Substitution of Inorganic Nitrogen Fertilizer with Green Manure (GM) Increased Yield Stability by Improving C Input and Nitrogen Recovery Efficiency in Rice Based Cropping System
Abstract
1. Introduction
2. Materials and Methods
2.1. Site Description
2.2. Experimental Design
2.3. Crop Managent
2.4. Sampling and Laboratory Analysis
2.5. Calculations
2.6. Statistical Analysis
3. Results
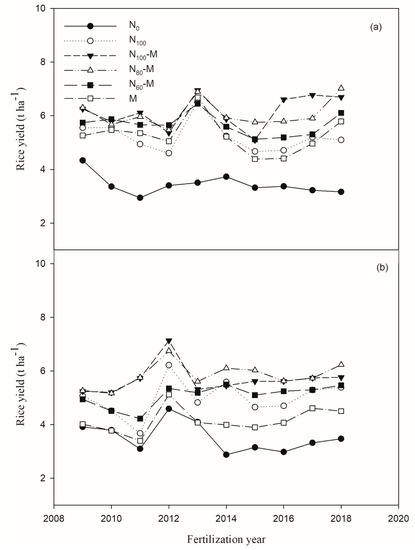
3.1. Crop Yield and Yield Stability
3.2. Nitrogen Uptake, Balance and Recovery Efficiency
3.3. Changes in Soil Nutrients
3.4. Influencing Factors of Crop Yield
4. Discussion
5. Conclusions
Supplementary Materials
Author Contributions
Funding
Conflicts of Interest
References
- Patel, D.; Das, A.; Munda, G.; Ghosh, P.; Bordoloi, J.S.; Kumar, M. Evaluation of yield and physiological attributes of high-yielding rice varieties under aerobic and flood-irrigated management practices in mid-hills ecosystem. Agric. Water Manag. 2010, 97, 1269–1276. [Google Scholar] [CrossRef]
- Xiong, J.; Ding, C.Q.; Bin Wei, G.; Ding, Y.F.; Wang, S.H. Characteristic of Dry-Matter Accumulation and Nitrogen-Uptake of Super-High-Yielding Early Rice in China. Agron. J. 2013, 105, 1142–1150. [Google Scholar] [CrossRef]
- Peng, S.; Tang, Q.; Zou, Y. Current Status and Challenges of Rice Production in China. Plant Prod. Sci. 2009, 12, 3–8. [Google Scholar] [CrossRef]
- Food and Agriculture Organization (FAO). Agricultural production 2014; FAO: Rome, Italy, 2014. [Google Scholar]
- Zhao, M.; Tian, Y.; Ma, Y.; Zhang, M.; Yao, Y.; Xiong, Z.; Yin, B.; Zhu, Z. Mitigating gaseous nitrogen emissions intensity from a Chinese rice cropping system through an improved management practice aimed to close the yield gap. Agric. Ecosyst. Environ. 2015, 203, 36–45. [Google Scholar] [CrossRef]
- Grassini, P.; Eskridge, K.M.; Cassman, K.G. Distinguishing between yield advances and yield plateaus in historical crop production trends. Nat. Commun. 2013, 4, 2918. [Google Scholar] [CrossRef]
- Ju, X.T.; Xing, G.X.; Chen, X.P.; Zhang, S.L.; Zhang, L.J.; Liu, X.J.; Cui, Z.L.; Yin, B.; Christie, P.; Zhu, Z.-L.; et al. Reducing environmental risk by improving N management in intensive Chinese agricultural systems. Proc. Natl. Acad. Sci. USA 2009, 106, 3041–3046. [Google Scholar] [CrossRef]
- Liu, Y.; Pan, X.; Li, J. A 1961–2010 record of fertilizer use, pesticide application and cereal yields: A review. Agron. Sustain. Dev. 2014, 35, 83–93. [Google Scholar] [CrossRef]
- Zeng, J.; Liu, X.; Song, L.; Lin, X.; Zhang, H.; Shen, C.; Chu, H. Nitrogen fertilization directly affects soil bacterial diversity and indirectly affects bacterial community composition. Soil Boil. Biochem. 2016, 92, 41–49. [Google Scholar] [CrossRef]
- Guo, J.H.; Liu, X.J.; Zhang, Y.; Shen, J.L.; Han, W.X.; Zhang, W.F.; Christie, P.; Goulding, K.W.T.; Vitousek, P.M.; Zhang, F.S. Significant Acidification in Major Chinese Croplands. Science 2010, 327, 1008–1010. [Google Scholar] [CrossRef]
- Zhong, Y.; Yan, W.; Shangguan, Z. Impact of long-term N additions upon coupling between soil microbial community structure and activity, and nutrient-use efficiencies. Soil Boil. Biochem. 2015, 91, 151–159. [Google Scholar] [CrossRef]
- Touchton, J.; Rickerl, D.; Walker, R.; Snipes, C. Winter legumes as a nitrogen source for no-tillage cotton. Soil Tillage Res. 1984, 4, 391–401. [Google Scholar] [CrossRef]
- Postgate, J.R. Biological Nitrogen Fixation. Nature 1970, 226, 25–27. [Google Scholar] [CrossRef] [PubMed]
- Drinkwater, L.E.; Wagoner, P.; Sarrantonio, M. Legume-based cropping systems have reduced carbon and nitrogen losses. Nature 1998, 396, 262–265. [Google Scholar] [CrossRef]
- Geisseler, D.; Scow, K.M. Long-term effects of mineral fertilizers on soil microorganisms—A review. Soil Boil. Biochem. 2014, 75, 54–63. [Google Scholar] [CrossRef]
- Li, C.; Yan, K.; Tang, L.; Jia, Z.; Li, Y. Change in deep soil microbial communities due to long-term fertilization. Soil Boil. Biochem. 2014, 75, 264–272. [Google Scholar] [CrossRef]
- Crews, T.; Peoples, M. Legume versus fertilizer sources of nitrogen: ecological tradeoffs and human needs. Agric. Ecosyst. Environ. 2004, 102, 279–297. [Google Scholar] [CrossRef]
- Voisin, A.S.; Guéguen, J.; Huyghe, C.; Jeuffroy, M.H.; Magrini, M.B.; Meynard, J.M.; Mougel, C.; Pellerin, S.; Pelzer, E. Legumes for feed, food, biomaterials and bioenergy in Europe: a review. Agron. Sustain. Dev. 2014, 34, 361–380. [Google Scholar] [CrossRef]
- Li, P.; Lu, J.; Wang, Y.; Wang, S.; Hussain, S.; Ren, T.; Cong, R.; Li, X. Nitrogen losses, use efficiency, and productivity of early rice under controlled-release urea. Agric. Ecosyst. Environ. 2018, 251, 78–87. [Google Scholar] [CrossRef]
- Tian, S.; Ning, T.; Wang, Y.; Liu, Z.; Li, G.; Li, Z.; Lal, R. Crop yield and soil carbon responses to tillage method changes in North China. Soil Tillage Res. 2016, 163, 207–213. [Google Scholar] [CrossRef]
- Cai, Z.; Wang, B.; Xu, M.; Zhang, H.; He, X.; Zhang, L.; Gao, S. Intensified soil acidification from chemical N fertilization and prevention by manure in an 18-year field experiment in the red soil of southern China. J. Soils Sediments 2015, 15, 260–270. [Google Scholar] [CrossRef]
- Zhang, W.; Xu, M.; Wang, X.; Huang, Q.; Nie, J.; Li, Z.; Li, S.; Hwang, S.W.; Lee, K.B. Effects of organic amendments on soil carbon sequestration in paddy fields of subtropical China. J. Soils Sediments 2012, 12, 457–470. [Google Scholar] [CrossRef]
- Yao, Z.; Zhang, D.; Yao, P.; Zhao, N.; Liu, N.; Zhai, B.; Zhang, S.; Li, Y. Science of the Total Environment Coupling life-cycle assessment and the RothC model to estimate the carbon footprint of green manure-based wheat production in China. Sci. Total Environ. 2017, 607–608, 433–442. [Google Scholar] [CrossRef] [PubMed]
- McDaniel, M.D.; Tiemann, L.K.; Grandy, A.S. Does agricultural crop diversity enhance soil microbial biomass and organic matter dynamics? A meta-analysis. Ecol. Appl. 2014, 24, 560–570. [Google Scholar] [CrossRef] [PubMed]
- Benbi, D.K.; Toor, A.S.; Kumar, S. Management of organic amendments in rice-wheat cropping system determines the pool where carbon is sequestered. Plant Soil 2012, 360, 145–162. [Google Scholar] [CrossRef]
- Bedada, W.; Karltun, E.; Lemenih, M.; Tolera, M. Long-term addition of compost and NP fertilizer increases crop yield and improves soil quality in experiments on smallholder farms. Agric. Ecosyst. Environ. 2014, 195, 193–201. [Google Scholar] [CrossRef]
- Bedini, S.; Avio, L.; Sbrana, C.; Turrini, A.; Migliorini, P.; Vazzana, C.; Giovannetti, M. Mycorrhizal activity and diversity in a long-term organic Mediterranean agroecosystem. Boil. Fertil. Soils 2013, 49, 781–790. [Google Scholar] [CrossRef]
- Mohanty, S.; Nayak, A.; Kumar, A.; Tripathi, R.; Shahid, M.; Bhattacharyya, P.; Raja, R.; Panda, B.; Shahid, D.M. Carbon and nitrogen mineralization kinetics in soil of rice–rice system under long term application of chemical fertilizers and farmyard manure. Eur. J. Soil Boil. 2013, 58, 113–121. [Google Scholar] [CrossRef]
- Kumar, S.; Patra, A.K.; Singh, D.; Purakayastha, T.J. Long-Term Chemical Fertilization Along with Farmyard Manure Enhances Resistance and Resilience of Soil Microbial Activity against Heat Stress. J. Agron. Crop Sci. 2014, 200, 156–162. [Google Scholar] [CrossRef]
- Dawe, D.; Dobermann, A.; Ladha, J.; Yadav, R.; Bao, L.; Gupta, R.; Lal, P.; Panaullah, G.; Sariam, O.; Singh, Y.; et al. Do organic amendments improve yield trends and profitability in intensive rice systems? Field Crop. Res. 2003, 83, 191–213. [Google Scholar] [CrossRef]
- Thorup-Kristensen, K.; Dresbøll, D.B.; Kristensen, H.L. Crop yield, root growth, and nutrient dynamics in a conventional and three organic cropping systems with different levels of external inputs and N re-cycling through fertility building crops. Eur. J. Agron. 2012, 37, 66–82. [Google Scholar] [CrossRef]
- Yadav, R.; Dwivedi, B.; Prasad, K.; Tomar, O.; Shurpali, N.; Pandey, P.; Shurpali, N. Yield trends, and changes in soil organic-C and available NPK in a long-term rice–wheat system under integrated use of manures and fertilisers. Field Crop. Res. 2000, 68, 219–246. [Google Scholar] [CrossRef]
- Zhao, X.; Wang, S.; Xing, G. Maintaining rice yield and reducing N pollution by substituting winter legume for wheat in a heavily-fertilized rice-based cropping system of southeast China. Agric. Ecosyst. Environ. 2015, 202, 79–89. [Google Scholar] [CrossRef]
- Baxter, S. World Reference Base for Soil Resources. World Soil Resources Report 103. Rome: Food and Agriculture Organization of the United Nations (2006), pp. 132, US$22.00 (paperback). ISBN 92-5-10511-4. Exp. Agric. 2007, 43, 264. [Google Scholar] [CrossRef]
- Jackson, M. Soil Chemical Analysis: Advanced Course; Parallel Press: Medison, WI, USA, 1969. [Google Scholar]
- Nelson, D.W.; Sommers, L. Total carbon, organic carbon, and organic matter. In Methods of Soil Analysis. Part 2. Chemical and Microbiological Properties; Soil Science Society of America Inc.: Madison, WI, USA, 1982; pp. 539–579. [Google Scholar]
- Pages, A.L.; Miller, R.H.; Dennis, R.K. Methods of Soil Analysis. Part 2 Chemical Methods; Soil Science Society of America Inc.: Madison, WI, USA, 1982. [Google Scholar]
- Black, C.A. Methods of Soil Analysis Part II. Chemical and Microbiological Properties; American Society of Agriculture: Madison, WI, USA, 1965. [Google Scholar]
- Murphy, J.; Riley, J.P. A modified single solution method for the determination of phosphate in natural waters. Anal. Chim. Acta 1964, 27, 31–36. [Google Scholar] [CrossRef]
- Knudsen, D.; Peterson, G.A.; Pratt, P.F. Lithium sodium and potassium. In Methods of Soil Analysis Part II. Chemical and Microbiological Properties; Pages, A.L., Miller, R.H., Dennis, R.K., Eds.; American Society of Agronomy: Medison, WL, USA, 1982; pp. 225–246. [Google Scholar]
- Lu, R.K. Analytical Methods of Soil Agricultural Chemistry; China Agricultural Science and Technology Press: Beijing, China, 2000. [Google Scholar]
- Olsen, S.R. Estimation of Available Phosphorus in Soils by Extraction with Sodium Bicarbonate; US Government Printing Office: Washington, DC, USA, 1954.
- Głąb, T.; Kulig, B. Effect of mulch and tillage system on soil porosity under wheat (Triticum aestivum). Soil Tillage Res. 2008, 99, 169–178. [Google Scholar] [CrossRef]
- Kundu, S.; Bhattacharyya, R.; Prakash, V.; Ghosh, B.; Gupta, H. Carbon sequestration and relationship between carbon addition and storage under rainfed soybean–wheat rotation in a sandy loam soil of the Indian Himalayas. Soil Tillage Res. 2007, 92, 87–95. [Google Scholar] [CrossRef]
- Huang, J.; Zhang, Y.Z.; Gao, J.S.; Zhang, W.J.; Liu, A.J. Variation characteristics of soil carbon sequestration under long-term different fertilization in red paddy soil. Chin. J. Appl. Ecol. 2015, 26, 3373–3380. (In Chinese) [Google Scholar]
- De’Ath, G. Boosted trees for ecological modeling and prediction. Ecology 2007, 88, 243–251. [Google Scholar] [CrossRef]
- Pan, G.; Zhou, P.; Li, Z.; Smith, P.; Li, L.; Qiu, D.; Zhang, X.; Xu, X.; Shen, S.; Chen, X. Combined inorganic/organic fertilization enhances N efficiency and increases rice productivity through organic carbon accumulation in a rice paddy from the Tai Lake region, China. Agric. Ecosyst. Environ. 2009, 131, 274–280. [Google Scholar] [CrossRef]
- Tilman, D.; Balzer, C.; Hill, J.; Befort, B.L. Global food demand and the sustainable intensification of agriculture. Proc. Natl. Acad. Sci. USA 2011, 108, 20260–20264. [Google Scholar] [CrossRef]
- Yousaf, M.; Li, X.; Zhang, Z.; Ren, T.; Cong, R.; Ata-Ul-Karim, S.T.; Fahad, S.; Shah, A.N.; Lu, J. Nitrogen Fertilizer Management for Enhancing Crop Productivity and Nitrogen Use Efficiency in a Rice-Oilseed Rape Rotation System in China. Front. Plant Sci. 2016, 7, 1496. [Google Scholar] [CrossRef] [PubMed]
- Xie, Z.; Tu, S.; Shah, F.; Xu, C.; Chen, J.; Han, D.; Liu, G.; Li, H.; Muhammad, I.; Cao, W. Substitution of fertilizer-N by green manure improves the sustainability of yield in double-rice cropping system in south China. Field Crop. Res. 2016, 188, 142–149. [Google Scholar] [CrossRef]
- Liu, C.A.; Li, F.R.; Zhou, L.M.; Zhang, R.H.; Jia, Y.; Lin, S.L.; Wang, L.J.; Siddique, K.H.; Li, F.M. Effect of organic manure and fertilizer on soil water and crop yields in newly-built terraces with loess soils in a semi-arid environment. Agric. Water Manag. 2013, 117, 123–132. [Google Scholar] [CrossRef]
- Cai, A.; Xu, M.; Wang, B.; Zhang, W.; Liang, G.; Hou, E.; Luo, Y. Manure acts as a better fertilizer for increasing crop yields than synthetic fertilizer does by improving soil fertility. Soil Tillage Res. 2019, 189, 168–175. [Google Scholar] [CrossRef]
- Yadav, R.; Dwivedi, B.; Pandey, P. Rice-wheat cropping system: assessment of sustainability under green manuring and chemical fertilizer inputs. Field Crop. Res. 2000, 65, 15–30. [Google Scholar] [CrossRef]
- Guo, C.; Li, P.; Lu, J.; Ren, T.; Cong, R.; Li, X. Application of Controlled-release Urea in Rice: Reducing Environmental Risk while Increasing Grain Yield and Improving Nitrogen Use Efficiency. Commun. Soil Sci. Plant Anal. 2016, 47, 1176–1183. [Google Scholar] [CrossRef]
- Timsina, J.; Panaullah, G.M.; Saleque, M.A.; Ishaque, M.; Pathan, A.B.M.B.U.; Quayyum, M.A.; Connor, D.J.; Saha, P.K.; Humphreys, E.; Meisner, C.A. Nutrient Uptake and Apparent Balances for Rice-Wheat Sequences. I. Nitrogen. J. Plant Nutr. 2006, 29, 137–155. [Google Scholar] [CrossRef]
- Witt, C.; Cassman, K.; Olk, D.; Biker, U.; Liboon, S.; Samson, M.; Ottow, J. Crop rotation and residue management effects on carbon sequestration, nitrogen cycling and productivity of irrigated rice systems. Plant Soil 2000, 225, 263–278. [Google Scholar] [CrossRef]
- Singh, Y.; Singh, B.; Timsina, J. Crop Residue Management for Nutrient Cycling and Improving Soil Productivity in Rice-Based Cropping Systems in the Tropics. In Advances in Agronomy; Elsevier: Amsterdam, The Netherlands, 2005; Volume 85, pp. 269–407. [Google Scholar]
- Xu, J.; Han, H.; Ning, T.; Li, Z.; Lal, R. Long-term effects of tillage and straw management on soil organic carbon, crop yield, and yield stability in a wheat-maize system. Field Crop. Res. 2019, 233, 33–40. [Google Scholar] [CrossRef]
- Liang, X.Q.; Li, L.; Chen, Y.; Li, H.; Liu, J.; He, M.; Ye, Y.; Tian, G.; Lundy, M. Dissolved Phosphorus Losses by Lateral Seepage from Swine Manure Amendments for Organic Rice Production. Soil Sci. Soc. Am. J. 2013, 77, 765–773. [Google Scholar] [CrossRef]
- Salantur, A.; Ozturk, A.; Akten, S. Growth and yield response of spring wheat (Triticum aestivum L.) to inoculation with rhizobacteria. Plant Soil Environ. 2006, 52, 111–118. [Google Scholar] [CrossRef]
- An, N.; Wei, W.; Qiao, L.; Zhang, F.; Christie, P.; Jiang, R.; Dobermann, A.; Goulding, K.W.; Fan, J.; Fan, M. Agronomic and environmental causes of yield and nitrogen use efficiency gaps in Chinese rice farming systems. Eur. J. Agron. 2018, 93, 40–49. [Google Scholar] [CrossRef]
- Yan, X.; Gong, W. The role of chemical and organic fertilizers on yield, yield variability and carbon sequestration— results of a 19-year experiment. Plant Soil 2010, 331, 471–480. [Google Scholar] [CrossRef]
- Liu, Z.; Rong, Q.; Zhou, W.; Liang, G. Effects of inorganic and organic amendment on soil chemical properties, enzyme activities, microbial community and soil quality in yellow clayey soil. PLoS ONE 2017, 12, e0172767. [Google Scholar] [CrossRef]
- Khalil, M.I.; Hossain, M.; Schmidhalter, U. Carbon and nitrogen mineralization in different upland soils of the subtropics treated with organic materials. Soil Boil. Biochem. 2005, 37, 1507–1518. [Google Scholar] [CrossRef]
- Lin, H.; Jing, C.M.; Wang, J.H. The Influence of Long-Term Fertilization on Soil Acidification. Adv. Mater. Res. 2014, 955, 3552–3555. [Google Scholar] [CrossRef]
- Tan, D.S.; Jin, J.Y.; Huang, S.W.; Li, S.T.; He, P. Effect of Long-Term Application of K Fertilizer and Wheat Straw to Soil on Crop Yield and Soil K Under Different Planting Systems. Agric. Sci. China 2007, 6, 200–207. [Google Scholar]
- Takahashi, S.; Anwar, M.R. Wheat grain yield, phosphorus uptake and soil phosphorus fraction after 23 years of annual fertilizer application to an Andosol. Field Crop. Res. 2007, 101, 160–171. [Google Scholar] [CrossRef]
- McLellan, E.L.; Cassman, K.G.; Eagle, A.J.; Woodbury, P.B.; Sela, S.; Tonitto, C.; Marjerison, R.D.; Van Es, H.M. The Nitrogen Balancing Act: Tracking the Environmental Performance of Food Production. Bioscience 2018, 68, 194–203. [Google Scholar]
- Snyder, C.; Davidson, E.; Smith, P.; Venterea, R. Agriculture: sustainable crop and animal production to help mitigate nitrous oxide emissions. Curr. Opin. Environ. Sustain. 2014, 9, 46–54. [Google Scholar] [CrossRef]
- Chen, C.; Lawes, R.; Fletcher, A.; Oliver, Y.; Robertson, M.; Bell, M.; Wang, E. How well can APSIM simulate nitrogen uptake and nitrogen fixation of legume crops? Field Crops Res. 2016, 187, 35–48. [Google Scholar] [CrossRef]
- Zhang, D.; Yao, P.; Zhao, N.; Cao, W.; Zhang, S.; Li, Y.; Huang, D.; Zhai, B.; Wang, Z.; Gao, Y. Building up the soil carbon pool via the cultivation of green manure crops in the Loess Plateau of China. Geoderma 2019, 337, 425–433. [Google Scholar] [CrossRef]
- Zhu, Q.; Liu, X.; Hao, T.; Zeng, M.; Shen, J.; Zhang, F.; Vries, W. De Modeling soil acidi fi cation in typical Chinese cropping systems. Sci. Total Environ. 2018, 613–614, 1339–1348. [Google Scholar] [CrossRef] [PubMed]
- Tang, C.; Conyers, K.M.; Nuruzzaman, M.; Poile, G.J.; Liu, D.L. Biological amelioration of subsoil acidity through managing nitrate uptake by wheat crops. Plant Soil 2011, 338, 383–397. [Google Scholar] [CrossRef]
- Stevens, C.J.; Dise, N.B.; Gowing, D.J. Regional trends in soil acidification and exchangeable metal concentrations in relation to acid deposition rates. Environ. Pollut. 2009, 157, 313–319. [Google Scholar] [CrossRef] [PubMed]
- Rukshana, F.; Butterly, C.R.; Xu, J.M.; Baldock, J.A.; Tang, C. Organic anion-to-acid ratio influences pH change of soils differing in initial pH. J. Soils Sediments 2013, 14, 407–414. [Google Scholar] [CrossRef]
- Sainju, U.M.; Singh, H.P.; Singh, B.P. Soil Carbon and Nitrogen in Response to Perennial Bioenergy Grass, Cover Crop and Nitrogen Fertilization. Pedosphere 2017, 27, 223–235. [Google Scholar] [CrossRef]
- Liang, Z.; Elsgaard, L.; Nicolaisen, M.H.; Lyhne-Kjærbye, A.; Olesen, J.E. Carbon mineralization and microbial activity in agricultural topsoil and subsoil as regulated by root nitrogen and recalcitrant carbon concentrations. Plant Soil 2018, 433, 65–82. [Google Scholar] [CrossRef]
- Yang, J.; Gao, W.; Ren, S. Long-term effects of combined application of chemical nitrogen with organic materials on crop yields, soil organic carbon and total nitrogen in fluvo-aquic soil. Soil Tillage Res. 2015, 151, 67–74. [Google Scholar] [CrossRef]
- Gál, A.; Vyn, T.J.; Michéli, E.; Kladivko, E.J.; McFee, W.W. Soil carbon and nitrogen accumulation with long-term no-till versus moldboard plowing overestimated with tilled-zone sampling depths. Soil Tillage Res. 2007, 96, 42–51. [Google Scholar] [CrossRef]
- Tong, C.; Xiao, H.; Tang, G.; Wang, H.; Huang, T.; Xia, H.; Keith, S.J.; Li, Y.; Liu, S.; Wu, J. Long-term fertilizer effects on organic carbon and total nitrogen and coupling relationships of C and N in paddy soils in subtropical China. Soil Tillage Res. 2009, 106, 8–14. [Google Scholar] [CrossRef]






| Treatments | Cropping System | Early Rice | Late Rice | ||||
|---|---|---|---|---|---|---|---|
| N | P | K | N | P | K | ||
| N0 | Rice-rice rotation | 0.00 | 39.2 | 75.0 | 0.00 | 19.4 | 93.4 |
| N100 | Rice-rice rotation | 150 | 39.2 | 75.0 | 172.5 | 19.4 | 93.4 |
| N100-M | Rice-rice-milkvetch rotation | 150 | 39.2 | 75.0 | 172.5 | 19.4 | 93.4 |
| N80-M | Rice-rice-Milkvetch rotation | 120 | 39.2 | 75.0 | 138.0 | 19.4 | 93.4 |
| N60-M | Rice-rice-Milkvetch rotation | 90.0 | 39.2 | 75.0 | 103.5 | 19.4 | 93.4 |
| M | Rice-rice-Milkvetch rotation | 0.00 | 39.2 | 75.0 | 0.00 | 19.4 | 93.4 |
| Year | Treatments | Crop Yield (t ha−1) | N Uptake (kg ha−1 year−1) | N Balance (kg ha−1 year−1) | NRE (%) |
|---|---|---|---|---|---|
| 2009–2013 | N0 | 7.40 ± 0.03 e | 127 ± 2.35 e | −127 ± 2.4 e | |
| N100 | 10.3 ± 0.04 c | 158 ± 1.01 d | 165 ± 1.0 a | 15.5 ± 1.9 d | |
| N100-M | 11.8 ± 0.15 a | 230 ± 3.11 a | 92.9 ± 3.1 b | 42.0 ± 0.6 b | |
| N80-M | 11.8 ± 0.14 a | 233 ± 0.94 a | 24.6 ± 0.9 c | 45.5 ± 1.3 a | |
| N60-M | 10.7 ± 0.04 b | 194 ± 1.47 b | −0.7 ± 1.5 d | 34.5 ± 1.2 c | |
| M | 9.60 ± 0.11 d | 168 ± 1.33 c | −168 ± 1.3 f | ||
| 2014–2018 | N0 | 6.50 ± 0.14 e | 95.0 ± 2.64 f | −95.1 ± 2.64 e | |
| N100 | 10.1 ± 0.09 c | 141 ± 3.58 e | 181 ± 3.58 a | 26.7 ± 0.4 d | |
| N100-M | 11.8 ± 0.15 a | 201 ± 1.50 b | 121 ± 1.50 b | 49.9 ± 1.5 b | |
| N80-M | 12.0 ± 0.18 a | 235 ± 1.70 a | 23.2 ± 1.70 c | 57.8 ± 1.1 a | |
| N60-M | 10.8 ± 0.06 b | 184 ±1.91 c | 9.34 ± 1.91 d | 45.1 ± 0.7 c | |
| M | 9.20 ± 0.11 d | 164 ± 3.39 d | −164 ± 3.39 f |
| Year | Treatments | pH | TN (g kg−1) | AN (mg kg−1) | TP (g kg−1) | AP (mg kg−1) | TK (g kg−1) | AK (mg kg−1) | C Input (t ha−1 y−1) | C:N Ratio |
|---|---|---|---|---|---|---|---|---|---|---|
| Initial values | 6.4 ± 0.06 | 1.57 ± 0.01 | 110 ± 3.4 | 0.89 ± 0.03 | 24 ± 3.8 | 8.9 ± 0.67 | 41 ± 1.43 | - | 10.0 | |
| 2009–2013 | N0 | 6.23 ± 0.003 de | 1.62 ± 0.004 c | 116 ± 3.5 c | 0.85 ± 0.01 d | 31.7 ± 0.85 d | 8.9 ± 0.53 b | 43.8 ±2.17 d | 1.79 ± 0.02 e | 10.78 ± 0.22 ns |
| N100 | 6.15 ± 0.06 e | 1.64 ± 0.013 abc | 122 ± 0.6 b | 0.97 ± 0.02 b | 30.4 ± 0.51 d | 13.5 ± 0.67 a | 58.5 ± 1.34 c | 2.34 ± 0.02 d | 10.85 ± 0.16 | |
| N100-M | 6.30 ± 0.02 cd | 1.67 ± 0.009 a | 128 ± 0.7 a | 1.00 ± 0.01 b | 40.2 ± 0.49 a | 13.8 ± 0.38 a | 70.1 ±0.95 a | 3.88 ± 0.04 a | 10.33 ± 0.15 | |
| N80-M | 6.32 ± 0.02 bc | 1.67 ± 0.014 ab | 127 ± 0.2 a | 1.08 ± 0.01 a | 37.1 ± 0.50 b | 14.1 ± 0.44 a | 69.4 ± 2.11 a | 3.95 ± 0.05 a | 10.31 ± 0.39 | |
| N60-M | 6.45 ± 0.02 a | 1.64 ± 0.003 bc | 115 ± 1.2 c | 1.01 ± 0.01 b | 35.0 ± 0.99 c | 13.5 ± 0.75 a | 66.5 ± 1.08 ab | 3.71 ± 0.09 b | 10.92 ± 0.21 | |
| M | 6.39 ± 0.03 ab | 1.65 ± 0.023 abc | 120 ± 0.6 b | 0.93 ± 0.02 c | 32.2 ± 0.55 d | 12.3 ± 0.92 a | 64.9 ±1.47 b | 3.41 ± 0.05 c | 10.35 ± 0.24 | |
| 2014-2018 | N0 | 6.02 ± 0.01 d | 1.39 ± 0.027 d | 87 ± 3.9 d | 0.83 ± 0.01 d | 28.6 ± 0.84 c | 7.60 ± 0.16 c | 43.5 ± 1.41 c | 1.58 ± 0.03 e | 13.98 ± 0.77 a |
| N100 | 6.16 ± 0.09 cd | 1.60 ± 0.016 c | 91 ± 2.1 d | 1.08 ± 0.01 c | 30.4 ± 0.46 c | 10.7 ± 1.18 b | 53.2 ± 1.03 b | 2.15 ± 0.03 d | 11.61 ± 1.06 b | |
| N100-M | 6.28 ± 0.05 c | 1.7 ± 0.007 a | 145 ± 0.8 a | 1.13 ± 0.03 a | 37.7 ± 0.39 a | 14.6 ± 0.65 a | 71.5 ± 1.16 a | 3.84 ± 0.03 b | 11.42 ± 0.55 b | |
| N80-M | 6.52 ± 0.12 b | 1.7 ± 0.008 a | 128 ± 1.2 b | 1.129 ± 0.01 ab | 36.8 ± 0.22 a | 14.8 ± 0.43 a | 72.0 ± 0.65 a | 4.00 ± 0.06 a | 11.67 ± 0.75 b | |
| N60-M | 6.54 ± 0.03 b | 1.64 ± 0.006 b | 121 ± 0.8 c | 1.078 ± 0.02 bc | 33.5 ± 1.11 b | 14.1 ± 0.32 a | 71.8 ± 1.82 a | 3.72 ± 0.04 b | 12.43 ± 0.42 ab | |
| M | 6.86 ± 0.06 a | 1.70 ± 0.009 a | 129 ± 1.1 b | 1.12 ± 0.01 abc | 29.6 ± 1.04 c | 13.4 ± 1.14 a | 69.4 ± 1.46 a | 3.19 ± 0.09 c | 11.43 ± 0.12 b |
© 2019 by the authors. Licensee MDPI, Basel, Switzerland. This article is an open access article distributed under the terms and conditions of the Creative Commons Attribution (CC BY) license (http://creativecommons.org/licenses/by/4.0/).
Share and Cite
Qaswar, M.; Huang, J.; Ahmed, W.; Liu, S.; Li, D.; Zhang, L.; Liu, L.; Xu, Y.; Han, T.; Du, J.; et al. Substitution of Inorganic Nitrogen Fertilizer with Green Manure (GM) Increased Yield Stability by Improving C Input and Nitrogen Recovery Efficiency in Rice Based Cropping System. Agronomy 2019, 9, 609. https://doi.org/10.3390/agronomy9100609
Qaswar M, Huang J, Ahmed W, Liu S, Li D, Zhang L, Liu L, Xu Y, Han T, Du J, et al. Substitution of Inorganic Nitrogen Fertilizer with Green Manure (GM) Increased Yield Stability by Improving C Input and Nitrogen Recovery Efficiency in Rice Based Cropping System. Agronomy. 2019; 9(10):609. https://doi.org/10.3390/agronomy9100609
Chicago/Turabian StyleQaswar, Muhammad, Jing Huang, Waqas Ahmed, Shujun Liu, Dongchu Li, Lu Zhang, Lisheng Liu, Yongmei Xu, Tianfu Han, Jiangxue Du, and et al. 2019. "Substitution of Inorganic Nitrogen Fertilizer with Green Manure (GM) Increased Yield Stability by Improving C Input and Nitrogen Recovery Efficiency in Rice Based Cropping System" Agronomy 9, no. 10: 609. https://doi.org/10.3390/agronomy9100609
APA StyleQaswar, M., Huang, J., Ahmed, W., Liu, S., Li, D., Zhang, L., Liu, L., Xu, Y., Han, T., Du, J., Gao, J., & Zhang, H. (2019). Substitution of Inorganic Nitrogen Fertilizer with Green Manure (GM) Increased Yield Stability by Improving C Input and Nitrogen Recovery Efficiency in Rice Based Cropping System. Agronomy, 9(10), 609. https://doi.org/10.3390/agronomy9100609

