Selected Elements of the Tumor Microenvironment (MMP-2, MMP-7, TIMP-2, CXCL-9, CXCL-10) in the Serum of Pediatric Patients with Acute Lymphoblastic Leukemia
Abstract
1. Introduction
1.1. Leukemia and Its Treatment
1.2. Tumor Microenvironment (TME), Bone Marrow Microenvironment (BMM)
1.3. Chemokine Ligand 9 and 10 (CXCL-9, CXCL-10)
1.4. Matrix Metalloproteinases (MMPs) and Tissue Inhibitors of Metalloproteinases (TIMPs)
1.5. Aims of the Study
- 1.
- Whether the levels of MMP-2, MMP-7, TIMP-2 and chemokines CXCL-9 and CXCL-10 in the serum are impaired in pediatric patients with ALL,
- 2.
- Whether they could serve as markers for assessing response to treatment;
- 3.
- Whether treatment can be monitored on their basis;
- 4.
- Whether the peripheral blood of ALL patients—as a biological material that is much more accessible—will reflect the results obtained from the bone marrow.
2. Materials and Methods
2.1. Sample Collection
2.2. Laboratory Analysis
2.3. Statistical Analysis
3. Results
4. Discussion
4.1. CXCL-9 and CXCL-10
4.2. MMP-2, MMP-7, TIMP-2
4.3. The Future of ALL Treatment
5. Summary
6. Limitations of the Study
7. Conclusions
Author Contributions
Funding
Institutional Review Board Statement
Informed Consent Statement
Data Availability Statement
Acknowledgments
Conflicts of Interest
Abbreviations
| TME | Tumor microenvironment |
| ECM | Extracellular matrix |
| MMP-2 | Matrix metalloproteinase-2 |
| MMP-7 | Matrix metalloproteinase-7 |
| TIMP-2 | Tissue inhibitor of metalloproteinases-2 |
| G-PCR | G-protein coupled receptors |
| CXCL-9 | Chemokine ligand 9 |
| CXCL-10 | Chemokine ligand 10 |
| CXCR-3 | CXC chemokine receptor-3 |
| OS | Overall survival |
| ALL | Acute lymphoblastic leukemia |
| AML | Acute myeloid leukemia |
| BMM | Bone marrow microenvironment |
| ELISA | Enzyme-linked immunosorbent assay |
| NK | Natural killer cells |
| WBC | White blood count |
| CRP | C-reactive protein |
| LDH | Lactate dehydrogenase |
| ALT | Alanine aminotransferase |
| HSC | Hematopoietic stem cells |
| LSC | Leukemic stem cells |
| MRD | Minimal residual disease |
References
- National Cancer Institute—Surveillance, Epidemiology and End Results Program. Available online: https://seer.cancer.gov/statfacts/html/childleuk.html (accessed on 10 December 2024).
- Pui, C.-H.; Relling, M.V.; Downing, J.R. Acute Lymphoblastic Leukemia. N. Engl. J. Med. 2004, 350, 1535–1548. [Google Scholar] [CrossRef]
- Chang, J.H.; Poppe, M.M.; Hua, C.; Marcus, K.J.; Esiashvili, N. Acute Lymphoblastic Leukemia. Pediatr. Blood Cancer 2021, 68, e28371. [Google Scholar] [CrossRef] [PubMed]
- Siegel, R.L.; Giaquinto, A.N.; Jemal, A. Cancer statistics, 2024. CA Cancer J. Clin. 2024, 74, 12–49. [Google Scholar] [CrossRef]
- Gupta, S.; Teachey, D.T.; Chen, Z.; Rabin, K.R.; Dunsmore, K.P.; Larsen, E.C.; Maloney, K.W.; Mattano, L.A.; Winter, S.S.; Carroll, A.J.; et al. Sex-based disparities in outcome in pediatric acute lymphoblastic leukemia: A Children’s Oncology Group report. Cancer 2022, 128, 1863–1870. [Google Scholar] [CrossRef] [PubMed]
- Bhojwani, D.; Yang, J.J.; Pui, C.-H. Biology of Childhood Acute Lymphoblastic Leukemia. Pediatr. Clin. N. Am. 2015, 62, 47–60. [Google Scholar] [CrossRef]
- Inaba, H.; Mullighan, C.G. Pediatric Acute Lymphoblastic Leukemia. Haematologica 2020, 105, 2524–2539. [Google Scholar] [CrossRef]
- Dander, E.; Palmi, C.; D’amico, G.; Cazzaniga, G. The Bone Marrow Niche in B-Cell Acute Lymphoblastic Leukemia: The Role of Microenvironment from Pre-Leukemia to Overt Leukemia. Int. J. Mol. Sci. 2021, 22, 4426. [Google Scholar] [CrossRef]
- Søegaard, S.H.; Rostgaard, K.; Skogstrand, K.; Wiemels, J.L.; Schmiegelow, K.; Hjalgrim, H. Neonatal Inflammatory Markers Are Associated with Childhood B-Cell Precursor Acute Lymphoblastic Leukemia. Cancer Res. 2018, 78, 5458–5463. [Google Scholar] [CrossRef] [PubMed]
- Löffler, A.; Kufer, P.; Lutterbüse, R.; Zettl, F.; Daniel, P.T.; Schwenkenbecher, J.M.; Riethmüller, G.; Dörken, B.; Bargou, R.C. A recombinant bispecific single-chain antibody, CD19 x CD3, induces rapid and high lymphoma-directed cytotoxicity by unstimulated T lymphocytes. Blood 2000, 95, 2098–2103. [Google Scholar] [CrossRef]
- Von Stackelberg, A.; Locatelli, F.; Zugmaier, G.; Handgretinger, R.; Trippett, T.M.; Rizzari, C.; Bader, P.; O’brien, M.M.; Brethon, B.; Bhojwani, D.; et al. Phase I/Phase II Study of Blinatumomab in Pediatric Patients With Relapsed/Refractory Acute Lymphoblastic Leukemia. J. Clin. Oncol. 2016, 34, 4381–4389. [Google Scholar] [CrossRef]
- Topp, M.S.; Kufer, P.; Gökbuget, N.; Goebeler, M.; Klinger, M.; Neumann, S.; Horst, H.-A.; Raff, T.; Viardot, A.; Schmid, M.; et al. Targeted Therapy With the T-Cell–Engaging Antibody Blinatumomab of Chemotherapy-Refractory Minimal Residual Disease in B-Lineage Acute Lymphoblastic Leukemia Patients Results in High Response Rate and Prolonged Leukemia-Free Survival. J. Clin. Oncol. 2011, 29, 2493–2498. [Google Scholar] [CrossRef]
- Gardner, R.A.; Finney, O.; Annesley, C.; Brakke, H.; Summers, C.; Leger, K.; Bleakley, M.; Brown, C.; Mgebroff, S.; Kelly-Spratt, K.S.; et al. Intent-to-treat leukemia remission by CD19 CAR T cells of defined formulation and dose in children and young adults. Blood 2017, 129, 3322–3331. [Google Scholar] [CrossRef] [PubMed]
- Maude, S.L.; Frey, N.; Shaw, P.A.; Aplenc, R.; Barrett, D.M.; Bunin, N.J.; Chew, A.; Gonzalez, V.E.; Zheng, Z.; Lacey, S.F.; et al. Chimeric Antigen Receptor T Cells for Sustained Remissions in Leukemia. N. Engl. J. Med. 2014, 371, 1507–1517. [Google Scholar] [CrossRef]
- Maude, S.L. Tisagenlecleucel in pediatric patients with acute lymphoblastic leukemia. Clin. Adv. Hematol. Oncol. HO 2018, 16, 664–666. [Google Scholar]
- Choo, A.; Tuong, Z.K. Measuring Single-cell Immune Clonality to Track Haematological Cancers. Clin. Transl. Med. 2024, 14, e1780. [Google Scholar] [CrossRef]
- Panting, R.G.; Kotecha, R.S.; Cheung, L.C. The Critical Role of the Bone Marrow Stromal Microenvironment for the Development of Drug Screening Platforms in Leukemia. Exp. Hematol. 2024, 133, 104212. [Google Scholar] [CrossRef]
- Kaczorowska, A.; Miękus, N.; Stefanowicz, J.; Adamkiewicz-Drożyńska, E. Selected Matrix Metalloproteinases (MMP-2, MMP-7) and Their Inhibitor (TIMP-2) in Adult and Pediatric Cancer. Diagnostics 2020, 10, 547. [Google Scholar] [CrossRef]
- Yuan, J.; Zhang, J.; Zhao, B.; Liu, F.; Liu, T.; Duan, Y.; Chen, Y.; Chen, X.; Zou, Y.; Zhang, L.; et al. Single-Cell Transcriptomic Analysis of the Immune Microenvironment in Pediatric Acute Leukemia. Cancer Lett. 2024, 596, 217018. [Google Scholar] [CrossRef] [PubMed]
- Schofield, R. The Relationship between the Spleen Colony-Forming Cell and the Haemopoietic Stem Cell. Blood Cells 1978, 4, 7–25. [Google Scholar]
- Chiarini, F.; Lonetti, A.; Evangelisti, C.; Buontempo, F.; Orsini, E.; Evangelisti, C.; Cappellini, A.; Neri, L.M.; McCubrey, J.A.; Martelli, A.M. Advances in Understanding the Acute Lymphoblastic Leukemia Bone Marrow Microenvironment: From Biology to Therapeutic Targeting. Biochim. Biophys. Acta (BBA)–Mol. Cell Res. 2016, 1863, 449–463. [Google Scholar] [CrossRef]
- Bakker, E.; Qattan, M.; Mutti, L.; Demonacos, C.; Krstic-Demonacos, M. The Role of Microenvironment and Immunity in Drug Response in Leukemia. Biochim. Biophys. Acta (BBA)—Mol. Cell Res. 2016, 1863, 414–426. [Google Scholar] [CrossRef]
- Mercier, F.E.; Ragu, C.; Scadden, D.T. The Bone Marrow at the Crossroads of Blood and Immunity. Nat. Rev. Immunol. 2012, 12, 49–60. [Google Scholar] [CrossRef] [PubMed]
- Congrains, A.; Bianco, J.; Rosa, R.G.; Mancuso, R.I.; Saad, S.T.O. 3D Scaffolds to Model the Hematopoietic Stem Cell Niche: Applications and Perspectives. Materials 2021, 14, 569. [Google Scholar] [CrossRef] [PubMed]
- Zeng, Z.; Fu, M.; Hu, Y.; Wei, Y.; Wei, X.; Luo, M. Regulation and Signaling Pathways in Cancer Stem Cells: Implications for Targeted Therapy for Cancer. Mol. Cancer 2023, 22, 172. [Google Scholar] [CrossRef]
- Miller, M.C.; Mayo, K.H. Chemokines from a Structural Perspective. Int. J. Mol. Sci. 2017, 18, 2088. [Google Scholar] [CrossRef] [PubMed]
- Murphy, P.M.; Baggiolini, M.; Charo, I.F.; Hébert, C.A.; Horuk, R.; Matsushima, K.; Miller, L.H.; Oppenheim, J.J.; Power, C.A. International Union of Pharmacology. XXII. Nomenclature for Chemokine Receptors. Pharmacol. Rev. 2000, 52, 145–176. [Google Scholar]
- D’Agostino, G.; Cecchinato, V.; Uguccioni, M. Chemokine Heterocomplexes and Cancer: A Novel Chapter to Be Written in Tumor Immunity. Front. Immunol. 2018, 9, 2185. [Google Scholar] [CrossRef]
- Hembruff, S.L.; Cheng, N. Chemokine Signaling in Cancer: Implications on the Tumor Microenvironment and Therapeutic Targeting. Cancer Ther. 2009, 7, 254–267. [Google Scholar] [PubMed]
- Gao, J.; Wu, L.; Wang, S.; Chen, X. Role of Chemokine (C–X–C Motif) Ligand 10 (CXCL10) in Renal Diseases. Mediat. Inflamm. 2020, 2020, 194864. [Google Scholar] [CrossRef]
- Trotta, T.; Costantini, S.; Colonna, G. Modelling of the Membrane Receptor CXCR3 and Its Complexes with CXCL9, CXCL10 and CXCL11 Chemokines: Putative Target for New Drug Design. Mol. Immunol. 2009, 47, 332–339. [Google Scholar] [CrossRef]
- Wang, X.; Zhang, Y.; Wang, S.; Ni, H.; Zhao, P.; Chen, G.; Xu, B.; Yuan, L. The role of CXCR3 and its ligands in cancer. Front. Oncol. 2022, 12, 1022688. [Google Scholar] [CrossRef]
- Wang, D. The essential role of G protein-coupled receptor (GPCR) signaling in regulating T cell immunity. Immunopharmacol. Immunotoxicol. 2018, 40, 187–192. [Google Scholar] [CrossRef]
- Reynders, N.; Abboud, D.; Baragli, A.; Noman, M.Z.; Rogister, B.; Niclou, S.P.; Heveker, N.; Janji, B.; Hanson, J.; Szpakowska, M.; et al. The Distinct Roles of CXCR3 Variants and Their Ligands in the Tumor Microenvironment. Cells 2019, 8, 613. [Google Scholar] [CrossRef]
- Hsu, P.-C.; Pei, J.-S.; Chen, C.-C.; Chang, W.-S.; Kuo, C.-C.; Cheng, S.-P.; Tsai, C.-W.; Bau, D.-T.; Gong, C.-L. Association of Matrix Metallopeptidase-2 Promoter Polymorphisms with the Risk of Childhood Leukemia. Anticancer Res. 2019, 39, 1185–1190. [Google Scholar] [CrossRef]
- Chen, D.-W.; Fan, J.-M.; Schrey, J.M.; Mitchell, D.V.; Jung, S.K.; Hurwitz, S.N.; Perez, E.B.; Muraro, M.J.; Carroll, M.; Taylor, D.M.; et al. Inflammatory Recruitment of Healthy Hematopoietic Stem and Progenitor Cells in the Acute Myeloid Leukemia Niche. Leukemia 2024, 38, 741–750. [Google Scholar] [CrossRef]
- Mohammadi, M.; Shamsasenjan, K.; Akbarzadehlaleh, P. The Angiogenic Chemokines Expression Profile of Myeloid Cell Lines Co-Cultured with Bone Marrow-Derived Mesenchymal Stem Cells. Cell J. 2018, 20, 19–24. [Google Scholar] [CrossRef]
- Peng, D.; Kryczek, I.; Nagarsheth, N.; Zhao, L.; Wei, S.; Wang, W.; Sun, Y.; Zhao, E.; Vatan, L.; Szeliga, W.; et al. Epigenetic Silencing of TH1-Type Chemokines Shapes Tumour Immunity and Immunotherapy. Nature 2015, 527, 249–253. [Google Scholar] [CrossRef]
- Nagarsheth, N.; Peng, D.; Kryczek, I.; Wu, K.; Li, W.; Zhao, E.; Zhao, L.; Wei, S.; Frankel, T.; Vatan, L.; et al. PRC2 Epigenetically Silences Th1-Type Chemokines to Suppress Effector T-Cell Trafficking in Colon Cancer. Cancer Res. 2016, 76, 275–282. [Google Scholar] [CrossRef]
- Nagarsheth, N.; Wicha, M.S.; Zou, W. Chemokines in the Cancer Microenvironment and Their Relevance in Cancer Immunotherapy. Nat. Rev. Immunol. 2017, 17, 559–572. [Google Scholar] [CrossRef] [PubMed]
- Van Etten, R.A. Aberrant Cytokine Signaling in Leukemia. Oncogene 2007, 26, 6738–6749. [Google Scholar] [CrossRef] [PubMed]
- Srinagesh, H.K.; Jackson, C.; Shiraz, P.; Jeyakumar, N.; Hamilton, M.P.; Egeler, E.; Mavroukakis, S.; Kuo, A.; Cancilla, J.; Sahaf, B.; et al. A Phase 1 Clinical Trial of NKTR-255 with CD19-22 CAR T-Cell Therapy for Refractory B-Cell Acute Lymphoblastic Leukemia. Blood 2024, 144, 1689–1698. [Google Scholar] [CrossRef]
- Hohtari, H.; Brück, O.; Blom, S.; Turkki, R.; Sinisalo, M.; Kovanen, P.E.; Kallioniemi, O.; Pellinen, T.; Porkka, K.; Mustjoki, S. Immune Cell Constitution in Bone Marrow Microenvironment Predicts Outcome in Adult ALL. Leukemia 2019, 33, 1570–1582. [Google Scholar] [CrossRef] [PubMed]
- Lee, Y.; Chittezhath, M.; André, V.; Zhao, H.; Poidinger, M.; Biondi, A.; D’Amico, G.; Biswas, S.K. Protumoral Role of Monocytes in Human B-Cell Precursor Acute Lymphoblastic Leukemia: Involvement of the Chemokine CXCL10. Blood 2012, 119, 227–237. [Google Scholar] [CrossRef] [PubMed]
- Magalhães-Gama, F.; Kerr, M.W.A.; de Araújo, N.D.; Ibiapina, H.N.S.; Neves, J.C.F.; Hanna, F.S.A.; Xabregas, L.d.A.; Carvalho, M.P.S.S.; Alves, E.B.; Tarragô, A.M.; et al. Imbalance of Chemokines and Cytokines in the Bone Marrow Microenvironment of Children with B-Cell Acute Lymphoblastic Leukemia. J. Oncol. 2021, 2021, 530650. [Google Scholar] [CrossRef]
- Kerr, M.W.A.; Magalhães-Gama, F.; Ibiapina, H.N.S.; Hanna, F.S.A.; Xabregas, L.A.; Alves, E.B.; Pimentel, J.P.D.; Carvalho, M.P.S.S.; Tarragô, A.M.; Teixeira-Carvalho, A.; et al. Bone Marrow Soluble Immunological Mediators as Clinical Prognosis Biomarkers in B-Cell Acute Lymphoblastic Leukemia Patients Undergoing Induction Therapy. Front. Oncol. 2021, 11, 696032. [Google Scholar] [CrossRef]
- Gómez, A.M.; Martínez, C.; González, M.; Luque, A.; Melen, G.J.; Martínez, J.; Hortelano, S.; Lassaletta, Á.; Madero, L.; Ramírez, M. Chemokines and Relapses in Childhood Acute Lymphoblastic Leukemia: A Role in Migration and in Resistance to Antileukemic Drugs. Blood Cells Mol. Dis. 2015, 55, 220–227. [Google Scholar] [CrossRef]
- Aref, S.; Gouda, E.; Al Tantawy, A.; Aref, A.; Ayed, M. Soluble Bone Marrow CXCL-10: A Novel Biomarker for B-Acute Lymphoblastic Leukemia’s Response to Induction Chemotherapy. Comp. Clin. Pathol. 2022, 32, 29–35. [Google Scholar] [CrossRef]
- Zhang, X.-L.; Komada, Y.; Chipeta, J.; Li, Q.-S.; Inaba, H.; Azuma, E.; Yamamoto, H.; Sakurai, M. Intracellular Cytokine Profile of T Cells from Children with Acute Lymphoblastic Leukemia. Cancer Immunol. Immunother. 2000, 49, 165–172. [Google Scholar] [CrossRef]
- Luczyński, W.; Stasiak-Barmuta, A.; Krawczuk-Rybak, M.; Malinowska, I. Assessment of Selected Co-Stimulatory, Adhesion and Activatory Molecules and Cytokines of Th(1)/Th(2) Balance in Acute Lymphoblastic Leukemia in Children. Arch. Immunol. Ther. Exp. 2005, 53, 357–363. [Google Scholar]
- Wu, C.-P.; Qing, X.; Wu, C.-Y.; Zhu, H.; Zhou, H.-Y. Immunophenotype and Increased Presence of CD4+CD25+ Regulatory T Cells in Patients with Acute Lymphoblastic Leukemia. Oncol. Lett. 2012, 3, 421–424. [Google Scholar] [CrossRef]
- Bhattacharya, K.; Chandra, S.; Mandal, C. Critical Stoichiometric Ratio of CD4(+) CD25(+) FoxP3(+) Regulatory T Cells and CD4(+) CD25(-) Responder T Cells Influence Immunosuppression in Patients with B-Cell Acute Lymphoblastic Leukaemia. Immunology 2014, 142, 124–139. [Google Scholar] [CrossRef]
- Carvalho, M.P.S.S.; Magalhães-Gama, F.; Loiola, B.P.; Neves, J.C.F.; Araújo, N.D.; Silva, F.S.; Catão, C.L.S.; Alves, E.B.; Pimentel, J.P.D.; Barbosa, M.N.S.; et al. Systemic Immunological Profile of Children with B-Cell Acute Lymphoblastic Leukemia: Performance of Cell Populations and Soluble Mediators as Serum Biomarkers. Front. Oncol. 2023, 13, 1290505. [Google Scholar] [CrossRef]
- Klein, G.; Vellenga, E.; Fraaije, M.; Kamps, W.; de Bont, E. The Possible Role of Matrix Metalloproteinase (MMP)-2 and MMP-9 in Cancer, e.g. Acute Leukemia. Crit. Rev. Oncol./Hematol. 2004, 50, 87–100. [Google Scholar] [CrossRef]
- Saleh, M.; Khalil, M.; Abdellateif, M.S.; Ebeid, E.; Madney, Y.; Kandeel, E.Z. Role of Matrix Metalloproteinase MMP-2, MMP-9 and Tissue Inhibitor of Metalloproteinase (TIMP-1) in the Clinical Progression of Pediatric Acute Lymphoblastic Leukemia. Hematology 2021, 26, 758–768. [Google Scholar] [CrossRef] [PubMed]
- Krawczuk-Rybak, M.; Kuźmicz, M.; Mroczko, B.; Szmitkowski, M. Plasma Matrix Metalloproteinases MMP-2 and MMP-9 and Tissue Inhibitors TIMP-1 and TIMP-2 in Children Treated for Acute Lymphoblastic Leukemia. Pol. Merkur. Lek. Organ Pol. Tow. Lek. 2010, 29, 14–18. [Google Scholar]
- Pei, J.-S.; Chou, A.-K.; Hsu, P.-C.; Tsai, C.-W.; Chang, W.-S.; Wu, M.-F.; Wu, M.-H.; Hsia, T.-C.; Cheng, S.-P.; Bau, D.-T. Contribution of Matrix Metalloproteinase-7 Genotypes to the Risk of Non-Solid Tumor, Childhood Leukemia. Anticancer Res. 2017, 37, 6679–6684. [Google Scholar] [CrossRef][Green Version]
- Lynch, C.C.; Mc Donnell, S. The Role of Matrilysin (MMP-7) in Leukaemia Cell Invasion. Clin. Exp. Metastasis 2000, 18, 401–406. [Google Scholar] [CrossRef] [PubMed]
- Méndez-Ferrer, S.; Bonnet, D.; Steensma, D.P.; Hasserjian, R.P.; Ghobrial, I.M.; Gribben, J.G.; Andreeff, M.; Krause, D.S. Bone Marrow Niches in Haematological Malignancies. Nat. Rev. Cancer 2020, 20, 285–298. [Google Scholar] [CrossRef]
- Kuek, V.; Hughes, A.M.; Kotecha, R.S.; Cheung, L.C. Therapeutic Targeting of the Leukaemia Microenvironment. Int. J. Mol. Sci. 2021, 22, 6888. [Google Scholar] [CrossRef] [PubMed]
- Perzolli, A.; Koedijk, J.B.; Zwaan, C.M.; Heidenreich, O. Targeting the Innate Immune System in Pediatric and Adult AML. Leukemia 2024, 38, 1191–1201. [Google Scholar] [CrossRef] [PubMed]
- Mumme, H.; Thomas, B.E.; Bhasin, S.S.; Krishnan, U.; Dwivedi, B.; Perumalla, P.; Sarkar, D.; Ulukaya, G.B.; Sabnis, H.S.; Park, S.I.; et al. Single-Cell Analysis Reveals Altered Tumor Microenvironments of Relapse- and Remission-Associated Pediatric Acute Myeloid Leukemia. Nat. Commun. 2023, 14, 6209. [Google Scholar] [CrossRef] [PubMed]
- Dreyzin, A.; Rankin, A.W.; Luciani, K.; Gavrilova, T.; Shah, N.N. Overcoming the Challenges of Primary Resistance and Relapse after CAR-T Cell Therapy. Expert Rev. Clin. Immunol. 2024, 20, 745–763. [Google Scholar] [CrossRef] [PubMed]



| Patient | Type of All | % of Blasts in Bone Marrow at Diagnosis | % of Blasts in Peripheral Blood at Diagnosis | Genetic Risk Factors | Significant Co-Existing Diseases |
|---|---|---|---|---|---|
| 1 | ALL B-common | 77.3% | 1.5% | - | Hypoimmunoglobulinemia IgM and IgA; NF-1 susp. |
| 2 | ALL B-common | 39.1% | 45.4% | - | - |
| 3 | ALL B-common | 89.3% | 30.9% | - | - |
| 4 | ALL B-common | 97.8% | 49% | - | - |
| 5 | ALL B-common | 90.2% | 10% | - | - |
| 6 | ALL B-common | 72.9% | 0.00% | - | - |
| 7 | ALL B-common | 70% | 80.8% | - | - |
| 8 | ALL B-common | 61.8% | 0.00% | - | - |
| 9 | ALL B-common | 97.6% | 68% | - | - |
| 10 | ALL B-common | 81.8% | - | - | - |
| 11 | ALL B-common | 79.4% | 8.8% | - | pathological fracture of Th11; arterial hypertension |
| 12 | ALL B-common | 82.8% | - | - | alopecia areata |
| 13 | ALL B-common | 86.4% | 14% | - | - |
| 14 | ALL B-common | 90.5% | 0.00% | - | - |
| 15 | ALL B-common | 27.4% | 0.00% | rearrangement of E2A gene | - |
| 16 | ALL B-common | 89.2% | 71% | - | - |
| 17 | ALL B-common | 87.6% | 2% | - | arterial hypertension |
| 18 | ALL B-common | 84.8% | 40% | Ikaros gene | - |
| 19 | ALL B-common | 75% | - | - | - |
| 20 | ALL B-common | 95% | - | - | - |
| 21 | ALL B-common | 84% | 76.2% | BCR/ABL (Ph+) | psychomotor hyperactivity |
| 22 | ALL B-common | 38.9% | 0.00% | - | - |
| 23 | ALL B-common | 67.6% | 0.00% | - | status after treatment of hemophagocytic syndrome |
| 24 | ALL B-common | 57.8% | 43.4% | - | - |
| 25 | ALL pre-B | 94.7% | 23.7% | - | - |
| 26 | ALL pre-B | 86.8% | 78% | rearrangement of the MLL gene | pneumonia |
| 27 | ALL pro-B | 72.8% | 41.3% | - | - |
| 28 | ALL T-cell | 77% | 19% | deletion of TP53; unbalanced, complex karyotype | pilonidal cyst of the intergluteal cleft (status post 3 surgeries) |
| 29 | ALL T-cell | 29.9% | 16.8% | - | - |
| 30 | ALL pre-T | 86.4% | 94% | - | - |
| 31 | ALL pro-T | 92% | 71% | - | - |
| N | Median | Minimum | Maximum | Lower Quartile | Upper Quartile | |
|---|---|---|---|---|---|---|
| Age at diagnosis [years] | 31 | 5.00 | 1.25 | 14.50 | 2.50 | 8.50 |
| Sex [F/M] | 13/18 (41.9%/58.1%) | |||||
| Patient | Day of Treatment | Response to Treatment | Risk Group | Significant Co-Existing Diagnosis at the Time of Sample Collection |
|---|---|---|---|---|
| 1 | 33 | Remission | IR | Neuropathy after VCR; steroid diabetes; arterial hypertension |
| 2 | 33 | Remission | SR | Neuropathy after VCR; steroid diabetes; arterial hypertension; stomatitis |
| 3 | 33 | Remission | IR | - |
| 4 | 33 | Remission | IR | Fournier’s syndrome |
| 5 | 33 | Remission | IR | - |
| 6 | 33 | Remission | IR | Anal fissure with proctitis; stomatitis; hepatomegaly; fever |
| 7 | 33 | Remission | IR | - |
| 8 | 33 | Remission | IR | - |
| 9 | 33 | Remission | SR | Arterial hypertension; constipation; parenteral nutrition; drug-induced adrenal insufficiency; hypertriglyceridemia |
| 10 | 33 | Remission | IR | Two anal fissures |
| 11 | 33 | (+) MRD | Early HR | - |
| 12 | 33 | Remission | IR | Drug-induced adrenal insufficiency |
| 13 | 33 | Remission | IR | - |
| 14 | 33 | Remission | IR | Drug-induced adrenal insufficiency; hypertriglyceridemia; UTI |
| 15 | 33 | Remission | IR | - |
| 16 | 33 | Remission | IR | Status post VOD |
| 17 | 33 | Remission | IR | - |
| 18 | 33 | (+) MRD | Early HR | - |
| 19 | 33 | Remission | IR | - |
| 20 | 33 | Remission | Early non-HR | Condition after lobectomy due to invasive pulmonary fungal infection |
| 21 | 33 | Remission | IR | - |
| 22 | 33 | Remission | IR | - |
| 23 | - | - | - | - |
| 24 | - | - | - | - |
| 25 | 33 | Remission | SR | Drug-induced adrenal insufficiency |
| 26 | 33 | Remission | IR | Drug-induced adrenal insufficiency |
| 27 | 33 | Remission | IR | - |
| 28 | 33 | (+) MRD | Early HR | Stomatitis |
| 29 | 33 | Remission | IR | Drug-induced adrenal insufficiency; hypertriglyceridemia; UTI |
| 30 | 33 | Remission | IR | Cholestasis |
| 31 | 33 | (+) MRD | Early HR | CVC infection of E. coli ethology |
| Day 0 | Day 33 | P (Wilcoxon Test) | ||||
|---|---|---|---|---|---|---|
| N | M (25Q ÷ 75Q) | 95%CI | M (25Q ÷ 75Q) | 95%CI | ||
| MMP2 [ng/mL] | 29 | 292.0 (180.0 ÷ 514.0) | 100.0–1265.0 | 396.0 (252.0 ÷ 696.0) | 90.0–970.0 | 0.261 |
| MMP7 [ng/mL] | 29 | 2.18 (1.48 ÷ 4.36) | 1.18–11.66 | 1.92 (1.4 ÷ 2.58) | 0.84–19.88 | 0.469 |
| TIMP2 [ng/mL] | 29 | 210.0 (147.7 ÷ 296.0) | 122.0–401.0 | 193.0 (152 ÷ 286.0) | 58.0–505.0 | 0.475 |
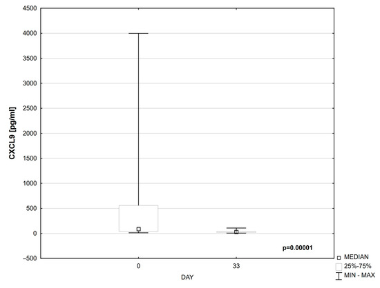
| CXCL9 [pg/mL] | 29 | 87.9 (39.8 ÷ 390.6) | 12.9–3997.5 | 29.6 (21.1 ÷ 36.2) | 4.9–53.1 | 0.00001 |
| CXCL10 [pg/mL] | 29 | 134.3 (71.0 ÷ 259.8) | 31.9–601.3 | 29.0 (22.2 ÷ 39.3) | 18.3–192.2 | 0.00010 |
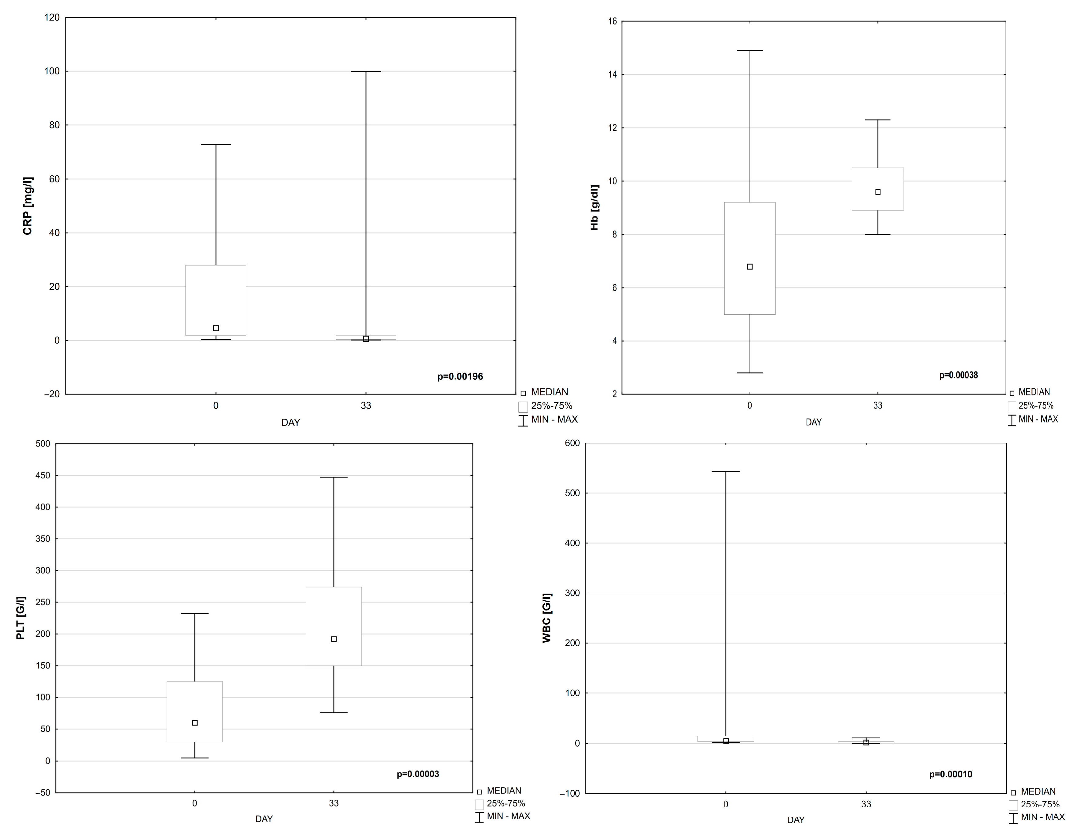
| CRP [mg/L] | 29 | 4.62 (1.81 ÷ 27.9) | 0.40–70.27 | 0.700 (0.4 ÷ 1.79) | 0.390–34.86 | 0.00196 |
| Hgb [g/dL] | 29 | 6.80 (5.0 ÷ 9.2) | 2.80–12.30 | 9.60 (8.9 ÷ 10.5) | 8.10–12.00 | 0.00038 |
| PLT [G/L] | 29 | 60.0 (30.0 ÷ 125.0) | 8.0–222.0 | 192.0 (154 ÷ 274.0) | 83.0–437.0 | 0.00003 |
| WBC [G/L] | 29 | 5.31 (3.41 ÷ 14.72) | 1.81–218.02 | 2.09 (1.07 ÷ 3.34) | 0.45–10.98 | 0.00010 |
| Fibrynogene [G/L] | 29 | 2.67 (2.44 ÷ 3.96) | 1.59–5.83 | 1.10 (0.88 ÷ 1.34) | 0.56–4.04 | 0.00019 |
| Protrombine indexy [%] | 29 | 94.0 (90.0 ÷ 101.0) | 75.0–104.0 | 89.0 (82–96.0) | 69.0–106.0 | 0.0716 |
| AlAT [U/L] | 29 | 13.0 (9.0 ÷ 23.0) | 5.0–92.0 | 42.0 (34 ÷ 90.6) | 13.0–132.0 | 0.00048 |
| ΔMMP2 | ΔMMP7 | ΔTIMP2 | ΔCXCL9 | ΔCXCL10 | |||||||||||
|---|---|---|---|---|---|---|---|---|---|---|---|---|---|---|---|
| N | R | P | N | R | P | N | R | P | N | R | P | N | R | P | |
| Age [years] | 29 | −0.14 | 0.459 | 29 | −0.28 | 0.142 | 29 | −0.28 | 0.134 | 29 | 0.05 | 0.784 | 29 | 0.05 | 0.802 |
| % blasts in bone marrow | 29 | 0.35 | 0.0588 | 29 | 0.28 | 0.148 | 29 | 0.02 | 0.906 | 29 | −0.05 | 0.784 | 29 | 0.35 | 0.0643 |
| % blasts in peripheral blood | 25 | 0.23 | 0.268 | 25 | −0.11 | 0.589 | 25 | 0.28 | 0.172 | 25 | −0.03 | 0.904 | 25 | 0.20 | 0.326 |
| CRP [mg/L] | 29 | 0.43 | 0.0184 | 29 | −0.02 | 0.911 | 29 | 0.11 | 0.569 | 29 | −0.08 | 0.690 | 29 | −0.06 | 0.765 |
| LDH [U/L] | 29 | 0.13 | 0.513 | 29 | −0.22 | 0.253 | 29 | −0.07 | 0.736 | 29 | 0.01 | 0.972 | 29 | 0.03 | 0.861 |
| Uric acid [mg/dL] | 29 | 0.29 | 0.132 | 29 | 0.00 | 1.000 | 29 | −0.22 | 0.256 | 29 | 0.32 | 0.0931 | 29 | 0.28 | 0.136 |
| MMP2 | MMP7 | TIMP2 | CXCL9 | CXCL10 | |||||||||||
|---|---|---|---|---|---|---|---|---|---|---|---|---|---|---|---|
| N | R | P | N | R | P | N | R | P | N | R | P | N | R | P | |
| Age [years] | 31 | 0.24 | 0.190 | 31 | −0.03 | 0.853 | 31 | 0.20 | 0.285 | 31 | −0.02 | 0.931 | 31 | −0.07 | 0.698 |
| % blasts in bone marrow | 31 | −0.21 | 0.266 | 31 | −0.21 | 0.248 | 31 | −0.19 | 0.299 | 31 | 0.10 | 0.602 | 31 | −0.31 | 0.0852 |
| % blasts in peripheral blood | 27 | −0.18 | 0.380 | 27 | 0.33 | 0.0887 | 27 | 0.05 | 0.811 | 27 | −0.02 | 0.923 | 27 | −0.30 | 0.131 |
| CRP [mg/L] | 31 | −0.39 | 0.0288 | 31 | 0.27 | 0.147 | 31 | −0.21 | 0.265 | 31 | 0.07 | 0.706 | 31 | −0.03 | 0.878 |
| LDH [U/L] | 31 | 0.14 | 0.451 | 31 | 0.17 | 0.351 | 31 | −0.01 | 0.959 | 31 | 0.19 | 0.317 | 31 | 0.15 | 0.413 |
| Uric acid [mg/dL] | 31 | −0.17 | 0.371 | 31 | 0.23 | 0.222 | 31 | −0.09 | 0.620 | 31 | −0.26 | 0.161 | 31 | −0.27 | 0.144 |
Disclaimer/Publisher’s Note: The statements, opinions and data contained in all publications are solely those of the individual author(s) and contributor(s) and not of MDPI and/or the editor(s). MDPI and/or the editor(s) disclaim responsibility for any injury to people or property resulting from any ideas, methods, instructions or products referred to in the content. |
© 2025 by the authors. Licensee MDPI, Basel, Switzerland. This article is an open access article distributed under the terms and conditions of the Creative Commons Attribution (CC BY) license (https://creativecommons.org/licenses/by/4.0/).
Share and Cite
Kaczorowska, A.; Miękus-Purwin, N.; Owczarzak, A.; Gabrych, A.; Wojciechowska, M.; Irga-Jaworska, N.; Małgorzewicz, S.; Rąpała, M.; Stefanowicz, J. Selected Elements of the Tumor Microenvironment (MMP-2, MMP-7, TIMP-2, CXCL-9, CXCL-10) in the Serum of Pediatric Patients with Acute Lymphoblastic Leukemia. Cells 2025, 14, 297. https://doi.org/10.3390/cells14040297
Kaczorowska A, Miękus-Purwin N, Owczarzak A, Gabrych A, Wojciechowska M, Irga-Jaworska N, Małgorzewicz S, Rąpała M, Stefanowicz J. Selected Elements of the Tumor Microenvironment (MMP-2, MMP-7, TIMP-2, CXCL-9, CXCL-10) in the Serum of Pediatric Patients with Acute Lymphoblastic Leukemia. Cells. 2025; 14(4):297. https://doi.org/10.3390/cells14040297
Chicago/Turabian StyleKaczorowska, Aleksandra, Natalia Miękus-Purwin, Anna Owczarzak, Anna Gabrych, Małgorzata Wojciechowska, Ninela Irga-Jaworska, Sylwia Małgorzewicz, Małgorzata Rąpała, and Joanna Stefanowicz. 2025. "Selected Elements of the Tumor Microenvironment (MMP-2, MMP-7, TIMP-2, CXCL-9, CXCL-10) in the Serum of Pediatric Patients with Acute Lymphoblastic Leukemia" Cells 14, no. 4: 297. https://doi.org/10.3390/cells14040297
APA StyleKaczorowska, A., Miękus-Purwin, N., Owczarzak, A., Gabrych, A., Wojciechowska, M., Irga-Jaworska, N., Małgorzewicz, S., Rąpała, M., & Stefanowicz, J. (2025). Selected Elements of the Tumor Microenvironment (MMP-2, MMP-7, TIMP-2, CXCL-9, CXCL-10) in the Serum of Pediatric Patients with Acute Lymphoblastic Leukemia. Cells, 14(4), 297. https://doi.org/10.3390/cells14040297

