In Vitro and Ex Vivo Kinetic Release Profile of Growth Factors and Cytokines from Leucocyte- and Platelet-Rich Fibrin (L-PRF) Preparations
Abstract
:1. Introduction
2. Materials and Methods
2.1. Blood Collection
2.2. Preparation of L-PRF Clots
2.3. Plasma Preparation and Complete Blood Count
2.4. In Vitro Release from L-PRF Membrane
2.5. Multiplex Assays
2.6. Ex Vivo Recovery
2.7. Statistical Analysis
3. Results
3.1. Platelet and WBC Counts
3.2. Quantification of GFs, MMPs, and Cytokines in Plasma and L-PRF Exudate
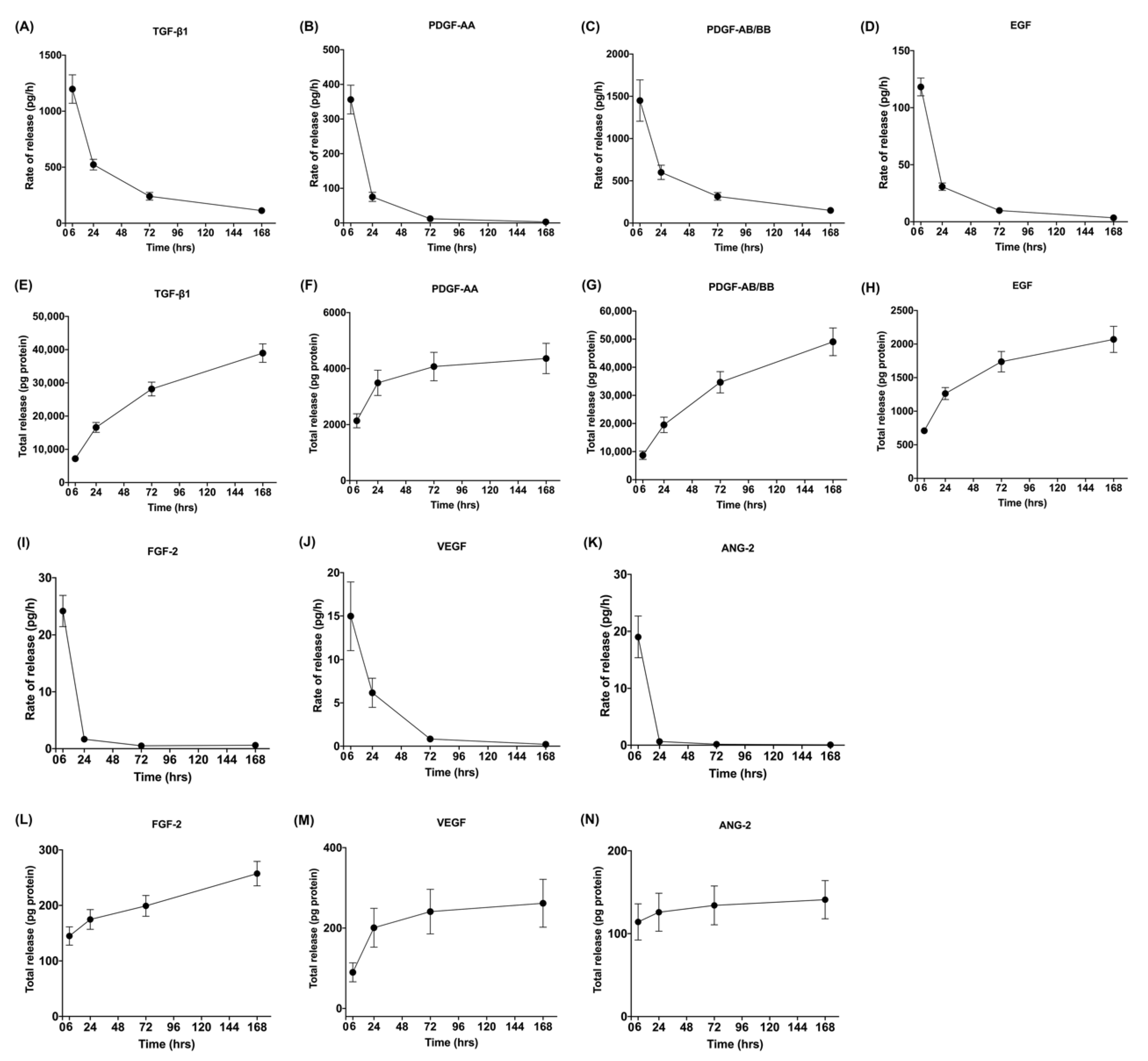
3.3. Quantification of GFs, Cytokines, and MMPs In Vitro Released from L-PRF over Time
3.4. Heatmap Analysis
3.5. Recovery of GFs in L-PRF Membrane and Exudate
3.6. Comparison of In Vitro and Ex Vivo Patterns of Growth Factor Release
4. Discussion
5. Conclusions
Author Contributions
Funding
Institutional Review Board Statement
Informed Consent Statement
Data Availability Statement
Conflicts of Interest
References
- Panda, S.; Karanxha, L.; Goker, F.; Satpathy, A.; Taschieri, S.; Francetti, L.; Das, A.C.; Kumar, M.; Panda, S.; Fabbro, M.D. Autologous Platelet Concentrates in Treatment of Furcation Defects-A Systematic Review and Meta-Analysis. Int. J. Mol. Sci. 2019, 20, 1347. [Google Scholar] [CrossRef] [Green Version]
- Miron, R.J.; Fujioka-Kobayashi, M.; Hernandez, M.; Kandalam, U.; Zhang, Y.; Ghanaati, S.; Choukroun, J. Injectable platelet rich fibrin (i-PRF): Opportunities in regenerative dentistry? Clin. Oral Investig. 2017, 21, 2619–2627. [Google Scholar] [CrossRef]
- Ding, Z.Y.; Tan, Y.; Peng, Q.; Zuo, J.; Li, N. Novel applications of platelet concentrates in tissue regeneration (Review). Exp. Ther. Med. 2021, 21, 226. [Google Scholar] [CrossRef]
- Kim, J.H.; Park, Y.B.; Ha, C.W.; Roh, Y.J.; Park, J.G. Adverse Reactions and Clinical Outcomes for Leukocyte-Poor Versus Leukocyte-Rich Platelet-Rich Plasma in Knee Osteoarthritis: A Systematic Review and Meta-analysis. Orthop. J. Sports Med. 2021, 9, 23259671211011948. [Google Scholar] [CrossRef]
- Panda, S.; Mishra, L.; Arbildo-Vega, H.I.; Lapinska, B.; Lukomska-Szymanska, M.; Khijmatgar, S.; Parolia, A.; Bucchi, C.; Fabbro, M.D. Effectiveness of Autologous Platelet Concentrates in Management of Young Immature Necrotic Permanent Teeth-A Systematic Review and Meta-Analysis. Cells 2020, 9, 2241. [Google Scholar] [CrossRef]
- Qu, C.; Luo, F.; Hong, G.; Wan, Q. Effects of platelet concentrates on implant stability and marginal bone loss: A systematic review and meta-analysis. BMC Oral Health 2021, 21, 579. [Google Scholar] [CrossRef]
- Miron, R.J.; Zucchelli, G.; Pikos, M.A.; Salama, M.; Lee, S.; Guillemette, V.; Fujioka-Kobayashi, M.; Bishara, M.; Zhang, Y.; Wang, H.L.; et al. Use of platelet-rich fibrin in regenerative dentistry: A systematic review. Clin. Oral Investig. 2017, 21, 1913–1927. [Google Scholar] [CrossRef]
- Canellas, J.; Medeiros, P.J.D.; Figueredo, C.; Fischer, R.G.; Ritto, F.G. Platelet-rich fibrin in oral surgical procedures: A systematic review and meta-analysis. Int. J. Oral Maxillofac. Surg. 2019, 48, 395–414. [Google Scholar] [CrossRef] [Green Version]
- Ghanaati, S.; Herrera-Vizcaino, C.; Al-Maawi, S.; Lorenz, J.; Miron, R.J.; Nelson, K.; Schwarz, F.; Choukroun, J.; Sader, R. Fifteen Years of Platelet Rich Fibrin in Dentistry and Oromaxillofacial Surgery: How High is the Level of Scientific Evidence? J. Oral Implantol. 2018, 44, 471–492. [Google Scholar] [CrossRef]
- Serafini, G.; Lollobrigida, M.; Fortunato, L.; Mazzucchi, G.; Lamazza, L.; Di Nardo, D.; Vozza, I.; Riminucci, M.; De Biase, A. Postextractive Alveolar Ridge Preservation Using L-PRF: Clinical and Histological Evaluation. Case Rep. Dent. 2020, 2020, 5073519. [Google Scholar] [CrossRef]
- Yajamanya, S.R.; Chatterjee, A.; Babu, C.N.; Karunanithi, D. Fibrin network pattern changes of platelet-rich fibrin in young versus old age group of individuals: A cell block cytology study. J. Indian Soc. Periodontol. 2016, 20, 151–156. [Google Scholar] [CrossRef]
- Eren, G.; Gürkan, A.; Atmaca, H.; Dönmez, A.; Atilla, G. Effect of centrifugation time on growth factor and MMP release of an experimental platelet-rich fibrin-type product. Platelets 2016, 27, 427–432. [Google Scholar] [CrossRef]
- Jasmine, S.; Thangavelu, A.; Krishnamoorthy, R.; Alshuniaber, M.A.; Alshatwi, A.A. Cytokine Expression Pattern and Protein-Protein interaction network analysis of Leucocyte Rich Platelet Rich Fibrin and Injectable Form of Platelet Rich Fibrin. Oral Maxillofac. Surg. 2021, 25, 223–229. [Google Scholar] [CrossRef]
- Heher, P.; Mühleder, S.; Mittermayr, R.; Redl, H.; Slezak, P. Fibrin-based delivery strategies for acute and chronic wound healing. Adv. Drug Deliv. Rev. 2018, 129, 134–147. [Google Scholar] [CrossRef]
- Kobayashi, E.; Flückiger, L.; Fujioka-Kobayashi, M.; Sawada, K.; Sculean, A.; Schaller, B.; Miron, R.J. Comparative release of growth factors from PRP, PRF, and advanced-PRF. Clin. Oral Investig. 2016, 20, 2353–2360. [Google Scholar] [CrossRef]
- Dohan Ehrenfest, D.M.; de Peppo, G.M.; Doglioli, P.; Sammartino, G. Slow release of growth factors and thrombospondin-1 in Choukroun’s platelet-rich fibrin (PRF): A gold standard to achieve for all surgical platelet concentrates technologies. Growth Factors 2009, 27, 63–69. [Google Scholar] [CrossRef]
- Wang, X.; Fok, M.R.; Pelekos, G.; Jin, L.; Tonetti, M.S. Increased local concentrations of growth factors from leucocyte and platelet rich fibrin do not translate into improved alveolar ridge preservation: A randomized intraindividual mechanistic clinical trial. J. Clin. Periodontol. 2022. [Google Scholar] [CrossRef]
- Temmerman, A.; Vandessel, J.; Castro, A.; Jacobs, R.; Teughels, W.; Pinto, N.; Quirynen, M. The use of leucocyte and platelet-rich fibrin in socket management and ridge preservation: A split-mouth, randomized, controlled clinical trial. J. Clin. Periodontol. 2016, 43, 990–999. [Google Scholar] [CrossRef]
- Peterson, J.E.; Zurakowski, D.; Italiano, J.E., Jr.; Michel, L.V.; Fox, L.; Klement, G.L.; Folkman, J. Normal ranges of angiogenesis regulatory proteins in human platelets. Am. J. Hematol. 2010, 85, 487–493. [Google Scholar] [CrossRef]
- Lev-Ran, A.; Hwang, D.L.; Snyder, D.S. Human serum and plasma have different sources of epidermal growth factor. Am. J. Physiol. 1990, 259, R545–R548. [Google Scholar] [CrossRef]
- Mulye, N.V.; Turco, S.J. A Simple Model Based on First Order Kinetics to Explain Release of Highly Water Soluble Drugs from Porous Dicalcium Phosphate Dihydrate Matrices. Drug Dev. Ind. Pharm. 1995, 21, 943–953. [Google Scholar] [CrossRef]
- Dohan Ehrenfest, D.M.; Pinto, N.R.; Pereda, A.; Jiménez, P.; Corso, M.D.; Kang, B.S.; Nally, M.; Lanata, N.; Wang, H.L.; Quirynen, M. The impact of the centrifuge characteristics and centrifugation protocols on the cells, growth factors, and fibrin architecture of a leukocyte- and platelet-rich fibrin (L-PRF) clot and membrane. Platelets 2018, 29, 171–184. [Google Scholar] [CrossRef] [PubMed]
- Castro, A.B.; Cortellini, S.; Temmerman, A.; Li, X.; Pinto, N.; Teughels, W.; Quirynen, M. Characterization of the Leukocyte- and Platelet-Rich Fibrin Block: Release of Growth Factors, Cellular Content, and Structure. Int. J. Oral Maxillofac. Implant. 2019, 34, 855–864. [Google Scholar] [CrossRef]
- Barrientos, S.; Stojadinovic, O.; Golinko, M.S.; Brem, H.; Tomic-Canic, M. Growth factors and cytokines in wound healing. Wound Repair Regen. 2008, 16, 585–601. [Google Scholar] [CrossRef]
- Ravi, S.; Santhanakrishnan, M. Mechanical, chemical, structural analysis and comparative release of PDGF-AA from L-PRF, A-PRF and T-PRF-an in vitro study. Biomater. Res. 2020, 24, 16. [Google Scholar] [CrossRef]
- Czekanska, E.M.; Ralphs, J.R.; Alini, M.; Stoddart, M.J. Enhancing inflammatory and chemotactic signals to regulate bone regeneration. Eur. Cell Mater. 2014, 28, 320–334. [Google Scholar] [CrossRef]
- Wu, C.L.; Lee, S.S.; Tsai, C.H.; Lu, K.H.; Zhao, J.H.; Chang, Y.C. Platelet-rich fibrin increases cell attachment, proliferation and collagen-related protein expression of human osteoblasts. Aust. Dent. J. 2012, 57, 207–212. [Google Scholar] [CrossRef]
- Witek, L.; Tian, H.; Tovar, N.; Torroni, A.; Neiva, R.; Gil, L.F.; Coelho, P.G. The effect of platelet-rich fibrin exudate addition to porous poly(lactic-co-glycolic acid) scaffold in bone healing: An in vivo study. J. Biomed. Mater. Res. B Appl. Biomater. 2020, 108, 1304–1310. [Google Scholar] [CrossRef]
- Biancotto, A.; Feng, X.; Langweiler, M.; Young, N.S.; McCoy, J.P. Effect of anticoagulants on multiplexed measurement of cytokine/chemokines in healthy subjects. Cytokine 2012, 60, 438–446. [Google Scholar] [CrossRef] [Green Version]
- Miron, R.J.; Dham, A.; Dham, U.; Zhang, Y.; Pikos, M.A.; Sculean, A. The effect of age, gender, and time between blood draw and start of centrifugation on the size outcomes of platelet-rich fibrin (PRF) membranes. Clin. Oral Investig. 2019, 23, 2179–2185. [Google Scholar] [CrossRef]






| Concentration (109/L) Median (Q1–Q3) | Adult Reference Ranges (109/L) | |
|---|---|---|
| Platelet | 295.5 (240.75–324.75) | 150–400 |
| White blood cell | 6.00 (5.13–7.68) | 4.00–11.00 |
| Blood Plasma Median (Q1–Q3) | L-PRF Exudate Median (Q1–Q3) | Fold Changes (L-PRF Exudate/Plasma) | p Value | |
|---|---|---|---|---|
| TGF-β1 (pg/mL) | 4574.25 (2393.63–7234.80) | 14,169.00 (10,737.30–17,356.95) | 3.10 | <0.0001 |
| PDGF-AA (pg/mL) | 309.30 (128.48–417.13) | 1507.81 (1087.01–2063.21) | 4.87 | <0.0001 |
| PDGF-AB/BB (pg/mL) | 2701.45 (1220.95–4043.44) | 6676.02 (6245.01–8360.68) | 2.47 | <0.0001 |
| EGF (pg/mL) | 5.75 (2.90–7.77) | 20.24 (5.43–28.51) | 3.52 | 0.0007 # |
| FGF-2 (pg/mL) | 66.72 (48.36–79.96) | 42.34 (17.83–68.84) | 0.63 | 0.0665 # |
| VEGF (pg/mL) | 4.90 (4.90 *–21.38) | 41.43 (4.90 *–89.75) | 8.46 | 0.0046 # |
| ANG-2 (pg/mL) | 618.15 (444.69–1025.74) | 741.31 (525.68–1208.38) | 1.20 | 0.1084 # |
| MMP-1 (pg/mL) | 137.02 (77.22–199.98) | 633.66 (416.20–980.59) | 4.62 | <0.0001 # |
| MMP-2 (pg/mL) | 9830.76 (8283.60–12,369.32) | 10,864.02 (8925.92–15,183.59) | 1.11 | 0.0004 |
| IL-1β (pg/mL) | 0.66 (0.10 *–1.32) | 0.10 (0.10 *–1.47) | 0.15 | 0.1733 # |
| IL-6 (pg/mL) | 1.46 (0.21 *–6.27) | 2.39 (0.21 *–8.33) | 1.64 | 0.6698 # |
| TNF-α (pg/mL) | 8.04 (6.56–10.12) | 9.99 (6.44–14.63) | 1.24 | 0.0026 # |
| IL-8 (pg/mL) | 5.04 (2.91 *–10.09) | 8.79 (5.00–13.36) | 1.74 | 0.0019 # |
| IL-10 (pg/mL) | 3.26 (2.54–4.36) | 2.31 (1.62 *–3.26) | 0.71 | 0.003 |
| PDGF (PDGF-AA, PDGF-AB/BB) | EGF | FGF-2 | VEGF | |
|---|---|---|---|---|
| Physiological amount of GF per 106 platelets (pg) | 23 | 2.5 | 0.44 | 0.74 |
| Estimated amount of GF per 9 mL of blood (pg, Q1–Q3) | 61,168.5 (49,835.3–67,223.3) | 6648.75 (5416.9–7306.9) | 1170.18 (953.4–1286.0) | 1968.03 (1603.4–2162.8) |
| Total amount released from L-PRF (pg) | 53,412.35 | 2070.12 | 257.34 | 261.67 |
| % Recovery from L-PRF membrane | 87.32% | 31.14% | 21.99% | 13.30% |
| % Recovery from exudate | 10.70% | 0.24% | 2.89% | 1.68% |
| TGF-β1 | PDGF-AA | PDGF-AB/BB | EGF | FGF-2 | VEGF | |
|---|---|---|---|---|---|---|
| Best-fit values | ||||||
| Y0 | 1198 | 356 | 1450 | 118 | 24 | 15 |
| K | 0.025 | 0.045 | 0.026 | 0.040 | 0.056 | 0.032 |
| Half Life | 27.25 | 15.48 | 26.96 | 17.32 | 12.45 | 21.58 |
| Tau | 39.31 | 22.33 | 38.89 | 24.99 | 17.96 | 31.13 |
| 95% CI (profile likelihood) | ||||||
| K | 0.011 to 0.059 | 0.016 to 0.128 | 0.010 to 0.067 | 0.015 to 0.109 | 0.015 to 0.211 | 0.016 to 0.067 |
| Half Life | 11.66 to 61.40 | 5.40 to 43.81 | 10.35 to 67.20 | 6.39 to 46.76 | 3.29 to 47.30 | 10.42 to 43.68 |
| Tau | 16.82 to 88.58 | 7.79 to 63.21 | 14.93 to 96.94 | 9.21 to 67.45 | 4.74 to 68.24 | 15.03 to 63.02 |
| Goodness of Fit | ||||||
| R squared | 0.92 | 0.89 | 0.90 | 0.90 | 0.83 | 0.94 |
| TGF-β1 | PDGF-AA | PDGF-AB/BB | EGF | FGF-2 | VEGF | |
|---|---|---|---|---|---|---|
| Best-fit values | ||||||
| Y0 | 6509 | 206 | 1724 | 455 | 308 | 261 |
| K | 0.029 | 0.025 | 0.020 | 0.035 | 0.060 | 0.004 |
| Half Life | 23.90 | 27.98 | 34.64 | 19.64 | 11.64 | 162.3 |
| Tau | 34.49 | 40.37 | 49.97 | 28.33 | 16.79 | 234.2 |
| 95% CI (profile likelihood) | ||||||
| K | 0.004 to 0.174 | 0.014 to 0.045 | 0.008 to 0.060 | 0.013 to 0.095 | 0.015 to 0.252 | 0.001 to 0.014 |
| Half Life | 3.99 to 160.90 | 15.47 to 49.34 | 11.64 to 91.04 | 7.32 to 51.38 | 2.75 to 47.39 | 50.03 to 31961 |
| Tau | 5.76 to 232.20 | 22.32 to 71.18 | 16.80 to 131.30 | 10.57 to 74.12 | 3.96 to 68.36 | 72.18 to 46111 |
| Goodness of Fit | ||||||
| R squared | 0.63 | 0.96 | 0.87 | 0.90 | 0.82 | 0.48 |
Publisher’s Note: MDPI stays neutral with regard to jurisdictional claims in published maps and institutional affiliations. |
© 2022 by the authors. Licensee MDPI, Basel, Switzerland. This article is an open access article distributed under the terms and conditions of the Creative Commons Attribution (CC BY) license (https://creativecommons.org/licenses/by/4.0/).
Share and Cite
Wang, X.; Fok, M.R.; Pelekos, G.; Jin, L.; Tonetti, M.S. In Vitro and Ex Vivo Kinetic Release Profile of Growth Factors and Cytokines from Leucocyte- and Platelet-Rich Fibrin (L-PRF) Preparations. Cells 2022, 11, 2089. https://doi.org/10.3390/cells11132089
Wang X, Fok MR, Pelekos G, Jin L, Tonetti MS. In Vitro and Ex Vivo Kinetic Release Profile of Growth Factors and Cytokines from Leucocyte- and Platelet-Rich Fibrin (L-PRF) Preparations. Cells. 2022; 11(13):2089. https://doi.org/10.3390/cells11132089
Chicago/Turabian StyleWang, Xuzhu, Melissa R. Fok, George Pelekos, Lijian Jin, and Maurizio S. Tonetti. 2022. "In Vitro and Ex Vivo Kinetic Release Profile of Growth Factors and Cytokines from Leucocyte- and Platelet-Rich Fibrin (L-PRF) Preparations" Cells 11, no. 13: 2089. https://doi.org/10.3390/cells11132089
APA StyleWang, X., Fok, M. R., Pelekos, G., Jin, L., & Tonetti, M. S. (2022). In Vitro and Ex Vivo Kinetic Release Profile of Growth Factors and Cytokines from Leucocyte- and Platelet-Rich Fibrin (L-PRF) Preparations. Cells, 11(13), 2089. https://doi.org/10.3390/cells11132089

