XCMAX4: A Robust X Chromosomal Genetic Association Test Accounting for Covariates
Abstract
:1. Introduction
2. Method
3. Simulation Study
3.1. Simulation Settings
3.2. Results
3.2.1. Size
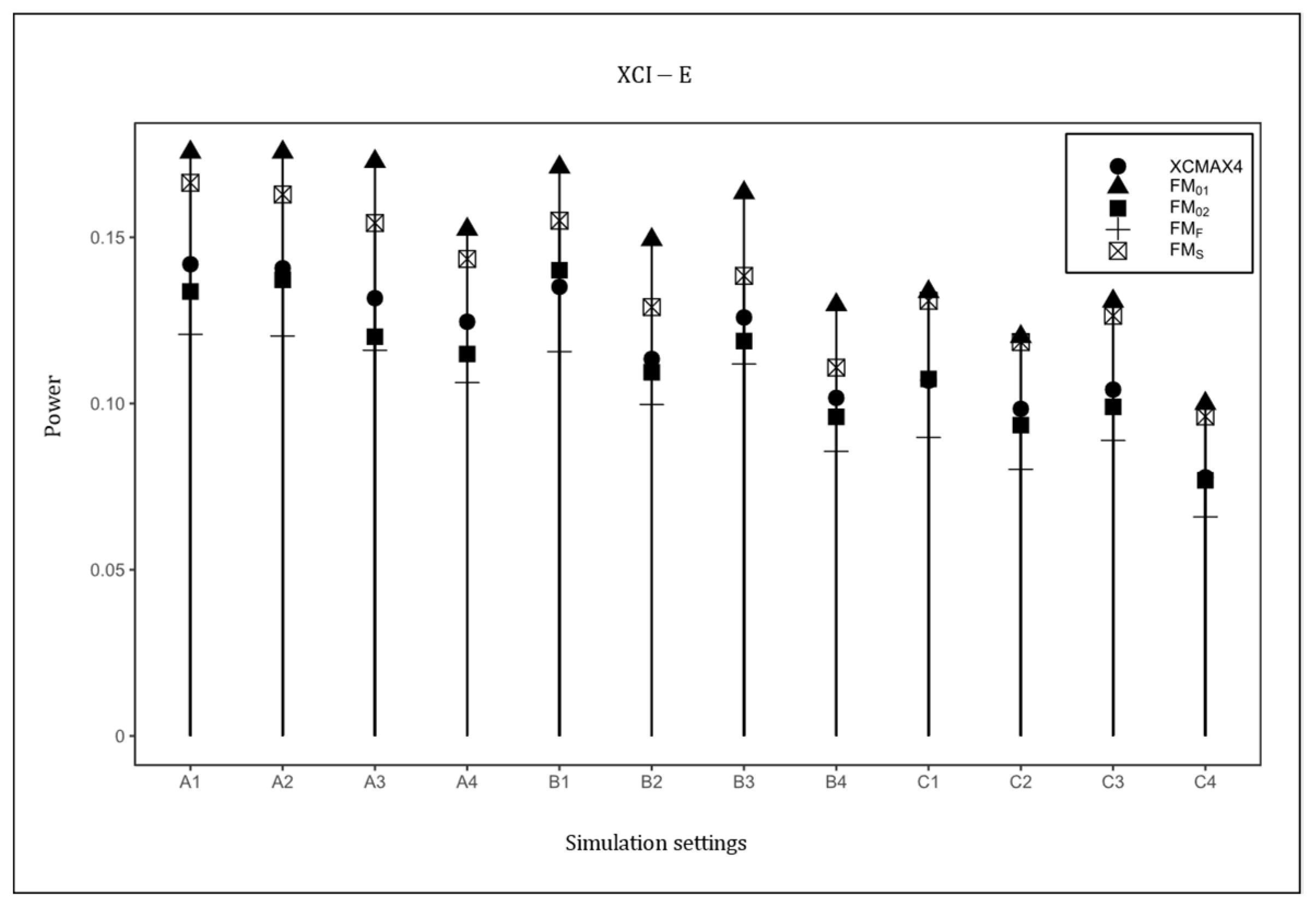
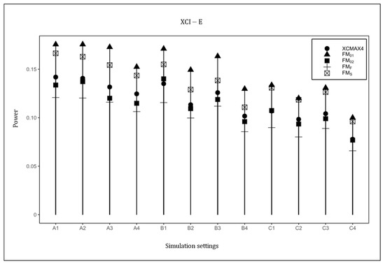
3.2.2. Power
4. Application to Graves’ Disease Data
5. Discussion
Supplementary Materials
Author Contributions
Funding
Institutional Review Board Statement
Informed Consent Statement
Data Availability Statement
Conflicts of Interest
Appendix A. Detailed Derivation of the Score Statistic
References
- Voskuhl, R. Sex differences in autoimmune diseases. Biol. Sex Differ. 2011, 2, 1. [Google Scholar] [CrossRef] [Green Version]
- Appelman, Y.; van Rijn, B.B.; Ten Haaf, M.E.; Boersma, E.; Peters, S.A. Sex differences in cardiovascular risk factors and disease prevention. Atherosclerosis 2015, 241, 211–218. [Google Scholar] [CrossRef]
- Riecher-Rossler, A. Sex and gender differences in mental disorders. Lancet Psychiatry 2017, 4, 8–9. [Google Scholar] [CrossRef]
- Dong, M.; Cioffi, G.; Wang, J.; Waite, K.A.; Ostrom, Q.T.; Kruchko, C.; Lathia, J.D.; Rubin, J.B.; Berens, M.E.; Connor, J.; et al. Sex Differences in Cancer Incidence and Survival: A Pan-Cancer Analysis. Cancer Epidemiol. Biomark. Prev. 2020, 29, 1389–1397. [Google Scholar] [CrossRef] [PubMed]
- Erol, A.; Winham, S.J.; McElroy, S.L.; Frye, M.A.; Prieto, M.L.; Cuellar-Barboza, A.B.; Fuentes, M.; Geske, J.; Mori, N.; Biernacka, J.M.; et al. Sex differences in the risk of rapid cycling and other indicators of adverse illness course in patients with bipolar I and II disorder. Bipolar Disord. 2015, 17, 670–676. [Google Scholar] [CrossRef] [PubMed]
- Lu, Z.; Carter, A.C.; Chang, H.Y. Mechanistic insights in X-chromosome inactivation. Philos. Trans. R Soc. Lond. B Biol. Sci. 2017, 372, 356. [Google Scholar] [CrossRef] [PubMed]
- Lyon, M.F. Gene action in the X-chromosome of the mouse (Mus musculus L.). Nature 1961, 190, 372–373. [Google Scholar] [CrossRef] [PubMed]
- Carrel, L.; Willard, H.F. X-inactivation profile reveals extensive variability in X-linked gene expression in females. Nature 2005, 434, 400–404. [Google Scholar] [CrossRef] [PubMed]
- Fang, H.; Disteche, C.M.; Berletch, J.B. X Inactivation and Escape: Epigenetic and Structural Features. Front. Cell Dev. Biol. 2019, 7, 219. [Google Scholar] [CrossRef]
- Disteche, C.M. Dosage compensation of the sex chromosomes and autosomes. Semin. Cell Dev. Biol. 2016, 56, 9–18. [Google Scholar] [CrossRef] [Green Version]
- Cantone, I.; Fisher, A.G. Human X chromosome inactivation and reactivation: Implications for cell reprogramming and disease. Philos. Trans. R Soc. Lond. B Biol. Sci. 2017, 372, 358. [Google Scholar] [CrossRef] [PubMed]
- Wang, P.; Zhang, Y.; Wang, B.Q.; Li, J.L.; Wang, Y.X.; Pan, D.; Wu, X.B.; Fung, W.K.; Zhou, J.Y. A statistical measure for the skewness of X chromosome inactivation based on case-control design. BMC Bioinform. 2019, 20, 11. [Google Scholar] [CrossRef] [PubMed]
- Wang, P.; Xu, S.Q.; Wang, B.Q.; Fung, W.K.; Zhou, J.Y. A robust and powerful test for case-control genetic association study on X chromosome. Stat. Methods Med. Res. 2019, 28, 3260–3272. [Google Scholar] [CrossRef] [PubMed]
- Wang, J.; Yu, R.; Shete, S. X-chromosome genetic association test accounting for X-inactivation, skewed X-inactivation, and escape from X-inactivation. Genet. Epidemiol. 2014, 38, 483–493. [Google Scholar] [CrossRef]
- Gao, F.; Chang, D.; Biddanda, A.; Ma, L.; Guo, Y.; Zhou, Z.; Keinan, A. XWAS: A Software Toolset for Genetic Data Analysis and Association Studies of the X Chromosome. J. Hered. 2015, 106, 666–671. [Google Scholar] [CrossRef] [Green Version]
- Clayton, D. Testing for association on the X chromosome. Biostatistics 2008, 9, 593–600. [Google Scholar] [CrossRef]
- Zheng, G.; Joo, J.; Zhang, C.; Geller, N.L. Testing association for markers on the X chromosome. Genet. Epidemiol. 2007, 31, 834–843. [Google Scholar] [CrossRef]
- Chen, Z.; Ng, H.K.; Li, J.; Liu, Q.; Huang, H. Detecting associated single-nucleotide polymorphisms on the X chromosome in case control genome-wide association studies. Stat. Methods Med. Res. 2017, 26, 567–582. [Google Scholar] [CrossRef]
- Clayton, D.G. Sex chromosomes and genetic association studies. Genome Med. 2009, 1, 110. [Google Scholar] [CrossRef] [Green Version]
- Price, A.L.; Patterson, N.J.; Plenge, R.M.; Weinblatt, M.E.; Shadick, N.A.; Reich, D. Principal components analysis corrects for stratification in genome-wide association studies. Nat. Genet. 2006, 38, 904–909. [Google Scholar] [CrossRef]
- Li, Q.Z.; Zheng, G.; Li, Z.H.; Yu, K. Efficient approximation of P-value of the maximum of correlated tests, with applications to genome-wide association studies. Ann. Hum. Genet. 2008, 72, 397–406. [Google Scholar] [CrossRef] [PubMed]
- Chu, X.; Shen, M.; Xie, F.; Miao, X.J.; Shou, W.H.; Liu, L.; Yang, P.P.; Bai, Y.N.; Zhang, K.Y.; Yang, L.; et al. An X chromosome-wide association analysis identifies variants in GPR174 as a risk factor for Graves’ disease. J. Med. Genet. 2013, 50, 479–485. [Google Scholar] [CrossRef] [PubMed] [Green Version]
- Szymanski, K.; Miskiewicz, P.; Pirko, K.; Jurecka-Lubieniecka, B.; Kula, D.; Hasse-Lazar, K.; Krajewski, P.; Bednarczuk, T.; Ploski, R. rs3827440, a nonsynonymous single nucleotide polymorphism within GPR174 gene in X chromosome, is associated with Graves’ disease in Polish Caucasian population. Tissue Antigens 2014, 83, 41–44. [Google Scholar] [CrossRef] [PubMed]
- Chen, Z.; Zang, Y. CMAX3: A Robust Statistical Test for Genetic Association Accounting for Covariates. Genes 2021, 12, 1723. [Google Scholar] [CrossRef]
- Cox, D.R.; Hinkley, D.V. Theoretical Statistics; CRC Press: Boca Raton, FL, USA, 1979. [Google Scholar]




| XCI Pattern | |||||||
|---|---|---|---|---|---|---|---|
| XCI-SN | 0 | 0 | 2 | 0 | 2 | 0 | 2 |
| XCI-R | 0 | 1 | 2 | 0 | 2 | 1 | 2 |
| XCI-SR | 0 | 2 | 2 | 0 | 2 | 2 | 2 |
| XCI-E | 0 | 1 | 2 | 0 | 1 | 1 | 1 |
| 0.1 | 0.1 | 1.03 | 0.74 | 0.86 | 0.95 | 0.82 | 0.87 | 0.93 | 0.93 | 0.66 | 0.98 | |
| 0.2 | 0.88 | 0.96 | 0.84 | 0.86 | 0.96 | 1.07 | 1.02 | 1.10 | 0.99 | 1.02 | ||
| 0.3 | 0.91 | 0.87 | 0.84 | 1.10 | 0.84 | 0.86 | 1.02 | 0.88 | 0.95 | 1.00 | ||
| 0.2 | 0.1 | 0.94 | 0.96 | 0.98 | 0.93 | 0.95 | 0.86 | 0.85 | 0.74 | 0.78 | 0.79 | |
| 0.2 | 1.02 | 1.02 | 0.93 | 1.12 | 1.00 | 1.12 | 1.43 | 1.24 | 1.22 | 1.39 | ||
| 0.3 | 0.90 | 1.09 | 0.99 | 0.76 | 1.02 | 1.10 | 0.99 | 1.03 | 0.98 | 1.01 | ||
| 0.3 | 0.1 | 0.87 | 0.88 | 0.87 | 0.88 | 0.87 | 0.79 | 1.01 | 0.93 | 0.96 | 0.91 | |
| 0.2 | 0.93 | 1.01 | 1.04 | 0.77 | 0.99 | 0.83 | 0.94 | 0.89 | 0.91 | 0.93 | ||
| 0.3 | 0.83 | 1.13 | 0.92 | 0.95 | 0.91 | 0.96 | 1.15 | 1.05 | 1.14 | 1.06 | ||
| 0.1 | 0.1 | 0.88 | 1.06 | 0.93 | 0.79 | 1.01 | 0.88 | 1.00 | 0.83 | 0.77 | 0.92 | |
| 0.2 | 0.84 | 0.77 | 0.82 | 0.79 | 0.75 | 0.92 | 0.87 | 0.96 | 0.98 | 0.86 | ||
| 0.3 | 0.88 | 1.22 | 1.08 | 0.96 | 1.16 | 0.99 | 1.17 | 1.14 | 1.07 | 1.09 | ||
| 0.2 | 0.1 | 0.92 | 0.93 | 1.06 | 0.92 | 1.03 | 0.81 | 1.03 | 0.91 | 0.96 | 0.91 | |
| 0.2 | 0.84 | 1.01 | 0.92 | 0.91 | 0.98 | 0.86 | 0.80 | 0.88 | 0.85 | 0.78 | ||
| 0.3 | 0.94 | 1.08 | 1.14 | 1.08 | 1.08 | 0.85 | 0.94 | 0.98 | 0.98 | 0.97 | ||
| 0.3 | 0.1 | 1.00 | 1.08 | 1.03 | 0.93 | 1.00 | 0.99 | 0.85 | 1.01 | 0.96 | 0.94 | |
| 0.2 | 0.88 | 1.08 | 0.91 | 0.93 | 0.92 | 0.93 | 0.76 | 0.90 | 0.83 | 0.94 | ||
| 0.3 | 0.82 | 0.95 | 0.86 | 1.01 | 0.88 | 0.98 | 1.06 | 0.97 | 1.10 | 1.09 | ||
| Dataset | Race | Female Case | Male Case | Female Control | Male Control | ||||||
|---|---|---|---|---|---|---|---|---|---|---|---|
| CC | TC | TT | C | T | CC | TC | TT | C | T | ||
| Chu et al. (stage I) | Han | 163 | 508 | 444 | 109 | 232 | 219 | 541 | 367 | 172 | 186 |
| Chu et al. (stage II) | Han | 471 | 1606 | 1298 | 284 | 606 | 584 | 1344 | 957 | 396 | 526 |
| Szymanski et al. (Warsaw) | Caucasian | 146 | 205 | 85 | 53 | 51 | 188 | 229 | 81 | 146 | 104 |
| Szymanski et al. (Gliwice) | Caucasian | 58 | 78 | 30 | 20 | 11 | 71 | 73 | 27 | 20 | 10 |
| Dataset | |||||
|---|---|---|---|---|---|
| Chu et al. (stage I) | 1.573 | 9.513 | 0.507 | 1.832 | 1.731 |
| Chu et al. (stage II) | 0.847 | 7.764 | 0.561 | 4.108 | 1.144 |
| Szymanski et al. (Warsaw) | 1.083 | 0.491 | 0.395 | 1.038 | 0.410 |
| Szymanski et al. (Gliwice) | 5.967 | 2.515 | 2.800 | 5.500 | 2.628 |
| Population | |||||
|---|---|---|---|---|---|
| Han | 1.275 | 55.347 | 0.285 | 1.792 | 1.444 |
| Caucasian | 6.932 | 2.571 | 2.553 | 5.795 | 1.993 |
Publisher’s Note: MDPI stays neutral with regard to jurisdictional claims in published maps and institutional affiliations. |
© 2022 by the authors. Licensee MDPI, Basel, Switzerland. This article is an open access article distributed under the terms and conditions of the Creative Commons Attribution (CC BY) license (https://creativecommons.org/licenses/by/4.0/).
Share and Cite
Su, Y.; Hu, J.; Yin, P.; Jiang, H.; Chen, S.; Dai, M.; Chen, Z.; Wang, P. XCMAX4: A Robust X Chromosomal Genetic Association Test Accounting for Covariates. Genes 2022, 13, 847. https://doi.org/10.3390/genes13050847
Su Y, Hu J, Yin P, Jiang H, Chen S, Dai M, Chen Z, Wang P. XCMAX4: A Robust X Chromosomal Genetic Association Test Accounting for Covariates. Genes. 2022; 13(5):847. https://doi.org/10.3390/genes13050847
Chicago/Turabian StyleSu, Youpeng, Jing Hu, Ping Yin, Hongwei Jiang, Siyi Chen, Mengyi Dai, Ziwei Chen, and Peng Wang. 2022. "XCMAX4: A Robust X Chromosomal Genetic Association Test Accounting for Covariates" Genes 13, no. 5: 847. https://doi.org/10.3390/genes13050847
APA StyleSu, Y., Hu, J., Yin, P., Jiang, H., Chen, S., Dai, M., Chen, Z., & Wang, P. (2022). XCMAX4: A Robust X Chromosomal Genetic Association Test Accounting for Covariates. Genes, 13(5), 847. https://doi.org/10.3390/genes13050847

