 (Taq1) and rs2228570 (Fok1) polymorphisms between OP and CTR subjects. Furthermore, no associations have been found with the additive, recessive and allelic models for all the polymorphisms analyzed (data not shown).

3.3. VDR Expression Level Is Significantly Downregulated in PBMCs from OP Patients

VDR expression levels in PMBCs were analyzed in a subcohort consisting of 25 OP and 25 CTR individuals. Our results showed that VDR expression levels related to GAPDH were significantly lower in OP patients than in controls (Figure 1; p = 0.0009). Next, to investigate a possible gender-dependent effect on the level of VDR expression, we performed our analysis on female subjects and male subjects separately. We further confirmed the statistically significant decrease in VDR expression levels either in OP female or male subjects, compared to CTR, respectively (Figure S1; p = 0.0461 vs. p = 0.0012).

3.4. Association of VDR rs11568820 Polymorphism and VDR Expression Levels in PBMCs from OP Patients

In order to determine whether VDR rs2228570, rs731236 and rs11568820 polymorphisms could represent modulating factors in OP risk, we explored the effects of these VDR variants on the VDR mRNA expression pattern. Interestingly, our analysis identified a relationship between the Cdx2 A/A genotype and VDR-altered expression levels in OP patients. OP patients with G/G and G/A genotypes showed higher VDR expression levels than those with A/A genotype (p = 0.03) (Figure 2). Therefore, the A/A genotype could be considered a risk factor associated with OP and fragility fractures, as a decrease in VDR expression levels correlates with a higher probability of developing the pathological phenotype in our pilot study cohort.

3.5. VDR Expression Levels Correlate with Bone Fragility Status

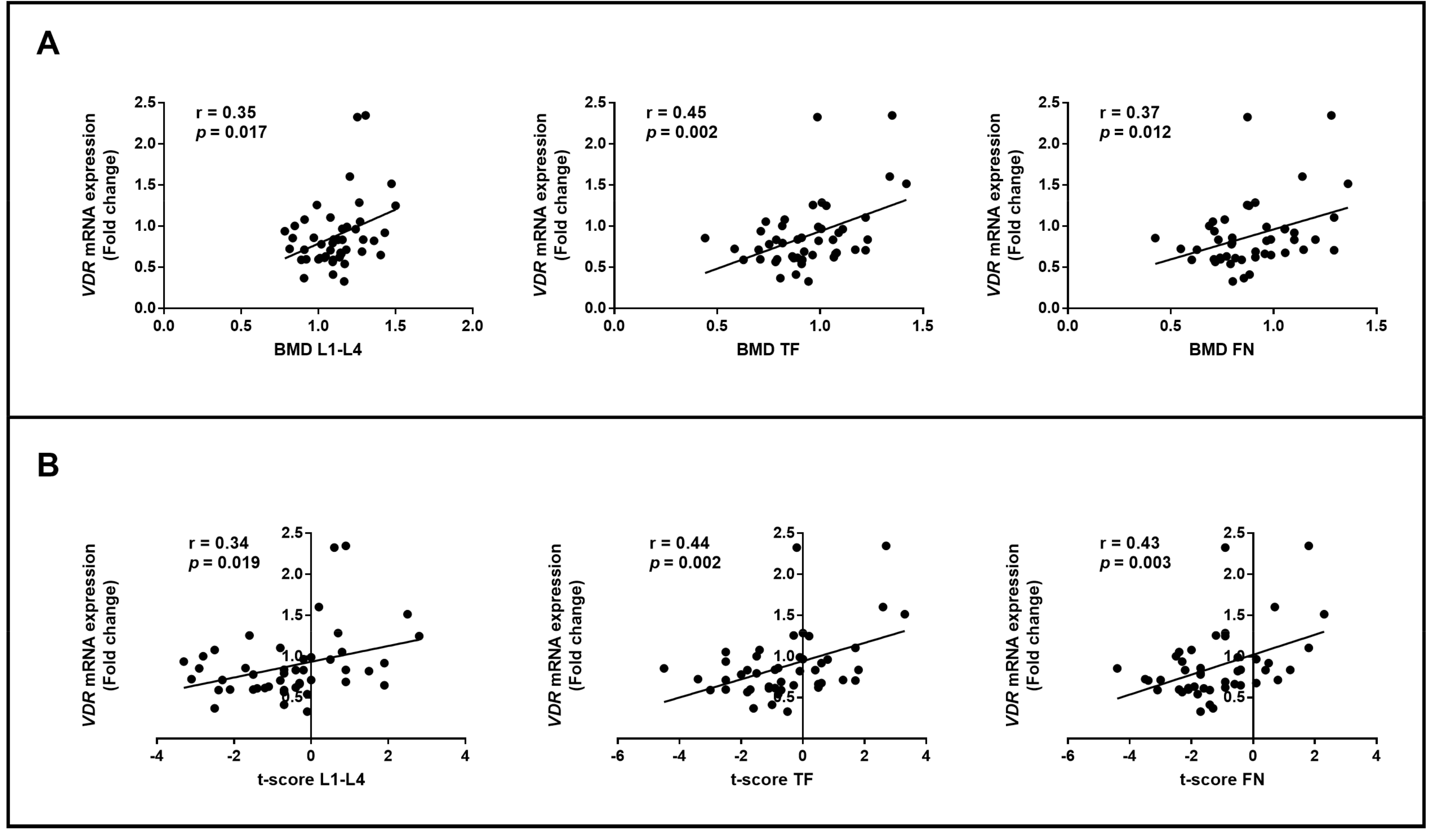
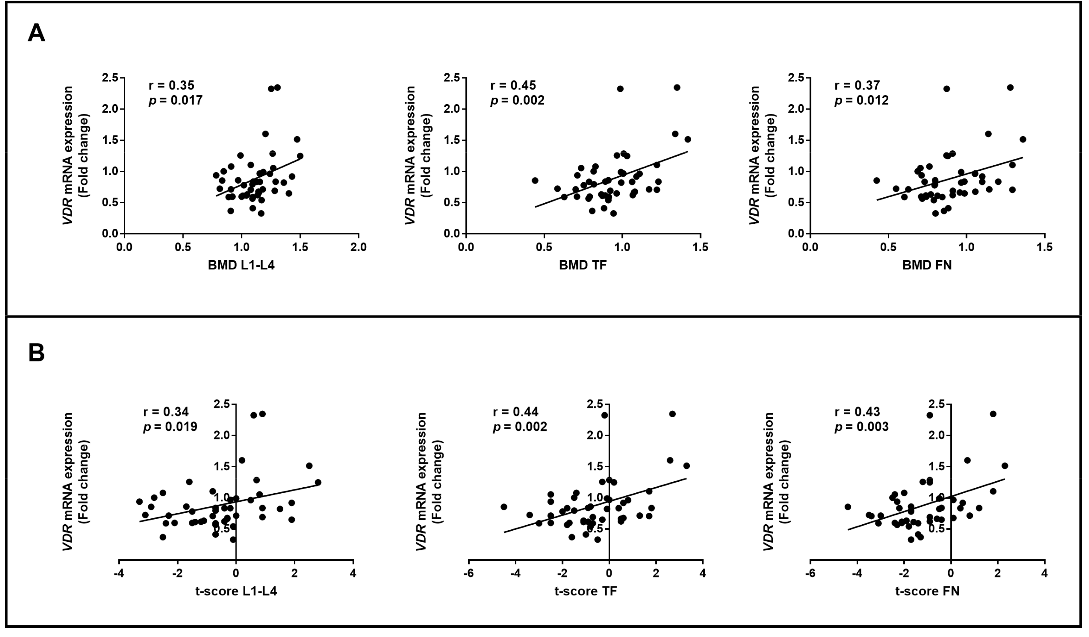
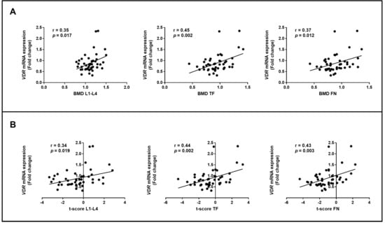
Differences between VDR mRNA expression levels and clinical instrumental characteristics of OP patients and healthy controls were assessed using Pearson correlation analysis. This analysis showed a significant positively correlation between VDR expression levels and both BMD and t-score values, at the lumbar spine, total femur and femoral neck, within all enrolled subjects (Figure 3).
Furthermore, to investigate a possible relationship between VDR expression level and fragility fracture site, OP patients were divided into two groups consisting of 15 patients with femoral fractures (OP_FF) and 10 patients with fractures at any sites (OP_ASF). Our analysis identified a significant difference in VDR expression levels between OP_FF and OP_ASF (p = 0.05) (Table 3). OP_FF patients reported lower mean VDR expression levels, which could be associated with a more severe pathological phenotype, in which the index fracture is that of the femur.

3.6. Methylation Levels of the CpG Island in the Promoter Region of the VDR Gene

In order to investigate the contribution of epigenetic signatures modulating VDR expression in OP pathogenesis, we analyzed the methylation status of a CpG located in the promoter region both in OP (n = 25) and CTR (n = 25) subjects. The methylation analysis was performed in a 104 bp region, comprising six CG sites located in chr12:48299391-48299495 (Figure 4).
Unfortunately, our pyrosequencing analysis showed no statistically significant difference in the methylation pattern of the VDR gene between OP and CTR groups, as we found an average global methylation level of 5.3–5.1% in PBMCs of both categories (Table 4, Figure S2). Overall, we identified a slight increase in methylation levels at the CpG 3 site (6.8–7.0%) and a slight decrease at the CpG 4 site (2.8–2.9%) in both OPs and CTRs, in respect to the average methylation pattern of the other analyzed sites.

4. Discussion

In this study, we investigated the role of three selected polymorphisms (TaqI, FokI and Cdx2) of the VDR gene in an Italian cohort of 139 OP, 54 Ope and 73 CTR subjects. Our analysis did not reveal any significant associations between FokI and TaqI polymorphisms and OP risk. These results are in agreement with a meta-analysis including 3349 postmenopausal OP women and 3202 healthy subjects that showed no significant associations between FokI polymorphism and OP risk in the Caucasian population compared to the Asian population [19]. Accordingly, another meta-analysis including 31 studies showed no significant association between TaqI, ApaI and FokI polymorphisms and OP risk in females [33]. Interestingly, we estimated a 1.8 times more significant OP risk in carriers of the homozygous (A/A) or heterozygous (G/A) genotype of the Cdx2 rs11568820 polymorphism. However, the role of this genetic variant in OP susceptibility is highly controversial. Cdx2 polymorphism consists of a G > A substitution located in the VDR exon 1 promoter region which has been shown to alter intestinal VDR gene transcriptional activity [34]. A functional study based on luciferase assay, showed that the A allele of the Cdx2 rs11568820 induces 15% increased transcriptional activity of the VDR gene [23]. In contrast to these findings, our data indicated a significant reduction in VDR expression levels in A/A genotype carriers, identifying the A allele as a risk factor for OP susceptibility, also in accordance with the genotypic analysis. In support of our results, a study performed on monocyte/macrophages from healthy Black and White individuals identified a significant association between the A/A genotype and low 25(OH) D3 levels, which are also associated with VDR reduced expression levels [12]. Moreover, the G/G genotype has been correlated with a better bone response to mechanical stress and OP risk [35]. These findings provide additional information regarding the contribution of the Cdx2 rs11568820 polymorphism in bone metabolism imbalances. Indeed, it is now certain that VDR expression is not only dependent on the individual’s vitamin D status but also on other factors, including genetic variability [36,37]. Our pilot study in a subcohort of 25 OP and 25 CTR subjects showed that VDR expression levels in PMBCs were significantly decreased in OP patients, despite the two categories showing no statistically significant differences in circulating 25-(OH)-Vit D levels. In this paper, we identified for the first time a strong interconnection between VDR expression level and instrumental parameters of bone quality. Interestingly, we found a significant positive correlation between VDR mRNA expression levels and both BMD and t-score values at the lumbar spine, total femur and femoral neck loci in all subjects. BMD assessment using the DXA technique represents the gold standard for OP diagnosis, according to the World Health Organization (WHO) [38]. Our results showed that when VDR expression levels are downregulated, BMD and t-score decreased proportionally, associating the altered VDR expression pattern with a gradual stratification of bone densitometry, from the healthy to severe OP phenotype. A strength of our analysis is undoubtedly the presence of patients with severe OP, defined by the coexistence of the disease together with fragility fractures, particularly at the femur site [39]. Confirming the negative role played by the VDR decrease in OP pathogenesis and fracture risk, our results showed lower mean VDR expression levels in patients with femur fractures (OP_FF), which is considered the index fracture of OP disease. Finally, we also correlated the methylation status of a CpG island located in the VDR promoter region with the VDR gene expression levels with no significant results. Several studies have highlighted the role of methylation in modulating VDR expression in different pathological contexts, mainly in autoimmune diseases, but none of these has concerned OP [39]. We focused our methylation analysis in a small region including six CG sites located in a VDR promoter CpG island (CGI 1062) already shown to functionally modulate VDR expression in a South African population [12]. In this study, methylation was quantified across 56 CpG sites, whereas our pyrosequencing analysis relied on a predesigned assay including only 6 CpG sites partially overlapping with the VDR region analyzed by Meyer et al. The lack of correlation between VDR expression levels and the methylation of the CpG island analyzed by us could be attributable either to the presence of additional functionally active CpG islands/CG sites or to other modulatory mechanisms.
This is a pilot study with some limitations: firstly, the small sample size of patients and controls. On the other hand, the strength of the sampling is in the very accurate instrumental and biochemical characterization of OP and CTR individuals. Unfortunately, characterization of the Ope group is partially missing to conduct more complete correlation analyses. In addition, our cohort included more women (n = 202) than men (n = 64), but we performed sex-stratified analyses that confirmed the statistical significance of the tests used for the overall study population. Moreover, the average age of the CTR group is slightly lower than that of the OP. However, this difference is not easy to bridge due to the difficulty of recruiting individuals of the same age who are not affected by age-related bone diseases or other comorbidities. Finally, unfortunately, the subcohort on which we performed the VDR expression analysis is limited to only 50 subjects, including 25 OP and 25 CTR participants, whose PBMCs were available for RNA extraction.

5. Conclusions

The contribution of VDR genetic variability in OP pathogenesis is still unclear and full of gaps. The fluctuation in the literature data can be attributed to several aspects, including the different allele distribution between ethnicities, which is crucial in defining disease susceptibility. This study enlarges our knowledge on the role of VDR genetic variability in OP susceptibility in the Italian population. In addition, the transcriptomic profile of the VDR gene suggests a putative key interconnection with OP progression, providing a useful tool for stratifying OP phenotype and fracture risk. The VDR circulating altered expression pattern could also candidate this factor as a potential non-invasive biomarker for the early diagnosis of age-related OP disease. Notably, a novel biomarker could significantly improve the quality of life of the elderly population, also reducing individual and hospital care costs, factors that actually make OP a major burden worldwide.

Supplementary Materials

The following supporting information can be downloaded at https://www.mdpi.com/article/10.3390/genes14030542/s1, Figure S1: PBMCs expression level of VDR in OP female and male patients, Figure S2: Pyrosequencing profiles of a representative OP patient.

Author Contributions

Conceptualization, B.G., V.V.V. and A.B.; methodology, B.G., V.V.V., C.C. and A.F.; software, C.C.; validation, B.G., V.V.V., C.C., A.F. and A.B.; investigation, B.G., V.V.V., E.G. and R.I.; resources, B.G., V.V.V., A.B. and M.L.B.; data curation, B.G. and V.V.V.; writing—original draft preparation, B.G., V.V.V., C.C. and A.B.; writing—review and editing, B.G., V.V.V., C.C. and A.B.; supervision, A.B. and U.T.; funding acquisition, U.T. All authors have read and agreed to the published version of the manuscript.

Funding

This research was funded by BRIC-INAIL 2019 (#23).

Institutional Review Board Statement

The study was conducted according to the guidelines of the Declaration of Helsinki and approved by the Ethical Board of “Policlinico Tor Vergata” (approvalreference number #17/21) and the Azienda Ospedaliero Universitaria Careggi (10419_oss; 1 March 2017).

Informed Consent Statement

Informed consent was obtained from all subjects involved in the study.

Data Availability Statement

The data presented in this study are available on request from the corresponding author.

Conflicts of Interest

The authors declare no conflict of interest.

References

  1. Nuti, R.; Brandi, M.L.; Checchia, G.; di Munno, O.; Dominguez, L.; Falaschi, P.; Fiore, C.E.; Iolascon, G.; Maggi, S.; Michieli, R.; et al. Guidelines for the Management of Osteoporosis and Fragility Fractures. Intern. Emerg. Med. 2019, 14, 85–102. [Google Scholar] [CrossRef]
  2. Bjørnerem, Å.; Bui, M.; Wang, X.; Ghasem-Zadeh, A.; Hopper, J.L.; Zebaze, R.; Seeman, E. Genetic and Environmental Variances of Bone Microarchitecture and Bone Remodeling Markers: A Twin Study. J. Bone Miner. Res. 2015, 30, 516–524. [Google Scholar] [CrossRef] [PubMed]
  3. Slemenda, C.W.; Christian, J.C.; Williams, C.J.; Norton, J.A.; Johnston, C.C. Genetic Determinants of Bone Mass in Adult Women: A Reevaluation of the Twin Model and the Potential Importance of Gene Interaction on Heritability Estimates; Mary Ann Liebert, Inc.: Larchmont, NY, USA, 1991; Volume 6. [Google Scholar]
  4. Marini, F.; Giusti, F.; Iantomasi, T.; Brandi, M.L. Genetic Determinants of Inherited Endocrine Tumors: Do They Have a Direct Role in Bone Metabolism Regulation and Osteoporosis? Genes 2021, 12, 1286. [Google Scholar] [CrossRef] [PubMed]
  5. Ruaro, B.; Casabella, A.; Paolino, S.; Pizzorni, C.; Alessandri, E.; Seriolo, C.; Botticella, G.; Molfetta, L.; Odetti, P.; Smith, V.; et al. Correlation between Bone Quality and Microvascular Damage in Systemic Sclerosis Patients. Rheumatology 2018, 57, 1548–1554. [Google Scholar] [CrossRef] [PubMed]
  6. Mu, Y.Y.; Liu, B.; Chen, B.; Zhu, W.F.; Ye, X.H.; Li, H.Z.; He, X.F. Evaluation of Association Studies and an Updated Meta-Analysis of VDR Polymorphisms in Osteoporotic Fracture Risk. Front. Genet. 2022, 12, 2653. [Google Scholar] [CrossRef]
  7. Chen, B.; Zhu, W.F.; Mu, Y.Y.; Liu, B.; Li, H.Z.; He, X.F. Association between Vitamin D Receptor BsmI, FokI, and Cdx2 Polymorphisms and Osteoporosis Risk: An Updated Meta-Analysis. Biosci. Rep. 2020, 40, BSR20201200. [Google Scholar] [CrossRef]
  8. Banjabi, A.A.; Al-Ghafari, A.B.; Kumosani, T.A.; Kannan, K.; Fallatah, S.M. Genetic Influence of Vitamin D Receptor Gene Polymorphisms on Osteoporosis Risk. Int. J. Health Sci. 2020, 14, 22–28. [Google Scholar]
  9. Haussler, M.R.; Whitfield, G.K.; Kaneko, I.; Haussler, C.A.; Hsieh, D.; Hsieh, J.C.; Jurutka, P.W. Molecular Mechanisms of Vitamin D Action. Calcif. Tissue Int. 2013, 92, 77–98. [Google Scholar] [CrossRef]
  10. Jeon, S.M.; Shin, E.A. Exploring Vitamin D Metabolism and Function in Cancer. Exp. Mol. Med. 2018, 50, 1–14. [Google Scholar] [CrossRef]
  11. Campbell, F.C.; Xu, H.; El-Tanani, M.; Crowe, P.; Bingham, V. The Yin and Yang of Vitamin D Receptor (VDR) Signaling in Neoplastic Progression: Operational Networks and Tissue-Specific Growth Control. Biochem. Pharmacol. 2010, 79, 1–9. [Google Scholar] [CrossRef]
  12. Meyer, V.; Bornman, L. Cdx-2 Polymorphism in the Vitamin D Receptor Gene (VDR) Marks VDR Expression in Monocyte/Macrophages through VDR Promoter Methylation. Immunogenetics 2018, 70, 523–532. [Google Scholar] [CrossRef]
  13. Lacerda de Lucena, L.; Silva, A.S.; do Nascimento, R.A.F.; Persuhn, D.C.; Neves, J.P.R.; Costa, M.J.C.; Queiroz, D.J.M.; de Lima, R.L.F.C.; Ataíde de Lima, R.P.; de Paiva, M.P.; et al. Relationship between BsmI Polymorphism and VDR Gene Methylation Profile, Gender, Metabolic Profile, Oxidative Stress, and Inflammation in Adolescents. Nutr. Hosp. 2021, 38, 911–918. [Google Scholar] [CrossRef]
  14. Cobayashi, F.; Lourenço, B.H.; Cardoso, M.A. 25-Hydroxyvitamin D3 Levels, BsmI Polymorphism and Insulin Resistance in Brazilian Amazonian Children. Int. J. Mol. Sci. 2015, 16, 12531–12546. [Google Scholar] [CrossRef]
  15. Wang, T.J.; Zhang, F.; Richards, J.B.; Kestenbaum, B.; van Meurs, J.B.; Berry, D.; Kiel, D.P.; Streeten, E.A.; Ohlsson, C.; Koller, D.L.; et al. Common Genetic Determinants of Vitamin D Insufficiency: A Genome-Wide Association Study. Lancet 2010, 376, 180–188. [Google Scholar] [CrossRef]
  16. Santos, L.O.; Laranjeira, R.; de A. Borborema, M.E.B.; Sotero-Caio, C.G.; de R. Duarte, A.; Araújo, J.; de Azevedo Silva, J.; Santos, N. Vitamin D Receptor (VDR) Gene Polymorphisms and Expression Profile Influence upon the Immunological Imbalance in Turner Syndrome. J. Endocrinol. Investig. 2020, 43, 505–513. [Google Scholar] [CrossRef]
  17. Latini, A.; de Benedittis, G.; Perricone, C.; Colafrancesco, S.; Conigliaro, P.; Ceccarelli, F.; Chimenti, M.S.; Novelli, L.; Priori, R.; Conti, F.; et al. VDR Polymorphisms in Autoimmune Connective Tissue Diseases: Focus on Italian Population. J. Immunol. Res. 2021, 2021, 5812136. [Google Scholar] [CrossRef]
  18. Papasavva, M.; Vikelis, M.; Siokas, V.; Katsarou, M.-S.; Dermitzakis, E.; Raptis, A.; Dardiotis, E.; Drakoulis, N. VDR Gene Polymorphisms and Cluster Headache Susceptibility: Case-Control Study in a Southeastern European Caucasian Population. J. Mol. Neurosci. 2022, 72, 382–392. [Google Scholar] [CrossRef]
  19. Wang, S.; Ai, Z.; Song, M.; Yan, P.; Li, J.; Wang, S. The Association between Vitamin D Receptor FokI Gene Polymorphism and Osteoporosis in Postmenopausal Women: A Meta-Analysis. Climacteric 2021, 24, 74–79. [Google Scholar] [CrossRef]
  20. Kow, M.; Akam, E.; Singh, P.; Singh, M.; Cox, N.; Bhatti, J.S.; Tuck, S.P.; Francis, R.M.; Datta, H.; Mastana, S. Vitamin D Receptor (VDR) Gene Polymorphism and Osteoporosis Risk in White British Men. Ann. Hum. Biol. 2019, 46, 430–433. [Google Scholar] [CrossRef]
  21. Jiang, L.L.; Zhang, C.; Zhang, Y.; Ma, F.; Guan, Y. Associations between Polymorphisms in VDR Gene and the Risk of Osteoporosis: A Meta-Analysis. Arch. Physiol. Biochem. 2022, 128, 1637–1644. [Google Scholar] [CrossRef]
  22. Marozik, P.; Rudenka, A.; Kobets, K.; Rudenka, E. Vitamin d Status, Bone Mineral Density and Vdr Gene Polymorphism in a Cohort of Belarusian Postmenopausal Women. Nutrients 2021, 13, 837. [Google Scholar] [CrossRef] [PubMed]
  23. Arai, H.; Miyamoto, K.I.; Yoshida, M.; Yamamoto, H.; Taketani, Y.; Morita, K.; Kubota, M.; Yoshida, S.; Ikeda, M.; Watabe, F.; et al. The Polymorphism in the Caudal-Related Homeodomain Protein Cdx-2 Binding Element in the Human Vitamin D Receptor Gene. J. Bone Miner. Res. 2001, 16, 1256–1264. [Google Scholar] [CrossRef] [PubMed]
  24. Stathopoulou, M.G.; Dedoussis, G.V.Z.; Trovas, G.; Theodoraki, E.V.; Katsalira, A.; Dontas, I.A.; Hammond, N.; Deloukas, P.; Lyritis, G.P. The Role of Vitamin D Receptor Gene Polymorphisms in the Bone Mineral Density of Greek Postmenopausal Women with Low Calcium Intake. J. Nutr. Biochem. 2011, 22, 752–757. [Google Scholar] [CrossRef] [PubMed]
  25. Gennari, L.; Becherini, L.; Mansani, R.; Masi, L.; Falchetti, A.; Morelli, A.; Colli, E.; Gonnelli, S.; Cepollaro, C.; Brandi, M.L. FokI Polymorphism at Translation Initiation Site of the Vitamin D Receptor Gene Predicts Bone Mineral Density and Vertebral Fractures in Postmenopausal Italian Women. J. Bone Miner. Res. 1999, 14, 1379–1386. [Google Scholar] [CrossRef] [PubMed]
  26. Saccone, D.; Asani, F.; Bornman, L. Regulation of the Vitamin D Receptor Gene by Environment, Genetics and Epigenetics. Gene 2015, 561, 171–180. [Google Scholar] [CrossRef]
  27. Visconti, V.V.; Cariati, I.; Fittipaldi, S.; Iundusi, R.; Gasbarra, E.; Tarantino, U.; Botta, A. DNA Methylation Signatures of Bone Metabolism in Osteoporosis and Osteoarthritis Aging-Related Diseases: An Updated Review. Int. J. Mol. Sci. 2021, 22, 4244. [Google Scholar] [CrossRef]
  28. Puncevičienė, E.; Gaiževska, J.; Sabaliauskaitė, R.; Šnipaitienė, K.; Vencevičienė, L.; Vitkus, D.; Jarmalaitė, S.; Butrimienė, I. Analysis of Epigenetic Changes in Vitamin D Pathway Genes in Rheumatoid Arthritis Patients. Acta Med. Litu. 2022, 29, 78–90. [Google Scholar] [CrossRef]
  29. Weng, W.; Li, H.; Zhu, S. An Overlooked Bone Metabolic Disorder: Cigarette Smoking-Induced Osteoporosis. Genes 2022, 13, 806. [Google Scholar] [CrossRef]
  30. Uh, S.-T.; Koo, S.-M.; Kim, Y.K.; Kim, K.U.; Park, S.W.; Jang, A.S.; Kim, D.J.; Kim, Y.H.; Park, C.S. Inhibition of Vitamin d Receptor Translocation by Cigarette Smoking Extracts. Tuberc. Respir. Dis. 2012, 73, 258–265. [Google Scholar] [CrossRef]
  31. Ruaro, B.; Casabella, A.; Paolino, S.; Pizzorni, C.; Ghio, M.; Seriolo, C.; Molfetta, L.; Odetti, P.; Smith, V.; Cutolo, M. Dickkopf-1 (Dkk-1) Serum Levels in Systemic Sclerosis and Rheumatoid Arthritis Patients: Correlation with the Trabecular Bone Score (TBS). Clin. Rheumatol. 2018, 37, 3057–3062. [Google Scholar] [CrossRef]
  32. Visconti, V.V.; Greggi, C.; Cariati, I.; Gasperini, B.; Mastrogregori, A.; Botta, A.; Tarantino, U. Deregulated Clusterin as a Marker of Bone Fragility: New Insights into the Pathophysiology of Osteoporosis. Genes 2022, 13, 652. [Google Scholar] [CrossRef]
  33. Zintzaras, E.; Rodopoulou, P.; Koukoulis, G.N. BsmI, TaqI, ApaI and FokI Polymorphisms in the Vitamin D Receptor (VDR) Gene and the Risk of Osteoporosis: A Meta-Analysis. Dis. Markers 2006, 22, 317–326. [Google Scholar] [CrossRef]
  34. Yamamoto, H.; Miyamoto, K.; Li, B.; Taketani, Y.; Kitano, M.; Inoue, Y.; Morita, K.; Pike, J.W.; Takeda, E. The Caudal-Related Homeodomain Protein Cdx-2 Regulates Vitamin D Receptor Gene Expression in the Small Intestine. J. Bone Miner. Res. 1999, 14, 240–247. [Google Scholar] [CrossRef]
  35. Gentil, P.; Lima, R.M.; Lins, T.C.L.; Abreu, B.S.; Pereira, R.W.; Oliveira, R.J. Physical Activity, Cdx-2 Genotype, and BMD. Int. J. Sports Med. 2007, 28, 1065–1069. [Google Scholar] [CrossRef]
  36. O’Neill, V.; Asani, F.F.; Jeffery, T.J.; Saccone, D.S.; Bornman, L. Vitamin D Receptor Gene Expression and Function in a South African Population: Ethnicity, Vitamin D and FokI. PLoS ONE 2013, 8, e0067663. [Google Scholar] [CrossRef]
  37. White, J.H. Vitamin D Signaling, Infectious Diseases, and Regulation of Innate Immunity. Infect. Immun. 2008, 76, 3837–3843. [Google Scholar] [CrossRef]
  38. Kanis, J.A.; McCloskey, E.V.; Harvey, N.C.; Johansson, H.; Leslie, W.D. Intervention Thresholds and the Diagnosis of Osteoporosis. J. Bone Miner. Res. 2015, 30, 1747–1753. [Google Scholar] [CrossRef]
  39. Xia, N.; Cai, Y.; Wang, W.; Bao, C.; Li, Y.; Xie, Q.; Xu, W.; Liu, D. Association of Bone-Related Biomarkers with Femoral Neck Bone Strength. BMC Musculoskelet. Disord. 2022, 23, 482. [Google Scholar] [CrossRef]
Figure 1. PBMC expression level of VDR in OP patients (n = 25) and CTR (n = 25). GAPDH mRNA level was used to normalize the amount of VDR and expression values are expressed as 2−ΔΔCt. Statistical differences between OP and CTR groups were analyzed by a non-parametric Mann–Whitney U-test (*** p = 0.0009).
Figure 1. PBMC expression level of VDR in OP patients (n = 25) and CTR (n = 25). GAPDH mRNA level was used to normalize the amount of VDR and expression values are expressed as 2−ΔΔCt. Statistical differences between OP and CTR groups were analyzed by a non-parametric Mann–Whitney U-test (*** p = 0.0009).
Genes 14 00542 g001
Figure 2. Expression level of the VDR gene in a subcohort composed of 25 OP patients with different genotypes of the VDR rs11568820 polymorphism: A/A (n = 4), G/G (n = 12) and G/A (n = 9). Statistical differences between G/G + G/A and A/A genotypes were analyzed by a non-parametric Mann–Whitney U-test (* p = 0.03).
Figure 2. Expression level of the VDR gene in a subcohort composed of 25 OP patients with different genotypes of the VDR rs11568820 polymorphism: A/A (n = 4), G/G (n = 12) and G/A (n = 9). Statistical differences between G/G + G/A and A/A genotypes were analyzed by a non-parametric Mann–Whitney U-test (* p = 0.03).
Genes 14 00542 g002
Figure 3. Correlation between VDR expression levels and instrumental clinical characteristics of OP and CTR subjects. VDR expression levels were determined by qRT-PCR; each point represents one subject. VDR levels were positively associated with BMD (A) and t-score (B) values of the L1–L4 lumbar spine, total femur and femoral neck. Pearson’s correlation values (r) are indicated in each graph.
Figure 3. Correlation between VDR expression levels and instrumental clinical characteristics of OP and CTR subjects. VDR expression levels were determined by qRT-PCR; each point represents one subject. VDR levels were positively associated with BMD (A) and t-score (B) values of the L1–L4 lumbar spine, total femur and femoral neck. Pearson’s correlation values (r) are indicated in each graph.
Genes 14 00542 g003
Figure 4. Methylation analysis of promoter CpG island located in VDR locus. CpG island (blue region) identified by MethPrimer program and location of the CpG sites in VDR gene.
Figure 4. Methylation analysis of promoter CpG island located in VDR locus. CpG island (blue region) identified by MethPrimer program and location of the CpG sites in VDR gene.
Genes 14 00542 g004
Table 1. Clinical features of OP, CTR and Ope subjects.
Table 1. Clinical features of OP, CTR and Ope subjects.
OP (n = 139)CTR (n = 73)Ope (n = 54)p Value
Age (years)65.1 ± 7.960.6 ± 12.1na* (p = 0.0167)
BMI (kg/m2)24.1 ± 3.827.6 ± 5.2na**** (p < 0.0001)
BMD L1–L40.8 ± 0.21.2 ± 0.1na**** (p < 0.0001)
t-score L1–L4−2.4 ± 1.30.3 ± 1.0na**** (p < 0.0001)
BMD TF0.7 ± 0.11.0 ± 0.1na**** (p < 0.0001)
t-score TF−2.0 ± 1.00.4 ± 1.0na**** (p < 0.0001)
BMD FN0.6 ± 0.10.9 ± 0.1na**** (p < 0.0001)
t-score FN−2.4 ± 0.8−0.2 ± 0.9na**** (p < 0.0001)
Calciulm (mg/dL)8.9 ± 0.98.9 ± 0.6naNS (p = 0.3600)
PTH (Pg/mL)52.2 ± 28.265.1 ± 33.3na* (p = 0.0130)
25-(OH)-Vit D (ng/mL)24.4 ± 11.924.2 ± 9.1naNS (p = 0.8108)
BMI, body mass index; BMD, bone mineral density; FN, femoral neck; TF, total femur; PTH, parathyroid hormone; 25-(OH)-Vit D, 25-hydroxyvitamin D; * p < 0.05, **** p < 0.0001.
Table 2. Genotype distribution of VDR polymorphisms.
Table 2. Genotype distribution of VDR polymorphisms.
rs731236 A > G Taq1TOTT/TT/CC/Cp aOR (95% CI)
OP1394169290.481.25 (0.68–2.28)
OPE541626120.581.24 (0.58–2.64)
CTR73253414
rs2228570 C > T Fok1TOTC/CC/TT/Tp aOR (95% CI)
OP1355462230.541.25 (0.68–2.28)
OPE54172980.81.24 (0.58–2.64)
CTR73253414
rs11568820 G > A Cdx2TOTG/GG/AA/Ap aOR (95% CI)
OP139785290.051.81 (0.99–3.31)
OPE54351810.551.26 (0.6–2.66)
CTR7351193
pa value represents the analysis based on the dominant model (heterozygous and homozygous variant genotypes were grouped in a single class)). OR: odds ratio; CI: confidence interval. Significant associations are reported in italics.
Table 3. Association between VDR mRNA expression levels and the fracture bone site of the OP group.
Table 3. Association between VDR mRNA expression levels and the fracture bone site of the OP group.
VDR mRNA Expression (Fold Change Mean ± SD)p
OP_FF0.65 ± 0.190.05
OP_ASF0.83 ± 0.25
Table 4. Methylation analysis of VDR promoter CpG island.
Table 4. Methylation analysis of VDR promoter CpG island.
Mean CpG Sites Meth%OP (n = 25)CTR (n = 25)
CpG 15.45.5
CpG 25.15.0
CpG 37.06.8
CpG 42.92.8
CpG 56.45.9
CpG 64.84.8
Mean Global Meth%5.35.1
Disclaimer/Publisher’s Note: The statements, opinions and data contained in all publications are solely those of the individual author(s) and contributor(s) and not of MDPI and/or the editor(s). MDPI and/or the editor(s) disclaim responsibility for any injury to people or property resulting from any ideas, methods, instructions or products referred to in the content.

Share and Cite

MDPI and ACS Style

Gasperini, B.; Visconti, V.V.; Ciccacci, C.; Falvino, A.; Gasbarra, E.; Iundusi, R.; Brandi, M.L.; Botta, A.; Tarantino, U. Role of the Vitamin D Receptor (VDR) in the Pathogenesis of Osteoporosis: A Genetic, Epigenetic and Molecular Pilot Study. Genes 2023, 14, 542. https://doi.org/10.3390/genes14030542

AMA Style

Gasperini B, Visconti VV, Ciccacci C, Falvino A, Gasbarra E, Iundusi R, Brandi ML, Botta A, Tarantino U. Role of the Vitamin D Receptor (VDR) in the Pathogenesis of Osteoporosis: A Genetic, Epigenetic and Molecular Pilot Study. Genes. 2023; 14(3):542. https://doi.org/10.3390/genes14030542

Chicago/Turabian Style

Gasperini, Beatrice, Virginia Veronica Visconti, Cinzia Ciccacci, Angela Falvino, Elena Gasbarra, Riccardo Iundusi, Maria Luisa Brandi, Annalisa Botta, and Umberto Tarantino. 2023. "Role of the Vitamin D Receptor (VDR) in the Pathogenesis of Osteoporosis: A Genetic, Epigenetic and Molecular Pilot Study" Genes 14, no. 3: 542. https://doi.org/10.3390/genes14030542

APA Style

Gasperini, B., Visconti, V. V., Ciccacci, C., Falvino, A., Gasbarra, E., Iundusi, R., Brandi, M. L., Botta, A., & Tarantino, U. (2023). Role of the Vitamin D Receptor (VDR) in the Pathogenesis of Osteoporosis: A Genetic, Epigenetic and Molecular Pilot Study. Genes, 14(3), 542. https://doi.org/10.3390/genes14030542

Note that from the first issue of 2016, this journal uses article numbers instead of page numbers. See further details here.

Article Metrics

Back to TopTop