Effect of Different Organic Amendment Supply on Young Bearing Walnut Trees Nutritional Status and Soil Fertility
Abstract
1. Introduction
2. Materials and Methods
2.1. Orchard Description and Treatments
2.2. Soil Sampling and Analysis
2.3. Plant Measurements, Organ Sampling, and Analysis
2.4. Statistical Analysis
3. Results
3.1. Effect of Treatments on Soil Biological and Chemical Fertility
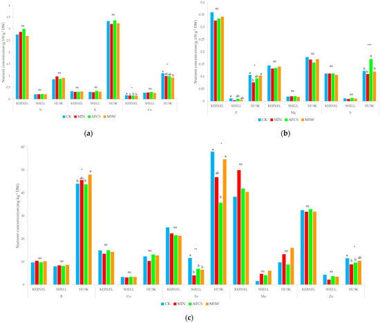
3.2. Effect of Treatments on Plant Growth and Nutritional Status
4. Discussion
5. Conclusions
Supplementary Materials
Author Contributions
Funding
Data Availability Statement
Acknowledgments
Conflicts of Interest
References
- Li, C.; Zhang, M.; Wei, S.; Yang, Z.; Pan, X. Study of walnut brown rot caused by Botryosphaeria dothidea in the Guizhou Province of China. Crop Prot. 2023, 163, 106118. [Google Scholar] [CrossRef]
- Production–Walnuts. Available online: https://www.fas.usda.gov/data/production/commodity/0577901 (accessed on 1 October 2025).
- Crop Production in EU Standard Humidity. Available online: https://ec.europa.eu/eurostat/databrowser/view/APRO_CPSH1__custom_4641514/default/bar?lang=en (accessed on 1 October 2025).
- Frutta in Guscio. Available online: https://www.ismeamercati.it/flex/files/1/1/d/D.65d07c3c5ae07fa72379/2024_v01_Scheda_Frutta_Guscio_Maggio.pdf (accessed on 1 October 2025).
- Di Pierro, E.A.; Franceschi, P.; Endrizzi, I.; Farneti, B.; Poles, L.; Masuero, D.; Khomenko, I.; Trenti, F.; Marrano, A.; Vrhovsek, U.; et al. Valorization of Traditional Italian Walnut (Juglans regia L.) Production: Genetic, Nutritional and Sensory Characterization of Locally Grown Varieties in the Trentino Region. Plants 2022, 11, 1986. [Google Scholar] [CrossRef]
- Gerke, J. The central role of soil organic matter in soil fertility and carbon storage. Soil Syst. 2022, 6, 33. [Google Scholar] [CrossRef]
- Canellas, L.P.; Olivares, F.L. Physiological responses to humic substances as plant growth promoter. Chem. Biol. Technol. Agric. 2014, 1, 3. [Google Scholar] [CrossRef]
- Nardi, S.; Ertani, A.; Francisco, O. Soil-root crosstalking: The role of humic substances. J. Plant Nutr. Soil Sci. 2017, 180, 5–13. [Google Scholar] [CrossRef]
- Gioacchini, P.; Baldi, E.; Montecchio, D.; Mazzon, M.; Quartieri, M.; Toselli, M.; Marzadori, C. Effect of long-term compost fertilization on the distribution of organic carbon and nitrogen in soil aggregates and textural fractions. Catena 2024, 240, 107968. [Google Scholar] [CrossRef]
- Tabelle Climatologiche. Available online: https://www.arpae.it/it/temi-ambientali/clima/dati-e-indicatori/tabelle-climatiche (accessed on 19 January 2026).
- Hadas, A.; Portnoy, R. Nitrogen and carbon mineralization rates of composted manures incubated in soil. J. Environ. Qual. 1994, 23, 1184–1189. [Google Scholar] [CrossRef]
- Anderson, J.; Domsch, K. A physiological method for the quantitative measurement of microbial biomass in soils. Soil Biol. Biochem. 1978, 10, 215–221. [Google Scholar] [CrossRef]
- Kingston, H.M. Microwave Assisted Acid Digestion of Siliceous and Organically-Based Matrices, Method 3052; U.S. Environmental Protection Agency: Washington, DC, USA, 1988.
- Schumann, G.E.; Stanley, M.A.; Knudsen, D. Automated total nitrogen analysis of soil and plant samples. Soil Sci. Soc. Am. J. 1973, 37, 480–481. [Google Scholar] [CrossRef]
- Cruz-Castillo, J.G.; Ganeshanandam, S.; MacKay, B.R.; Lawes, G.S.; Lawoko, C.R.O.; Woolley, D.J. Applications of canonical discriminant analysis in horticultural research. HortScience 1994, 29, 1115–1119. [Google Scholar] [CrossRef]
- Sparling, G.P. Ratio of microbial biomass carbon to soil organic carbon as a sensitive indicator of changes in soil organic matter. Soil Res. 1992, 30, 195–207. [Google Scholar] [CrossRef]
- Baldi, E.; Cavani, L.; Margon, A.; Quartieri, M.; Sorrenti, G.; Marzadori, C.; Toselli, M. Effect of compost application on the dynamics of carbon in a nectarine orchard ecosystem. Sci. Total Environ. 2018, 637, 918–925. [Google Scholar] [CrossRef]
- Du, T.Y.; He, H.Y.; Zhang, Q.; Lu, L.; Mao, W.J.; Zhai, M.Z. Positive effects of organic fertilizers and biofertilizers on soil microbial community composition and walnut yield. Appl. Soil Ecol. 2022, 175, 104457. [Google Scholar] [CrossRef]
- Zhao, J.; Ni, T.; Li, J.; Lu, Q.; Fang, Z.; Huang, Q.; Zhang, R.; Li, R.; Shen, B.; Shen, Q. Effects of organic–inorganic compound fertilizer with reduced chemical fertilizer application on crop yields, soil biological activity and bacterial community structure in a rice–wheat cropping system. Appl. Soil Ecol. 2016, 99, 1–12. [Google Scholar] [CrossRef]
- Chiarelli, G.; Sangiorgio, D.; Pastore, C.; Filippetti, I.; Buyukfiliz, F.; Baldi, E.; Toselli, M. Soil application of urban waste-derived amendments increased microbial community diversity in the grapevine rhizosphere: A rhizobox approach. Horticulturae 2025, 11, 1368. [Google Scholar] [CrossRef]
- O’Brien, J.A.; Vega, A.; Bouguyon, E.; Krouk, G.; Gojon, A.; Coruzzi, G.; Gutiérrez, R.A. Nitrate transport, sensing, and responses in plants. Mol. Plant 2016, 9, 837–856. [Google Scholar] [CrossRef]
- Toselli, M.; Sorrenti, G.; Quartieri, M.; Marangoni, B.; Marcolini, G.; Baldi, E. Il noce guadagna spazio al Nord. Frutticoltura 2014, 5, 48–55. [Google Scholar]
- Manfrini, L.; Perulli, G.D.; Bortolotti, G.; Boini, A.; Bonora, A.; Anconelli, S.; Solimando, D.; Gentile, S.; Baldi, E.; Polidori, G.; et al. Noce, ridurre asporti idrici e nutrizionali senza danneggiare la produzione. Frutticoltura 2021, 9, 56–59. [Google Scholar]
- The Council of the European Communities. Council directive 91/676/EEC of 12 December 1991 concerning the protection of waters against pollution caused by nitrates from agricultural sources. Off. J. Eur. Union 1991, 375, 1–8. [Google Scholar]
- Toselli, M.; Baldi, E.; Cavani, L.; Mazzon, M.; Quartieri, M.; Sorrenti, G.; Marzadori, C. Soil-plant nitrogen pools in nectarine orchard in response to long-term compost application. Sci. Total Environ. 2019, 671, 10–18. [Google Scholar] [CrossRef] [PubMed]
- Goldan, E.; Nedeff, V.; Barsan, N.; Culea, M.; Panainte-Lehadus, M.; Mosnegutu, E.; Tomozei, C.; Chitimus, D.; Irimia, O. Assessment of manure compost used as soil amendment—A review. Processes 2023, 11, 1167. [Google Scholar] [CrossRef]
- Dhaliwal, S.S.; Naresh, R.K.; Mandal, A.; Walia, M.K.; Gupta, R.K.; Singh, R.; Dhaliwal, M.K. Effect of manures and fertilizers on soil physical properties, build-up of macro and micronutrients and uptake in soil under different cropping systems: A review. J. Plant Nutr. 2019, 42, 2873–2900. [Google Scholar] [CrossRef]
- Rutkowska, B.; Szulc, W.; Sosulski, T.; Stępień, W. Soil micronutrient availability to crops affected by long-term inorganic and organic fertilizer applications. Plant Soil Environ. 2014, 60, 198–203. [Google Scholar] [CrossRef]
- Rao, G.; Sui, J.; Zhang, J. Metabolomics reveals significant variations in metabolites and correlations regarding the maturation of walnuts (Juglans regia L.). Biol. Open 2016, 5, 829–836. [Google Scholar] [CrossRef] [PubMed]
- Shaji, H.; Chandran, V.; Mathew, L. Organic fertilizers as a route to controlled release of nutrients. In Controlled Release Fertilizers for Sustainable Agriculture; Lewu, F.B., Volova, T., Thomas, S., Rakhimol, K.R., Eds.; Academic Press: Cambridge, MA, USA, 2021; pp. 231–245. [Google Scholar] [CrossRef]
- Rodrigues, C.I.D.; Brito, L.M.; Nunes, L.J.R. Soil carbon sequestration in the context of climate change mitigation: A review. Soil Syst. 2023, 7, 64. [Google Scholar] [CrossRef]
- Herzfeld, T.; Heinke, J.; Rolinski, S.; Müller, C. Soil organic carbon dynamics from agricultural management practices under climate change. Earth Syst. Dyn. 2021, 12, 1037–1055. [Google Scholar] [CrossRef]
- Nardino, M.; Brilli, L.; Carotenuto, F.; Famulari, D.; Fiorini, L.; Gioli, B.; Zaldei, A.; Chieco, C. Greenhouse gases emission and absorption in an extensive young walnut orchard (Juglans regia L.) in Italy. In Proceedings of the ICOS Science Conference 2024, Versaielles, France, 10–12 September 2024. [Google Scholar]






| Parameter | Unit | MSW | AFCS |
|---|---|---|---|
| Moisture | % | 29.0 | 36.0 |
| TOC | g 100 g−1 DW | 27.5 | 27.3 |
| Total N | g 100 g−1 DW | 2.23 | 2.38 |
| C/N | - | 12.2 | 11.8 |
| Humic and fulvic acid | g C 100 g−1 DW | 10.35 | 9.25 |
| pH | - | 8.80 | 7.74 |
| P | g 100 g−1 DW | 0.621 | 1.65 |
| K | g 100 g−1 DW | 1.49 | 1.49 |
| Cd | mg kg−1 DW | 0.745 | 0.216 |
| Cr6+ | mg kg−1 DW | <0.3 | <0.100 |
| Hg | mg kg−1 DW | <0.100 | <0.100 |
| Ni | mg kg−1 DW | 28.0 | 18.9 |
| Pb | mg kg−1 DW | 35.5 | 20.0 |
| Cu | mg kg−1 DW | 1115 | 73.9 |
| Zn | mg kg−1 DW | 238 | 151 |
| Salmonella | in 25 g | Absent | Absent |
| Escherichia coli | CFU g−1 | <100 | <10 |
| Salinity | Meq 100 g−1 | 58.0 | 25.6 |
| Germination index | % | 90.5 | 84.5 |
| Plastic, glass, and metal (≥2 mm) | g 100 g−1 DW | <0.1 | <0.100 |
| Inert material (≥5 mm) | g 100 g−1 DW | ˂1 | 1.30 |
| Treatment | Trunk Diameter (mm) | Pruning Wood (g plant−1 DW) | ||
|---|---|---|---|---|
| December 2023 | December 2024 | 2023 | 2024 | |
| CK | 59.1 b | 73.4 b | 48.6 b | 67.1 b |
| MIN | 66.1 a | 80.9 a | 172 a | 176 a |
| AFCS | 57.8 b | 71.8 b | 74.0 b | 110 ab |
| MSW | 63.6 a | 76.4 b | 89.2 b | 137 ab |
| Significance | *** | *** | * | * |
| Treatment | N | P | K | Ca | Mg | S |
| CK | 2.31 | 0.171 a | 1.01 a | 1.77 | 0.238 b | 0.132 b |
| MIN | 2.49 | 0.146 b | 0.938 ab | 1.75 | 0.270 a | 0.134 b |
| AFCS | 2.43 | 0.161 ab | 1.08 a | 1.57 | 0.239 b | 0.132 b |
| MSW | 2.41 | 0.147 b | 0.896 b | 1.72 | 0.271 a | 0.163 a |
| Significance | ns | ** | ** | ns | * | *** |
| Year | ||||||
| 2023 | 2.32 | 0.141 | 0.733 | 1.59 | 0.257 | 0.131 |
| 2024 | 2.56 | 0.172 | 1.23 | 1.81 | 0.252 | 0.150 |
| Significance | *** | *** | *** | * | ns | *** |
| trt × year | ns | * | ns | ns | ns | ** |
| Treatment | B | Cu | Fe | Mn | Zn |
| Control | 138 | 39.7 | 74.3 | 107 b | 37.0 |
| Mineral | 138 | 26.8 | 64.5 | 154 a | 20.1 |
| AFCS | 130 | 35.6 | 65.7 | 105 b | 21.5 |
| MSW | 139 | 25.8 | 63.4 | 140 ab | 20.0 |
| Significance | ns | ns | ns | * | ns |
| Year | |||||
| 2023 | 136 | 41.2 | 60.0 | 100 | 24.4 |
| 2024 | 136 | 22.7 | 74.0 | 153 | 24.9 |
| Significance | ns | ** | ** | *** | ns |
| trt × year | ns | ns | ns | ns | ns |
Disclaimer/Publisher’s Note: The statements, opinions and data contained in all publications are solely those of the individual author(s) and contributor(s) and not of MDPI and/or the editor(s). MDPI and/or the editor(s) disclaim responsibility for any injury to people or property resulting from any ideas, methods, instructions or products referred to in the content. |
© 2026 by the authors. Licensee MDPI, Basel, Switzerland. This article is an open access article distributed under the terms and conditions of the Creative Commons Attribution (CC BY) license.
Share and Cite
Baldi, E.; Quartieri, M.; Messini, M.; Tassinari, A.; Buyukfiliz, F.; Toselli, M. Effect of Different Organic Amendment Supply on Young Bearing Walnut Trees Nutritional Status and Soil Fertility. Agronomy 2026, 16, 262. https://doi.org/10.3390/agronomy16020262
Baldi E, Quartieri M, Messini M, Tassinari A, Buyukfiliz F, Toselli M. Effect of Different Organic Amendment Supply on Young Bearing Walnut Trees Nutritional Status and Soil Fertility. Agronomy. 2026; 16(2):262. https://doi.org/10.3390/agronomy16020262
Chicago/Turabian StyleBaldi, Elena, Maurizio Quartieri, Maddalena Messini, Adriele Tassinari, Fatih Buyukfiliz, and Moreno Toselli. 2026. "Effect of Different Organic Amendment Supply on Young Bearing Walnut Trees Nutritional Status and Soil Fertility" Agronomy 16, no. 2: 262. https://doi.org/10.3390/agronomy16020262
APA StyleBaldi, E., Quartieri, M., Messini, M., Tassinari, A., Buyukfiliz, F., & Toselli, M. (2026). Effect of Different Organic Amendment Supply on Young Bearing Walnut Trees Nutritional Status and Soil Fertility. Agronomy, 16(2), 262. https://doi.org/10.3390/agronomy16020262

