Methods for the Identification of Microclimates for Olive Fruit Fly
Abstract
1. Introduction
Motivation and Contribution
- the collection of a wide-range integrated sensory and manually tagged dataset related to environmental, climate and pests’ information;
- the proposal of an effective and efficient two-stage assignment of sensory records into clusters;
- extensive experimentation using statistical methodologies and neural networks in order to identify microclimates related to the olive fruit fly’s life-cycle.
2. Related Research
2.1. Microclimate Identification
2.2. Climatic Conditions’ Effect on Olive Fruit Fly
3. Integrated Environmental and Pests’ Dataset
4. The Proposed Method
4.1. Statistical Analysis for Microclimates’ Grouping
- Canopy ([36]), an un-grouped pre-clustering algorithm that partitions input data into proximity regions (canopies) in the form of hyperspheres.
- EM ([39]), a probabilistic grouping algorithm that assigns each observation with a probability distribution indicating the likelihood of belonging to each of the examined groups.
- FartherstFirst algorithm ([40]), based on a sequence of points the first of which is selected arbitrarily while each successive point is as far as possible from the set of previously-selected points.
- FilteredClusterer ([41]), an arbitrary clusterer on data that has been passed through an arbitrary filter the structure of which is based exclusively on the training data.
- HierarchicalClusterer ([41]), a cluster analysis aiming to build a hierarchy of clusters using the agglomerative approach.
- MakeDensityBasedClusterer ([41]), a metaclusterer wrapping clustering algorithms aiming to output a probability distribution and density.
- K-means ([42]), one of the simplest unsupervised learning techniques aimed at dividing observations into k arrays in which each observation belongs to the array with the closest mean.
4.2. Neural Network for New Records’ Classification
5. Experimental Evaluation
5.1. Experimental Setup & Data
5.1.1. Statistical Analysis Grouping
- Temperature
- Minimum temperature of the time series.
- Average temperature of the time series.
- Maximum temperature of the time series.
- Typical temperature deviation of the time series.
- Absolute difference in maximum and minimum temperature.
- Average growth rate from minimum daily temperature to maximum daily temperature.
- Average rate of decrease from maximum daily temperature to local minimum daily temperature.
- Average maximum daily temperature.
- Average minimum daily temperature.
- Average absolute difference between maximum and minimum daily temperature.
- Average degree of similarity of daily temperature time series for "Beach" locations.
- Average degree of similarity of daily temperature time series for "Hill" locations.
- Average degree of similarity of daily temperature time series for "Valley" locations.
- Humidity
- Minimum humidity of the time series.
- Mean humidity of the time series.
- Maximum time series humor.
- Typical moisture deviation of the time series.
- Absolute difference in maximum and minimum humidity.
- Average minimum daily humidity.
- Average maximum daily humidity.
- Mean temperature of the time series.
- Typical temperature deviation of the time series.
- Average minimum daily temperature.
- Average degree of similarity of daily temperature time series for “Beach” locations.
- Average degree of similarity of daily temperature time series for “Hill” locations.
- Average degree of similarity of daily temperature time series for “Valley” locations.
- Mean humidity of the time series.
- Average degree of similarity of daily temperature time series for “Beach” locations.
- Average degree of similarity of daily temperature time series for “Hill” locations.
- Average degree of similarity of daily temperature time series for “Valley” locations.
- Average minimum daily temperature.
- Mean humidity of the time series.
- Mean temperature of the time series.
- Typical temperature deviation of the time series.
5.1.2. NN-Based Classification
5.2. Experimental Results
5.2.1. Results from Statistical Analysis Grouping
5.2.2. Results from NN-Based Classification
5.3. Results’ Discussion
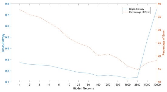
- The variability of the division of the dataset into training, validation and testing subsets, as shown in Figure 10, affects both Cross-entropy and Percentage of error of the classification process but the effect is of limited breadth. For all variations tested, the difference between min and max values were 4.1% for the Cross-entropy and 6.4% for the Percentage of error. In contrast, the variability of the hidden neurons showed a rather significant effect with the difference between min and max values being 64.4% for the Cross-entropy and 23% for the Percentage of error. It is thus crucial for the effectiveness of the proposed methodology to identify the size of hidden neurons that keep both Cross-entropy and Percentage of error at their lowest values.
- The performance of the classification in absolute values was shown to be high based on both the Cross-entropy and Percentage of error results obtained. Qualitatively, Cross-entropy assesses how accurate a model is at predicting some test data and thus comparing the 2 distributions which get their minimal value when the distributions are equal. The trend shown in Figure 10, of Cross-entropy minimising up until 2500 hidden neurons, indicates the progressive and very close equal case of the 2 distributions and thus the accuracy of the NN model in predicting the test data. The Percentage of errors is similarly inline with the Cross-entropy results as both metrics are approximately over 85% of the best scenario.
6. Conclusions
Author Contributions
Funding
Conflicts of Interest
References
- Bass, M.A.; Wakefield, L.; Kolasa, K. Community Nutrition and Individual Food Behavior; Burgess Pub. Co.: Minneapolis, MN, USA, 1979. [Google Scholar]
- Parsa, S.; Morse, S.; Bonifacio, A.; Chancellor, T.C.; Condori, B.; Crespo-Pérez, V.; Hobbs, S.L.; Kroschel, J.; Ba, M.N.; Rebaudo, F.; et al. Obstacles to integrated pest management adoption in developing countries. Proc. Natl. Acad. Sci. USA 2014, 111, 3889–3894. [Google Scholar] [CrossRef] [PubMed]
- Boccaccio, L.; Petacchi, R. Landscape effects on the complex of Bactrocera oleae parasitoids and implications for conservation biological control. Biocontrol 2009, 54, 607. [Google Scholar] [CrossRef]
- Lamichhane, J.R.; Dachbrodt-Saaydeh, S.; Kudsk, P.; Messéan, A. Toward a reduced reliance on conventional pesticides in European agriculture. Plant Disease 2016, 100, 10–24. [Google Scholar] [CrossRef] [PubMed]
- Karydis, I.; Gratsanis, P.; Semertzidis, C.; Avlonitis, M. WebGIS Design & Implementation for Pest Life-cycle & Control Simulation: The Case of Olive-fruit Fly. In Proceedings of the International Conference on Information and Communication Technologies in Agriculture, Food and Environmentp, Corfu Island, Greece, 19–22 September 2013; pp. 526–529. [Google Scholar]
- Kalamatianos, R.; Kermanidis, K.; Karydis, I.; Avlonitis, M. Treating stochasticity of olive-fruit fly’s outbreaks via machine learning algorithms. Neurocomputing 2018, 280, 135–146. [Google Scholar] [CrossRef]
- Kalamatianos, R.; Bouchagier, P.; Avlonitis, M. Modeling the effect of olive fruit bearing percentage on Bactrocera oleae stochastic dispersion. J. Agric. Informat. 2018, 9, 12–21. [Google Scholar] [CrossRef]
- Eurostat. Agri-Environmental Indicator—Cropping Patterns, Data from March 2017; Eurostat: Luxembourg, Luxembourg, 2017. [Google Scholar]
- Fogher, C.; Busconi, M.; Sebastiani, L.; Bracci, T. Olive Genomics. In Olives and Olive Oil in Health and Disease Prevention; Preedy, V.R., Watson, R.R., Eds.; Academic Press: San Diego, CA, USA, 2010; Chapter 2; pp. 17–24. [Google Scholar] [CrossRef]
- Agriculture and Rural Development. EU Agricultural Outlook: Wine, Olive Oil and Fruits & Vegetable Exports to Grow; European Union: Brussels, Belgium, 19 December 2017. [Google Scholar]
- Haniotakis, G.E. Olive pest control: Present status and prospects. IOBC WPRS Bull. 2005, 28, 1–9. [Google Scholar]
- Tsitsipis, J. Effect of constant temperature on the eggs of the olive fruit fly, Dacus oleae (Diptera, Tephritidae). Ann. Zool. Ecol. Anim. 1977, 9, 133–139. [Google Scholar]
- Tsitsipis, J.A. Effect of constant temperatures on larval and pupal development of olive fruit flies reared on artificial diet. Environ. Entomol. 1980, 9, 764–768. [Google Scholar] [CrossRef]
- Wang, X.G.; Johnson, M.W.; Daane, K.M.; Opp, S. Combined effects of heat stress and food supply on flight performance of olive fruit fly (Diptera: Tephritidae). Ann. Entomol. Soc. Am. 2009, 102, 727–734. [Google Scholar] [CrossRef]
- Broufas, G.; Pappas, M.; Koveos, D. Effect of relative humidity on longevity, ovarian maturation, and egg production in the olive fruit fly (Diptera: Tephritidae). Ann. Entomol. Soc. Am. 2009, 102, 70–75. [Google Scholar] [CrossRef]
- Pappas, M.; Broufas, G.; Koufali, N.; Pieri, P.; Koveos, D. Effect of heat stress on survival and reproduction of the olive fruit fly Bactocera (Dacus) oleae. J. Appl. Entomol. 2011, 135, 359–366. [Google Scholar] [CrossRef]
- Kalamatianos, R.; Avlonitis, M. Microclimates and their Stochastic Effect on Olive Fruit Fly Evolution: Modeling and Simulation. In Proceedings of the 8th International Conference on Information and Communication Technologies in Agriculture, Food and Environment (HAICTA), Chania, Greece, 21–24 September 2017; Volume 2030. [Google Scholar]
- Cantlon, J.E. Vegetation and Microclimates on North and South Slopes of Cushetunk Mountain, New Jersey. Ecol. Monogr. 1953, 23, 241–270. [Google Scholar] [CrossRef]
- Van Cooten, S.; Barbe, D.; McCorquodale, D.; Cothren, D. Identification of precipitation microclimates and rainfall trends across the Lake Pontchartrain Basin of southeast Louisiana. In Proceedings of the Mississippi River Climate and Hydrology Conference, New Orleans, LA, USA, 13–17 May 2002. [Google Scholar]
- Shafieiyoun, E. Identification of Micro-Climates of Isfahan City and its Effect on Air Temperature, Relative Air Humidity and Reference Crop Evapotranspiration. In Proceedings of the 3rd ScienceOne International Conference on Environmental Sciences, Dubai, United Arab Emirates, 21–23 January 2014. [Google Scholar]
- Dimoudi, A.; Kantzioura, A.; Zoras, S.; Pallas, C.; Kosmopoulos, P. Investigation of urban microclimate parameters in an urban center. Energy Build. 2013, 64, 1–9. [Google Scholar] [CrossRef]
- Wong, N.H.; Jusuf, S.K. Study on the microclimate condition along a green pedestrian canyon in Singapore. Archit. Sci. Rev. 2010, 53, 196–212. [Google Scholar] [CrossRef]
- Stabler, L.B.; Martin, C.A.; Brazel, A.J. Microclimates in a desert city were related to land use and vegetation index. Urban For. Urban Green. 2005, 3, 137–147. [Google Scholar] [CrossRef]
- Shahrestani, M.; Yao, R.; Luo, Z.; Turkbeyler, E.; Davies, H. A field study of urban microclimates in London. Renew. Energy 2015, 73, 3–9. [Google Scholar] [CrossRef]
- Zhang, Y.; Mahrer, Y.; Margolin, M. Predicting the microclimate inside a greenhouse: An application of a one-dimensional numerical model in an unheated greenhouse. Agric. For. Meteorol. 1997, 86, 291–297. [Google Scholar] [CrossRef]
- Avissar, R.; Mahrer, Y. Verification study of a numerical greenhouse microclimate model. Trans. ASAE 1982, 25, 1711–1720. [Google Scholar] [CrossRef]
- Wang, S.; Boulard, T. Predicting the microclimate in a naturally ventilated plastic house in a Mediterranean climate. J. Agric. Eng. Res. 2000, 75, 27–38. [Google Scholar] [CrossRef]
- Kearney, M.R.; Shamakhy, A.; Tingley, R.; Karoly, D.J.; Hoffmann, A.A.; Briggs, P.R.; Porter, W.P. Microclimate modelling at macro scales: A test of a general microclimate model integrated with gridded continental-scale soil and weather data. Methods Ecol. Evol. 2014, 5, 273–286. [Google Scholar] [CrossRef]
- Holmes, R.; Nelson Dingle, A. The relationship between the macro-and microclimate. Agric. Meteorol. 1965, 2, 127–133. [Google Scholar] [CrossRef][Green Version]
- Kearney, M.R.; Isaac, A.P.; Porter, W.P. Microclim: Global estimates of hourly microclimate based on long-term monthly climate averages. Sci. Data 2014, 1, 140006. [Google Scholar] [CrossRef] [PubMed]
- Kalamatianos, R.; Avlonitis, M.; Stravoravdis, S. Complex networks and simulation strategies: An application to olive fruit fly dispersion. In Proceedings of the 2015 6th International Conference on Information, Intelligence, Systems and Applications (IISA), Corfu, Greece, 6–8 July 2015; pp. 1–6. [Google Scholar]
- Vossen, P.; Varel, L.G.; Alexandra, D. Olive Fruit Fly; Technical Report; University of California Cooperative Extension: Sonoma County, CA, USA, 2004; Available online: http://cenapa.ucanr.edu/files/52578.pdf (accessed on 20 April 2019).
- Kounatidis, I.; Papadopoulos, N.; Mavragani-Tsipidou, P.; Cohen, Y.; Tertivanidis, K.; Nomikou, M.; Nestel, D. Effect of elevation on spatio-temporal patterns of olive fly (Bactrocera oleae) populations in northern Greece. J. Appl. Entomol. 2008, 132, 722–733. [Google Scholar] [CrossRef]
- Ruesink, W.G.; Kogan, M. The quantitative basis of pest management: Sampling and measuring. In Introduction to Insect Pest Management; Wiley: New York, NY, USA, 1994; pp. 355–391. [Google Scholar]
- Kalamatianos, R.; Karydis, I.; Doukakis, D.; Avlonitis, M. DIRT: The Dacus Image Recognition Toolkit. J. Imaging 2018, 4, 129. [Google Scholar] [CrossRef]
- McCallum, A.; Nigam, K.; Ungar, L.H. Efficient clustering of high-dimensional data sets with application to reference matching. In Proceedings of the Sixth ACM SIGKDD International Conference on Knowledge Discovery and Data Mining, Boston, MA, USA, 20–23 August 2000; pp. 169–178. [Google Scholar]
- Fisher, D.H. Knowledge acquisition via incremental conceptual clustering. Mach. Learn. 1987, 2, 139–172. [Google Scholar] [CrossRef]
- Fisher, D.H. Improving Inference through Conceptual Clustering; AAAI: Menlo Park, CA, USA, 1987; Volume 87, pp. 461–465. [Google Scholar]
- Dempster, A.P.; Laird, N.M.; Rubin, D.B. Maximum likelihood from incomplete data via the EM algorithm. J. R. Stat. Soc. Ser. B (Methodol.) 1977, 39, 1–22. [Google Scholar] [CrossRef]
- Hochbaum, D.S.; Shmoys, D.B. A best possible heuristic for the k-center problem. Math. Oper. Res. 1985, 10, 180–184. [Google Scholar] [CrossRef]
- Witten, I.H.; Frank, E.; Hall, M.A.; Pal, C.J. Data Mining: Practical Machine Learning Tools and Techniques; Morgan Kaufmann: Burlington, MA, USA, 2016. [Google Scholar]
- Forgy, E.W. Cluster analysis of multivariate data: Efficiency versus interpretability of classifications. Biometrics 1965, 21, 768–769. [Google Scholar]
- Laney, D. 3D data management: Controlling data volume, velocity and variety. META Group Res. Note 2001, 6, 1. [Google Scholar]
- Svozil, D.; Kvasnicka, V.; Pospichal, J. Introduction to multi-layer feed-forward neural networks. Chemom. Intell. Lab. Syst. 1997, 39, 43–62. [Google Scholar] [CrossRef]
- Hall, M.; Frank, E.; Holmes, G.; Pfahringer, B.; Reutemann, P.; Witten, I.H. The WEKA data mining software: An update. ACM SIGKDD Explor. Newsl. 2009, 11, 10–18. [Google Scholar] [CrossRef]
- Møller, M.F. A scaled conjugate gradient algorithm for fast supervised learning. Neural Netw. 1993, 6, 525–533. [Google Scholar] [CrossRef]
- MATLAB and Statistics Toolbox. 9.4.0.813654 (R2018a); The MathWorks Inc.: Natick, MA, USA, 2018; Available online: https://www.mathworks.com (accessed on 20 April 2019).










| Location Label | Altitude (m) | Latitude | Longitude | |
|---|---|---|---|---|
| Beach | ||||
| 1 | Agios Georgios Pagon | 38 | 39.70558105 | 19.68224189 |
| 2 | Afionitika | 24 | 39.737251 | 19.654854 |
| 3 | Avliotes | 106 | 39.78027306 | 19.65994629 |
| Hill | ||||
| 4 | Agios Athanasios | 212 | 39.7243062 | 19.7172308 |
| 5 | Dafni | 144 | 39.72888173 | 19.7024659 |
| 6 | Rachtades | 135 | 39.75143104 | 19.69852521 |
| Valley | ||||
| 7 | Gavrades | 58 | 39.73986665 | 19.71007243 |
| 8 | Psathilas | 39 | 39.74539178 | 19.71654322 |
| 9 | Kounavades | 39 | 39.75688385 | 19.69359849 |
© 2019 by the authors. Licensee MDPI, Basel, Switzerland. This article is an open access article distributed under the terms and conditions of the Creative Commons Attribution (CC BY) license (http://creativecommons.org/licenses/by/4.0/).
Share and Cite
Kalamatianos, R.; Karydis, I.; Avlonitis, M. Methods for the Identification of Microclimates for Olive Fruit Fly. Agronomy 2019, 9, 337. https://doi.org/10.3390/agronomy9060337
Kalamatianos R, Karydis I, Avlonitis M. Methods for the Identification of Microclimates for Olive Fruit Fly. Agronomy. 2019; 9(6):337. https://doi.org/10.3390/agronomy9060337
Chicago/Turabian StyleKalamatianos, Romanos, Ioannis Karydis, and Markos Avlonitis. 2019. "Methods for the Identification of Microclimates for Olive Fruit Fly" Agronomy 9, no. 6: 337. https://doi.org/10.3390/agronomy9060337
APA StyleKalamatianos, R., Karydis, I., & Avlonitis, M. (2019). Methods for the Identification of Microclimates for Olive Fruit Fly. Agronomy, 9(6), 337. https://doi.org/10.3390/agronomy9060337

